Next Article in Journal
DDES-Informed Development of a Helicity-Based Turbulence Model: Validation on Corner Separation and Aeronautical Flows
Previous Article in Journal
Development and Verification of Small Mammal Life Support System for Microgravity Environment in Space
 
 
Font Type:
Arial Georgia Verdana
Font Size:
Aa Aa Aa
Line Spacing:
Column Width:
Background:
Article

Assessing the Fidelity of Steady-State MRF Modeling for UAV Propeller Performance in Non-Axial Inflow

1
CMT—Clean Mobility & Thermofluids, Universitat Politècnica de València, Camino de Vera, 46022 Valencia, Spain
2
ISAE-SUPAERO Institut Supérieur de l’Aéronautique et de l’Espace, 10, Avenue Edouard Belin, 31055 Toulouse, France
*
Author to whom correspondence should be addressed.
Aerospace 2026, 13(2), 198; https://doi.org/10.3390/aerospace13020198
Submission received: 14 December 2025 / Revised: 28 January 2026 / Accepted: 16 February 2026 / Published: 18 February 2026
(This article belongs to the Section Aeronautics)

Abstract

The aerodynamic behavior of small-scale UAV propellers operating under non-axial inflow conditions poses a significant prediction challenge due to the presence of strong azimuthal asymmetries, inherently unsteady flow phenomena, and Reynolds number effects that dominate forward flight conditions. Although numerical models based on the Moving Reference Frame (MRF) formulation combined with steady RANS solvers are widely used in engineering practice because of their low computational cost, the precise limits of their applicability in crossflow configurations remain poorly defined. This work conducts a comprehensive numerical investigation that systematically compares steady RANS–MRF predictions against time-accurate URANS simulations across a wide range of advanced ratios and rotor tilt angles. Rigorous validation of the computational framework against experimental data in axial and near-axial regimes demonstrates excellent agreement, with deviations below 5% in propulsive efficiency. The results clearly identify the operational envelope within which MRF-based steady models remain valid under non-axial inflow. In particular, the steady approach exhibits robust performance for low-to-moderate advance ratios, where global errors in thrust and power remain below 10% for μ = 0.40 . However, the fidelity of the method deteriorates sharply under extreme edgewise-flight conditions ( μ = 0.70 ) , in which the crossflow component dominates the aerodynamic field, the “frozen-rotor” assumption progressively loses mathematical consistency, and the solver may converge toward steady solutions that no longer represent a physically meaningful flow state. The URANS analysis further reveals two critical phenomena that cannot be captured by steady-state models. First, at high advance ratios, the retreating blade encounters an extensive region of reverse flow, which induces negative sectional thrust and strongly anharmonic load waveforms. This behavior has direct implications for structural design: the peak-to-peak amplitude of thrust oscillation in edgewise flight can exceed the mean thrust level, implying extreme cyclic loading and a high risk of high-cycle fatigue. Second, the simulations quantify the emergence of off-axis parasitic moments (pitching and rolling), which are negligible in vertical flight but reach magnitudes comparable to the total aerodynamic torque in forward-flight conditions. Taken together, these findings highlight the need for a hybrid-fidelity strategy in UAV propulsion analysis: employing steady RANS–MRF within the validated domain for energetic assessments, while relying on time-accurate URANS for mandatory evaluation of structural loading, vibration, and control logic in critical high-speed regimes.

1. Introduction

In the last decade, the operational envelope of Unmanned Aerial Vehicles (UAVs) has expanded well beyond the simple hovering maneuvers that characterized their early adoption. Driven by the need for autonomous efficiency in complex environments, modern multi-rotor platforms are now integral to critical sectors such as precision agriculture [1], where they execute automated coverage paths over vast acreages, and in disaster management [2], where rapid deployment is essential for real-time situational awareness. The versatility of these platforms has been further demonstrated in search and rescue operations in challenging terrain [3], environmental monitoring of habitat destruction [4], and the tracking of marine fauna in coastal zones [5]. As these mission profiles evolve, the demand for high-altitude and long-endurance capabilities has also pushed the design boundaries of propulsion systems, necessitating a deeper understanding of aerodynamic performance in extreme conditions [6].
However, the aerodynamic environment of a UAV propeller in these functional scenarios is rarely steady or axial. Unlike the idealized hover condition, practical missions involve sustained forward flight, steep descent, and aggressive maneuvering in gusty crosswinds. In these regimes, the inflow vector is no longer aligned with the rotor axis, introducing a non-axial flow component that fundamentally alters the blade loading distribution [7]. This complexity is exacerbated by the small scale of UAV rotors, which operate at low Reynolds numbers ( R e < 10 5 ) where the flow is dominated by laminar separation bubbles and significant viscous effects [8,9]. Consequently, the optimization of propellers for these vehicles requires a meticulous balance between geometric parameters and aerodynamic efficiency, often necessitating specific airfoils and twist distributions tailored to high-altitude or transition regimes [10].
The aerodynamic behavior of small-scale rotors under such non-axial and interactional conditions has been the subject of extensive investigation. Experimental campaigns have highlighted the sensitivity of rotor thrust and torque to disk angle of attack [7] and the complex wake interactions that occur in multi-rotor configurations. For instance, Nugroho et al. [11] analyzed the aerodynamic performance of VTOL arm configurations, revealing the significant interference effects that degrade propulsion efficiency. The influence of design variables, such as blade twist and taper, on hovering performance has also been documented [12]; however, translating these findings to forward flight remains challenging.
Recent studies have increasingly focused on interactional aerodynamics that define the performance of multi-rotor vehicles. Jeon et al. [13] investigated the influence of axial offset and index angle on the aerodynamic performance of co-axial co-rotating propellers, a configuration that is particularly attractive due to its compact layout and structural simplicity. Zhu et al. [14] examined non-parallel tandem dual-rotor systems, crucial for tiltrotor UAVs, while Chae et al. [15] examined the wake characteristics of twin rotors in descent. These interactional effects are not merely additive; they introduce non-linear flow phenomena that can lead to significant thrust losses or vibrations. The complexity of inflow angles is further detailed by Kolaei et al. [16], who demonstrated the strong dependence of rotor forces on the inflow incidence. Furthermore, the interaction between the rotor wake and the fuselage or airframe is a critical determinant of overall vehicle efficiency, as shown in computational studies of helicopter rotor-fuselage interactions [17] and more recent work on quadcopter rotor-airframe wakes [18].
To predict these complex behaviors during the design phase, engineers rely on a hierarchy of modeling fidelities. At the lower end, computationally efficient force and moment models [19] and classical actuator disk theories [20] provide rapid estimations suitable for flight dynamics and control allocation. Recent improvements in Blade Element Momentum Theory (BEMT), such as the formulation proposed by Park [21], in which the blade element approach is coupled with momentum theory to account for axial flow conditions, as well as the enhancements introduced by Tai et al. [22] to improve robustness for Urban Air Mobility (UAM) applications, have extended the applicability of low-fidelity models. However, these approaches still struggle to accurately capture the asymmetric loading inherent to edgewise flight, as they rely on pre-calculated sectional airfoil polars and often lack the capacity to resolve significant three-dimensional flow effects.
To alleviate this limitation, various intermediate-fidelity modeling strategies have been proposed in recent years. Vortex-based approaches, such as the viscous vortex particle method (VPM) employed by Alvarez et al. [23], have demonstrated the capability to capture dominant wake structures, thrust degradation, and unsteady loading associated with rotor–rotor interactions in multirotor configurations under both hover and forward-flight conditions. These methods have proven particularly attractive for conceptual design studies of distributed propulsion systems due to their reduced computational cost [24], while still retaining the ability to resolve interactional aerodynamics. However, the simplified treatment of viscous effects and the lack of full boundary-layer resolution inherently limit their applicability when blade-resolved aerodynamics or rotor–airframe interactions play a significant role. Moreover, Ye et al. [25] have shown that the accuracy of VPM-based predictions is strongly dependent on the operating point, constraining their suitability for systematically assessing model validity under off-design and strongly non-axial inflow conditions. In their work, Ye et al. compared propeller numerical predictions conducted by VPM and Moving Reference Frame (MRF) against experimental measurements, obtaining errors between 10% and 20% for VPM and about 3% for MRF.
Alternative hybrid strategies have also been explored to reduce the cost of unsteady CFD simulations while preserving access to aeroacoustics predictions. Momentum-source formulations, such as the Virtual Blade Method (VBM) or actuator-based methods coupled with URANS solvers, replace body-fitted blade geometries with distributed forcing terms, enabling the capture of unsteady wakes, aerodynamic loads, and noise radiation at substantially reduced computational expense [26]. Despite their demonstrated efficiency in reproducing rotor wakes, unsteady loading, and tip-vortex-driven noise, these approaches inevitably smooth blade-level flow features and remain dependent on modeling assumptions that may compromise accuracy under strong crossflow or highly three-dimensional inflow conditions.
At the lowest end of the fidelity spectrum, blade-element-based aeroacoustic models coupled with integral formulations of the Ffowcs Williams–Hawkings equation have shown remarkable efficiency in reproducing dominant tonal and broadband noise mechanisms [27]. Such approaches are well-suited for preliminary noise assessment and community impact studies of UAV operations; however, their reliance on simplified aerodynamic representations constrains their ability to assess the validity of steady-state flow assumptions or to capture complex, interactive aerodynamics.
To resolve the three-dimensional flow features, Computational Fluid Dynamics (CFD) is required. High-fidelity simulations have been employed to analyze multi-rotor flows [28] and the impact of blade number on performance [29], providing detailed insights into wake topology. However, a critical trade-off exists between the computationally expensive Unsteady Reynolds-Averaged Navier–Stokes (URANS) method, which resolves the transient blade motion, and the steady-state MRF approach. While URANS is essential for capturing unsteady phenomena such as turbulence ingestion [30], rotor-rotor interaction [31], and aeroacoustics signatures [32], its cost is often prohibitive for iterative design optimization. Conversely, MRF offers a cost-effective alternative but relies on the “frozen rotor” assumption, the validity of which is questionable when the freestream velocity has a significant component parallel to the rotor disk.
Despite the widespread use of MRF in engineering practice, a lack of comprehensive quantitative data remains regarding its precise limits of applicability in forward flight. Previous studies have often compared MRF and URANS at specific operating points or focused on different aspects, such as design studies on propeller configuration in the fuselage [33], specific phenomena like blade twist control [34], or aerodynamic moments at high incidence [35]. However, a systematic mapping of the error topology across the entire flight envelope (spanning from hover to high-speed edgewise flight) is missing. This gap leads to uncertainty in the design process, where engineers may unknowingly rely on steady-state results in regimes where the physical assumptions have broken down, potentially leading to errors in the range of estimation and structural sizing.
The pursuit of high-fidelity validation has recently culminated in the definition of community-standard benchmarks. Notable contributions by Casalino et al. [36] and Romani et al. [32,37] have established a rigorous experimental and numerical framework for low-Reynolds number propellers. Utilizing advanced approaches such as the Lattice-Boltzmann Method (LBM) and high-resolution aeroacoustics measurements, these studies have characterized the complex flow incidence effects and noise signatures of benchmark geometries in detail. These works serve as a “ground truth” for performance prediction in this regime. Despite the availability of these high-fidelity benchmarks and the widespread use of MRF in engineering practice, a lack of comprehensive quantitative data remains regarding the precise limits of MRF applicability in forward flight.
This paper addresses these gaps by assessing the fidelity of steady-state MRF modeling for UAV propellers in non-axial inflow. Crucially, this study adopts the open benchmark propeller geometry defined by Casalino et al. [36]. This choice not only ensures high reproducibility of the findings but also establishes a comprehensive aerodynamic database that can be directly utilized by the research community for CFD solver comparisons and the parametrization of flight mechanics models.
By systematically comparing MRF predictions against time-accurate URANS simulations and the established experimental benchmarks across a wide range of advance ratios and inflow angles, this work provides a rigorous validity map for the steady-state approximation. The novelty of this research lies in (i) the wide range of simulated flight conditions, covering the transition from axial to edgewise flight; (ii) the identification of a quantitative “breakdown zone” where MRF results diverge from physical reality and (iii) a comprehensive analysis of performance parameters, including the parasitic pitch and roll moments that emerge in forward flight, factors critical for the stability and control of next-generation UAVs. The comparison between MRF and URANS methods is mainly focused on the aerodynamic characterization of the propeller, although a preliminary quantification of the ability of both methods to predict noise generation (especially in terms of blade pass tonal noise) is also included in this work.
Therefore, this article is organized as follows. Section 2 details the geometric specifications of the benchmark propeller and the reference coordinate systems employed. Section 3 outlines the numerical methodology, defining the computational domain, the main modeling assumptions, and the temporal and spatial discretization strategy. Section 4 presents a discussion of the results, structured into four subsections: a validation of the numerical setup against experimental data; a comparative performance analysis between steady (MRF) and unsteady (URANS) solvers; a detailed investigation into the transient flow phenomena characterizing the breakdown of the steady-state assumptions; and a brief aeroacoustic assessment using the Ffowcs Williams-Hawkings (FW-H) analogy for both modeling approaches. Finally, Section 5 summarizes the main conclusions and implications for future UAV designs.

