Comparison of Two Folded Methods of Solar Sails
Abstract
1. Introduction
2. Materials and Methods
2.1. Summary of Control Volume Method
2.2. Airbag Model
3. The Finite Element Model and Deployed Dynamic Analysis of the Solar Sail
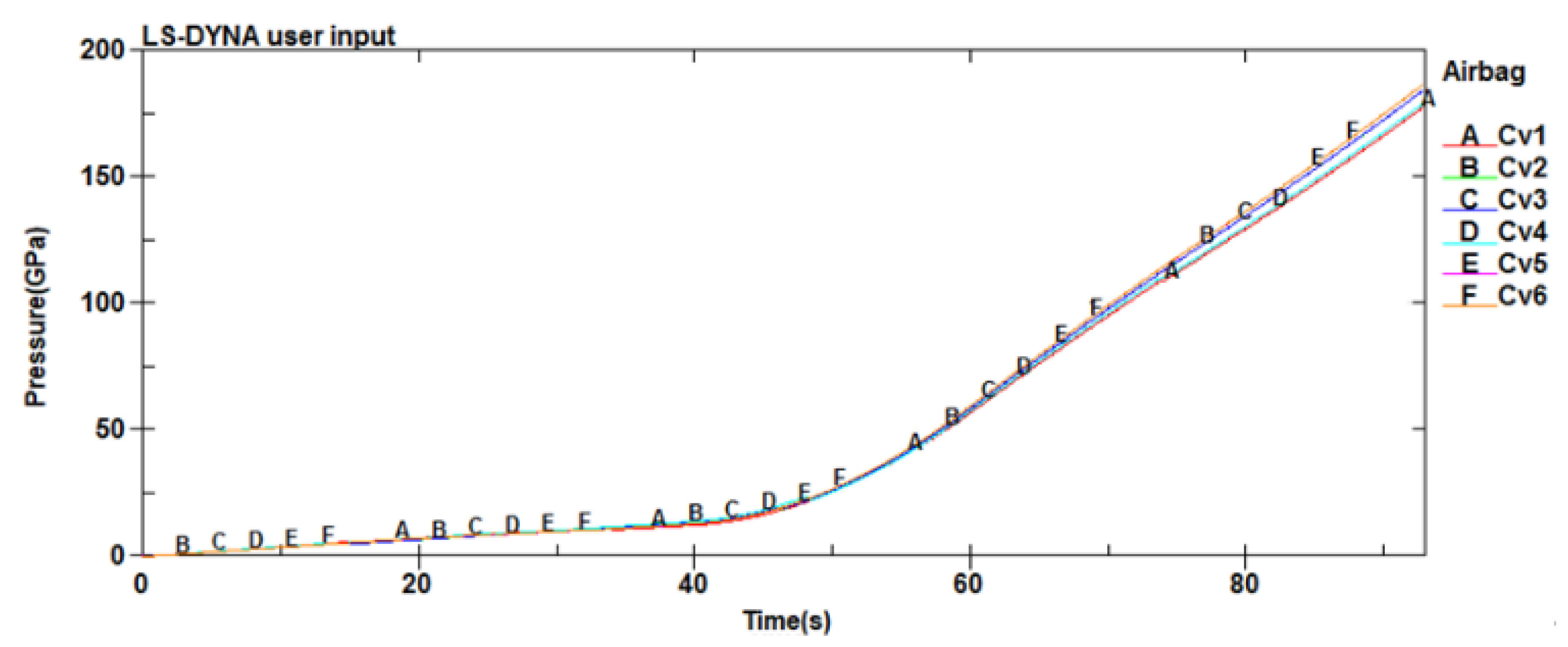
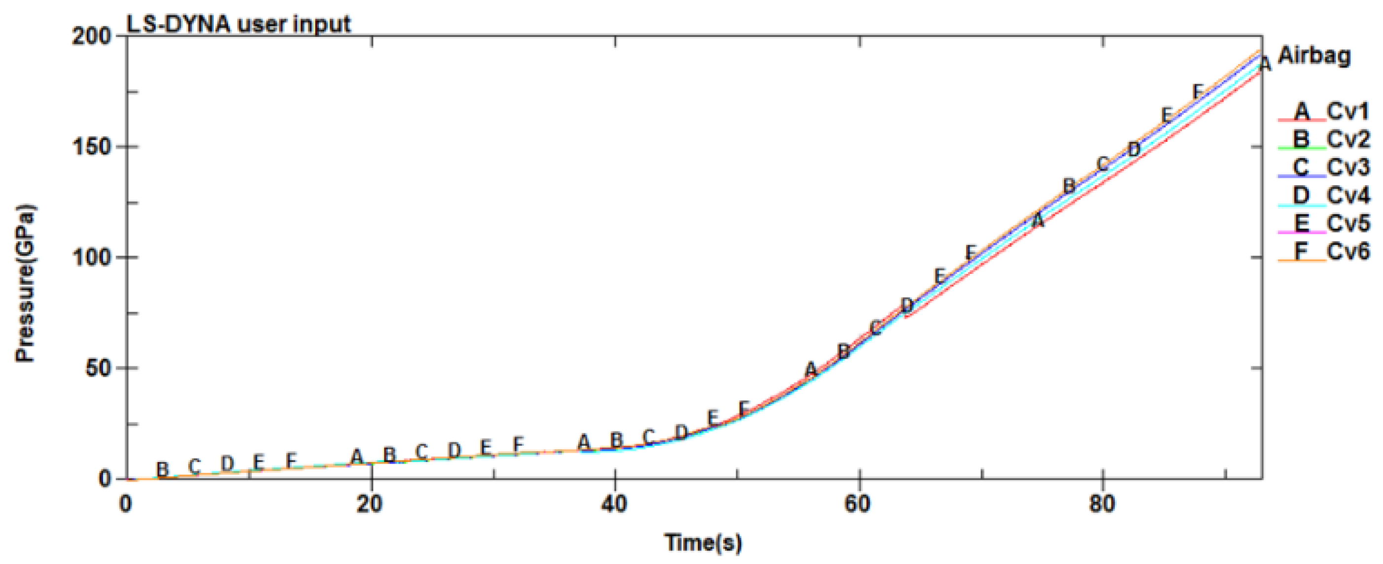
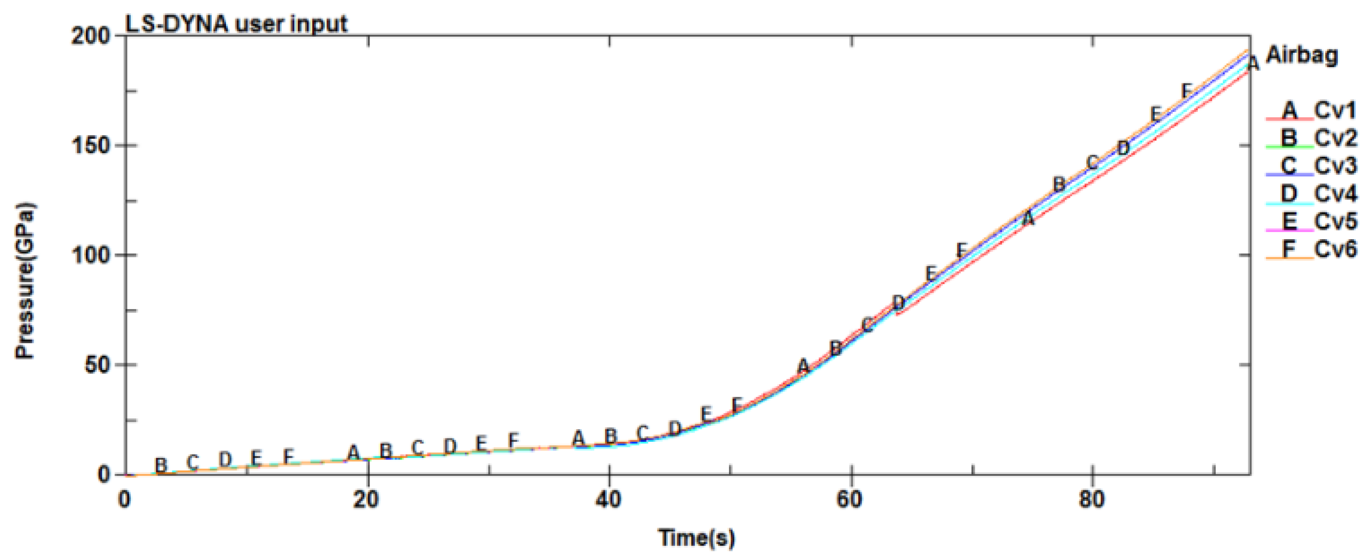
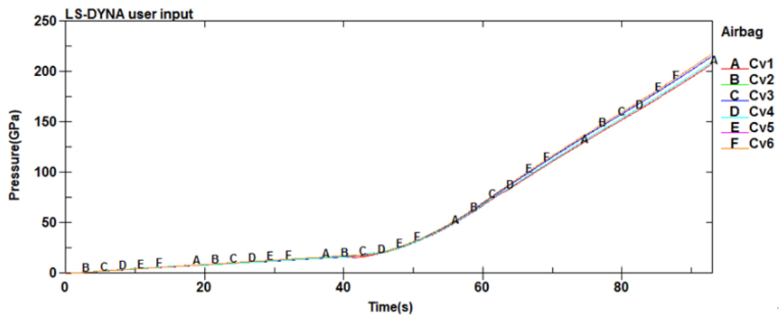
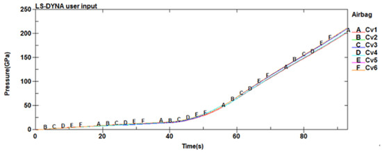
3.1. Dynamics Simulation of Z-Folded Solar Sail
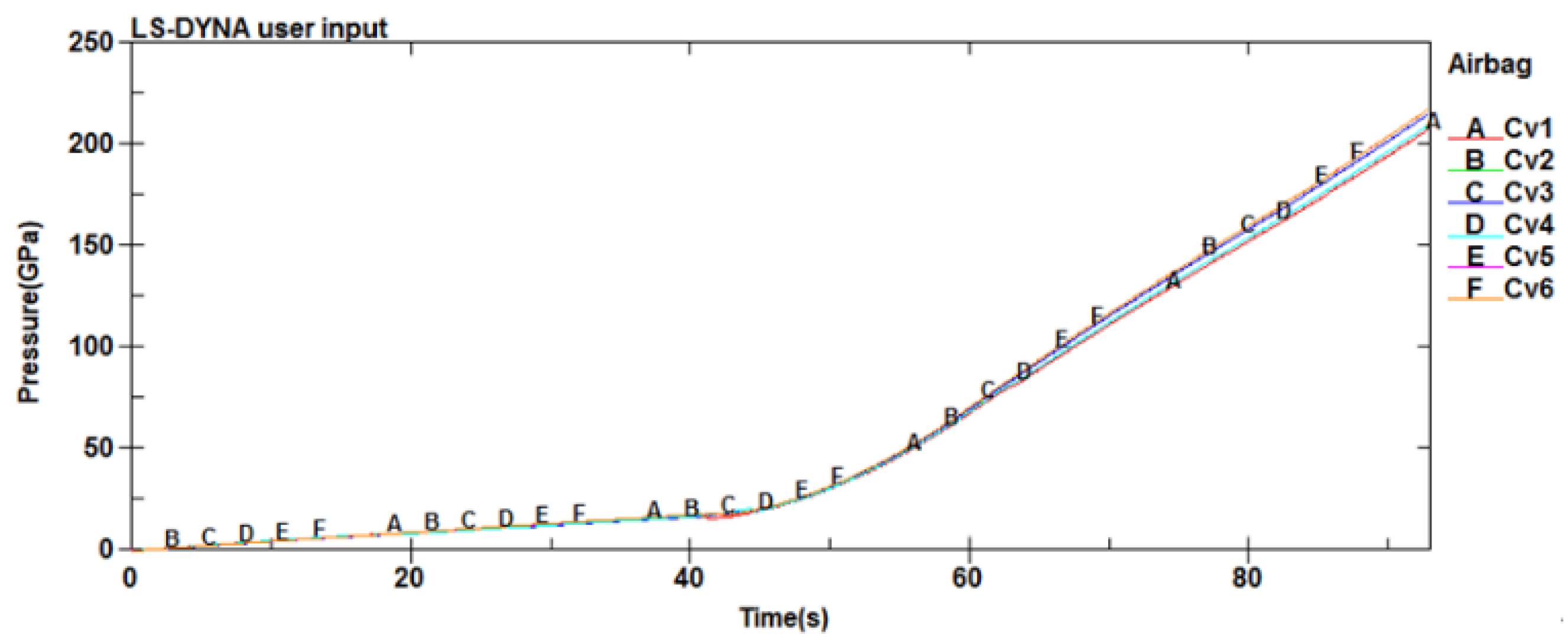
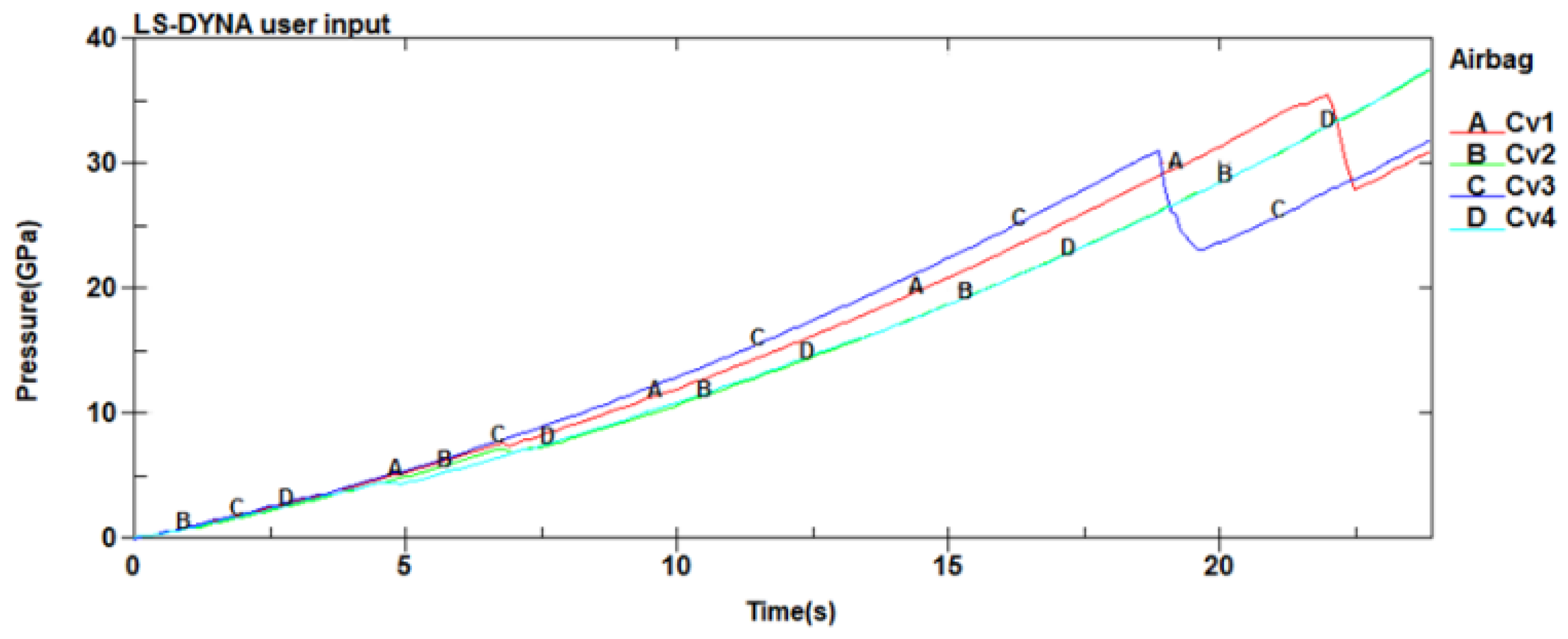
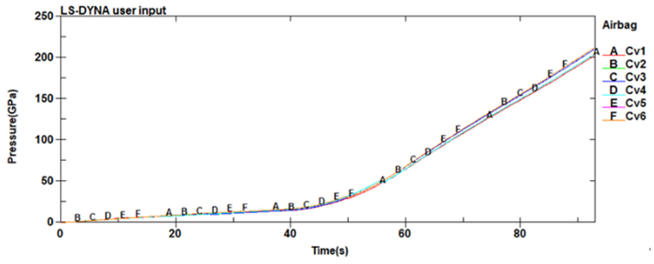
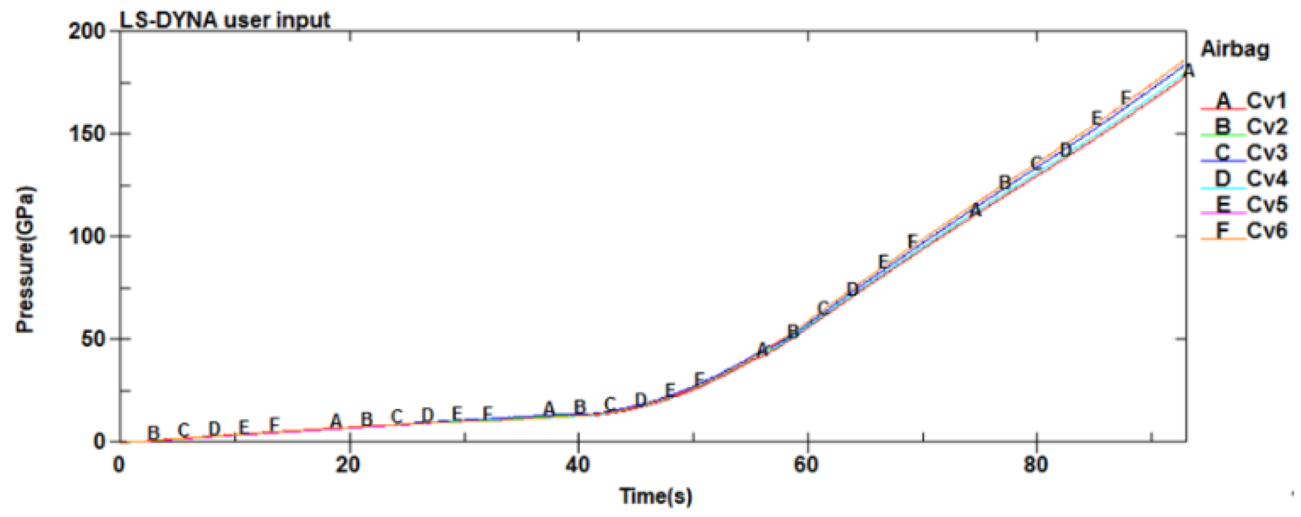
3.2. Dynamics Simulation of Z+ Curly Folded Solar Sail
4. Conclusions
Author Contributions
Funding
Conflicts of Interest
References
- Glaser, R.; Gaccese, V.; Shahinpoor, M. Comparative finite element and experimental analysis of a quasi-static inflation of a thin deployable membrane space structure. Finite Elem. Anal. Des. 2018, 138, 48–65. [Google Scholar] [CrossRef]
- Wei, J.; Ma, R.; Liu, Y. Modal analysis and identification of deployable membrane structures. Acta Astronaut. 2018, 152, 811–822. [Google Scholar] [CrossRef]
