Metric for Structural Complexity Assessment of Space Systems Modeled Using the System Modeling Language
Abstract
1. Introduction
2. Complexity for Engineering Design
2.1. Complexity Definition
2.2. Proposed Complexity Metric
2.2.1. Leveraging Model Based Systems Engineering (MBSE)
2.2.2. Complexity Metric Definition
2.3. SysML Complexity Metric Discussion
2.3.1. Verification of Weyuker’s Properties
- (1)
- where P and Q are two different classes. A measure should not rank all classes as equally complex. Proof: Consider element A composed of elements B and C with each a complexity of 1 and no interactions. and .
- (2)
- Let c be a non-negative number, and then there are only finite number of classes and programs of complexity c. Proof: Each class is composed of a finite number of components and thus each class has a minimum complexity before considering interactions. Thus, for any complexity c there are a finite number of classes for which the sum of the complexity of components is less or equal to c and the interaction complexity term is smaller than
- (3)
- There are distinct classes P and Q such that . This property states that there are multiple classes of the same complexity. Proof: Two different classes with no interactions may be composed of different sub-classes for which the sum of complexities is equal.
- (4)
- . This property states that implementation is important. If there exist classes P and Q such that they produce the same output given the same input. Proof: Assuming that classes represent engineered systems, take two different that serve the same function, for example, to transport a person. An electric car, a gas car, or a bicycle could be used to transport a person, in each case, the “output”, the transported person, is the same but the components, interactions, and architecture are different thus yielding different complexity results.
- (5)
- This property states that if the combined class is constructed from class P and class Q, the value of the class complexity for the combined class is larger than the value of the class complexity for the class P or the class Q. Proof: Let set A be a class of components C and D. The complexity of A is thenall values inequation in the previous equation are positive thus and
- (6)
- This property states that if a new class is appended to two classes which have the same class complexity, the class complexities of two new combined classes are different or the interaction between P and R can be different than interaction between Q and R resulting in different complexity values for and . Proof: Assume A and B two classes of same complexity but with different components and interactions. Introduce a third interacting class C, the interactions between A and C and between B and C will be different due to the differences between A and B thus the complexity of the resulting class is also different.
- (7)
- There are program bodies P and Q such that Q is formed by permuting the order of the statements of P, and . This property states that permutation of elements within the item being measured can change the metric values. The intent is to ensure that metric values change due to permutation of classes. Proof: If Q is a permutation of the elements in P then the interactions are also different resulting in a difference in the term thus
- (8)
- If P is renaming of Q, then |. This property requires that when the name of the class or object changes it will not affect the complexity of the class. Even if the member function or member data name in the class change, the class complexity should remain unchanged. Proof: The complexity does not take the name of the components into consideration.
- (9)
- . This property states that the class complexity of a new class combined from two classes is greater than the sum of two individual class complexities. In other words, when two classes are combined, the interaction between classes can increase the complexity metric value. Proof: By definition, the complexity of the class is higher than the sum of the complexities of its components due to the added complexity due to the interactions.
2.3.2. Impact of Symmetry
3. Case Studies
3.1. Case Study Methodology
- A type of system will be selected, and two variants of the system will be identified.
- The two variants of a system will be decomposed into a set of parts.
- Subsystems for each system will be identified and parts will be assigned to their corresponding subsystem.
- A SysML representation of the system will be created with the structure and hierarchical decomposition shown in a BDD with a corresponding IBD showing the interactions.
- The complexity of the components and the interactions will be determined.
- The metric will be applied to the variants at the different decomposition levels, the subsystems levels, and the system level. Starting from the lowest level and using the information about the complexity of the level below to calculate the next level.
- Sensitivity analyses will then be performed to determine the impact of the initial complexity assumptions.
