Study on Film Cooling Performance of Round Hole Embedded in Different Shaped Craters and Trenches
Abstract
1. Introduction
2. Computational Model
2.1. Computational Domain
2.2. Performance Evaluation Parameters for Film Cooling
2.3. Boundary Condition and Solution Method
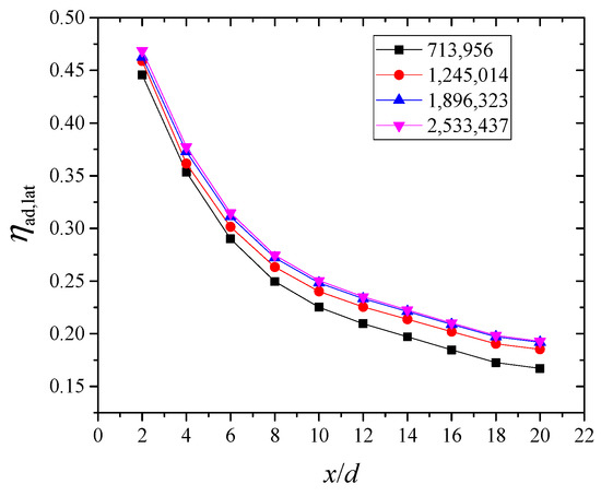
3. Experimental Validation
4. CFD Results Analysis
4.1. Transverse Trench
4.2. W-Shaped Trench
4.3. Elliptical Trench
5. Conclusions
- (1)
- Inside the transverse trench, a pair of recirculating vortices is formed, which promotes the lateral spreading of coolant. Downstream of the transverse trench, a kidney vortex pair and anti-vortex pair are formed simultaneously. The increase of trench depth and the decrease of trench width can both cause increases of film cooling effectiveness.
- (2)
- Inside the W-shaped trench, the existence of a corner angle further promotes the coolant spreading in the lateral direction and generates higher film cooling effectiveness than the transverse trench. Similar to the transverse trench, the increase of trench depth and the decrease of trench width both result in the increase of cooling effectiveness.
- (3)
- For the elliptic trench, the flow characteristics are very similar to the round hole, and the kidney vortex pair is the largest-scale vortex structure. There exists an optimal exit area ratio (the exit area of elliptic trench/the exit area of round hole) for the elliptic trench, and too large or small an exit area ratio can lead to the degradation of film cooling effectiveness. The elliptic trench generates higher film cooling effectiveness than the round hole, but lower effectiveness than the transverse trench and W-shaped trench.
- (4)
- As the blowing ratio increases, the discharge coefficient increases firstly and then keeps stable. The increase of trench depth and decrease of trench width results in the increase of the discharge coefficient for the transverse trench. For the W-shaped trench, the increase of the corner angle causes the decrease of the discharge coefficient. For the elliptic trench, the discharge coefficient increases with the decrease of the elliptic aspect ratio (major axis/minor axis).
Author Contributions
Funding
Institutional Review Board Statement
Informed Consent Statement
Data Availability Statement
Conflicts of Interest
Nomenclature
| Ac | Cross section area of round hole (m2) |
| Cd | Discharge coefficient (-) |
| d | Diameter of round hole (mm) |
| D | Axis Length of elliptic crater (mm) |
| h | Trench depth (mm) |
| M | Blowing ratio (-) |
| mc | Coolant mass flow rate (kg/s) |
| P*C,in | Inlet total pressure of secondary flow (Pa) |
| PC,out | Static pressure downstream of trench (Pa) |
| T | Temperature (K) |
| w | Trench width (mm) |
| x, y and z | Streamwise, spanwise and vertical direction |
| Greek symbols | |
| α | Corner angle of W-shaped trench (°) |
| η | Cooling effectiveness (-) |
| ρ | Gas density (kg/m3) |
| δ99 | Boundary layer thickness of mainstream inlet (mm) |
| θ | Dimensionless temperature [=(T − Tc)/(T∞ − Tc)] |
| subscript | |
| w | Wall |
| ∞ | Mainstream |
| c | Coolant |
| ad | At adiabatic condition |
| av | Area-averaged value |
| loc | Local value |
| lat | Laterally averaged value |
| overall | At the condition considering heat conduction |
| x, y and z | Streamwise, spanwise and vertical component |
References
- Bogard, D.G.; Thole, K.A. Gas turbine film cooling. J. Propuls. Power 2006, 22, 249–270. [Google Scholar] [CrossRef]
- Bunker, R.S. A review of shaped hole turbine film-cooling technology. ASME J. Heat Transf. 2005, 127, 441–453. [Google Scholar] [CrossRef]