- Wei, J.; Tan, H.; Wang, W. Deployable dynamic analysis and on-orbit experiment for inflatable gravity-gradient boom. Adv. Space Res. 2015, 55, 639–646. [Google Scholar] [CrossRef]
- Yang, H.; Zhang, R.; Fan, Z.; Wang, Y.; Liu, R. Deploying dynamics experiment of tape-spring hinges for deployable mechanism. In Proceedings of the 2017 32nd Youth Academic Annual Conference of Chinese Association of Automation (YAC), Hefei, China, 19–21 May 2017; pp. 106–110. [Google Scholar]
- Fernandez, J.M.; Lappas, V.J.; Daton-Lovett, A.J. Completely stripped solar sail concept using bi-stable reeled composite booms. Acta Astronaut. 2011, 69, 78–85. [Google Scholar] [CrossRef]
- Brown, M.A. A deployable mast for solar sails in the range of 100–1000 m. Adv. Space Res. 2011, 48, 1747–1753. [Google Scholar] [CrossRef]
- Qin, D. Design and Analysis of Solar Sail Deployment Mechanism; Springer: Shenyang, China, 2017. [Google Scholar]
- Rong, S.; Liu, J.; Zhao, B.; Cui, N. Inflatable deployment dynamics simulation of Solar sail spacecraft support tube. In Proceedings of the 2009 International Conference on Mechatronics and Automation, Changchun, China, 9–12 August 2009; pp. 2239–2244. [Google Scholar]
- Costanza, G.; Tata, M.E. Design and characterization of a small-scale solar sail deployed by NiTi Shape Memory actuators. Procedia Struct. Integr. 2016, 2, 1451–1456. [Google Scholar] [CrossRef][Green Version]