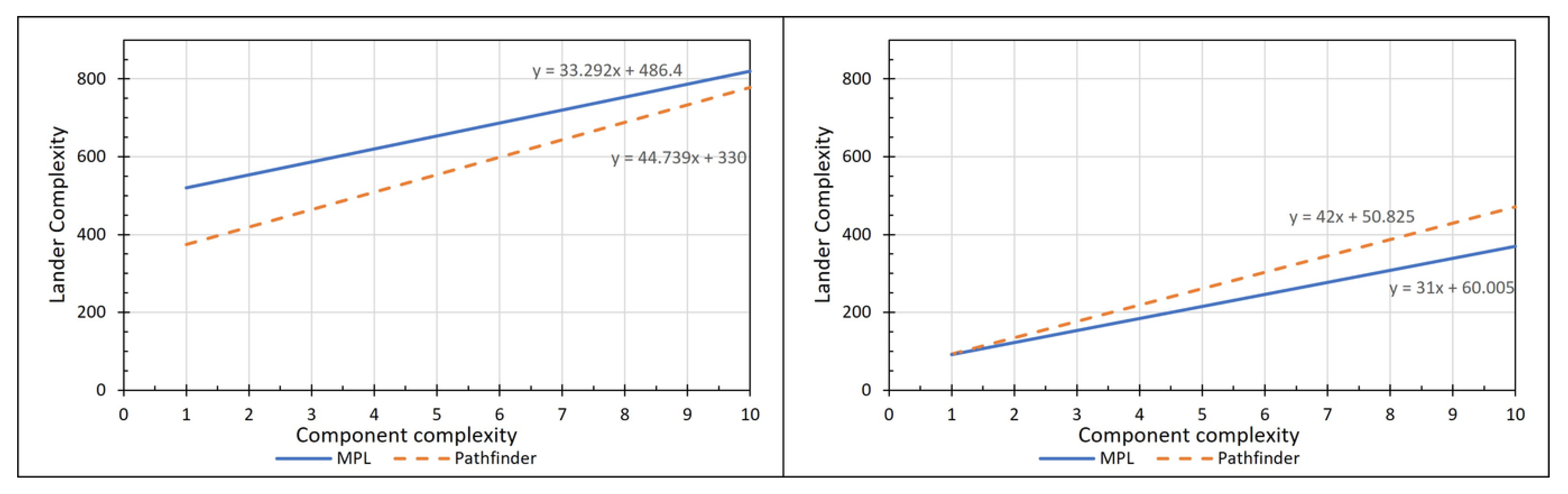
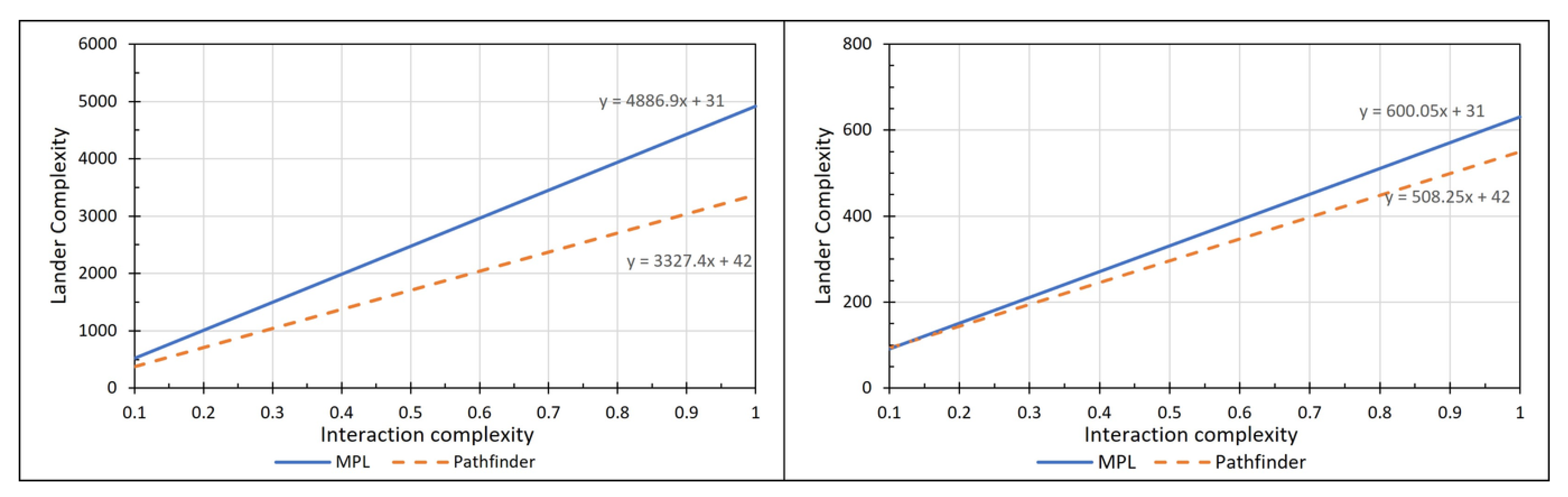
3.2. Mars Lander
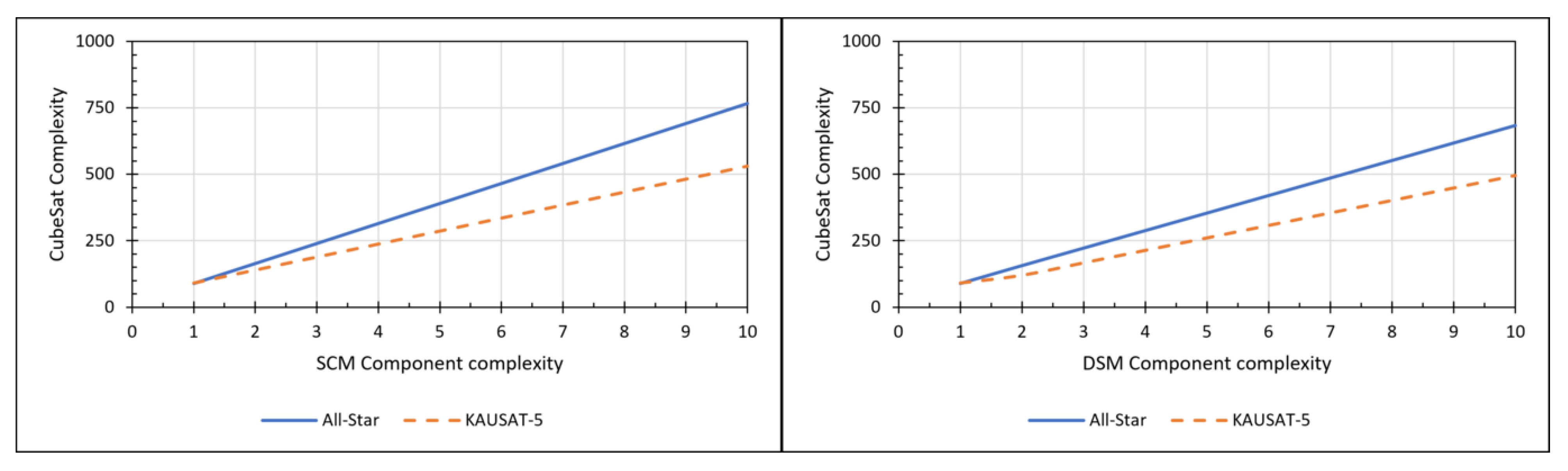
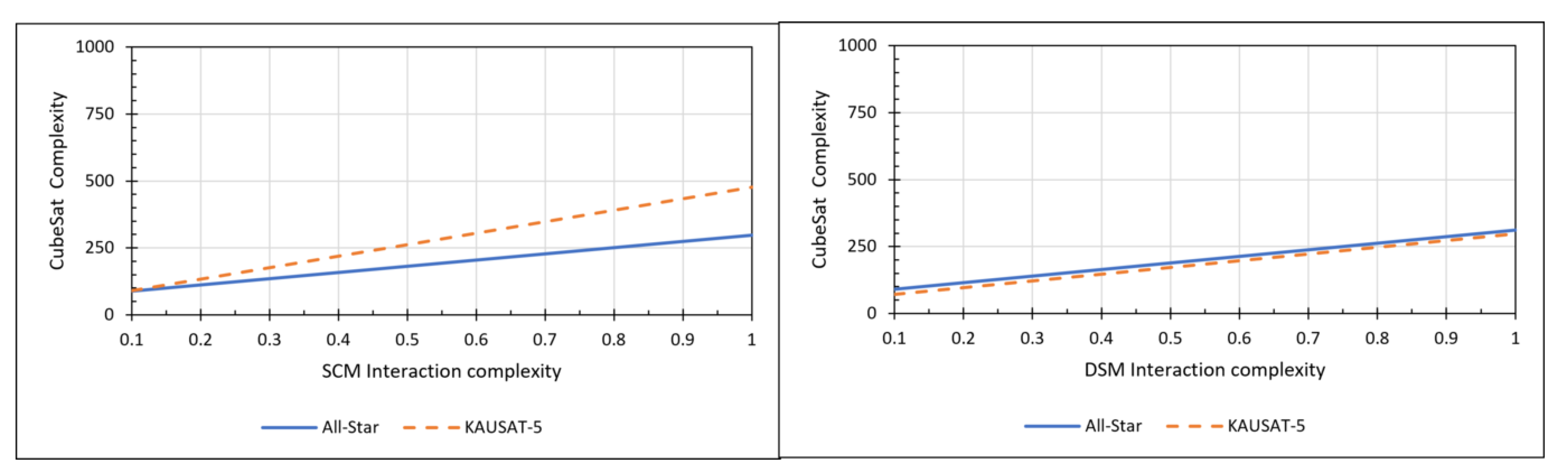
3.3. 3U Low Earth Orbit CubeSats
3.4. Thermal Management System
- A system using a single stage of cooling.
- A system using two stages of cooling.
4. Conclusions
4.1. Main Conclusions
4.2. Future Work
Author Contributions
Funding
Institutional Review Board Statement
Informed Consent Statement
Data Availability Statement
Acknowledgments
Conflicts of Interest
References
- Sheard, S.A.; Cook, S.; Honour, E.; Hybertson, D.; Krupa, J.; McEver, J.; McKinney, D.; Ondrus, P.; Ryan, A.; Scheurer, R.; et al. A Complexity Primer for Systems Engineers; White Paper; INCOSE: San Diego, CA, USA, 2015. [Google Scholar]
- Ladyman, J.; Lambert, J.; Wiesner, K. What is a complex system? Eur. J. Philos. Sci. 2013, 3, 33–67. [Google Scholar] [CrossRef]
- Bennett, C.H. Logical Depth and Physical Complexity. Univers. Turing Mach. Half-Century Surv. 1988, 2, 227–257. [Google Scholar] [CrossRef]
- Broniatowski, D.A.; Moses, J. Flexibility, Complexity, and Controllability in Large Scale Systems; ESD Working Paper Series; Massachusetts Institute of Technology, Engineering Systems Division: Cambridge, MA, USA, 2014; p. 7. [Google Scholar]
