Evolution of Emission Species in an Aero-Engine Turbine Stator
Abstract
1. Introduction
1.1. Background
1.2. Motivation
2. Test Case Geometry
3. Numerical Modelling Setup and Validation
3.1. Computational Fluid Dynamics
3.2. Operating Conditions and Calculation of Initial Composition
3.3. Chemical Reactor Network
4. Results and Discussion
4.1. The NOx Chemistry
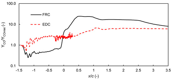
4.2. CO Chemistry
4.3. Overall Observations
5. Conclusions and Recommendations
- The inclusion of turbulence-chemistry interaction proved to be relevant, as the EDC provided lower reaction rates than a simple FRC approach. Therefore, utilising FRC may overestimate the amount of variation in the HPT.
- The discrepancy between the 1-D CRN model and the 3-D CFD model is magnified for some of the conditions. The differences seem to increase when variation in the species concentration is connected to the flow structure. At higher operating pressure and temperature, the 1-D and 3-D models had good agreement, which shows that the flow structures are not as relevant for the take-off conditions.
- The progression of CO along the turbine stator depends on the initial temperatures and composition as well as the local temperature maxima attained. The dissociation of CO2 may occur if the local temperatures are high enough, causing an increase in CO. The dissociation, however, seems to be suppressed at a higher operating pressure. Further investigation in the behaviour of CO for HPT relevant conditions is advised.
- The precision of the chemistry solver implemented in CFD is a concern for this type of calculations. Small convergence tolerances must be imposed in order to achieve consistent solutions, which increases the required computational resources.
- Introducing wall cooling in the form of imposing a constant wall temperature slightly altered the results. It is recommended to further investigate the effect of cooling by taking into account the injection of air for creating film-cooling over the stator vanes.
- Including non-uniform inlet compositions and properties may cause different results and should be investigated. The adopted inlet boundary conditions were uniform, while in reality, a certain pattern factor is present.
Author Contributions
Funding
Institutional Review Board Statement
Informed Consent Statement
Data Availability Statement
Conflicts of Interest
Nomenclature
| Acronyms | |
| AHEAD | Advanced Hybrid Engines for Aircraft Development |
| CFD | Computational Fluid Dynamics |
| CRN | Chemical Reactor Network |
| EDC | Eddy Dissipation Concept |
| FRC | Finite Rate Chemistry |
| GCI | Grid Convergence Index |
| GHG | Greenhouse Gases |
| HPT | High-Pressure Turbine |
| ITB | Inter-Turbine Burner |
| LH2 | Liquid hydrogen |
| LNG | Liquid Natural Gas |
| LPT | Low-Pressure Turbine |
| OPR | Overall Pressure Ratio |
| PSR | Perfectly Stirred Reactor |
| SST | Shear Stress Transport |
| TIT | Turbine Inlet Temperature |
| Latin Symbols | |
| Blade chord (m) | |
| Turbulent kinetic energy (m2/s2) | |
| Pressure (Pa) | |
| Temperature (K) | |
| Axial position (m) | |
| Mass fraction (-) | |
| Dimensionle wall distance (-) | |
| Greek Symbols | |
| Vane efficiency (-) | |
| Length fraction of the turbulent fine scales (-) | |
| Chemical time scale (s) | |
| Turbulence time scale (s) | |
| Ratio of specific heats (-) | |
| Turbulent ssipation rate (m2/s3) | |
| Density (kg/m3) | |
| Kinematic vcosity (m2/s) | |
| Global equivalence rio (-) | |
| Subscripts | |
| 0 | |
| 1 | Stator outlet |
| Superscripts | |
| Chemicaequilibrium | |
| Unburnt reactants | |
References