- Spröwitz, T.; Grundmann, J.T.; Seefeldt, P.; Spietz, P.; Hillebrandt, M.; Jahnke, R.; Mikulz, E.; Renger, T.; Reershemius, S.; Sasaki, K.; et al. Membrane Deployment Technology Development at DLR for Solar Sails and Large-Scale Photovoltaics. In Proceedings of the 2019 IEEE Aerospace Conference, Big Sky, MT, USA, 2–9 March 2019; pp. 1–20. [Google Scholar]
- Roy, R.; Issac, K.K. Proposal for a light solar sail structure and its deployment. In Proceedings of the 2018 IEEE Aerospace Conference, Big Sky, MT, USA, 3–10 March 2018; pp. 1–16. [Google Scholar]
- Johnson, L.; Whorton, M.; Heaton, A. NanoSail-D: A solar sail demonstration mission. Acta Astronaut. 2011, 68, 571–575. [Google Scholar] [CrossRef]
- Fu, B.; Sperber, E.; Eke, F. Solar sail technology-A state of the art review. Prog. Aerosp. Sci. 2016, 86, 1–19. [Google Scholar] [CrossRef]
- Sinn, T.; Vasile, M.; Tibert, G. Design and development of deployable self-inflating adaptive membrane. In Proceedings of the 53rd AIAA/ASME/ASCE/AHS/ASC Srtuctures, Structural Dynamics, and Materials Conference, Honolulu, HI, USA, 23–26 April 2012; Volume 1517, pp. 23–26. [Google Scholar]