- James, D.H.; Sinha, K.; de Weck, O. Technology Insertion in Turbofan Engine and Assessment of Architectural Complexity. In Proceedings of the 13th International Dependency and Structure Modelling Conference, Cambridge, MA, USA, 14–15 September 2011; Massachusetts Institute of Technology: Cambridge, MA, USA, 2011. [Google Scholar]
- James, D.H. Influence of System Architecture Changes on Organizational Work Flow and Application to Geared Turbofan Engines. Ph.D. Thesis, Massachusetts Institute of Technology, Cambridge, MA, USA, 2011. [Google Scholar]
- Sinha, K.; Suh, E.S.; de Weck, O. Integrative Complexity: An Alternative Measure for System Modularity. J. Mech. Des. 2018, 140, 051101. [Google Scholar] [CrossRef]
- Sinha, K. Structural Complexity and its Implications for Design of Cyber- Physical Systems. Ph.D. Thesis, Massachusetts Institute of Technology, Cambridge, MA, USA, 2014. [Google Scholar]
- Wynn, D.C.; Kreimeyer, M.; Clarkson, P.J.; Lindemann, U. Dependency modelling in complex system design. J. Eng. Des. 2012, 23, 718–721. [Google Scholar] [CrossRef]
- Lankford, J. Measuring system and software architecture complexity. In Proceedings of the 2003 IEEE Aerospace Conference Proceedings (Cat. No.03TH8652), Big Sky, MT, USA, 8–15 March 2003; Volume 8, pp. 8_3849–8_3857. [Google Scholar]
- Morzy, M.; Kajdanowicz, T.; Kazienko, P. On Measuring the Complexity of Networks: Kolmogorov Complexity versus Entropy. Complexity 2017, 2017, 3250301. [Google Scholar] [CrossRef]
- Siegenfeld, A.F.; Bar-Yam, Y. An Introduction to Complex Systems Science and Its Applications. Complexity 2020, 2020, 6105872. [Google Scholar] [CrossRef]
- Aleksandravičienė, A.; Morkevičius, A. MagicGrid® Book of Knowledge: A Practical Guide to Systems Modeling Using MagicGrid from Dassault Systèmes, 2nd ed.; Vitae Litera: Kaunas, Lithuania, 2021. [Google Scholar]
- Friedenthal, S.; Izumi, L.; Meilich, A. 9.2.2 Object-Oriented Systems Engineering Method (OOSEM) applied to Joint Force Projection (JFP), a Lockheed Martin Integrating Concept (LMIC). INCOSE Int. Symp. 2007, 17, 1471–1491. [Google Scholar] [CrossRef]
- Sarica, S.; Luo, J. An Infinite Regress Model of Design Change Propagation in Complex Systems. IEEE Syst. J. 2019, 13, 3610–3618. [Google Scholar] [CrossRef]
- Lopez, V.; Thomas, D. Complexity assessment using SysML models. Procedia Comput. Sci. 2019, 153, 225–232. [Google Scholar] [CrossRef]
