Study on the Influence of Soil Parameters on the Cushioning Performance of Landing Airbags
Abstract
1. Introduction
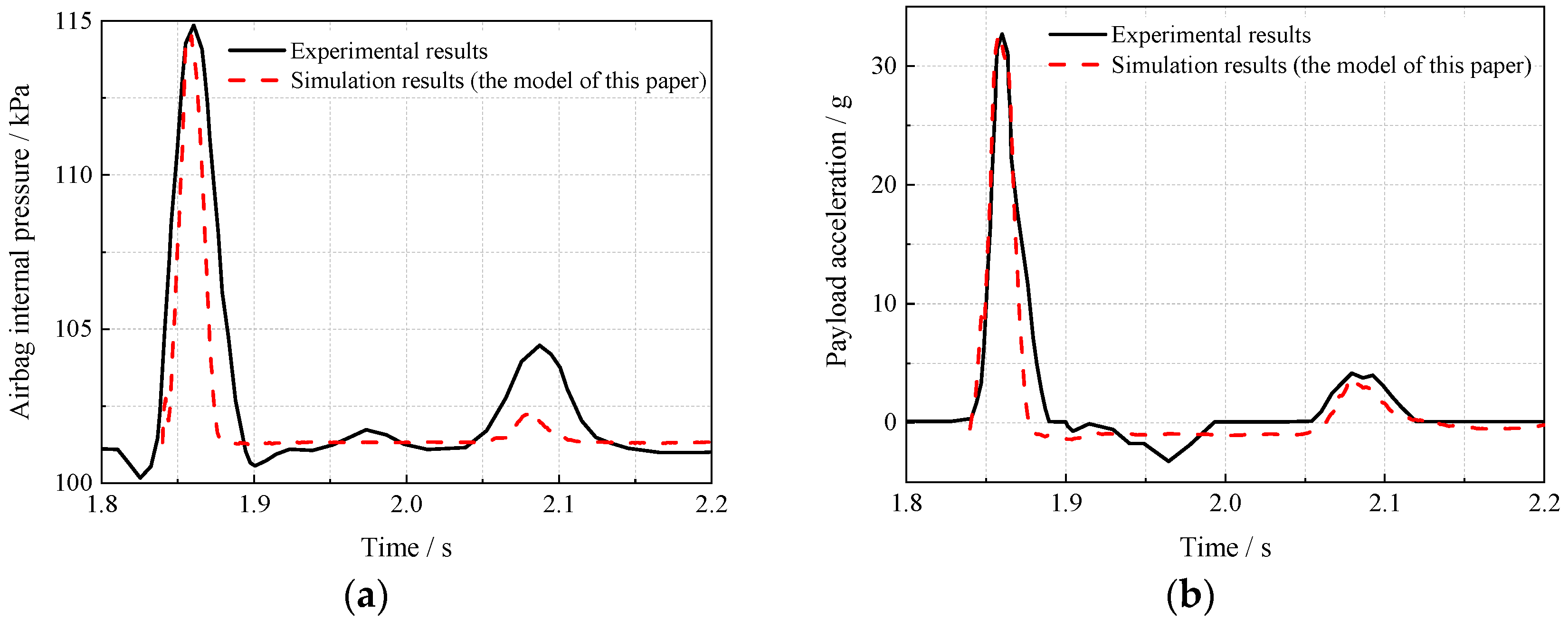
2. Establishment and Validation of Landing Cushioning Models
2.1. Airbag Finite Element Model
2.2. Soil Finite Element Model
3. Analysis of Landing Airbag Cushioning Process Considering Soil Properties
4. Influence of Soil Parameters on Airbag Cushioning Performance
4.1. Sensitivity Analysis of Soil Parameters
4.2. Analysis of Variance
4.3. Interaction Assessment
4.4. Research on Influence Laws of Key Soil Parameters
4.5. Shear Modulus G
4.5.1. Yield Parameter A1
4.5.2. Yield Parameter A2
4.5.3. Soil Density ρ
5. Conclusions
- During the cushioning process, soil absorbs energy through compressive deformation, resulting in a reduction in the total energy of the payload after rebound and a decrease in rebound height. These demonstrate that soil also has a certain degree of cushioning performance. Furthermore, the softer the soil, the greater the deformation, and the greater the payload maximum drop height. However, from a reliable perspective, excessively soft soil should be avoided when selecting landing sites. Because it may cause the airbag to sink into the soil, the exhaust port may be partially blocked by the soil, resulting in a decrease in effective exhaust area and hindering venting gas outward, thereby affecting the buffering performance. The payload may even directly impact the ground. Moreover, transporting and moving the payload on soft soil is also difficult.