- Fernandez, J.M.; Visagie, L.; Schenk, M. Design and development of a gossamer sail system for deorbiting in low earth orbit. Acta Astronaut. 2014, 103, 204–225. [Google Scholar] [CrossRef]
- Sosa, E.M.; Wong, C.S.; Adumitroaie, A. Finite element simulation of deployment of large-scale confined inflatable structures. Thin-Walled Struct. 2016, 104, 152–167. [Google Scholar] [CrossRef]
- Sosa, E.M.; Gregory, J. Experimental investigation of initial deployment of inflatable structures for sealing of rail tunnels. Tunn. Undergr. Space Technol. 2017, 69, 37–51. [Google Scholar] [CrossRef]
- Pecora, L.; Sosa, E.M. FE simulation of ceiling deployment of a large-scale inflatable structure for tunnel sealing. Thin-Walled Struct. 2019, 140, 272–293. [Google Scholar] [CrossRef]
- Lou, M.; Fang, H.; Hsia, L.M. A combined analytical and experimental study on space inflatable booms. In Proceedings of the 2000 IEEE Aerospace Conference. Proceedings (Cat. No.00TH8484), Big Sky, MT, USA, 25–25 March 2000; Volume 2, pp. 503–511. [Google Scholar]
- Mallikarachchi, H.M.Y.C.; Pellegrino, S. Deployment dynamics of ultrathin composite booms with tape-spring hinges. J. Spacecr. Rocket. 2014, 51, 604–613. [Google Scholar] [CrossRef]