2. Case Study

For this case study, the APC 9 × 6 propeller blade was used as the baseline for generating geometry. This blade has been widely adopted as a reference in aerodynamic investigations of small-scale propellers operating at low Reynolds numbers [32,36,37,38]. The geometry was scaled to obtain a total diameter of D = 0.3   m .
To ensure full consistency with the experimental benchmark and the associated validation data, the blade geometry employed in this study strictly follows the open-source reference configuration defined by Casalino et al. [36]. In this benchmark, the original blade airfoils are uniformly defined as NACA4412 along the entire span and connected to the hub through an elliptical root section. The root region corresponds to the segment r D < 0.1 . Figure 1 shows the chord ( c / R ) and twist angle ( β ) distribution along the span of a propeller blade or rotor, from the center ( c / R = 0 ) to the tip ( c / R = 1 ). These two geometric parameters directly determine the aerodynamic loading generated by each blade section, as well as the variation in the effective angle of attack along the span.
The chord distribution reaches its maximum around mid-span ( c / R = 0.4 ) and decreases toward both the tip and the root, while the twist angle decreases from approximately 43° near the hub to 11° at the tip. This geometric variation compensates for the increase in tangential velocity along the blade radius, ensuring an appropriate angle of attack and improving overall aerodynamic performance. Table 1 summarizes the main parameters of the resulting geometry.
Regarding the fluid domain, a spherical volume with a radius ten times larger than the rotor R D o m a i n = 10 D was modeled to ensure the absence of freestream interference. To represent the rotor motion, an inner cylindrical region was defined with a radius of R c y l i n d e r = 0.83 D and a height of h = 0.5 D .
A Far-Field boundary condition was applied on the outer surface of the sphere, setting the inflow velocity in the range of V = 0 50   m / s and a freestream density of ρ = 1.177   k g · m 3 . The advance ratio was defined according to:
μ = V n D ,
where n is the angular velocity of the rotor expressed in rev/s. For this study, a rotational speed of Ω = 5000   r p m was prescribed ( n = 83.3   r e v / s ), resulting in an advance ratio range of μ = 0.0 2.0 .
It is noted that advanced ratios beyond μ 0.5 0.7 exceed the typical operational envelope of small-scale fixed-pitch UAVs. The inclusion of higher advance ratios in the present study is therefore not intended to represent realistic flight conditions, but rather to deliberately probe the limits of the steady-state MRF formulation.
For the region near the propeller, the cylindrical rotating domain includes a coupling interface on its outer surface to enable consistent transfer of flow properties between the stationary domain and this region. This interface ensures a smooth transition of velocity and pressure fields, preserving the coherence of the solution at the interaction between the two domains.
Finally, a no-slip boundary condition was applied to the rotor surfaces, allowing for the capture of viscous effects associated with the blade. Figure 2 illustrates the domain geometry, the rotor blade, and the boundary conditions applied to each surface.

3. Methodology

3.1. Aerodynamic Performance

To evaluate the aerodynamic performance of the rotor and enable comparison among the different cases studied, a set of nondimensional coefficients derived from the forces acting on the blade was employed. These forces were obtained directly from the rotor surfaces by integrating the pressure and viscous shear contributions at each simulation step. This approach ensures an accurate characterization of both the local and global aerodynamic loads on the blade.
The thrust coefficient C T and the torque coefficient C Q were defined by nondimensionalizing the thrust force and the torque moment, considering the freestream density, the angular velocity of the rotor, and the rotor diameter. These coefficients are expressed as:
C T = T ρ n 2 D 4 , C Q = Q ρ n 2 D 5 .
Similarly, the power coefficient C P was obtained from the torque applied to the rotor, and is defined as:
C P = P ρ n 3 D 5 .
Finally, the propulsive efficiency of the rotor was evaluated to identify the most favorable operating condition from an energy standpoint. This efficiency relates the useful power converted into effective thrust to the power supplied to the rotor, and is given by:
η = μ C T 2 π C Q .
These coefficients constitute the fundamental metrics used to interpret and compare the rotor’s behavior in both steady-state (RANS) and unsteady (URANS) simulations. Moreover, they allow assessment of the influence of the advance ratio, the evolution of the flow field, and the differences between the numerical approaches.
Figure 3 presents the reference coordinate system adopted to describe the rotor orientation and the associated angular definitions. The freestream lies in the X–Z plane, with its horizontal projection aligned with the +X axis. The azimuthal angle, ψ , is measured around the rotor axis, defining the instantaneous blade position within the rotor disk: ψ = 0   d e g corresponds to the blade aligned with the freestream direction, ψ = 90   d e g to the advancing side, ψ = 180   d e g to the opposite position, and ψ = 270   d e g to the retreating side. The inclination angle θ specifies the rotor tilt relative to the incoming flow within the X–Z plane, enabling the characterization of operating conditions ranging from axial inflow to edgewise flight. This coordinate framework is used throughout the study to interpret both the aerodynamic loading and its azimuthal variability.