- Brady, T.K. Utilization of Dependency Structure Matrix Analysis to Assess Complex Project Designs. In Proceedings of the ASME 2002 International Design Engineering Technical Conferences and Computers and Information in Engineering Conference, Montreal, QC, Canada, 29 September–2 October 2002; pp. 231–240. [Google Scholar] [CrossRef]
- NASA. 1998 Mars Missions Press Kit; NASA: Washington, DC, USA, 1998.
- Sinha, K.; Suh, E.S. Pareto-optimization of complex system architecture for structural complexity and modularity. Res. Eng. Des. 2018, 29, 123–141. [Google Scholar] [CrossRef]
- Blau, P. All-Star/THEIA—Spacecraft & Satellites. Available online: https://spaceflight101.com/spacecraft/all-startheia/ (accessed on 27 July 2022).
- THEIA. Available online: https://spacegrant.colorado.edu/allstar-projects/theia (accessed on 27 July 2022).
- Song, S.; Kim, H.; Chang, Y.K. Design and Implementation of 3U CubeSat Platform Architecture. Int. J. Aerosp. Eng. 2018, 2018, 2079219. [Google Scholar] [CrossRef]
- Plachta, D.; Feller, J.; Guzik, M. In-Space Cryogenic Propellant Storage Applications for a 20W at 20K Cryocooler; Cryocoolers 19; International Cryocooler Conference, Inc.: San Diego, CA, USA, 20–23 June 2016.