- Three cushioning performance indicators—airbag peak pressure, payload maximum acceleration, and maximum drop height—were defined. By making a horizontal contrast of these indicators, a suitable landing site soil can be determined. Sensitivity analysis of soil parameters was conducted on six parameters of the soil foam model. The analysis results indicate that four parameters—soil density ρ, shear modulus G, and yield parameters A1 and A2—exert a significant influence on the above three indicators. Therefore, these parameters should be focused on investigation and analysis when selecting landing sites.
- Further research reveals that the airbag peak pressure and payload maximum acceleration increase with the rise in the above four key soil parameters, while the payload maximum drop height decreases accordingly. Among these, the soil shear modulus G and yield parameter A1 exhibit logarithmic growth relationships with the three cushioning performance indicators, while the yield parameter A2 and soil density ρ show linear growth relationships with the three cushioning performance indicators. The greater the payload mass, the more pronounced these laws become. Based on these laws, the specific changes in cushioning performance can be obtained when soil parameters vary.
6. Declaration of Applicable Boundaries
Author Contributions
Funding
Data Availability Statement
Conflicts of Interest
References
- Bown, N.; Darley, M. Advanced airbag landing systems for planetary landers. In Proceedings of the 18th AIAA Aerodynamic Decelerator Systems Technology Conference and Seminar, Munich, Germany, 23–26 May 2005; p. 1615. [Google Scholar]
- Shen, X.Y.; Wang, X.F.; Liu, C.S. A review of the airbag landing system for spacecraft. Chin. J. Aeronaut. 2025, 38, 103569. [Google Scholar] [CrossRef]
- Zhao, Q.; Wang, H.; Lu, C. Design and analysis of a cushioning airbag system for heavy airdropped equipment in High-Altitude environments. Aerospace 2025, 12, 768. [Google Scholar] [CrossRef]
- Li, L.; Chen, J.; Ma, Y. A study on the lateral static stability of a helicopter floating on water with a flexible airbag. Aerospace 2025, 12, 664. [Google Scholar] [CrossRef]
- Cui, B.; Zhang, Y.; Dong, H. Test and numerical analysis for water entry of elastic cabin from amphibious aircraft. Aerosp. Sci. Technol. 2024, 150, 109168. [Google Scholar] [CrossRef]
- Tutt, B.; Sandy, C.; Corliss, J. Status of the development of an airbag landing system for the Orion crew module. In Proceedings of the 20th AIAA Aerodynamic Decelerator Systems Technology Conference and Seminar, Seattle, WA, USA, 4–7 May 2009; p. 2923. [Google Scholar]
- Zhou, X.; Zhou, S.M.; Li, D.K. Direct folding method of cylindrical airbag and its application in landing buffer. J. Aerosp. Eng. 2022, 35, 04022083. [Google Scholar] [CrossRef]
- Watanabe, K.; Horiguchi, T.; Tanaka, K. Effect of soil type on running performance of small lunar rover. Aerospace 2025, 12, 24. [Google Scholar] [CrossRef]
- Fu, X.H. Analysis on characteristics of structural impact response of airborne armored vehicle in landing process. IOP Conf. Ser. Mater. Sci. Eng. 2019, 484, 012024. [Google Scholar] [CrossRef]
- Li, J.; Wang, H.; Rui, Q. Research on cumulative damage assessment method for airborne vehicle at landing based on finite element analysis. J. Syst. Simul. 2014, 26, 208–214. [Google Scholar]
- Taylor, A.; Benney, R.; Bagdonovich, B. Investigation of the application of airbag technology to provide a soft-landing capability for military heavy airdrop. In Proceedings of the 16th AIAA Aerodynamic Decelerator Systems Technology Conference and Seminar, Boston, MA, USA, 21–24 May 2001; p. 2045. [Google Scholar]
- Liang, S.; Ji, S. DEM-FEM coupling analysis of safe landing of reentry capsule considering landing attitude and rebound response. J. Aerosp. Eng. 2021, 34, 04021035. [Google Scholar] [CrossRef]
- Lian, W.X.; Hou, B.; Sun, J.H. Numerical analysis of landing cushioning process for heavy-load airdropped airbags on different ground conditions. Adv. Aeronaut. Sci. Eng. 2022, 13, 68–75. [Google Scholar]
- Gao, H.H.; Wang, H.H.; Zhang, H.Y. Experimental study on the cushioning performance of a recovery airbag for a certain type of unmanned aerial vehicle. Spectr. Recovery Remote Sens. 2021, 42, 30–38. [Google Scholar]
- Mou, H.; Wang, Z.; Xie, J. Comprehensive crashworthiness simulation analysis of a large aircraft fuselage barrel section in various crash scenarios. Aerosp. Sci. Technol. 2024, 152, 109338. [Google Scholar] [CrossRef]
- Zhou, X.; Zhou, S.M.; Li, D.K. Research on design and cushioning performance of combined lunar landing airbag. Acta. Astronaut. 2022, 191, 55–78. [Google Scholar]
- Cole, J.K.; Waye, D.E. BAG: A Code for Predicting the Performance of a Gas Bag Impact Attenuation System for the PATHFINDER Lander; Sandia National Laboratories: Albuquerque, NM, USA, 1993.