3.2. Numerical Resolution

This study employs two approaches to model rotor motion: a Moving Reference Frame (MRF) for steady-state cases and a Rigid Body Motion (RBM) for unsteady cases. The fundamental difference between these methods lies in how the blade motion is represented. In the MRF approach, the motion of the rotor is modeled by applying a rotating reference frame to a stationary domain, allowing the rotational effects to be captured without physically moving the mesh [39]. In contrast, the RBM approach reproduces the actual transient motion of the rotor by updating the blade position within the domain as a function of time, enabling the study of unsteady phenomena associated with rotation [40].
The simulations were carried out using STAR-CCM+(19.04.007), which allows solving the Reynolds-Averaged Navier–Stokes (RANS) and Unsteady RANS (URANS) equations [41] to model the flow while simultaneously resolving the equations governing rotor motion. Since flow separation may occur in this configuration, the k ω   S S T turbulence model was selected due to its capability to accurately capture this behavior and provide reliable predictions. The k ω   S S T model, developed by Menter [42], incorporates the transportation of principal turbulent shear stress to the k ω model originally proposed by Wilcox [43], improving the prediction of adverse pressure gradients and offering a more accurate tool for assessing the aerodynamic performance of rotating components.
For this case study, a polyhedral mesh with different refinement levels across the domain regions was employed, with the objective of adequately capturing velocity variations and flow gradients, particularly in the vicinity of the blade surface. For the discretization of the outer domain, a cell size of x d o m a i n D 0.5 was defined. In the cylindrical region used to represent the rotor’s motion —serving as a transition zone between the outer domain and the rotor surroundings to ensure proper coupling between both zones—a cell size of x c y l i n d e r D 0.01125 was applied. An additional refinement was imposed on the cells adjacent to the blade surfaces, with a size of x w a l l s D 0.0015 . Figure 4 illustrates the different refinement levels as well as the details of the boundary-layer mesh generated near the blade surfaces.
To accurately capture the behavior of the boundary layer on the blade surfaces, a prismatic layer mesh was incorporated with a thickness of y D 8.33 × 10 4 , consisting of 7 layers. With this configuration, the final mesh contains approximately 5.47 × 10 6 elements.
A grid-independence study was performed to ensure that spatial discretization errors remain an order of magnitude lower than the modeling discrepancies reported in this work. Three mesh refinement levels were tested, ranging from 5.47 million to 22 million elements, with a focus on axial and edgewise flight conditions. In Figure 5, the results of this study are presented, showing that the sensitivity of the global aerodynamic coefficients to further mesh refinement is negligible. Consequently, the base mesh was deemed sufficient to capture the relevant flow physics while maintaining the computational feasibility required for the extensive parametric sweep across the flight envelope.
The quality of the prism layer was assessed using the Wall y+ parameter, ensuring that most cells on the propeller surface remained below a value of 1. This guarantees an adequate resolution of the viscous sublayer and, consequently, an accurate capture of boundary-layer phenomena.
For the URANS simulations, a constant time step of 1 degree of rotor rotation was employed, along with a second-order implicit temporal discretization scheme. The numerical stability and temporal consistency of the simulations were further assessed by monitoring the Courant–Friedrichs–Lewy (CFL) number, verifying that its values remained as low as possible throughout most of the fluid domain to preserve temporal consistency. A temporal resolution sensitivity study was performed using finer time steps of 0.5   d e g and 0.25   d e g per rotor revolution. The resulting differences in global performance coefficients were below 0.5 % , confirming that the selected time step yields time-step-independent results for the present configuration. In Figure 6 (left), the predominance of y + < 1 indicates that the first grid point lies within the viscous sublayer, ensuring that the near-wall region is fully resolved. On the right, the distribution of CFL values exhibits a pronounced peak near unity, suggesting that the vast majority of elements satisfy the CFL stability criterion expected for an explicit scheme.
Finally, this study briefly discusses aeroacoustics applicability. Noise predictions are conducted using the Ffowcs Williams-Hawkings (FW-H) analogy [44,45,46]. A permeable surface formulation is applied at the rotating domain interface for unsteady cases, while an impermeable formulation was conducted for steady calculations. The acoustic pressure is calculated at the Microphone 7 location defined by Romani et al. [32]. This sensor is positioned in the blade plane at an azimuthal angle of ψ = 180   d e g , a distance of 4 D from the rotor center. The analysis focuses strictly on tonal noise components during a total of 10 full rotations of the blade. Broadband noise cannot be accurately resolved because the turbulence is modeled rather than solved. This methodology is implemented for both steady RANS and transient URANS simulations. For the steady-state MRF case, the microphone is moved virtually to capture the tonal signature. Future research will refine this acoustic approach for the entire flight envelope. In the present work, the aeroacoustics evaluation is limited to low advance ratios.

4. Results

4.1. Validation of the Numerical Framework

To establish the reliability of the computational setup, validation was conducted against experimental benchmarks for both axial and non-axial flow conditions. First, the RANS and URANS frameworks were assessed under axial flight conditions ( θ = 90   d e g ). The predictions were compared against the benchmark study by Casalino et al. [36], which utilizes an identical rotor geometry and rotational speed ( Ω = 5000   r p m ). Figure 7 illustrates the thrust coefficient ( C T ), torque coefficient ( C Q ) and propulsive efficiency ( η ) as a function of the advance ratio ( μ ). While the most significant discrepancies were observed at fixed-point conditions of approximately 10% of thrust and 15% for torque, the agreement becomes excellent at higher advance ratios. Regarding propulsive efficiency, the maximum deviation is limited to 5%. These findings are consistent with the deviations reported in the reference study for static conditions, while the accuracy across the remainder of the curve is notably improved in the current work. Since RANS and URANS predictions are virtually identical in this regime, both models are considered successfully validated for axial flow.
Furthermore, to validate and solve the problem under cross-flow conditions, the results were compared with those of the study by Romani et al. [32], which utilized both high-fidelity CFD and experimental measurements. Their investigation focused on a specific operating point characterized by a near-axial inflow angle ( θ = 75   d e g ) and an advance ratio of μ = 0.40 . It should be noted that while Romani et al. [32] define incidence based on the complementary angle ( α ), and the geometric and kinematic setups remain otherwise identical. Table 2 compares the coefficients obtained in the present work against these benchmark measurements. At this operating point, the current RANS and URANS solutions are virtually indistinguishable, showing a deviation of only 3% in thrust and 1% in torque relative to the experimental data. Notably, the present numerical results achieve a higher agreement with the experiment than the original predictions reported by Romani et al. [32]. While this specific case represents near-axial conditions, it provides robust validation of the computational framework, which is essential before analyzing more aggressive crossflow regimes.