- Zhang, F.; Zhao, P.; Niu, M.; Maddy, J. The survey of key technologies in hydrogen energy storage. Int. J. Hydrog. Energy 2016, 41, 14535–14552. [Google Scholar] [CrossRef]
- Amirante, R.; Cassone, E.; Distaso, E.; Tamburrano, P. Overview on recent developments in energy storage: Mechanical, electrochemical and hydrogen technologies. Energy Convers. Manag. 2017, 132, 372–387. [Google Scholar] [CrossRef]
- Fasihi, M.; Bogdanov, D.; Breyer, C. Long-Term hydrocarbon trade options for the maghreb region and europe—renewable energy based synthetic fuels for a net zero emissions World. Sustainability 2017, 9, 306. [Google Scholar] [CrossRef]
- Enagi, I.I.; Al-Attab, K.A.; Zainal, Z.A. Liquid biofuels utilization for gas turbines: A review. Renew. Sustain. Energy Rev. 2018, 90, 43–55. [Google Scholar] [CrossRef]
- Gohardani, A.S.; Doulgeris, G.; Singh, R. Challenges of future aircraft propulsion: A review of distributed propulsion technology and its potential application for the all electric commercial aircraft. Prog. Aeronaut. Sci. 2011, 47, 369–391. [Google Scholar] [CrossRef]
- Matthes, S.; Lührs, B.; Dahlmann, K.; Grewe, V.; Linke, F.; Yin, F.; Klingaman, E.; Shine, K.P. Climate-optimized trajectories and robust mitigation potential: Flying ATM4E. Aerospace 2020, 7, 156. [Google Scholar] [CrossRef]
- Visser, W.P.; Broomhead, M.J. GSP, a generic object-oriented gas turbine simulation environment. In ASME Turbo Expo 2000: Power for Land, Sea, and Air; American Society of Mechanical Engineers: New York, NY, USA, 2020; pp. 1–8. [Google Scholar]
- Lebedev, A.B.; Secundov, A.M.; Starik, A.M.; Titova, N.S.; Schepin, A.M. Modeling study of gas-turbine combustor emission. Proc. Combust. Inst. 2009, 32, 2941–2947. [Google Scholar] [CrossRef]
- Lefebvre, A.H.; Ballal, D.R. Gas. Turbine Combustion: Alternative Fuels and Emissions; CRC Press: Boca Raton, FL, USA, 2010. [Google Scholar]
- Park, J.; Nguyen, T.H.; Joung, D.; Huh, K.Y.; Lee, M.C. Prediction of NOx and CO emissions from an industrial lean-premixed gas turbine combustor using a chemical reactor network model. Energy Fuels 2013, 27, 1643–1651. [Google Scholar] [CrossRef]
- Thoma, E.M.; Grönstedt, T.; Zhao, X. Quantifying the environmental design trades for a state-of-the-art turbofan engine. Aerospace 2020, 7, 148. [Google Scholar] [CrossRef]
- Lukachko, S.P.; Waitz, I.A.; Miake-Lye, R.C.; Brown, R.C.; Anderson, M.R. Production of sulfate aerosol precursors in the turbine and exhaust nozzle of an aircraft engine. J. Geophys. Res. Atmos. 1998, 103, 16159–16174. [Google Scholar] [CrossRef]
- Starik, A.M.; Savel'ev, A.M.; Titova, N.S.; Schumann, U. Modeling of sulfur gases and chemiions in aircraft engines. Aerosp. Sci. Technol. 2002, 6, 63–81. [Google Scholar] [CrossRef]
- Moniruzzaman, C.G.; Yu, F. A 0D aircraft engine emission model with detailed chemistry and soot microphysics. Combust. Flame 2012, 159, 1670–1686. [Google Scholar] [CrossRef]
- Wey, C.C.; Anderson, B.A.; Wey, C.; Miake-Lye, R.C.; Whitefield, P.; Howard, R. Overview on the aircraft particle emissions experiment (APEX). J. Propuls. Power 2007, 23, 898–905. [Google Scholar] [CrossRef]
- Bisson, J.; Seers, P.; Huegel, M.; Garnier, F. Numerical prediction of gaseous aerosol precursors and particles in an aircraft engine. J. Propuls. Power 2016, 32, 918–928. [Google Scholar] [CrossRef]
- Nguyen, T.H.; Nguyen-Tri, P.; Vancassel, X.; Garnier, F. Aero-thermodynamic and chemical process interactions in an axial high-pressure turbine of aircraft engines. Int. J. Engine Res. 2018, 20, 1468087418772228. [Google Scholar] [CrossRef]
