Fuel Tankering: Economic Benefits and Environmental Impact for Flights Up to 1500 NM (Full Tankering) and 2500 NM (Partial Tankering)
Abstract
1. Introduction
2. What Is Fuel Tankering
- When it is operationally not possible or desirable to refuel at the destination airport, due to circumstances, such as the following:
- ▪
- social disruption;
- ▪
- technical failures of the refueling installation;
- ▪
- fuel shortages;
- ▪
- contaminated fuel at destination airport;
- ▪
- very short turnaround times;
- ▪
- risks of delays.
- To achieve savings when the cost of fuel and associated services at the departure airport is significantly lower than at the destination airport.
- Full (fuel) tankering, which consists in transporting all the fuel needed for the return flight from the departure airport to avoid refueling at the destination airport, and
- Partial (fuel) tankering, which consists in transporting only part of the fuel needed for the return flight and performing only partial refueling at destination.
- Taxi fuel: The fuel necessary for taxi, which should not be less than the amount expected to be used prior to take-off;
- Trip fuel: The fuel required from the start of take-off, through climb, cruise, descent, and approach to touchdown at destination;
- Reserve fuel consisting of:
- ○
- Contingency fuel (3 to 5%): This fuel is carried to cover unforeseen variations from the planned operation. For example, different winds or temperatures from forecast, or air traffic control restrictions on levels and speed. It can be used any time after dispatch (once aircraft moves under its own power). It cannot be planned to use before. More likely, it is used for delays on departure or arrival;
- ○
- Alternate fuel: The fuel to cover a possible “Go around” or a landing at an alternate airport;
- ○
- Final reserve: For 30 min at International Standard Atmosphere 1500 feet above the alternate airport;
- ○
- Discretionary fuel (or 15 min of holding fuel if the flight is planned with no alternate (go-around at destination, climb, cruise, descent, approach, and landing at the selected alternate airport);
- ○
- Extra fuel, which should be at the discretion of the commander.
3. Purpose of This Study
4. Study
4.1. Steps of the Study
- STEP 1: Verify that fuel tankering is a common practice that deserves to be studied and that no regulatory instruments already exist to dissuade airlines from tankering fuel or to compensate for its impact on the environment;
- STEP 2: Calculate the fuel tankering efficiency with EUROCONTROL Base of Aircraft Data (BADA) models based on typical types of aircraft flying in ECAC airspace and for all the possible distances flown;
- STEP 3: Calculate the number of flights for which full or partial tankering is operationally possible;
- STEP 4: Estimate the economic opportunity of tankering.
4.2. Data Used and Assumptions
- The statistics required for the calculations were derived from June 2018 traffic in the ECAC area;
- The estimated tankering results for this month has been extrapolated to a year by applying a linear extrapolation based on the number of flights for which fuel tankering was feasible. However, the extrapolation made does not take account of any influence of seasonal traffic patterns;
- The study covered aircraft models representing 66% of flights in ECAC;
- Aircraft performance was based on EUROCONTROL BADA model. BADA is the international reference in aircraft performance modeling for trajectory prediction and simulation. Based on the best available reference data on aircraft performance, BADA reproduces realistically the geometric, kinematic and kinetic aspects of aircraft’s behaviour over the entire operational flight envelope and in all phases of flight;
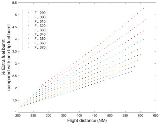
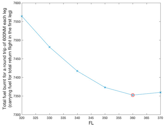
- The optimal flight level calculated for performing full fuel tankering was used in the model.
- The following limits have been taken into account: Maximum take-off weight, Maximum landing weight, Maximum fuel load of each aircraft type;
- An average 20 min was used for the taxi-out; This value was calculated using average taxi-out times provided by EUROCONTROL Central Office of Delay Analysis for the busiest European airports;
- The CO2 emission factor used is 3.15 kg CO2 per kg of fuel burn;
- Fuel prices negotiated at 140 airports in ECAC from 2 major airlines were used;
- The payload was calculated with a load factor of 80.3% [10] and 124 kg/passenger;
- A profit threshold of €30 was used as a pivotal point in the decision to go into fuel tankering; but this is a very cautious assumption as some airlines use €15 as a pivotal point;
- A cost of €20/tonne has been set for a tonne of CO2 allowances; this is also a very conservative assumption because not every tonne of CO2 requires the purchase of CO2 allowances;
- In the tables presented in our study “Trip fuel” is composed of the following elements: Taxi + Climb Cruise Descent + Approach to Touchdown. The “Reserve fuel” is composed of the following elements: Contingency + Alternate + Final reserve;
- When, for a round trip, both full and partial fuel tankering were possible, our model always privileged full fuel tankering.
