An Experimental Investigation of the Convective Heat Transfer on a Small Helicopter Rotor with Anti-Icing and De-Icing Test Setups
Abstract
1. Introduction
2. Materials and Methods
2.1. Icing Wind Tunnel (IWT)
2.2. Powered Spinning Rotor Blade (P-SRB)
2.2.1. Heating Elements and RTDs
2.2.2. Convective Heat Transfer
2.3. Rotor Testing Plan and Procedure
2.3.1. Anti-Icing Tests
2.3.2. De-Icing Tests
2.4. Experimental Error Estimation
3. Results
3.1. Anti-Icing Tests
3.1.1. NuDry and NuWet Variation with r/R and Ω
3.1.2. NuDry and NuWet Variation with V∝
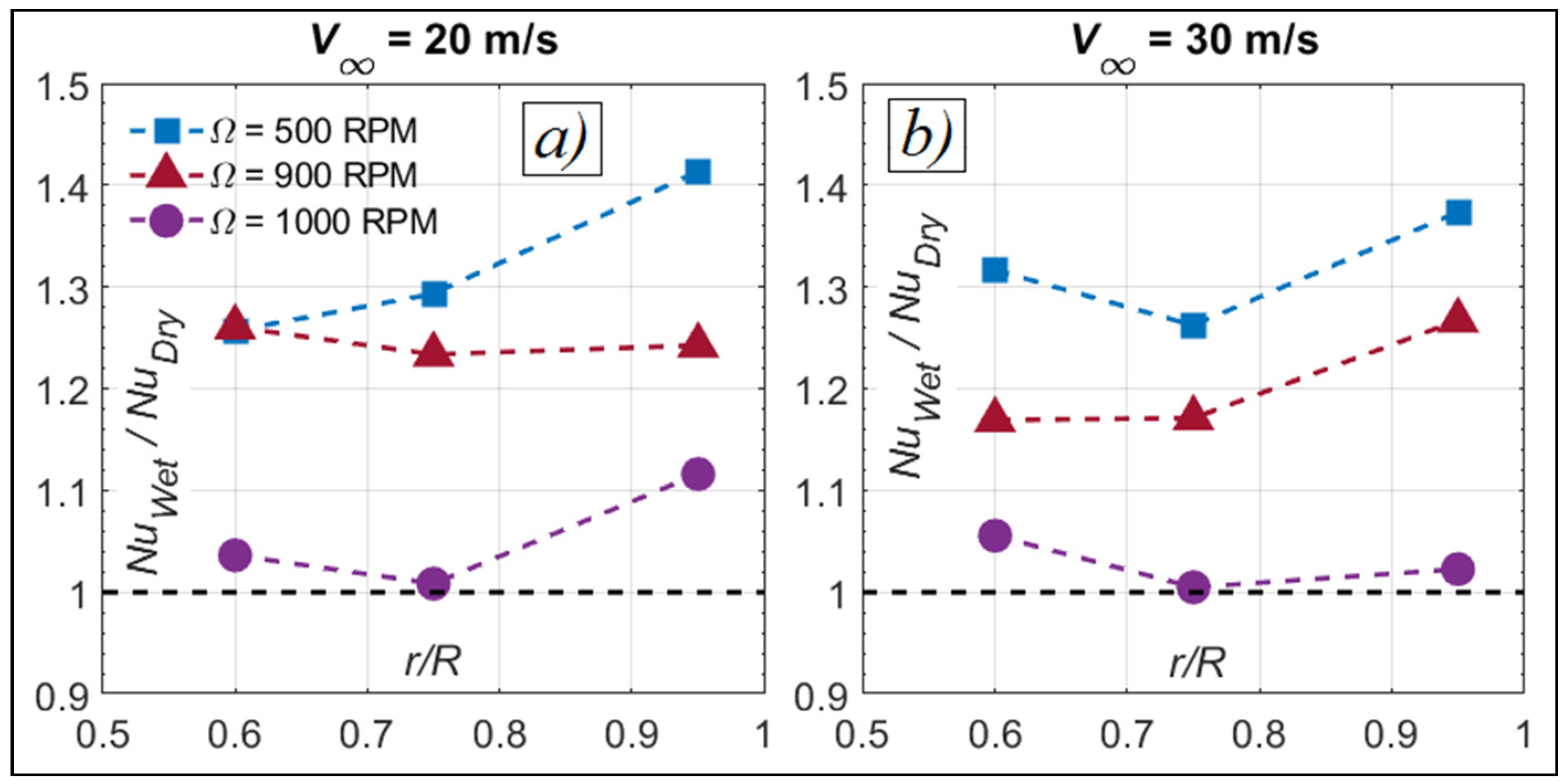
3.1.3. The NuWet to NuDry Ratio
3.2. De-Icing Tests
3.2.1. Measured Ice Thicknesses
3.2.2. Effect of T∝ on Ice Type
3.2.3. Results of NuIce Variation
3.2.4. The NuIce to NuDry Ratio
4. Discussion
4.1. Correlation for the NuDry
4.2. Correlation for the NuWet
4.3. Correlations for the NuIce
4.4. Comparison of Proposed Correlations
5. Conclusions
Author Contributions
Funding
Institutional Review Board Statement
Informed Consent Statement
Data Availability Statement
Acknowledgments
Conflicts of Interest
References
- Cao, Y.; Tan, W.; Wu, Z. Aircraft icing: An ongoing threat to aviation safety. Aerosp. Sci. Technol. 2018, 75, 353–385. [Google Scholar] [CrossRef]
- Tarquini, S.; Antonini, C.; Amirfazli, A.; Marengo, M.; Palacios, J. Investigation of ice shedding properties of superhydrophobic coatings on helicopter blades. Cold Reg. Sci. Technol. 2014, 100, 50–58. [Google Scholar] [CrossRef]
- SAE. Rotor Blade Electrothermal Ice Protection Design Considerations—Aerospace Standard AIR1667A; AC-9C Aircraft Icing Technology Committee: Warrendale, PA, USA, 2013. [Google Scholar]
- Flemming, R. A History of Ice Protection System Development at Sikorsky Aircraft. In Proceedings of the FAA In-flight Icing/Ground De-icing International Conference & Exhibition, Chicago, IL, USA, 16–20 June 2003. [Google Scholar]
- Aubert, R. History of Ice Protection System Design at Bell Helicopter. In Proceedings of the FAA In-flight Icing/Ground De-icing International Conference & Exhibition, Chicago, IL, USA, 16–20 June 2003. [Google Scholar]
- Guffond, D. Icing and de-icing test on a 1/4 scale rotor in the ONERA S1MA wind tunnel. In Proceedings of the 24th Aerospace Sciences Meeting, Reno, NV, USA, 6–9 January 1986; p. 480. [Google Scholar]
- Hanks, M.; Higgins, L.; Diekmann, V. Artificial and Natural Icing Tests Production UH-60A Helicopter; Army Aviation Engineering Flight Activity: Edwards AFB, CA, USA, 1980. [Google Scholar]
- Leary, W.M. We Freeze to Please: A History of NASA’s Icing Research Tunnel and the Quest for Flight Safety; The NASA History Series; National Aeronautics and Space Administration NASA: Washington, DC, USA, 2002; Volume 4226. [Google Scholar]
- Flemming, R.; Lednicer, D. Correlation of icing relationships with airfoil and rotorcraft icing data. J. Aircr. 1986, 23, 737–743. [Google Scholar] [CrossRef]