4.2. Comparison Between RANS and URANS Under Forward Flight Conditions

To systematically assess the fidelity of the steady-state RANS–MRF formulation and explicitly identify its limits relative to URANS, the investigated advance-ratio range was deliberately extended up to μ = 2.00 . Figure 8 compares the global blade thrust and power performance coefficients as computed by the steady RANS-MRF and transient URANS approaches. It is evident that limiting combinations of high advance ratios and low inclination angles (e.g., θ = 0   d e g and μ = 1.00 ), achieving a converged solution for the RANS simulations proved challenging, leading to numerical artifacts. These convergence issues arise in the operational regime where the steady-state assumption underlying the MRF formulation becomes ill-posed due to strong flow asymmetry. Consequently, these points were not investigated further as the solution is physically meaningless. Conversely, the RANS approximation yields reasonably accurate results for other operating points, particularly at low to moderate advance ratios.
To precisely delineate the applicability limits of the RANS-MRF approach, Figure 9 illustrates the divergence between the steady RANS and time-averaged URANS coefficients, as defined in Equation (5), allowing for a direct assessment of the modeling fidelity across the entire investigated flight envelope. The map reveals that, despite common assertions in the literature regarding the unsuitability of MRF for non-axial inflow, there exists a significant operational range where the approximation remains highly effective. For the present propeller, the maximum error in both C T and C P is bounded at 5% provided the advance ratio remains below μ < 0.30 and remains under 10% for μ < 0.40 . Consequently, MRF simulations can be used with confidence to estimate global performance within these ranges, while also providing a significant reduction in computational cost compared to unsteady approaches.
Beyond this threshold, the error increases sharply, particularly under forward-flight conditions characterized by low angles of attack and high advance ratios ( θ < 30   d e g and μ > 0.40 ). This behavior enables the definition of a clear validity limit for the MRF method, beyond which the predictions become unreliable. Based on these results, a practical modeling criterion can be established: the MRF approach is suitable for preliminary design stages and energy performance analyses when μ < 0.40 , whereas URANS simulations become necessary when considering high-advance regimes, especially if high-cycle fatigue needs to be assessed, as discussed later.
A noteworthy finding is that the MRF approximation for C P appears more accurate than for C T at high advance ratios. However, this discrepancy limits the model’s utility for coupled performance prediction: an incorrect thrust prediction would lead to an erroneous rotational speed estimation, subsequently invalidating the power calculation, even if the C P map appears locally accurate.
Δ C T = C T U R A N S C T R A N S C T U R A N S Δ C P = C P U R A N S C P R A N S C P U R A N S
To understand the local origins of these discrepancies, Figure 10 details the spanwise distribution of the sectional thrust coefficient ( R d C T d r ) on a single blade. The plots provide a comparative analysis between the steady RANS solution, the time-averaged URANS profile, and the instantaneous URANS loading extracted at four cardinal azimuthal positions: ψ = 0   d e g (blade aligned with the free stream), ψ = 90   d e g (advancing side), ψ = 180   d e g , and ψ = 270   d e g . This comparison is presented for three different operating regimes: a relatively low advance ratio ( μ = 0.40 ), a moderate one ( μ = 0.60 ), and a high-speed case ( μ = 2.00 ) across various rotor inclination angles.
It can be observed that at low inclination angles, the steady RANS solver exhibits suboptimal performance across the spanwise distribution. However, due to the phenomenon of error cancellation during integration, the predicted mean global thrust may still appear acceptable at low-to-moderate advance ratios. For instance, at μ = 0.40 , the integrated error is approximately 10% for pure edgewise flight, whereas it becomes negligible for near-axial conditions ( θ = 80   d e g ). As the advance ratio increases, the discrepancy widens significantly for low θ . For intermediate angles (e.g., θ = 60   d e g ), blade loading diminishes markedly, while the θ = 80   d e g case has been omitted from the high-speed comparison as it results in negative net thrust.
The μ = 2.00 regime is particularly noteworthy due to the extreme azimuthal variability in the load distribution. Surprisingly, the MRF solution still captures the mean loading trend in specific radial sections; indeed for θ = 20   d e g , the RANS prediction appears deceptively accurate on average. However, calculation is strongly advised. As demonstrated in the global error maps presented earlier, this operating point falls within a regime characterized by global deviations of 20–30%. Consequently, despite incidental agreement in certain radial segments, the MRF approach lacks physical fidelity in this zone and is not recommended for reliable performance prediction.
To investigate the local flow topology, Figure 11 and Figure 12 present velocity magnitude contours extracted in the stationary reference frame on a plane located 0.10 D downstream of the rotor plane. These figures compare the RANS (top) and URANS (bottom) solutions for two distinct regimes: a moderate case ( μ = 0.40 , θ = 80   d e g ) and an extreme crossflow case ( μ = 2.00 , θ = 0   d e g ).
In the first case (Figure 11), the near-field velocity structures exhibit remarkable similarity between the RANS and URANS predictions. However, a spurious, non-physical discontinuity becomes apparent specifically at the interface boundary between the rotating and stationary domains. This artifact is an inherent limitation of the MRF formulation, which struggles to conserve flux accurately when the incident velocity vector possesses a significant component normal to the axis of rotation. Nevertheless, in this regime, the artifact remains localized and does not significantly contaminate the blade loading, which is consistent with the accurate global performance previously discussed.
In stark contrast, Figure 12 reveals a complete breakdown of the steady state approximation. The RANS velocity field is highly unphysical and bears no resemblance to the wake structure resolved by URANS. This failure is attributed to the dominance of the crossflow velocity component. Under these conditions, the “frozen rotor” assumption at the interface becomes ill-posed, resulting in a meaningless flow solution.
To provide a more quantitative assessment of the modeling discrepancies, Figure 13 illustrates the azimuthal distribution of static pressure at the mid-span of the rotating domain’s lateral interface. The analysis focuses on the most critical operating point ( μ = 2.00 ,   θ = 0   d e g ), comparing the steady RANS-MRF prediction against an instantaneous URANS snapshot, as this regime exhibits the highest divergence in the velocity field topology. It is observed that, while the time-accurate URANS solution maintains a relatively uniform and near-zero pressure profile across the azimuth, the MRF solver induces severe unphysical pressure gradients. These localized fluctuations are necessary artifacts for the steady-state formulation to satisfy the conservation laws under the “frozen-rotor” assumption in extreme crossflow, directly explaining the breakdown in velocity field fidelity observed in the wake simulations.

4.3. Analysis of the URANS Solution

In forward flight, the advancing blade inherently experiences a higher local dynamic pressure than the retreating blade. Unlike full-scale helicopter rotors equipped with swashplates for cyclic pitch control, small-scale UAV propellers typically feature fixed-pitch geometries and cannot mechanically compensate for this load imbalance. Consequently, this asymmetry induces significant periodic fluctuations in the global performance coefficients throughout the rotation cycle.
Figure 14 presents the time-resolved thrust coefficient at a moderate advance ratio ( μ = 0.40 ) for three distinct inclination angles. The kinematic asymmetry is clearly evidenced by the alternating peak loads observed in the time histories of Blade A (advancing) and Blade B (retreating). Notably, even under significant crossflow conditions (including the pure edgewise flight case at θ = 0   d e g ), the steady RANS approximation yields a highly accurate prediction of the mean thrust coefficient, although it inherently fails to resolve the transient azimuthal fluctuations. Furthermore, the results for θ = 0   d e g and θ = 15   d e g exhibit virtually identical behavior in both mean values and transient amplitudes. This consistency suggests that at this specific advance ratio, the aerodynamics remain dominated by the normal flow component, corroborating the convergence trends identified in the previous section.
The aerodynamic response changes drastically at high advance ratios. Figure 15 depicts the azimuthal evolution of the thrust coefficient at μ = 2.00 , a regime restricted to low inclination angles ( θ 20   d e g ) to ensure positive net thrust. In this regime, the steady RANS prediction fails, severely underpredicting the loads and converging to a value closer to the transient minimum rather than the actual cycle average. Critically, the time histories reveal that for a significant portion of the retreating cycle, the blade generates negative thrust. As the inclination angle increases, the magnitude of this negative contribution intensifies, and the waveform becomes highly anharmonic due to the dominance of the reverse flow region. The retreating blade encounters a negative flow entering from the trailing edge, creating a sharp aerodynamic discontinuity and non-linear load characteristics that the steady RANS is fundamentally incapable of resolving.
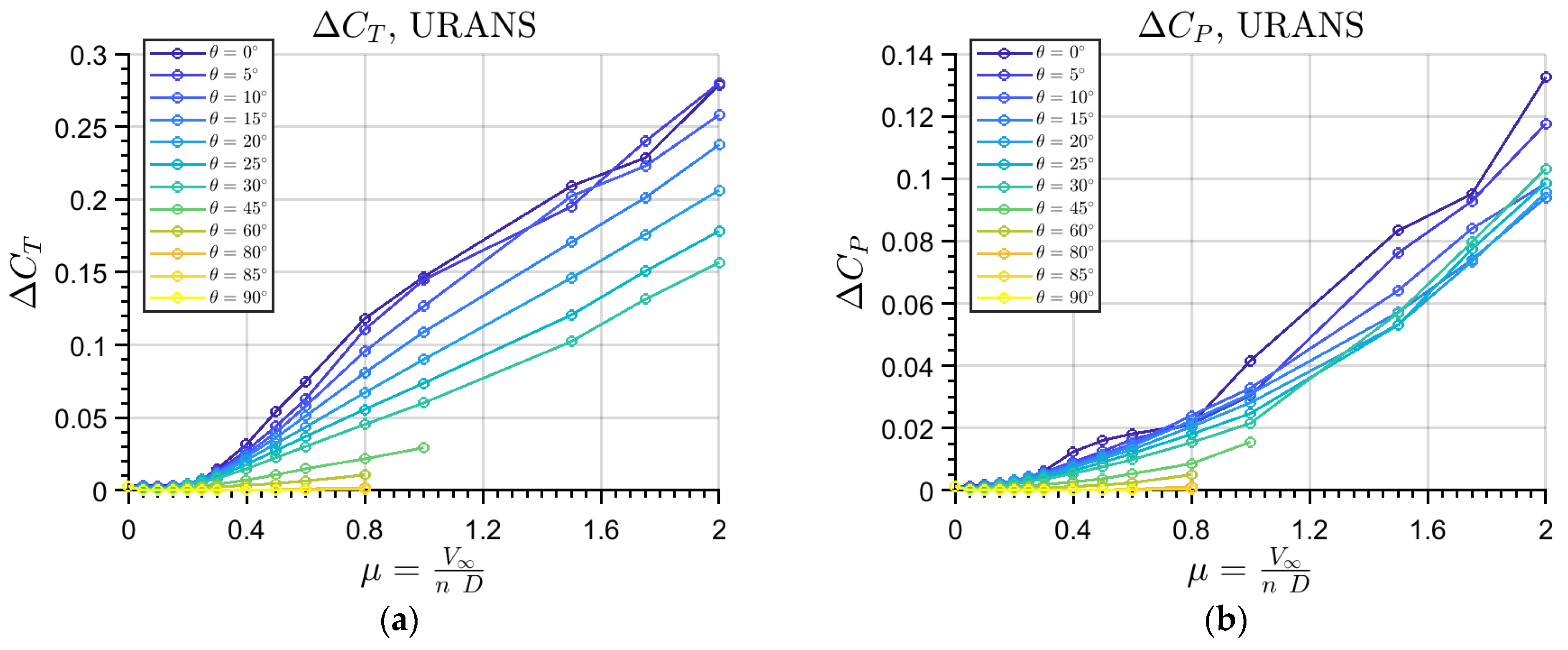
This unsteady behavior has critical implications for structural integrity. Figure 16 quantifies the peak-to-peak amplitude of the fluctuations for thrust ( Δ C T ) and power ( Δ C P ). For advance ratios up to μ 0.40 , the fluctuation amplitudes remain relatively contained regardless of the inflow angle, which aligns physically with the validity of the steady RANS-MRF approximation in this regime. However, at high advance ratios in edgewise flight, the magnitude of the thrust oscillation can exceed the mean thrust value itself. This implies that blades are subjected to extreme cyclic loading, which poses severe structural fatigue challenges and generates significant vibration. Figure 17 complements this analysis by isolating the load amplitudes for a single blade. As expected, the load fluctuations at the lade level are significantly larger than those of the whole rotor, as the summation of loads from multiple blades results in a phase-cancellation effect that attenuates global oscillation. Crucially, individual blades experience substantial load vibrations even in operating regimes where the local MRF approximation yields accurate mean results. Additionally, a distinct trend is observed regarding power consumption: the Δ C P curves for inflow angles below θ < 25   d e g exhibit strong convergence, practically collapsing onto a single trend line.
To further elucidate the azimuthal asymmetry of the aerodynamic loading, Figure 18 presents polar contour maps of the blade thrust distribution. These maps correspond to three representative operating regimes: low ( μ = 0.40 ), moderate ( μ = 0.60 ), and extreme ( μ = 2.00 ) advance ratios across a range of rotor inclination angles.
Superimposed on these contours, the instantaneous radial position of the blade’s center of pressure (CoP) is tracked in black throughout the rotation cycle. It is important to address a methodological constraint regarding this metric: at specific azimuthal positions where the integrated sectional load approaches zero, the mathematical definition of the CoP becomes singular, yielding for radial positions of r < 0 or r > R . To maintain visual coherence, these values have been saturated to the blade boundaries (0, and 1, respectively) in the plots. Furthermore, regions characterized by negative thrust generation are explicitly delineated in red. This visualization effectively maps the expansion of the negative loading zones, driven by local variations in the effective angle of attack and reverse flow phenomena.
The results clearly quantify the aerodynamic asymmetry, which intensifies markedly as the advance ratio increases and the inclination angle decreases. A noteworthy finding is the stability of the CoP trajectory at low-to moderate advance ratios. Regardless of the rotor inclination, the CoP trace remains quasi-circular, indicating a stable load distribution. The onset of negative thrust is first observed at μ = 0.60 for the pure edgewise case.
However, at high advance ratios ( μ = 2.00 ), the flow of topology changes drastically. The negative thrust region expands to dominate a significant portion of the rotor disk. Concurrently, the CoP trajectory exhibits abrupt discontinuities driven by the aforementioned load singularities. The blade asymmetry becomes extreme, revealing a clear bifurcation in the CoP behavior: two distinct trends emerge depending on whether the instantaneous blade loading is positive or negative.
The discussion now addresses the implications of these aerodynamic asymmetries on vehicle stability, specifically regarding the onset of parasitic pitch and roll moments. Figure 19 presents the evolution of the rolling moment ( C M x ) and pitching moment ( C M y ) coefficients, plotted alongside the torque coefficient C Q to provide a comparative magnitude scale.
As could have been anticipated, for near axial flight conditions ( θ 90   d e g ) and low advance ratios, the off-axis moments are negligible. However, as forward flight velocity increases, a substantial negative rolling moment emerges, exhibiting almost linear dependence on the advance ratio. In a standard quadrotor configuration, this roll asymmetry is typically neutralized by the opposing moments of the counter-rotating pairs. However, for unconventional architecture or during motor failure scenarios, this uncompensated moment becomes a critical factor in stability.
Simultaneously, a significant pitching moment is observed. The positive values indicate a nose-down pitching tendency that, if left uncompensated, would destabilize the vehicle attitude. The sensitivity of C M y to the advance ratio is non-monotonic: it displays linear growth at low μ and transitions to a quasi-constant plateau at moderate speeds.
A critical finding is the order of magnitude of these loads: the off-axis moments are comparable to (and in some regimes exceed) the aerodynamic torque. This implies that for large-scale rigid rotors lacking cyclic pitch control, the hub and shaft must be sized to withstand bending moments that are physically as significant as the driving torque.