4.3. Flights Excluded from the Study
- Military flights performed by military aircraft and customs and police flights; search and rescue; state flights;
- Flights not performed under instrument flight rules (IFR) only.
4.4. Study Limitations
- Due to the coverage of airline negotiated fuel price data we were able to access, the study was limited to flights up to 1500 (Full tankering) and 2500 NM (Partial tankering). As a result, the aircraft models considered are mainly operated on short and medium-haul.
- Furthermore, due to the physical fuel capability of the aircraft models considered:
- ○
- For full tankering, flight legs of more than 1500 NM were not considered,
- ○
- For partial tankering, flight legs of more than 2500 NM were not considered.
- The impact of fuel tankering for reasons other than fuel price differences at airports was not considered (e.g., shorten turnaround or fuel shortage).
- The possibility of tankering fuel for more than one leg, which the software of some airlines is able to calculate, has not been estimated.
4.5. STEP 1: Verify That Fuel Tankering Is a Common Practice That Deserves to Be Studied and That No Regulatory Instruments Already Exist to Dissuade Airlines from Tankering Fuel or to Compensate for Its Impact on the Environment
4.6. STEP 2: Identify When Fuel Tankering Is Operationally Feasible in ECAC
4.7. STEP 3: Calculate the Number of Flights for Which Full or Partial Tankering Is Operationally Possible
4.8. STEP 4: Estimate the Economic Opportunity of Tankering
- Country;
- Taxes (Fuel taxes in some ECAC country only for domestic flights), and refining costs;
- Negotiation period;
- Profit, quantities, and supply competition at airports;
- Distribution technique;
- Purchasing power and size of the aircraft operator’s fleet.
5. Conclusions
Author Contributions
Funding
Institutional Review Board Statement
Informed Consent Statement
Data Availability Statement
Acknowledgments
Conflicts of Interest
References
- Kumar, N.; Frolik, P.; Joshi, G.; Ramadugu, H. World Air Transport Statistics; IATA: Montreal, QC, Canada, 2017. [Google Scholar]
- ICAO. Operational Opportunities to Reduce Fuel Burn and Emissions, 1st ed.; Doc 10013; ICAO: Montreal, QC, Canada, 2014. [Google Scholar]
- Filippone, A. Case Study Fuel Tankering: Is It Worth It? The University of Manchester, February 2015. Available online: http://www.flight.mace.manchester.ac.uk/aircraft-performance-software/case-studies/by-solution/11_CS_Fuel_Tankering.pdf (accessed on 30 January 2021).
- Lindgren, M.; Brynhagen, M. Fuel Tankering. Master’s Thesis, Lund University School of Engineering at Campus Helsingborg, Helsingborg, Sweden, 2012. Available online: https://www.iea.lth.se/publications/BS-Theses/Full%20document/3018_Brynhagen_Lindgren.pdf (accessed on 30 January 2021).
- Lesinski, J.W., III. Tankering Fuel: A Cost Saving Initiative. Graduate Research Paper, Department of the Air Force at Air Force Institute of Technology, Wright-Patterson Air Force Base, Ohio, May 2011. Available online: https://apps.dtic.mil/dtic/tr/fulltext/u2/a547625.pdf (accessed on 8 October 2020).
- Tavares Guerreiro, J.A.; Muller, C.; Fibeiro Correira, A. A fuel tankering model applied to a domestic airline network. J. Adv. Transp. 2013, 47, 386–398. [Google Scholar] [CrossRef]
- Focus on Fuel Part Three: Global Fuel Pricing and Availability. Retrieved March 2019. Available online: https://www.jetex.com/global-fuel-pricing-and-availability/ (accessed on 8 October 2020).
- Thurber, M. Tankering Benefits Tangible and Achievable. October 2015, Retrieved March 2019. Available online: https://www.ainonline.com/aviation-news/business-aviation/2015-10-12/tankeringbe-ne_ts-tangible-and-achievable (accessed on 8 October 2020).