- Yin, F.; Rao, A.G. Performance analysis of an aero engine with inter-stage turbine burner. Aeronaut. J. 2017, 121, 1605–1626. [Google Scholar] [CrossRef]
- Yin, F.; Rao, A.G. Off-design performance of an interstage turbine burner turbofan engine. J. Eng. Gas Turbine Power 2017, 139, 082603-1–082603-8. [Google Scholar] [CrossRef]
- Perpignan, A.A.V.; Talboom, M.G.; Levy, Y.; Rao, A.G. Emission Modeling of an Interturbine Burner Based on Flameless Combustion. Energy Fuels 2018, 32, 822–838. [Google Scholar] [CrossRef]
- Perpignan, A.A.V.; Rao, A.G. Effects of chemical reaction mechanism and NOx formation pathways on an inter-turbine burner. Aeronaut. J. 2019, 123, 1–21. [Google Scholar] [CrossRef]
- Rao, A.G.; Yin, F.; Van Buijtenen, J.P. A hybrid engine concept for multi-fuel blended wing body. Aircr. Eng. 2014, 86, 483–493. [Google Scholar]
- Timko, L.P. Energy Efficient Engine High. Pressure Turbine Component Test. Performance Report; Technical Report No. NASA CR-168289; NASA Lewis Research Center: Cincinnati, OH, USA, 1984. [Google Scholar]
- Murari, S.; Sunnam, S.; Liu, J.S. Steady state and transient CFD studies on aerodynamic performance validation of a high pressure turbine. In ASME Turbo Expo 2012: Turbine Technical Conference and Exposition; American Society of Mechanical Engineers Digital Collection: New York, NY, USA, 2012; pp. 2067–2077.
- Zhang, Q.; Xu, H.; Wang, J.; Li, G.; Wang, L.; Wu, X.; Ma, S. Evaluation of CFD predictions using different turbulence models on a film cooled guide vane under experimental conditions. In ASME Turbo Expo 2015: Turbine Technical Conference and Exposition; American Society of Mechanical Engineers Digital Collection: New York, NY, USA, 2015. [Google Scholar]
- Celik, I.B.; Ghia, U.; Roache, P.J.; Freitas, C.J.; Coleman, H.; Raad, P.E. Procedure for estimation and reporting of uncertainty due to discretization in CFD applications. J. Fluids Eng. 2008, 130, 7. [Google Scholar]
- Gran, I.R.; Magnussen, B.F. A numerical study of a bluff-body stabilized diffusion flame. Part 1. Influence of turbulence modeling and boundary conditions. Combust. Sci. Technol. 1996, 119, 171–190. [Google Scholar] [CrossRef]
- “Chemical-Kinetic Mechanisms for Combustion Applications”, San Diego Mechanism web page, Mechanical and Aerospace Engineering (Combustion Research), University of California at San Diego. Available online: http://combustion.ucsd.edu (accessed on 30 June 2018).
- Frassoldati, A.; Faravelli, T.; Ranzi, E. A wide range modelling study of NOx formation and nitrogen chemistry in hydrogen combustion. Int. J. Hydrogen Energy 2006, 31, 2310–2328. [Google Scholar] [CrossRef]
- Smith, G.P.; Golden, D.M.; Frenklach, M.; Moriarty, N.W.; Eiteneer, B.; Goldenberg, M.; Bowman, C.T.; Hanson, R.K.; Song, S.; Gardiner, W.C., Jr.; et al. Available online: http://www.me.berkeley.edu/gri_mech/ (accessed on 30 June 2018).
- Reaction Design. CHEMKIN Tutorials Manual CHEMKIN® Software. 10112/15112; Reaction Design: Livermore, CA, USA, 2011. [Google Scholar]
- Yin, F. Modeling and Characteristics of a Novel Multi-Fuel Hybrid Engine for Future Aircraft. Ph.D. Thesis, Delft University of Technology, Mekelweg, The Netherlands, 2016. [Google Scholar]
- Levy, Y.; Sherbaum, V.; Erenburg, V.; Krapp, V.; Paschereit, C.O.; Göke, S.; Reichel, T.; Grey, J. Chemical kinetics of the hybrid combustion system–Deliverable 2.1. Advanced Hybrid Engines for Aircraft Development; 2012. [Google Scholar]
- Goodwin, D.G.; Moffat, H.K.; Speth, R.L. Cantera: An Object-Oriented Software Toolkit for Chemical Kinetics, Thermodynamics, and Transport Processes. Version 2.2.1. 2016. Available online: http://www.cantera.org (accessed on 30 June 2018).