4.4. Acoustic Analysis

This section evaluates the acoustic predictions at the observer location described in the methodology. The analysis compares the results for a low advance ratio ( μ = 0.20 ) at two contrasting tilt angles: axial flow ( θ = 90   d e g ) and pure edgewise flight ( θ = 0   d e g ). Figure 20 presents the Sound Pressure Level (SPL) spectra. The results are expressed in dB and processed using 1/12th octave band smoothing. A dominant peak of approximately 58 dB is observed at the Blade Passing Frequency (BPF) across all the cases. This magnitude is consistent with established literature for this propeller [32]. At low advance ratios, MRF and URANS provide similar tonal predictions. However, neither approach accurately captures broadband noise since the turbulence is modeled rather than resolved. Future research will extend this methodology to the whole flight envelope using high-fidelity simulations. Slightly higher tonal levels are noted at θ = 0   d e g , which aligns with the increased pressure fluctuations expected in forward flight. While URANS predicts a marginal broadband component, it is nearly absent in the MRF results. As expected, both formulations significantly underestimate broadband noise. Notably, the MRF solution exhibits a tonal peak at the propeller rotational frequency ( B P F / 2 ). This is a direct consequence of the non-uniform interface pressure distribution discussed in previous sections.

5. Conclusions

This study presents a comprehensive numerical investigation into the aerodynamic performance of fixed-pitch UAV propellers under non-axial inflow conditions, systematically comparing steady-state RANS-MRF and time-accurate URANS solvers across a wide range of advance ratios and inclination angles. The computational framework was rigorously validated against experimental benchmarks for both axial and crossflow conditions, demonstrating excellent agreement with deviations of less than 5% in the validated regimes. Based on this solid foundation, the investigation delineated the specific validity limits of low-cost steady-state approximations while elucidating the unsteady physical mechanisms that dominate high-speed forward flight.
A primary finding of this work challenges the prevalent assumption that Moving Reference Frame (MRF) models are inherently unsuitable for non-axial flow. The results demonstrate that the applicability of the RANS-MRF is not binary but instead bounded by well-defined operational limits. Specifically, the steady-state approach remains highly effective for low-to-moderate advance ratios, where global error magnitudes for thrust and power coefficients are bound below 5% for advance ratios up to 0.30 and below 10% for ratios up to 0.40, regardless of the inflow angle. Detailed spanwise analysis reveals that this global accuracy is partly attributable to a phenomenon of error cancellation during integration. While the steady solver fails to resolve local azimuthal load variations, the integrated performance metrics remain robust, suggesting that the MRF approach is a valid and computationally efficient tool for preliminary design phases and hover-to-transition modeling within these specific limits.
However, the fidelity of the steady-state assumption breaks down markedly at limiting combinations of high advance ratios and low inclination angles, typically where the advance ratio exceeds 0.70 in edgewise flight conditions. In these regimes, the crossflow velocity component dominates the rotational velocity, rendering the “frozen rotor” interface ill-posed. This limitation manifests as spurious flow discontinuities at the domain interface and a complete failure to capture the coherent wake structure resolved by transient simulations. Consequently, the steady-state approach yields physically meaningless solutions in extreme forward flight and should be replaced with time-resolved methods.
Based on the systematic error mapping and unsteady load analysis performed in this study, a clear hybrid-fidelity modeling strategy can be proposed for practical engineering use. Steady-state RANS–MRF simulations are recommended for global performance estimation when the advance ratio satisfies μ < 0.40 for any inflow angle, and particularly for highly inclined inflow conditions ( θ > 60   d e g ), where MRF accuracy consistently remains within 5–10%. Conversely, transient URANS simulations are required in forward-flight-dominated regimes characterized by low inclination angles ( θ < 30   d e g ) and advance ratios exceeding μ > 0.40 , where modeling errors grow rapidly, and unsteady effects dominate the response.
The unsteady analysis further highlighted the critical role of kinematic asymmetry in forward flight, which fixed-pitch rotors cannot mechanically compensate for. While moderate speeds induce distinct harmonic loading patterns, the flow topology undergoes a drastic bifurcation at high advance ratios. In these regimes, the retreating blade encounters a massive region of reverse flow, leading to negative thrust generation and highly anharmonic load waveforms. Crucially for structural design, the peak-to-peak amplitude of the thrust oscillation in edgewise flight was found to exceed the mean thrust value itself. This extreme cyclic loading subjects the blade root to severe high-cycle fatigue conditions, identifying a critical failure mode that steady-state solvers entirely neglect.
Finally, the study quantified the emergence of parasitic off-axis moments that are negligible in hover but become dominant in forward flight. A substantial negative rolling moment was observed to develop linearly with the advance ratio, alongside a significant nose-down pitching moment. A critical finding is that these off-axis moments are each of a magnitude comparable to (and in some regimes exceed) the aerodynamic torque. This implies that for large-scale rigid quadrotors, the propulsion system sizing must account for substantial bending moments on the rotor shaft. Furthermore, in failure scenarios where counter-rotating cancellation is lost, the uncompensated moments impose severe authority requirements on the flight control system. Collectively, these findings suggest a hybrid fidelity strategy for UAV design: utilizing steady MRF for energetic analysis within the validated envelope, while mandating URANS for structural fatigue assessment and controlling allocation logic in high-speed forward flight.
It should be noted that the quantitative validity thresholds of the MRF approach identified in this work are intrinsically linked to the aerodynamic characteristics of the selected reference geometry. Variations in the number of blades, rotor solidity, airfoil selection, or twist distribution are expected to modify the precise numerical limits beyond which the steady-state assumptions break down, as these parameters directly influence the onset of flow separation and the degree of azimuthal asymmetry. Nevertheless, it is reasonable to expect that the underlying physical mechanisms governing the loss of MRF fidelity remain qualitatively consistent across different rotor designs.
The investigation also explored the aeroacoustics performance of the modeling strategies. Preliminary results show that steady RANS and transient URANS provide similar predictions for tonal noise components at low advance ratios. Although a complete acoustic characterization was beyond the scope of this study, future research will refine and optimize this methodology. This will enable a systematic evaluation of noise across the entire flight envelope, matching the comprehensive aerodynamic mapping established in the present work.
Overall, the results support a hybrid-fidelity modeling strategy for UAV rotor design: steady-state RANS–MRF simulations can be confidently employed for energetic performance estimation within the quantitatively defined validity envelope, while time-accurate URANS simulations are required for structural fatigue assessment, wake characterization, and control allocation analysis in high-speed forward flight.