- Benito Ruiz de Villa, A. Práctica de tankering en las líneas aéreas españolas. In Proceedings of the IX Congreso de Ingeniería del Transporte, CIT2010, Madrid, Spain, 7–9 July 2010; Available online: http://oa.upm.es/9544/ (accessed on 8 October 2020).
- EASA (European Aviation Safety Agency); EEA (European Environment Agency); EUROCONTROL. European Aviation Environmental Report 2019. Available online: https://ec.europa.eu/transport/sites/transport/files/2019-aviation-environmental-report.pdf (accessed on 8 October 2020). [CrossRef]
- Methods and Apparatus for Providing Fuel Tankering Data Onboard and Aircraft. Pub. No. US 2018/0189704 A1, July 2018. Available online: https://www.freepatentsonline.com/y2018/0189704.html (accessed on 8 October 2020).
- Daley, B.; Preston, H. Aviation and climate change: Assessment of policy options. In Climate Change and Aviation. Issues, Challenges and Solutions; Gössling, S., Upham, P., Eds.; Earthscan: London, UK, 2009; pp. 347–372. [Google Scholar]
- Morell, P.; Swan, W. Airline Jet Fuel Hedging: Theory and Practice. 24 November 2006. Available online: https://www.researchgate.net/publication/228628896_Airline_Jet_Fuel_Hedging_Theory_and_Practicel (accessed on 8 October 2020). [CrossRef]
- Bloomberg Markets and Finance. Ryanair’s O’Leary Says Happy to Continue as CEO for 2 to 3 Years. Available online: https://www.youtube.com/watch?v=PgpwYeEj5Roat0’57” (accessed on 8 October 2020).
- BBC Panorama. Can Flying Go Green? Available online: https://www.youtube.com/watch?v=mPhOS4uXkmM (accessed on 8 October 2020).
- Rowlatt, J. Climate change: British Airways Reviews ‘Fuel-Tankering’ over Climate Concerns. BBC News. 11 November 2019. Available online: https://www.bbc.com/news/science-environment-50365362 (accessed on 8 October 2020).
















| Extra Fuel Burnt (tonnes/year) | Cost to Transport Extra Fuel (M€/year) | Extra CO2 Emitted (tonnes/year) | Cost of Purchasing CO2 Allowances (M€/year) | Net Saving = Tankering Saving − [Extra Fuel + CO2 Cost] (M€/year) | |
|---|---|---|---|---|---|
| Full tankering | 160,000 | 88 | 504,000 | 10 | 217 |
| Partial tankering | 126,000 | 69 | 397,000 | 8 | 48 |
| Total tankering | 286,000 | 157 | 901,000 | 18 | 265 |
Publisher’s Note: MDPI stays neutral with regard to jurisdictional claims in published maps and institutional affiliations. |
© 2021 by the authors. Licensee MDPI, Basel, Switzerland. This article is an open access article distributed under the terms and conditions of the Creative Commons Attribution (CC BY) license (http://creativecommons.org/licenses/by/4.0/).
Share and Cite
Tabernier, L.; Fernández, E.C.; Tautz, A.; Deransy, R.; Martin, P. Fuel Tankering: Economic Benefits and Environmental Impact for Flights Up to 1500 NM (Full Tankering) and 2500 NM (Partial Tankering). Aerospace 2021, 8, 37. https://doi.org/10.3390/aerospace8020037
Tabernier L, Fernández EC, Tautz A, Deransy R, Martin P. Fuel Tankering: Economic Benefits and Environmental Impact for Flights Up to 1500 NM (Full Tankering) and 2500 NM (Partial Tankering). Aerospace. 2021; 8(2):37. https://doi.org/10.3390/aerospace8020037
Chicago/Turabian StyleTabernier, Laurent, Esther Calvo Fernández, Andreas Tautz, Robin Deransy, and Peter Martin. 2021. "Fuel Tankering: Economic Benefits and Environmental Impact for Flights Up to 1500 NM (Full Tankering) and 2500 NM (Partial Tankering)" Aerospace 8, no. 2: 37. https://doi.org/10.3390/aerospace8020037
APA StyleTabernier, L., Fernández, E. C., Tautz, A., Deransy, R., & Martin, P. (2021). Fuel Tankering: Economic Benefits and Environmental Impact for Flights Up to 1500 NM (Full Tankering) and 2500 NM (Partial Tankering). Aerospace, 8(2), 37. https://doi.org/10.3390/aerospace8020037