- Bell, C.M.; Hamakawa, H.; Ligrani, P.M. Film cooling from shaped holes. ASME J. Heat Transf. 2000, 122, 224–232. [Google Scholar] [CrossRef]
- Saumweber, C.; Schulz, A. Effect of geometry variations on the cooling performance of fan-shaped cooling holes. ASME J. Turbomach. 2012, 134, 061008. [Google Scholar] [CrossRef]
- Wang, C.H.; Zhang, J.Z.; Zhou, J.H. Optimization of a fan-shaped hole to improve film cooling performance by RBF neural network and genetic algorithm. Aerosp. Sci. Technol. 2016, 58, 18–25. [Google Scholar] [CrossRef]
- Kistenmacher, D.A.; Davidson, F.T.; Bogard, D.G. Realistic trench film cooling with a thermal barrier coating and deposition. ASME J. Turbomach. 2014, 136, 091002. [Google Scholar] [CrossRef]
- Baheri, S.; Alavi Tabrizi, S.P.; Jubran, B.A. Film cooling effectiveness from trenched shaped and compound holes. Heat Mass Transf. 2008, 44, 989–998. [Google Scholar] [CrossRef]
- Li, J.; Ren, J.; Jiang, H.D. Film cooling performance of the embedded holes in trenches with compound angles. In Proceedings of the ASME Turbo Expo 2010, Glasgow, Scotland, UK, 14–18 June 2010; pp. 1415–1424, ASME Paper No. GT2010-22337. [Google Scholar]
- Bunker, R.S. Film cooling effectiveness due to discrete holes within a transverse surface slot. In Proceedings of the ASME Turbo Expo 2002, Amsterdam, The Netherlands, 3–6 June 2002. ASME Paper No. GT2002-30178. [Google Scholar]
- Harrison, K.L.; Bogard, D.G. CFD predictions of film cooling adiabatic effectiveness for cylindrical holes embed in narrow and wide transverse trenches. In Proceedings of the ASME Turbo Expo 2007, Montreal, QC, Canada, 14–17 May 2007. ASME Paper No. GT2007-28005. [Google Scholar]
- Lu, Y.; Nasir, H.; Ekkad, S.V. Film cooling from a row of holes embedded in transverse slots. In Proceedings of the ASME Turbo Expo 2005, Reno, NV, USA, 6–9 June 2005. ASME paper No. GT2005-68598. [Google Scholar]
- Lu, Y.; Dhungel, A.; Ekkad, S.V.; Bunker, R.S. Effect of trench width and depth on film cooling from cylindrical holes embedded in trenches. ASME J. Turbomach. 2009, 131, 011003. [Google Scholar] [CrossRef]
- Lu, Y.; Ekkad, S.V.; Bunker, R.S. Trench film cooling: Effect of trench downstream edge and hole spacing. In Proceedings of the ASME Turbo Expo 2008, Berlin, Germany, 9–13 June 2008. ASME Paper No. GT2008-50606. [Google Scholar]
- Waye, S.K.; Bogard, D.G. High resolution film cooling effectiveness measurements of axial holes embedded in a transverse trench with various trench configurations. In Proceedings of the ASME Turbo Expo 2006, Barcelona, Spain, 8–11 May 2006. ASME Paper No. GT2006-90226. [Google Scholar]
- Davidson, F.T.; KistenMacher, D.A.; Bogard, D.G. Film Cooling With a Thermal Barrier Coating: Round Holes, Craters, and Trenches. ASME J. Turbomach. 2014, 136, 041007. [Google Scholar] [CrossRef]
- Lee, K.D.; Kim, K.Y. Film cooling performance of cylindrical holes embedded in a tranverse trench. Numer. Heat Transf. Part A Appl. 2014, 65, 127–143. [Google Scholar] [CrossRef]
- Oguntade, H.I.; Andrews, G.E.; Burns, A.D.; Ingham, D.B.; Pourkashanian, M. Improved trench film cooling with shaped trench outlets. ASME J. Turbomach. 2013, 135, 021009. [Google Scholar] [CrossRef]
- Lu, Y.; Dhungel, A.; Ekkad, S.V.; Bunker, R.S. Film cooling measurements for cratered cylindrical inclined holes. ASME J. Turbomach. 2009, 131, 011005. [Google Scholar] [CrossRef]
- Dorrington, J.R.; Bogard, D.G.; Bunker, R.S. Film Effectiveness Performance for Coolant Holes Imbedded in Various Shallow Trench and Crater Depressions. In Proceedings of the ASME Turbo Expo 2007, Montreal, QC, Canada, 14–17 May 2007. ASME Paper No. GT2007-27992. [Google Scholar]