- Guzik, M.C.; Tomsik, T.M. A Scaling Tool for Modeling Single Stage Reverse Turbo-Brayton Cycle Cryocoolers with a Broad Area Cooling System for Cryogenic Propellant Tanks; NASA Glenn Research Center: Cleveland, OH, USA, 2012; p. 23. [Google Scholar]
















| Metric | SysML Complexity Metric | DSM Complexity Metric |
|---|---|---|
| Basis of Metric | SysML Model | DSM |
| Knowledge of system required | SysML description of the components and interactions up to level for which complexity can be confidently assessed. Mixing levels of decomposition is allowed. External interactions can be included | DSM showing interactions between all components at the same decomposition level with associated complexities for components and interactions. External interactions cannot be included |
| Goal | Quantify complexity throughout the design, to provide system designers insight into the complexity of their design, the origin of the complexity, and the potential consequences of said complexity such as unexpected behavior or larger resources needs | Quantify overall system complexity to provide system designers an understanding of the system complexity and the best arrangement of subsystems to increase modularity while minimizing complexity |
| Calculation Procedure | From a SysML model, it can be calculated directly from the SysML tool using constraints relationships or with an external tool using an XML export of the model. | From a DSM description, it can be easily calculated using matrix math using Excel or MATLAB. |
| Interaction representation | SysML Model element interactions | Adjacency Matrix |
| Topoligcal Complexity term | Cyclomatic Complexity | Graph Energy |
| v | ||||
|---|---|---|---|---|
| Case 1 | 4.47 | 1 | 7.35 | 4.75 |
| Case 2 | 2 | 1 | 5 | 4.5 |
| Case 3 | 0 | 1 | 4 | 4.38 |
| MPL | Pathfinder | % Difference | |||||||
|---|---|---|---|---|---|---|---|---|---|
| AIM | 7.8 | 6.5 | 1.14 | 15.12 | 6.4 | 0.82 | 63.89 | 1.55 | 21.28 |
| EDL | 3.07 | 1.7 | 0.33 | 4.1 | 1.3 | 0.5 | 28.84 | 26.67 | 40 |
| MIH | 4.23 | 6.3 | 0.75 | 6.08 | 7.3 | 0.17 | 36.05 | 14.71 | 127.27 |
| PAY | 5 | 3.3 | 1 | 5.12 | 1.9 | 0.6 | 2.37 | 53.85 | 50 |
| PPS | 5.2 | 3.5 | 0.5 | 7.14 | 3.1 | 0.29 | 51.89 | 12.12 | 54.55 |
| PRO | 1 | 1.1 | 1 | 2.05 | 0.6 | 0.5 | 68.85 | 58.82 | 66.67 |
| TEL | 8 | 4.2 | 1 | 5.12 | 1.4 | 0.4 | 43.9 | 100 | 85.71 |
| (subs.) | 33.29 | 44.75 | 29.34 | ||||||
| (subs.) | 26.6 | 22 | 18.93 | ||||||
| (subs.) | 18.29 | 15 | 19.74 | ||||||
| 519.69 | 374.74 | 32.41 | |||||||
| All-Star/THEIA | KAUSAT-5 | % Difference | |||||||
|---|---|---|---|---|---|---|---|---|---|
| ACS | 27.11 | 0.85 | 0.96 | 10.27 | 1.00 | 0.30 | 90.11 | 16.22 | 104.50 |
| CDH | 16.92 | 0.70 | 0.44 | 7.09 | 0.70 | 0.14 | 81.93 | 0.00 | 101.54 |
| CS | 2.00 | 0.20 | 1.00 | 8.44 | 0.80 | 0.63 | 123.35 | 120.00 | 46.15 |
| EPS | 16.60 | 0.90 | 1.00 | 7.09 | 0.70 | 0.14 | 80.34 | 25.00 | 150.00 |
| PAY | 5.20 | 0.95 | 0.40 | 10.96 | 1.00 | 0.80 | 71.29 | 5.13 | 66.67 |
| PROP/TCS | 1.00 | 0.00 | 1.00 | 2.00 | 0.20 | 1.00 | 66.67 | 200.00 | 0.00 |
| STR | 6.40 | 0.30 | 1.40 | 3.20 | 0.30 | 0.67 | 66.67 | 0.00 | 70.97 |