- Sydney, D. An Airbag-Based Crew Impact Attenuation System for the Orion Crew Exploration Vehicle. Doctoral Dissertation, Massachusetts Institute of Technology, Cambridge, MA, USA, 2011. [Google Scholar]
- Xie, D.Y. Soil Dynamics; Higher Education Press: Beijing, China, 2011. [Google Scholar]
- Fasanella, E.L.; Jackson, K.E.; Kellas, S. Soft soil impact testing and simulation of aerospace structures. In Proceedings of the 10th International LS-DYNA Users Conference, Dearborn, MI, USA, 8–10 June 2008. [Google Scholar]
- Kim, Y.B.; Jeong, H.J.; Park, S.M. Prediction and validation of landing stability of a lunar lander by a classification map based on touchdown landing dynamics’ simulation considering soft ground. Aerospace 2021, 8, 380. [Google Scholar] [CrossRef]
- Zhang, D.P.; Lei, Y.J.; Duan, J.B. Influence analysis of soil parameters on the landing impact characteristics of the return capsule. J. Vib. Shock. 2014, 33, 120–125. [Google Scholar]
- Fasanella, E.L. Multi-terrain Earth landing systems applicable for manned space capsules. J. Aerosp. Eng. 2009, 22, 201–213. [Google Scholar]
- Fasanella, E.L. Developing Soil Models for Dynamic Impact Simulations; NASA Langley Research Center: Hampton, VA, USA, 2009.
- Kulak, R.F.; Bojanowski, C. Modeling of Cone Penetration Test Using SPH and MM-ALE Approaches. In Proceedings of the 8th European LS-DYNA Users Conference, Strasbourg, France, 23–24 May 2011. [Google Scholar]
- Fasanella, E.L.; Heymsfield, E.; Hardy, R.C. Assessment of Soil Modeling Capability for Orion Contingency Land Landing. J. Aerosp. Eng. 2010, 25, 125–131. [Google Scholar]
- Esmaeili, M.; Tavakoli, B. Finite element method simulation of explosive compaction in saturated loose sandy soils. Soil Dyn. Earthq. Eng. 2019, 116, 446–459. [Google Scholar] [CrossRef]
- Du, H.L. Improved Calculation and Analysis of Landing Impact Cushioning System for Spacecraft Return Capsule Under Abnormal Conditions; Tsinghua University: Beijing, China, 2003. [Google Scholar]
- Yan, J.; Yang, L.; Zhang, Z.J. Validation study of lunar soil mechanics material model. In Proceedings of the 2009 National Symposium on Structural Dynamics, Orlando, FA, USA, 9–12 February 2009; pp. 111–116. [Google Scholar]
- Klasztorny, M.; Nycz, D.B.; Dziewulski, P. Numerical modelling of post-ground subsystem in road safety barrier crash tests. Eng. Trans. 2019, 67, 513–534. [Google Scholar]
- Drucker, D.C.; Prager, W. Soil mechanics and plastic analysis or limit design. Q. Appl. Math. 1952, 10, 157–165. [Google Scholar] [CrossRef]
- Fasanella, E.; Jones, Y.; Knight, N. Low-velocity Earth-penetration test and analysis. In Proceedings of the 19th AIAA Applied Aerodynamics Conference, Anaheim, CA, USA, 11–14 June 2001; p. 1388. [Google Scholar]
- Quinn, D.; Colbert, S.; Nolan, D.C. Propulsion system integration on truss-braced aircraft: Structural performance sensitivity to architectural design parameters. Aerosp. Sci. Technol. 2025, 159, 109987. [Google Scholar] [CrossRef]