- Kross, B.; Pfitzner, M. Numerical and Experimental Investigation of the Film Cooling Effectiveness in a Novel Trench Configuration. In Proceedings of the ASME Turbo Expo 2012, Copenhagen, Denmark, 11–15 June 2012. ASME Paper No. GT2012-68125. [Google Scholar]
- Wang, C.H.; Sun, X.K.; Fan, F.S.; Zhang, J.Z. Study on trench film cooling on turbine vane by large-eddy simulation. Numer. Heat Transf. Part A Appl. 2020, 78, 338–358. [Google Scholar] [CrossRef]
- Wei, J.S.; Zhu, H.R.; Liu, C.L.; Song, H.; Liu, C.; Meng, T. Experimental study on the film cooling characteristics of the cylindrical holes embedded in sine-wave shaped trench. In Proceedings of the ASME Turbo Expo 2016, Seoul, Korea, 13–17 June 2016. ASME Paper No. GT2016-56856. [Google Scholar]
- Zhang, B.L.; Zhang, L.; Zhu, H.R.; Wei, J.S.; Fu, Z.Y. Numerical study on the influence of trench width on film cooling characteristics of double-wave trench. In Proceedings of the ASME Turbo Expo 2017, Charlotte, VA, USA, 26–30 June 2017. ASME Paper No. GT2017-63552. [Google Scholar]
- Fan, F.S. Large Eddy Simulation and Experimental Study on Film Cooling Flow and Heat Transfer Performance of Shallow Trenches. Master’s Thesis, Nanjing Universtiy of Aeronautics and Astronautics, Nanjing, China, 2020. [Google Scholar]
- Fan, F.S.; Wang, C.H.; Feng, H.K.; Zhang, J.Z. Large eddy simulation of film cooling from a shallow trench hole. J. Propuls. Technol. 2020, 41, 830–839. [Google Scholar]
- Renze, P.; Schroder, W.; Meinke, M. Large eddy simulation of film cooling flow ejected in a shallow cavity. In Proceedings of the ASME Turbo Expo 2008, Berlin, Germany, 9–13 June 2008. ASME paper No. GT2008-50120. [Google Scholar]
- Mahesh, K. The interaction of jets with crossflow. Annu. Rev. Fluid Mech. 2013, 45, 379–407. [Google Scholar] [CrossRef]
- Haven, B.A.; Yamagata, D.K.; Kurosaka, M.; Yamawaki, S.; Maya, T. Anti-kidney pair of vortices in shaped holes and their influence on film cooling effectiveness. In Proceedings of the ASME Turbo Expo 2010, Glasgow, Scotland, 14–18 June 2010. ASME paper No. 97-GT-045. [Google Scholar]






















| Trench Type | Symbol | Changing Interval |
|---|---|---|
| Transverse trench | W | 2.5~3.5d |
| h | 0.25~1.8d | |
| W-shaped trench | W | 1.2~2.4d |
| h | 0.25~1.8d | |
| α | 40~80° | |
| Elliptic trench | Dx | 1.2~3.2d |
| Dy | 1.2~3.2d | |
| h | 0.25~1.8d |
Publisher’s Note: MDPI stays neutral with regard to jurisdictional claims in published maps and institutional affiliations. |
© 2021 by the authors. Licensee MDPI, Basel, Switzerland. This article is an open access article distributed under the terms and conditions of the Creative Commons Attribution (CC BY) license (https://creativecommons.org/licenses/by/4.0/).
Share and Cite
Wu, X.; Du, X.; Wang, C. Study on Film Cooling Performance of Round Hole Embedded in Different Shaped Craters and Trenches. Aerospace 2021, 8, 147. https://doi.org/10.3390/aerospace8060147
Wu X, Du X, Wang C. Study on Film Cooling Performance of Round Hole Embedded in Different Shaped Craters and Trenches. Aerospace. 2021; 8(6):147. https://doi.org/10.3390/aerospace8060147
Chicago/Turabian StyleWu, Xiaojun, Xin Du, and Chunhua Wang. 2021. "Study on Film Cooling Performance of Round Hole Embedded in Different Shaped Craters and Trenches" Aerospace 8, no. 6: 147. https://doi.org/10.3390/aerospace8060147
APA StyleWu, X., Du, X., & Wang, C. (2021). Study on Film Cooling Performance of Round Hole Embedded in Different Shaped Craters and Trenches. Aerospace, 8(6), 147. https://doi.org/10.3390/aerospace8060147