| (subs) | 75.23 | 49.04 | 42.15 | ||||||
| (subs) | 3.90 | 4.70 | 18.60 | ||||||
| (subs) | 3.57 | 8.71 | 83.72 | ||||||
| 89.16 | 90.00 | 0.93 | |||||||
| Component | Complexity | Rationale |
|---|---|---|
| Outer MLI | 3 | Sprayed MLI. Complex material installation |
| BAC | 2 | Similar to the tank complexity |
| Outer Cooling Loops | 2 | Simple materials, lines need to be attached to the tank |
| Inner MLI | 3 | Sprayed MLI. Complex material installation |
| LH2 | 1 | Reference Point. Engineering analysis needed. Acquired from a third party |
| LH2 Tank | 2 | Considered twice as complex as the LH2 itself since it needs engineering analysis and incur cost and installation effort. Acquired from a third party company |
| 20 K Manifold | 4 | Joint different tubes. Made in house/Simple materials but needed expert installation |
| Inner Cooling Loops | 2 | Lines/Simple materials needed to be attached to the tank |
| 90 K Manifold | 4 | Joint of different lines. Made in house/simple materials but requires expert installation |
| Cryocooler system component | 0.2 | Assumed to be 1/5 of the complexity of the LH2 tank. Acquired from 3rd party companies |
| Interaction Type | Complexity | Rationale |
|---|---|---|
| Working Fluid | 1 | Line connection assumed to be 1/4 the complexity of the manifold |
| Power | 0.4 | Need to select, acquire and install cables |
| Heat | 1 | Engineering analysis, no physical system to create |
| Cryocooler System | Single Stage of Cooling | Two Stages of Cooling | |
|---|---|---|---|
| 1.4 | 32.26 | 45.51 | |
| 9.5 | 5.2 | 10.1 | |
| 1.14 | 0.67 | 1.27 | |
| 12.26 | 35.72 | 58.37 |
| 20 K Cryocooler System | 90 K Cryocooler System | Single Stage of Cooling | Two Stages of Cooling | |
|---|---|---|---|---|
| subs. | 0.7 | 0.14 | 31.56 | 43.55 |
| subs. | 9.5 | 9.5 | 5.2 | 10.1 |
| (subs.) | 1.14 | 1.14 | 0.67 | 1.27 |
| 11.56 | 11 | 35.02 | 56.41 |
Publisher’s Note: MDPI stays neutral with regard to jurisdictional claims in published maps and institutional affiliations. |
© 2022 by the authors. Licensee MDPI, Basel, Switzerland. This article is an open access article distributed under the terms and conditions of the Creative Commons Attribution (CC BY) license (https://creativecommons.org/licenses/by/4.0/).
Share and Cite
Lopez, V.E.P.; Thomas, L.D. Metric for Structural Complexity Assessment of Space Systems Modeled Using the System Modeling Language. Aerospace 2022, 9, 612. https://doi.org/10.3390/aerospace9100612
Lopez VEP, Thomas LD. Metric for Structural Complexity Assessment of Space Systems Modeled Using the System Modeling Language. Aerospace. 2022; 9(10):612. https://doi.org/10.3390/aerospace9100612
Chicago/Turabian StyleLopez, Victor Emmanuel Pierre, and Lawrence Dale Thomas. 2022. "Metric for Structural Complexity Assessment of Space Systems Modeled Using the System Modeling Language" Aerospace 9, no. 10: 612. https://doi.org/10.3390/aerospace9100612
APA StyleLopez, V. E. P., & Thomas, L. D. (2022). Metric for Structural Complexity Assessment of Space Systems Modeled Using the System Modeling Language. Aerospace, 9(10), 612. https://doi.org/10.3390/aerospace9100612