- Miller, T.; Bond, T. Icing Research Tunnel Test of a Model Helicopter Rotor. In Proceedings of the 45th Annual Forum and Technology Display, Boston, MA, USA, 17–18 May 1989. [Google Scholar]
- Britton, R.; Bond, T. A review of ice accretion data from a model rotor icing test and comparison with theory. In Proceedings of the 29th Aerospace Sciences Meeting, Reno, NV, USA, 7–10 January 1991; p. 661. [Google Scholar]
- Flemming, R.; Bond, T.; Britton, R. Results of a Sub-Scale Model Rotor Icing Test. In Proceedings of the 29th Aerospace Sciences Meeting, Reno, NV, USA, 7–10 January 1991; p. 660. [Google Scholar]
- Korkan, K. Experimental Study of Performance Degradation of a Rotating System in the NASA Lewis RC Icing Tunnel; Department of Aerospace Engineering, Texas A&M University: College Station, TX, USA, 1992. [Google Scholar]
- Flemming, R.; Britton, R.; Bond, T. Model Rotor Icing Tests in the NASA Lewis Icing Research Tunnel. In Proceedings of the 68th Meeting of the Fluid Dynamic Panel Specialists Meeting on the Effects of Adverse Weather on Aerodynamics, Toulouse, France, 29 April–1 May 1991. [Google Scholar]
- Bond, T.; Flemming, R.; Britton, R. Icing tests of a model main rotor. In Proceedings of the AHS 46th Annual Forum and Technology Display, Washington, DC, USA, 21–23 May 1990. [Google Scholar]
- Thomas, S.K.; Cassoni, R.P.; MacArthur, C.D. Aircraft anti-icing and de-icing techniques and modeling. J. Aircr. 1996, 33, 841–854. [Google Scholar] [CrossRef]
- Aliaga, C.N.; Aubé, M.S.; Baruzzi, G.S.; Habashi, W.G. FENSAP-ICE-Unsteady: Unified in-flight icing simulation methodology for aircraft, rotorcraft, and jet engines. J. Aircr. 2011, 48, 119–126. [Google Scholar] [CrossRef]
- Han, Y.; Palacios, J. Transient heat transfer measurements of surface roughness due to ice accretion. In Proceedings of the 6th AIAA Atmospheric and Space Environments Conference, Atlanta, GA, USA, 16–20 June 2014; p. 2464. [Google Scholar]
- Kreeger, R.E.; Tsao, J.-C. Ice Shapes on a Tail rotor. In Proceedings of the 6th AIAA Atmospheric and Space Environments Conference, Atlanta, GA, USA, 16–20 June 2014; p. 2612. [Google Scholar]
- Wright, J.; Aubert, R. Icing wind tunnel test of a full scale heated tail rotor model. In Proceedings of the AHS 70th Annual Forum, Montreal, QC, Canada, 20–22 May 2014; pp. 20–22. [Google Scholar]
- Tsao, J.-C.; Kreeger, R.E. Further Evaluation of Scaling Methods for Rotorcraft Icing; NASA Glenn Research Center: Cleveland, OH, USA, 2012. [Google Scholar]
- Overmeyer, A.; Palacios, J.L.; Smith, E.C.; Royer, R. Rotating testing of a low-power, non-thermal ultrasonic de-icing system for helicopter rotor blades. In Proceedings of the SAE 2011 International Conference on Aircraft and Engine Icing and Ground Deicing, Chicago, IL, USA, 13–17 June 2011. [Google Scholar]
- Reinert, T.; Flemming, R.J.; Narducci, R.; Aubert, R.J. Oscillating Airfoil Icing Tests in the NASA Glenn Research Center Icing Research Tunnel. In Proceedings of the SAE 2011 International Conference on Aircraft and Engine Icing and Ground Deicing, Chicago, IL, USA, 13–17 June 2011. [Google Scholar]