- Zhou, X.; Zhou, S.M.; Li, D.K. Optimal design of airbag landing system without rebound. IOP Conf. Ser. Mater. Sci. Eng. 2019, 531, 012001. [Google Scholar] [CrossRef]















| Model | Parameter | Symbol | Value | Unit |
|---|---|---|---|---|
| Airbag | Cross-sectional diameter | D0 | 0.22 | m |
| Busbar length | L0 | 0.35 | m | |
| Initial pressure | P0 | 101.325 | kPa | |
| Gas temperature | T0 | 293.15 | K | |
| Exhaust pressure | Pop | 114.325 | kPa | |
| Exhaust port area | Aor | 0.0012 | m2 | |
| Payload | Mass | M | 2.5 | kg |
| Initial velocity | v0 | 4.8 | m/s |
| ρ/(kg/m3) | G/MPa | K/MPa | A0/Pa2 | A1/Pa | A2 | Pc/Pa |
|---|---|---|---|---|---|---|
| 1453.84 | 1.840 | 68.948 | 0.307 | 0.389 | 0.123 | −6.90 × 10−8 |
| ρ/(kg/m3) | G/MPa | K/MPa | A0/Pa2 | A1/Pa | A2 | Pc/Pa |
|---|---|---|---|---|---|---|
| 1453.84 | 1.840 | 68.948 | 0 | 0 | 0.3 | 0 |
| Soil Type | Peak Pressure Pmax/kPa | Maximum Acceleration amax/g | Maximum Drop Height hmax/m |
|---|---|---|---|
| Rigid body | 114.52 | 34.08 | 0.093 |
| Stiff soil | 114.41 | 33.43 | 0.103 |
| Soft soil | 114.24 | 31.40 | 0.215 |
| Parameter | Value Range | Orthogonal Experimental Design Value | Description |
|---|---|---|---|
| ρ/(kg/m3) | 1000.0~2500.0 | 1000.0, 1500.0, 2000.0, 2500 | Source: Reference [26]. |
| G/MPa | 0.1~50.0 | 0.1, 1.0, 10.0, 50.0 | |
| K/MPa | 1.0~170.0 | 1.0, 10.0, 100.0, 150.0 | |
| A0/kPa2 | 0~535.0 | 0, 10.0, 100.0, 500.0 | |
| A1/kPa | 0~105.0 | 0, 1.0, 10.0, 100.0 | |
| A2 | 0~0.75 | 0.1, 0.3, 0.5, 0.7 | Source: Equation (18). |
| No. | Pmax/kPa | amax/g | hmax/m | No. | Pmax/kPa | amax/g | hmax/m |
|---|---|---|---|---|---|---|---|
| 1 | 114.32 | 30.86 | 0.213 | 17 | 114.63 | 32.58 | 0.145 |
| 2 | 114.17 | 31.54 | 0.120 | 18 | 114.27 | 32.84 | 0.112 |
| 3 | 114.30 | 33.23 | 0.113 | 19 | 114.29 | 31.55 | 0.116 |
| 4 | 114.61 | 33.05 | 0.115 | 20 | 114.27 | 29.96 | 0.116 |
| 5 | 114.26 | 30.88 | 0.220 | 21 | 114.35 | 32.38 | 0.171 |
| 6 | 114.13 | 29.98 | 0.214 | 22 | 114.40 | 33.31 | 0.133 |
| 7 | 114.28 | 34.02 | 0.104 | 23 | 114.07 | 31.70 | 0.114 |
| 8 | 114.12 | 32.10 | 0.112 | 24 | 114.52 | 33.09 | 0.106 |
| 9 | 114.28 | 31.93 | 0.111 | 25 | 114.32 | 31.64 | 0.141 |
| 10 | 114.22 | 32.90 | 0.108 | 26 | 114.57 | 32.31 | 0.108 |
| 11 | 114.16 | 32.37 | 0.116 | 27 | 114.49 | 33.44 | 0.111 |
| 12 | 114.20 | 32.70 | 0.131 | 28 | 114.54 | 33.70 | 0.111 |
| 13 | 114.40 | 31.35 | 0.116 | 29 | 114.17 | 31.72 | 0.141 |
| 14 | 114.45 | 33.34 | 0.125 | 30 | 114.25 | 31.92 | 0.167 |
| 15 | 114.02 | 31.23 | 0.102 | 31 | 114.51 | 32.24 | 0.109 |
| 16 | 114.28 | 32.18 | 0.102 | 32 | 114.19 | 31.32 | 0.104 |
| Source of Variance | Sum of Squares | Degrees of Freedom | Mean Square | F Value | p Value |
|---|---|---|---|---|---|
| ρ | 0.223 | 3 | 0.074 | 7.40 | 0.004 ** |
| G | 0.381 | 3 | 0.127 | 12.70 | <0.0001 ** |
| K | 0.018 | 3 | 0.006 | 0.60 | 0.625 |
| A0 | 0.008 | 3 | 0.003 | 0.30 | 0.825 |
| A1 | 0.112 | 3 | 0.037 | 3.70 | 0.039 * |
| A2 | 0.540 | 3 | 0.180 | 18.00 | <0.0001 ** |