- Block, J.; Straubel, M.; Wiedemann, M. Ultralight Deployable Booms for Solar Sails and Other Large GOSSAMER Structures in SPACE; Elsevier Ltd.: Amsterdam, The Netherlands, 2011; Volume 68, pp. 984–992. [Google Scholar]
- Li, Q.; Guo, X.; Gong, J. Experimental deployment behavior of air-inflated fabric arches and a full-scale fabric arch frame. Thin-Walled Struct. 2016, 103, 90–104. [Google Scholar] [CrossRef]
- Ma, R.-Q.; Wei, J.-Z.; Tan, H.-F. Modal analysis of self-supporting arm with inflatable deployment. J. Beijing Univ. Aeronaut. Astronaut. 2018, 44, 526–534. [Google Scholar]
- Zykov, A.V.; Legostayev, V.P.; Subbotin, A.V. The dynamics of a rotating solar sail when it is deployed. J. Appl. Math. Mech. 2015, 79, 35–43. [Google Scholar] [CrossRef]
- Qian, P.; Chen, W.; Zhu, B.; Pan, J.; Hu, M. Research on Simulation Calculation of Kinematic Accuracy Reliability for Folding and Deploying Mechanism Considering Gaps of Kinematic Pair. In Proceedings of the 2012 Third International Conference on Digital Manufacturing & Automation, Guilin, China, 31 July–2 August 2012; pp. 703–706. [Google Scholar]
- Zhang, X.; Zhou, C. Dynamic analysis of spinning solar sails at deployment process. Chin. J. Aeronaut. 2017, 30, 1719–1728. [Google Scholar] [CrossRef]