- Han, Y.; Palacios, J.L.; Smith, E.C. An experimental correlation between rotor test and wind tunnel ice shapes on NACA 0012 airfoils. In Proceedings of the SAE 2011 International Conference on Aircraft and Engine Icing and Ground Deicing, Chicago, IL, USA, 13–17 June 2011. [Google Scholar]
- Wang, Z.; Zhu, C.; Zhao, N. Experimental Study on the Effect of Different Parameters on Rotor Blade Icing in a Cold Chamber. Appl. Sci. 2020, 10, 5884. [Google Scholar] [CrossRef]
- Fortin, G.; Perron, J. Spinning rotor blade tests in icing wind tunnel. In Proceedings of the 1st AIAA Atmospheric and Space Environments Conference, San Antonio, TX, USA, 22–25 June 2009; p. 4260. [Google Scholar]
- Morency, F.; Tezok, F.; Paraschivoiu, I. Anti-icing system simulation using CANICE. J. Aircr. 1999, 36, 999–1006. [Google Scholar] [CrossRef]
- Beaugendre, H.; Morency, F.; Habashi, W.G. FENSAP-ICE’s three-dimensional in-flight ice accretion module: ICE3D. J. Aircr. 2003, 40, 239–247. [Google Scholar] [CrossRef]
- Beaugendre, H.; Morency, F.; Habashi, W.G. Development of a second generation in-flight icing simulation code. J. Fluids Eng. 2006, 128, 378–387. [Google Scholar] [CrossRef]
- Reid, T.; Baruzzi, G.S.; Habashi, W.G. FENSAP-ICE: Unsteady conjugate heat transfer simulation of electrothermal de-icing. J. Aircr. 2012, 49, 1101–1109. [Google Scholar] [CrossRef]
- Hannat, R.; Morency, F. Numerical validation of conjugate heat transfer method for anti-/de-icing piccolo system. J. Aircr. 2014, 51, 104–116. [Google Scholar] [CrossRef]
- Pendenza, A.; Habashi, W.G.; Fossati, M. A 3D mesh deformation technique for irregular in-flight ice accretion. Int. J. Numer. Methods Fluids 2015, 79, 215–242. [Google Scholar] [CrossRef]
- Pourbagian, M.; Habashi, W.G. Aero-thermal optimization of in-flight electro-thermal ice protection systems in transient de-icing mode. Int. J. Heat Fluid Flow 2015, 54, 167–182. [Google Scholar] [CrossRef]
- Mu, Z.; Lin, G.; Shen, X.; Bu, X.; Zhou, Y. Numerical simulation of unsteady conjugate heat transfer of electrothermal deicing process. Int. J. Aerosp. Eng. 2018, 2018, 5362541. [Google Scholar] [CrossRef]
- Narducci, R.; Kreeger, R.E. Analysis of a Hovering Rotor in Icing Conditions; NASA: Phoenix, AZ, USA, 2012. [Google Scholar]
- Narducci, R.; Kreeger, R.E. Application of a High-Fidelity Icing Analysis Method to a Model-Scale Rotor in Forward Flight; NASA: Virginia Beach, VA, USA, 2012. [Google Scholar]
- Chen, L.; Zhang, Y.; Wu, Q.; Chen, Z.; Peng, Y. Numerical Simulation and Optimization Analysis of Anti-/De-Icing Component of Helicopter Rotor Based on Big Data Analytics. In Methodology, Tools and Applications for Modeling and Simulation of Complex Systems, Proceedings of the AsiaSim 2016, SCS AutumnSim 2016, Beijing, China, 8–11 October 2016; Springer: Singapore, 2016; pp. 585–601. [Google Scholar]