Author Contributions

Conceptualization, P.Q., R.N. and S.P.; Methodology, P.Q. and S.P.; Software, L.A., P.Q. and R.N.; Validation, A.T.; Formal analysis, L.A., A.T. and S.P.; Investigation, L.A., P.Q., R.N. and S.P.; Resources, A.T.; Data curation, S.P.; Writing—original draft, L.A.; Writing—review & editing, P.Q. and A.T.; Supervision, L.A., P.Q. and S.P.; Project administration, R.N. All authors have read and agreed to the published version of the manuscript.

Funding

This research was funded by [Ministerio de Ciencia, Innovación y Universidades] grant number [MCIU/AEI/10.13039/501100011033] and [Universitat Politècnica de València] grant number [PID2022-142018OA-I00].

Data Availability Statement

The data presented in this study are available on request from the corresponding author.

Acknowledgments

This work was partly sponsored by the grant PID2022-142018OA-I00 “Experimental and Numerical Optimization to Lower UAV Acoustical Pollution (ENOLA)” funded by MCIU/AEI/10.13039/501100011033 and by ERDF, EU. The authors would also like to acknowledge the financial support provided by the Doctoral School of the Universitat Politècnica de València through the Mobility Grants for FPI-UPV and/or Cotutela Students, which enabled the research stay at ISAE-SUPAERO. In addition, we express our sincere gratitude to Casalino for sharing the geometry employed in this study, which was essential for the development of the work.

Conflicts of Interest

The authors have no conflict of interest.

Abbreviations

C P Power coefficient
C Q Torque coefficient
C T Thrust coefficient
c m a x Maximum chord
D Rotor diameter
h Cylindrical region height
n Angular velocity of the rotor
Q Torque moment
R Rotor radius
R c y l i n d e r Cylindrical region radius
R h u b Rotor hub
R D o m a i n Domain radius
T Thrust force
V Free stream velocity
x , y , z Axis of the coordinate system
β m a x Maximum twist
Δ C T Relative difference in thrust between RANS and URANS prediction
Δ C P Relative difference in power between RANS and URANS prediction
x d o m a i n D ,   x c y l i n d e r D ,   x w a l l s D Mesh refinements for the different regions of the case
y D Boundary layer thickness
η Propulsive efficiency
θ Free stream angle
μ Advance ratio
ρ Free stream density
ψ Azimuthal angle
Ω Rotational speed