| Source of Variance | Sum of Squares | Degrees of Freedom | Mean Square | F Value | p Value |
|---|---|---|---|---|---|
| ρ | 1.469 | 3 | 0.490 | 1.40 | 0.287 |
| G | 16.284 | 3 | 5.428 | 15.51 | <0.0001 ** |
| K | 1.322 | 3 | 0.441 | 1.26 | 0.329 |
| A0 | 1.345 | 3 | 0.448 | 1.28 | 0.322 |
| A1 | 3.821 | 3 | 1.274 | 3.64 | 0.041 * |
| A2 | 17.545 | 3 | 5.848 | 16.71 | <0.0001 ** |
| Source of Variance | Sum of Squares | Degrees of Freedom | Mean Square | F Value | p Value |
|---|---|---|---|---|---|
| ρ | 9.140 | 3 | 3.047 | 13.85 | <0.0001 ** |
| G | 4.570 | 3 | 1.523 | 6.92 | 0.005 ** |
| K | 0.757 | 3 | 0.252 | 1.15 | 0.363 |
| A0 | 3.040 | 3 | 1.013 | 4.60 | 0.020 * |
| A1 | 15.230 | 3 | 5.077 | 23.08 | <0.0001 ** |
| A2 | 1.520 | 3 | 0.507 | 2.30 | 0.125 |
| Parameter Pair | ρ-G | ρ-A1 | ρ-A2 | G-A1 | G-A2 | A1-A2 |
|---|---|---|---|---|---|---|
| Average interaction intensity (kPa) | 0.124 | 0.046 | 0.078 | 0.052 | 0.097 | 0.021 |
| Parameter Pair | ρ-G | ρ-A1 | ρ-A2 | G-A1 | G-A2 | A1-A2 |
|---|---|---|---|---|---|---|
| Average interaction intensity (g) | 0.128 | 0.085 | 0.142 | 0.093 | 0.356 | 0.067 |
| Parameter Pair | ρ-G | ρ-A1 | ρ-A2 | G-A1 | G-A2 | A1-A2 |
|---|---|---|---|---|---|---|
| Average interaction intensity (m) | 0.009 | 0.018 | 0.007 | 0.006 | 0.008 | 0.005 |
| Payload Mass M/kg | Peak Pressure Pm/kPa | Maximum Acceleration amax/g | Maximum Drop Height hmin/m |
|---|---|---|---|
| 2.5 | 114.52 | 32.70 | 0.093 |
| 12.5 | 133.42 | 22.28 | 0.166 |
| 25.0 | 157.22 | 21.21 | 0.187 |
Disclaimer/Publisher’s Note: The statements, opinions and data contained in all publications are solely those of the individual author(s) and contributor(s) and not of MDPI and/or the editor(s). MDPI and/or the editor(s) disclaim responsibility for any injury to people or property resulting from any ideas, methods, instructions or products referred to in the content. |
© 2026 by the authors. Licensee MDPI, Basel, Switzerland. This article is an open access article distributed under the terms and conditions of the Creative Commons Attribution (CC BY) license.
Share and Cite
Wang, Y.; Zhou, X.; Liu, J.; Li, X.; Wang, J.; Zhang, P. Study on the Influence of Soil Parameters on the Cushioning Performance of Landing Airbags. Aerospace 2026, 13, 267. https://doi.org/10.3390/aerospace13030267
Wang Y, Zhou X, Liu J, Li X, Wang J, Zhang P. Study on the Influence of Soil Parameters on the Cushioning Performance of Landing Airbags. Aerospace. 2026; 13(3):267. https://doi.org/10.3390/aerospace13030267
Chicago/Turabian StyleWang, Yichen, Xuan Zhou, Jingang Liu, Xiaolun Li, Jiang Wang, and Pei Zhang. 2026. "Study on the Influence of Soil Parameters on the Cushioning Performance of Landing Airbags" Aerospace 13, no. 3: 267. https://doi.org/10.3390/aerospace13030267
APA StyleWang, Y., Zhou, X., Liu, J., Li, X., Wang, J., & Zhang, P. (2026). Study on the Influence of Soil Parameters on the Cushioning Performance of Landing Airbags. Aerospace, 13(3), 267. https://doi.org/10.3390/aerospace13030267