- Xi, C.; Qi-Jun, Z. Numerical simulations for ice accretion on rotors using new three-dimensional icing model. J. Aircr. 2017, 54, 1428–1442. [Google Scholar] [CrossRef]
- Aubert, R. Additional Considerations for Analytical Modeling of Rotor Blade Ice. In Proceedings of the SAE 2015 International Conference on Icing of Aircraft, Engines, and Structures, Prague, Czech Republic, 22–25 June 2015. [Google Scholar]
- Samad, A.; Tagawa, G.; Morency, F.; Volat, C. Predicting Rotor Heat Transfer Using the Viscous Blade Element Momentum Theory and Unsteady Vortex Lattice Method. J. Aerosp. 2020, 7, 90. [Google Scholar] [CrossRef]
- Incropera, F.P.; Lavine, A.S.; Bergman, T.L.; DeWitt, D.P. Fundamentals of Heat and Mass Transfer, 7th ed.; John Wiley & Sons: New York, NY, USA, 2007. [Google Scholar]
- Kays, W.M.; Crawford, M. Convective Heat and Mass Transfer, 3rd ed.; McGraw-Hill: New York, NY, USA, 1993. [Google Scholar]
- Poinsatte, P.; Newton, J.; De Witt, K.; Van Fossen, J. Heat transfer measurements from a smooth NACA 0012 airfoil. J. Aircr. 1991, 28, 892–898. [Google Scholar] [CrossRef]
- Henry, R.C.; Guffond, D.; Garnier, F.; Bouveret, A. Heat transfer coefficient measurement on iced airfoil in small icing wind tunnel. J. Thermophys. Heat Transf. 2000, 14, 348–354. [Google Scholar] [CrossRef]
- Dukhan, N.; De Witt, K.J.; Masiulaniec, K.; Van Fossen, G.J., Jr. Experimental Frossling numbers for ice-roughened NACA 0012 airfoils. J. Aircr. 2003, 40, 1161–1167. [Google Scholar] [CrossRef]
- Wang, X.; Naterer, G.; Bibeau, E. Experimental correlation of forced convection heat transfer from a NACA airfoil. Exp. Therm. Fluid Sci. 2007, 31, 1073–1082. [Google Scholar] [CrossRef]
- Wang, X.; Naterer, G.; Bibeau, E. Convective heat transfer from a NACA airfoil at varying angles of attack. J. Thermophys. Heat Transf. 2008, 22, 457–463. [Google Scholar] [CrossRef]
- Wang, X.; Naterer, G.; Bibeau, E. Convective droplet impact and heat transfer from a NACA airfoil. J. Thermophys. Heat Transf. 2007, 21, 536–542. [Google Scholar] [CrossRef]
- Wang, X.; Naterer, G.; Bibeau, E. Multiphase Nusselt Correlation for the Impinging Droplet Heat Flux from a NACA Airfoil. J. Thermophys. Heat Transf. 2008, 22, 219–226. [Google Scholar] [CrossRef]
- SAE. Calibration and Acceptance of Icing Wind Tunnels—Aerospace Standard ARP5905; AC-9C Aircraft Icing Technology Committee: Warrendale, PA, USA, 2003. [Google Scholar]
- SAE. Droplet Sizing Instrumentation Used in Icing Facilities—Aerospace Standard AIR4906; AC-9C Aircraft Icing Technology Committee: Warrendale, PA, USA, 1995. [Google Scholar]
- Samad, A.; Villeneuve, E.; Morency, F.; Volat, C. A Numerical and Experimental Investigation of the Convective Heat Transfer on a Small Helicopter Rotor Test Setup. J. Aerosp. 2021, 8, 53. [Google Scholar] [CrossRef]
- IEC Corporation—Slip Ring Assemblies. Flange Mount Slip Ring. Available online: https://ieccorporation.com/flange-mount/ (accessed on 23 December 2020).