References

  1. Daponte, L.; Glielmo, L.; Iannelli, L.; Liuzza, D.; Picariello, F.; Silano, G. A review on the use of drones for precision agriculture. IOP Conf. Ser. Earth Environ. Sci. 2019, 275, 012022. [Google Scholar] [CrossRef]
  2. Daud, S.M.S.M.; Yusof, M.Y.P.M.; Heo, C.C.; Khoo, L.S.; Singh, M.K.C.; Mahmood, M.S.; Nawawi, H. Applications of drone in disaster management: A scoping review. Sci. Justice 2022, 62, 30–42. [Google Scholar] [CrossRef]
  3. Van Tilburg, C. First Report of Using Portable Unmanned Aircraft Systems (Drones) for Search and Rescue. Wilderness Environ. Med. 2017, 28, 116–118. [Google Scholar] [CrossRef] [PubMed]
  4. Barnas, A.F.; Darby, B.J.; Vandeberg, G.S.; Rockwell, R.F.; Ellis-Felege, S.N. A comparison of drone imagery and ground-based methods for estimating the extent of habitat destruction by lesser snow geese (Anser caerulescens caerulescens) in La Pérouse Bay. PLoS ONE 2019, 14, e0217049. [Google Scholar] [CrossRef] [PubMed]
  5. Colefax, A.P.; Butcher, P.A.; Pagendam, D.E.; Kelaher, B.P. Reliability of marine faunal detections in drone-based monitoring. Ocean Coast. Manag. 2019, 174, 108–115. [Google Scholar] [CrossRef]
  6. Rai, S.; Rawat, A.; Kumar, A. Design and performance analysis of high-altitude UAVs: Trends, challenges, and innovations. Discov. Appl. Sci. 2025, 7, 833. [Google Scholar] [CrossRef]
  7. Serrano, D.; Ren, M.; Qureshi, A.J.; Ghaemi, S. Effect of disk angle-of-attack on aerodynamic performance of small propellers. Aerosp. Sci. Technol. 2019, 92, 901–914. [Google Scholar] [CrossRef]
  8. Lissaman, P.B.S. Low-Reynolds-number airfoils. Ann. Rev. Fluid Mech 1983, 15, 223–262. [Google Scholar] [CrossRef]
  9. Huang, G.; Sharma, A.; Chen, X.; Riaz, A.; Jefferson-Loveday, R. Numerical Predictions of Low-Reynolds-Number Propeller Aeroacoustics: Comparison of Methods at Different Fidelity Levels. Aerospace 2025, 12, 154. [Google Scholar] [CrossRef]
  10. García-Gutiérrez, A.; Gonzalo, J.; Domínguez, D.; López, D.; Escapa, A. Aerodynamic optimization of propellers for High Altitude Pseudo-Satellites. Aerosp. Sci. Technol. 2020, 96, 105562. [Google Scholar] [CrossRef]
  11. Nugroho, G.; Hutagaol, Y.D.; Zuliardiansyah, G. Aerodynamic Performance Analysis of VTOL Arm Configurations of a VTOL Plane UAV Using a Computational Fluid Dynamics Simulation. Drones 2022, 6, 392. [Google Scholar] [CrossRef]
  12. Henricks, Q.; Wang, Z.; Zhuang, M. Small-Scale Rotor Design Variables and Their Effects on Aerodynamic and Aeroacoustic Performance of a Hovering Rotor. J. Fluids Eng. 2020, 142, 081209. [Google Scholar] [CrossRef]
  13. Jeon, S.W.; Lee, S.W. Effect of Axial Offset, Index Angle, and RPM Differential on the Aerodynamics of Co-Axial Co-Rotating Propellers. Aerospace 2025, 12, 940. [Google Scholar] [CrossRef]
  14. Zhu, H.; Du, Y.; Nie, H.; Xin, Z.; Geng, X. Experimental Investigation of Aerodynamic Interaction in Non-Parallel Tandem Dual-Rotor Systems for Tiltrotor UAV. Drones 2025, 9, 374. [Google Scholar] [CrossRef]
  15. Chae, S.; Lee, S.; Kim, J. Effects of rotor–rotor interaction on the wake characteristics of twin rotors in axial descent. J. Fluid Mech. 2022, 952, A31. [Google Scholar] [CrossRef]
  16. Kolaei, A.; Barcelos, D.; Bramesfeld, G. Experimental Analysis of a Small-Scale Rotor at Various Inflow Angles. Int. J. Aerosp. Eng. 2018, 2018, 2560370. [Google Scholar] [CrossRef]
  17. Steijl, R.; Barakos, G.N. Computational Study of Helicopter Rotor-Fuselage Aerodynamic Interactions. AIAA J. 2012, 47, 2143–2157. [Google Scholar] [CrossRef]
  18. Caprace, D.G.; Ning, A.; Chatelain, P.; Winckelmans, G. Effects of rotor-airframe interaction on the aeromechanics and wake of a quadcopter in forward flight. Aerosp. Sci. Technol. 2022, 130, 107899. [Google Scholar] [CrossRef]
  19. Gill, R.; D’andrea, R. Computationally Efficient Force and Moment Models for Propellers in UAV Forward Flight Applications. Drones 2019, 3, 77. [Google Scholar] [CrossRef]
  20. Rubin, R.L.; Zhao, D. New development of classical actuator disk model for propellers at incidence. AIAA J. 2021, 59, 1040–1054. [Google Scholar] [CrossRef]
  21. Park, S. Blade Element Momentum Method for Propeller Under Nonaxial Flow. Int. J. Aeronaut. Space Sci. 2023, 24, 334–340. [Google Scholar] [CrossRef]
  22. Tai, M.; Lee, W.; Kim, D.; Park, D. Improvements in Robustness and Versatility of Blade Element Momentum Theory for UAM/AAM Applications. Aerospace 2025, 12, 728. [Google Scholar] [CrossRef]
  23. Alvarez, E.J.; Ning, A. Modeling multirotor aerodynamic interactions through the vortex particle method. In Proceedings of the AIAA Aviation 2019 Forum, Dallas, TX, USA, 17–21 June 2019. [Google Scholar] [CrossRef]
  24. Alvarez, E.J.; Ning, A. High-fidelity modeling of multirotor aerodynamic interactions for aircraft design. AIAA J. 2020, 58, 4385–4400. [Google Scholar] [CrossRef]
  25. Ye, Y.; Liang, Y.; Shan, X.; Huang, K. Design approach for tilt propellers of UAM/eVTOLs for cruise and hover considering aerodynamic and aeroacoustic characteristics via a multi-fidelity model. Aerosp. Sci. Technol. 2025, 156, 109739. [Google Scholar] [CrossRef]
  26. Zhang, C.; Xu, G.; Shi, Y. Investigation of a Virtual Blade Method for Aerodynamic and Acoustic Prediction of Helicopter Rotors. Int. J. Aeronaut. Space Sci. 2023, 24, 381–394. [Google Scholar] [CrossRef]
  27. Yunus, F.; Casalino, D.; Romani, G.; Snellen, M. Efficient prediction of propeller noise in non-axial uniform inflow conditions. Aerosp. Sci. Technol. 2025, 157, 109860. [Google Scholar] [CrossRef]
  28. Yoon, S.; Lee, H.C.; Pulliam, T.H. Computational analysis of multi-rotor flows. In Proceedings of the 54th AIAA Aerospace Sciences Meeting, San Diego, CA, USA, 4–8 January 2016. [Google Scholar] [CrossRef]
  29. Lakhdhar, L.; Bouabidi, A.; Snoussi, A. Impact of blade number on the aerodynamic performance of UAV propellers: A numerical and experimental study. Aerosp. Sci. Technol. 2025, 166, 110594. [Google Scholar] [CrossRef]
  30. Oo, N.L.; Zhao, D.; Sellier, M.; Liu, X. Experimental investigation on turbulence effects on unsteady aerodynamics performances of two horizontally placed small-size UAV rotors. Aerosp. Sci. Technol. 2023, 141, 108535. [Google Scholar] [CrossRef]
  31. de Vries, R.; van Arnhem, N.; Sinnige, T.; Vos, R.; Veldhuis, L.L.M. Aerodynamic interaction between propellers of a distributed-propulsion system in forward flight. Aerosp. Sci. Technol. 2021, 118, 107009. [Google Scholar] [CrossRef]
  32. Romani, G.; Grande, E.; Avallone, F.; Ragni, D.; Casalino, D. Computational study of flow incidence effects on the aeroacoustics of low blade-tip Mach number propellers. Aerosp. Sci. Technol. 2022, 120, 107275. [Google Scholar] [CrossRef]
  33. Walvekar, O.; Chakravarthy, S. An Unsteady Reynolds–Averaged Navier–Stokes–Large Eddy Simulation Study of Propeller–Airframe Interaction in Distributed Electric Propulsion. Aerospace 2024, 11, 17. [Google Scholar] [CrossRef]
  34. Lv, P.; Prothin, S.; Mohd-Zawawi, F.; Benard, E.; Morlier, J.; Moschetta, J.M. Performance improvement of small-scale rotors by passive blade twist control. J. Fluids Struct. 2015, 55, 25–41. [Google Scholar] [CrossRef]
  35. Leng, Y.; Yoo, H.; Jardin, T.; Bronz, M.; Moschetta, J.M. Aerodynamic modelling of propeller forces and moments at high angle of incidence. In Proceedings of the AIAA Scitech 2019 Forum, San Diego, CA, USA, 7–11 January 2019. [Google Scholar] [CrossRef]
  36. Casalino, D.; Grande, E.; Romani, G.; Ragni, D.; Avallone, F. Definition of a benchmark for low Reynolds number propeller aeroacoustics. Aerosp. Sci. Technol. 2021, 113, 106707. [Google Scholar] [CrossRef]
  37. Romani, G.; Grande, E.; Avallone, F.; Ragni, D.; Casalino, D. Performance and Noise Prediction of Low-Reynolds Number Propellers using the Lattice-Boltzmann Method. Aerosp. Sci. Technol. 2022, 125, 107086. [Google Scholar] [CrossRef]
  38. Jiménez, J.H.; Hoyos, J.D.; Echavarría, C.; Alvarado, J.P. Exhaustive Analysis on Aircraft Propeller Performance through a BEMT Tool. J. Aeronaut. Astronaut. Aviat. 2022, 54, 13–24. [Google Scholar] [CrossRef]
  39. Torregrosa, A.J.; Gil, A.; Quintero, P.; Tiseira, A. Enhanced design methodology of a low power stall regulated wind turbine. BEMT and MRF-RANS combination and comparison with existing designs. J. Wind. Eng. Ind. Aerodyn. 2019, 190, 230–244. [Google Scholar] [CrossRef]
  40. Franzke, R.; Sebben, S.; Bark, T.; Willeson, E.; Broniewicz, A. Evaluation of the multiple reference frame approach for the modelling of an axial cooling fan. Energies 2019, 12, 2934. [Google Scholar] [CrossRef]
  41. Pope, S.B. Turbulent flows. Meas. Sci. Technol. 2001, 12, 2020–2021. [Google Scholar] [CrossRef]
  42. Menter, F. Improved two-equation k-omega turbulence models for aerodynamic flows. NASA Technical Memorandum 103975; 1992. Available online: https://ntrs.nasa.gov/api/citations/19930013620/downloads/19930013620.pdf (accessed on 18 January 2026).
  43. Wilcox, D.C. Simulation of transition with a two-equation turbulence model. AIAA J. 1994, 32, 247–255. [Google Scholar] [CrossRef]
  44. Broatch, A.; Navarro, R.; García-Tíscar, J.; Ramírez, F.N. Evaluation of different FW-H surfaces and modal decomposition techniques for the acoustic analysis of UAV propellers through detached eddy simulations. Aerosp. Sci. Technol. 2024, 146, 108956. [Google Scholar] [CrossRef]
  45. Hua, J.; Afari, S.O.; Golubev, V.; Mankbadi, R.R. Wake Interaction with a Propeller of an Urban Air Mobility. AIAA J. 2025, 63, 4740–4754. [Google Scholar] [CrossRef]
  46. Mohan, M.M.; Jayakumar, R.; Mouvanal, S. A Comparative Study of Computational Aeroacoustics Modelling of an Axial Fan Using CAA and FW-H Models in the URANS and DES Framework. In ASME Turbo Expo 2025: Turbomachinery Technical Conference and Exposition; ASME: New York, NY, USA, 2025; Volume 11. [Google Scholar] [CrossRef]
Figure 1. Airfoil chord (blue line) and twist distribution (red line) of the propeller normalized with respect to the rotor radius.
Figure 1. Airfoil chord (blue line) and twist distribution (red line) of the propeller normalized with respect to the rotor radius.
Aerospace 13 00198 g001
Figure 2. Geometry of the computational domain, showing the Far-field boundary condition applied on the outer spherical surface, the cylindrical interface surrounding the propeller that mediates the interaction between the stationary and rotating regions, and the propeller surface where Wall boundary conditions are applied.