- Rui, W.; Roberts, P.C.E.; Constantinos, S. Heliogyro solar sail with self-regulated centrifugal deployment enabled by an origami-inspired morphing reflector. Acta Astronaut. 2018, 152, 242–253. [Google Scholar]
- Yang, C.; Zheng, W.; Zheng, X. Static and dynamic evaluations for large square solar sail concept based on scalable prototype validation. Acta Astronaut. 2019, 159, 258–266. [Google Scholar] [CrossRef]
- Liu, J.; Cui, N.; Shen, F.; Rong, S.; Wen, X. Dynamic modeling and analysis of a flexible sailcraft. Adv. Space Res. 2015, 56, 693–713. [Google Scholar] [CrossRef]
- Liu, J.; McInnes, C.R. Modulated solar pressure-based surface shape control of paraboloid space reflectors with an off-axis Sun-line. Smart Mater. Struct. 2018, 27, 035012. [Google Scholar] [CrossRef]









































| Composition | ρ (kg/mm3) | E (GPa) | Poisson’s Ratio | Thickness (mm) |
|---|---|---|---|---|
| Support tube | 1.42 × 10−6 | 2.5 | 0.34 | 0.1 |
| Sail surface | 1.42 × 10−6 | 2.5 | 0.34 | 0.0025 |
| Condition Name | Condition Label |
|---|---|
| standard | 1 |
| modify the inflatable rate | 2 |
| change the inflatable temperature | 3 |
| change the inflatable pressure | 4 |
| Condition Name | Condition Label |
|---|---|
| standard | 1 |