- Eckert, E. Engineering relations for heat transfer and friction in high-velocity laminar and turbulent boundary-layer flow over surfaces with constant pressure and temperature. Trans. ASME 1956, 78, 1273–1283. [Google Scholar]
- Moffat, R.J. Describing the uncertainties in experimental results. Exp. Therm. Fluid Sci. 1988, 1, 3–17. [Google Scholar] [CrossRef]
- Li, G.; Gutmark, E.J.; Ruggeri, R.T.; Mabe, J. Heat Transfer and Pressure Measurements on a Thick Airfoil. J. Aircr. 2009, 46, 2130–2138. [Google Scholar] [CrossRef]
























| Blade Root Distance | Blade Span (Radius) | Blade Chord |
| 75.0 mm | 390.0 mm | 69.8 mm |
| Blade Twist | Blade Number | Material |
| 0° | 2 | 6063-T6 Al |
| Test Mode | V∝ (m/s) | 500 RPM | 900 RPM | 1000 RPM | T∝ (K) | r/R | θ (°) |
|---|---|---|---|---|---|---|---|
| Anti-Icing | 20 | 1 | 2 | 3 | 265.65 | 0.6, 0.75 and 0.95 | 6 |
| 30 | 4 | 5 | 6 | ||||
| De-Icing | 20 | 7 | 8 | 9 | 265.65 | ||
| 30 | 10 | 11 | 12 | ||||
| De-Icing | 20 | 13 | 14 | 15 | 258.15 | ||
| 30 | 16 | 17 | 18 |
| Test ID# | Power Range (W/m2) | Error |
|---|---|---|
| 11 | 6045–6355 | 5% |
| 17 | 11,780–14,570 | 19% |
| r/R—Test ID# | 7 | 8 | 9 | 10 | 11 | 12 |
| 0.95 | 6.04 | 6.32 | 7.99 | 6.18 | 6.03 | 6.14 |
| 0.48 | 5.56 | 5.51 | 6.83 | 4.93 | 5.46 * | 5.50 |
| r/R—Test ID# | 13 | 14 | 15 | 16 | 17 | 18 |
| 0.95 | 6.29 | 6.64 | 10.02 | 5.56 | 5.79 | 5.63 |
| 0.48 | 5.47 | 4.47 | 6.38 | 4.26 | 5.73 | 5.45 |
Publisher’s Note: MDPI stays neutral with regard to jurisdictional claims in published maps and institutional affiliations. |
© 2021 by the authors. Licensee MDPI, Basel, Switzerland. This article is an open access article distributed under the terms and conditions of the Creative Commons Attribution (CC BY) license (https://creativecommons.org/licenses/by/4.0/).
Share and Cite
Samad, A.; Villeneuve, E.; Blackburn, C.; Morency, F.; Volat, C. An Experimental Investigation of the Convective Heat Transfer on a Small Helicopter Rotor with Anti-Icing and De-Icing Test Setups. Aerospace 2021, 8, 96. https://doi.org/10.3390/aerospace8040096
Samad A, Villeneuve E, Blackburn C, Morency F, Volat C. An Experimental Investigation of the Convective Heat Transfer on a Small Helicopter Rotor with Anti-Icing and De-Icing Test Setups. Aerospace. 2021; 8(4):96. https://doi.org/10.3390/aerospace8040096
Chicago/Turabian StyleSamad, Abdallah, Eric Villeneuve, Caroline Blackburn, François Morency, and Christophe Volat. 2021. "An Experimental Investigation of the Convective Heat Transfer on a Small Helicopter Rotor with Anti-Icing and De-Icing Test Setups" Aerospace 8, no. 4: 96. https://doi.org/10.3390/aerospace8040096
APA StyleSamad, A., Villeneuve, E., Blackburn, C., Morency, F., & Volat, C. (2021). An Experimental Investigation of the Convective Heat Transfer on a Small Helicopter Rotor with Anti-Icing and De-Icing Test Setups. Aerospace, 8(4), 96. https://doi.org/10.3390/aerospace8040096