- Glarborg, P.; Bentzen, L.L. Chemical effects of a high CO2 concentration in oxy-fuel combustion of methane. Energy Fuels 2007, 22, 291–296. [Google Scholar] [CrossRef]
- Myhrvold, T. Combustion Modeling in Turbulent Boundary-Layer Flows. Ph.D. Thesis, Norwegian University of Science and Technology, Trondheim, Norwegian, 2003. [Google Scholar]

















| Dimension | Hub | Mean | Tip |
|---|---|---|---|
| Radius (mm) | 325.755 | 345.760 | 365.760 |
| Axial width (mm) | 33.76 | 33.78 | 33.83 |
| Trailing edge thickness (mm) | 0.965 | 0.965 | 0.965 |
| Uncovered turning (degrees) | 9.2 | 8.4 | 8.7 |
| Trailing edge wedge angle (degrees) | 10.2 | 9.2 | 9.0 |
| Condition | Main Combustor Fuel | Flight Condition | TIT (K) | Total Pressure (bar) | O2 (% mass) | CO2 (% mass) | CO (ppm) | NO (ppm) | NO2 (ppm) | Blade Walls |
|---|---|---|---|---|---|---|---|---|---|---|
| A | CH4 | Take-off | 2027 | 63.37 | 11.99 | 7.31 | 44.12 | 126.45 | 1.87 | Adiabatic |
| B | CH4 | Take-off | 2027 | 63.37 | 11.99 | 7.31 | 44.12 | 126.45 | 1.87 | 1400 K |
| C | H2 | Cruise | 1689 | 13.93 | 16.06 | - | - | 7.81 | 0.11 | Adiabatic |
| D | CH4 | Cruise | 1689 | 13.93 | 13.55 | 6.33 | 20.90 | 14.46 | 0.16 | Adiabatic |
| Modelling | A | B | C | D |
|---|---|---|---|---|
| CFD | X | |||
| San Diego NOx | ||||
| FRC | ||||
| CFD | X | |||
| San Diego NOx | ||||
| EDC | ||||
| CFD | X | X | ||
| POLIMI H2/CO | ||||
| FRC | ||||
| CFD | X | X | X | X |
| POLIMI H2/CO | ||||
| EDC | ||||
| CRN | X | X | X | |
| C2 NOx | ||||
| CRN | X | X | X | |
| POLIMI H2/CO | ||||
| CRN | X | X | X | |
| San Diego NOx | ||||
| CRN | X | X | X | |
| GRI 3.0 |
Publisher’s Note: MDPI stays neutral with regard to jurisdictional claims in published maps and institutional affiliations. |
© 2021 by the authors. Licensee MDPI, Basel, Switzerland. This article is an open access article distributed under the terms and conditions of the Creative Commons Attribution (CC BY) license (http://creativecommons.org/licenses/by/4.0/).
Share and Cite
Perpignan, A.A.V.; Tomasello, S.G.; Rao, A.G. Evolution of Emission Species in an Aero-Engine Turbine Stator. Aerospace 2021, 8, 11. https://doi.org/10.3390/aerospace8010011
Perpignan AAV, Tomasello SG, Rao AG. Evolution of Emission Species in an Aero-Engine Turbine Stator. Aerospace. 2021; 8(1):11. https://doi.org/10.3390/aerospace8010011
Chicago/Turabian StylePerpignan, André A. V., Stella Grazia Tomasello, and Arvind Gangoli Rao. 2021. "Evolution of Emission Species in an Aero-Engine Turbine Stator" Aerospace 8, no. 1: 11. https://doi.org/10.3390/aerospace8010011
APA StylePerpignan, A. A. V., Tomasello, S. G., & Rao, A. G. (2021). Evolution of Emission Species in an Aero-Engine Turbine Stator. Aerospace, 8(1), 11. https://doi.org/10.3390/aerospace8010011