| modify the inflatable rate | 2 |
| change the inflatable position | 3 |
| change the inflatable pressure | 4 |
| change the inflatable temperature | 5 |
Publisher’s Note: MDPI stays neutral with regard to jurisdictional claims in published maps and institutional affiliations. |
© 2022 by the authors. Licensee MDPI, Basel, Switzerland. This article is an open access article distributed under the terms and conditions of the Creative Commons Attribution (CC BY) license (https://creativecommons.org/licenses/by/4.0/).
Share and Cite
Yuan, L.; Song, R.; Wang, F.; Wei, J.; Liu, J. Comparison of Two Folded Methods of Solar Sails. Aerospace 2022, 9, 746. https://doi.org/10.3390/aerospace9120746
Yuan L, Song R, Wang F, Wei J, Liu J. Comparison of Two Folded Methods of Solar Sails. Aerospace. 2022; 9(12):746. https://doi.org/10.3390/aerospace9120746
Chicago/Turabian StyleYuan, Laohu, Rui Song, Feng Wang, Jianzheng Wei, and Jiafu Liu. 2022. "Comparison of Two Folded Methods of Solar Sails" Aerospace 9, no. 12: 746. https://doi.org/10.3390/aerospace9120746
APA StyleYuan, L., Song, R., Wang, F., Wei, J., & Liu, J. (2022). Comparison of Two Folded Methods of Solar Sails. Aerospace, 9(12), 746. https://doi.org/10.3390/aerospace9120746