Figure 2. Geometry of the computational domain, showing the Far-field boundary condition applied on the outer spherical surface, the cylindrical interface surrounding the propeller that mediates the interaction between the stationary and rotating regions, and the propeller surface where Wall boundary conditions are applied.
Aerospace 13 00198 g002
Figure 3. Rotor coordinate system showing azimuthal, ψ , and inflow angle θ .
Figure 3. Rotor coordinate system showing azimuthal, ψ , and inflow angle θ .
Aerospace 13 00198 g003
Figure 4. Mesh discretization for the different regions of the domain (blue frames) and detail of the boundary layer in the vicinity of the rotor blade surface, in blue and the background in gray (red frame).
Figure 4. Mesh discretization for the different regions of the domain (blue frames) and detail of the boundary layer in the vicinity of the rotor blade surface, in blue and the background in gray (red frame).
Aerospace 13 00198 g004
Figure 5. Grid independence study conducted for inflow angles of θ = 0   d e g and θ = 90   d e g . The coarse mesh consists of 5.47 million elements, the medium mesh contains approximately 11 million elements, and the fine mesh comprises approximately 22 million elements.
Figure 5. Grid independence study conducted for inflow angles of θ = 0   d e g and θ = 90   d e g . The coarse mesh consists of 5.47 million elements, the medium mesh contains approximately 11 million elements, and the fine mesh comprises approximately 22 million elements.
Aerospace 13 00198 g005
Figure 6. Wall y+ distribution (left) and CFL distribution (right) for the URANS simulation for θ = 10   d e g and μ = 0.80 .
Figure 6. Wall y+ distribution (left) and CFL distribution (right) for the URANS simulation for θ = 10   d e g and μ = 0.80 .
Aerospace 13 00198 g006
Figure 7. Validation of the numerical framework against experimental data [36] for axial flight conditions θ = 90   d e g . Comparison of thrust coefficient ( C T ), torque coefficient ( C Q ) and propulsive efficiency ( η ) as a function of the advance ratio ( μ ).
Figure 7. Validation of the numerical framework against experimental data [36] for axial flight conditions θ = 90   d e g . Comparison of thrust coefficient ( C T ), torque coefficient ( C Q ) and propulsive efficiency ( η ) as a function of the advance ratio ( μ ).
Aerospace 13 00198 g007
Figure 8. Global performance comparison between steady-state and transient solvers. Evolution of the power coefficient ( C P , (a,b)) and thrust coefficient ( C T , (c,d)) as a function of the advance ratio ( μ ) for various inclination angles ( θ ). (a,c) RANS-MRF predictions; (b,d) time-averaged URANS results.
Figure 8. Global performance comparison between steady-state and transient solvers. Evolution of the power coefficient ( C P , (a,b)) and thrust coefficient ( C T , (c,d)) as a function of the advance ratio ( μ ) for various inclination angles ( θ ). (a,c) RANS-MRF predictions; (b,d) time-averaged URANS results.
Aerospace 13 00198 g008
Figure 9. Validity map of the steady-state approximation. Contour plots showing the relative difference between RANS and time-averaged URANS prediction for thrust (left) and power (right). Iso-contour lines delineate error thresholds of 5%, 10%, 15% and 20%.
Figure 9. Validity map of the steady-state approximation. Contour plots showing the relative difference between RANS and time-averaged URANS prediction for thrust (left) and power (right). Iso-contour lines delineate error thresholds of 5%, 10%, 15% and 20%.
Aerospace 13 00198 g009
Figure 10. Spanwise distribution of the sectional thrust coefficient ( R d C T / d r ) on a single blade. Comparison between steady RANS (dashed), time-averaged URANS (solid black) and instantaneous URANS loading at cardinal azimuthal positions ( ψ = 0   d e g ,   90   d e g ,   180   d e g ,   270   d e g ). (ai) Rows correspond to advance ratios of μ = 0.40 , μ = 0.60 and μ = 2.00 (top to bottom).
Figure 10. Spanwise distribution of the sectional thrust coefficient ( R d C T / d r ) on a single blade. Comparison between steady RANS (dashed), time-averaged URANS (solid black) and instantaneous URANS loading at cardinal azimuthal positions ( ψ = 0   d e g ,   90   d e g ,   180   d e g ,   270   d e g ). (ai) Rows correspond to advance ratios of μ = 0.40 , μ = 0.60 and μ = 2.00 (top to bottom).
Aerospace 13 00198 g010
Figure 11. Visualization of the local flow topology for a moderate operating condition ( μ = 0.40 ,   θ = 80   d e g ). Velocity magnitude contours extracted on a plane 0.10 D downstream of the rotor. (a): steady RANS solution showing the interface artifact; (b): URANS solution.
Figure 11. Visualization of the local flow topology for a moderate operating condition ( μ = 0.40 ,   θ = 80   d e g ). Velocity magnitude contours extracted on a plane 0.10 D downstream of the rotor. (a): steady RANS solution showing the interface artifact; (b): URANS solution.
Aerospace 13 00198 g011
Figure 12. Breakdown of the steady-state assumption under extreme crossflow conditions ( μ = 2.00 ,   θ = 0   d e g ). Comparison of velocity magnitude contours on a plane 0.10 D downstream of the rotor. (a): steady RANS solution; (b): URANS solution.
Figure 12. Breakdown of the steady-state assumption under extreme crossflow conditions ( μ = 2.00 ,   θ = 0   d e g ). Comparison of velocity magnitude contours on a plane 0.10 D downstream of the rotor. (a): steady RANS solution; (b): URANS solution.
Aerospace 13 00198 g012aAerospace 13 00198 g012b
Figure 13. Azimuthal distribution of static pressure at the mid-span of the domain interface for an extreme edgewise flight condition ( μ = 2.00 ,   θ = 0   d e g ). Comparison between steady RANS-MRF and an instantaneous URANS snapshot.
Figure 13. Azimuthal distribution of static pressure at the mid-span of the domain interface for an extreme edgewise flight condition ( μ = 2.00 ,   θ = 0   d e g ). Comparison between steady RANS-MRF and an instantaneous URANS snapshot.
Aerospace 13 00198 g013
Figure 14. Time-resolved aerodynamic response at moderate speed. Azimuthal evolution of the instantaneous thrust coefficient for μ = 0.40 at inclination angles of θ = 0   deg (left), θ = 15   deg (middle) and θ = 45   deg (right). The plot distinguishes between Blade A, Blade B, and the global total (RANS and URANS).
Figure 14. Time-resolved aerodynamic response at moderate speed. Azimuthal evolution of the instantaneous thrust coefficient for μ = 0.40 at inclination angles of θ = 0   deg (left), θ = 15   deg (middle) and θ = 45   deg (right). The plot distinguishes between Blade A, Blade B, and the global total (RANS and URANS).
Aerospace 13 00198 g014
Figure 15. Unsteady load characteristics in the high-speed regime. Temporal evolution of the thrust coefficient for μ = 2.00 at low inclination angles ( θ = 0   d e g ,   15   d e g ,   20   d e g ). Note the significant anharmonicity and negative thrust generation on the retreating side relative to the steady RANS prediction (dashed line).
Figure 15. Unsteady load characteristics in the high-speed regime. Temporal evolution of the thrust coefficient for μ = 2.00 at low inclination angles ( θ = 0   d e g ,   15   d e g ,   20   d e g ). Note the significant anharmonicity and negative thrust generation on the retreating side relative to the steady RANS prediction (dashed line).
Aerospace 13 00198 g015
Figure 16. Quantification of global load fluctuations. Peak-to-peak amplitude of the total rotor thrust ( Δ C T , (a)) and power ( Δ C P , (b)) coefficients as a function of advance ratio and inclination angle, derived from the URANS solution.
Figure 16. Quantification of global load fluctuations. Peak-to-peak amplitude of the total rotor thrust ( Δ C T , (a)) and power ( Δ C P , (b)) coefficients as a function of advance ratio and inclination angle, derived from the URANS solution.
Aerospace 13 00198 g016
Figure 17. Single-blade structural loading. Peak-to-peak amplitude of the thrust and power oscillation experienced by an individual blade throughout a revolution. The comparison highlights the severity of (a) local cycling loading compared to (b) global averages.
Figure 17. Single-blade structural loading. Peak-to-peak amplitude of the thrust and power oscillation experienced by an individual blade throughout a revolution. The comparison highlights the severity of (a) local cycling loading compared to (b) global averages.
Aerospace 13 00198 g017
Figure 18. Polar maps of aerodynamic asymmetry. Azimuthal distribution of blade sectional thrust ( R d C T / d r ) for representative operating regimes. The black line traces the instantaneous radial position of the Center of Pressure (CoP), while red boundaries delineate regions of negative thrust generation.
Figure 18. Polar maps of aerodynamic asymmetry. Azimuthal distribution of blade sectional thrust ( R d C T / d r ) for representative operating regimes. The black line traces the instantaneous radial position of the Center of Pressure (CoP), while red boundaries delineate regions of negative thrust generation.
Aerospace 13 00198 g018
Figure 19. Evolution of the rolling moment ( C M x , (left)) and pitching moment ( C M y , (center)) coefficients as a function of advance ratio, plotted alongside the aerodynamic torque coefficient ( C Q , (right)) for magnitude comparison.
Figure 19. Evolution of the rolling moment ( C M x , (left)) and pitching moment ( C M y , (center)) coefficients as a function of advance ratio, plotted alongside the aerodynamic torque coefficient ( C Q , (right)) for magnitude comparison.
Aerospace 13 00198 g019
Figure 20. Comparison of predicted Sound Pressure Level (SPL) spectra between RANS-MRF and URANS for μ = 0.20 at Ω = 5000   r p m . (a) Axial inflow ( θ = 90   d e g ) and (b) edgewise flight ( θ = 0   d e g ) predictions are evaluated at a microphone located at a distance 4 D at a fixed azimuthal angle ψ = 180   d e g .
Figure 20. Comparison of predicted Sound Pressure Level (SPL) spectra between RANS-MRF and URANS for μ = 0.20 at Ω = 5000   r p m . (a) Axial inflow ( θ = 90   d e g ) and (b) edgewise flight ( θ = 0   d e g ) predictions are evaluated at a microphone located at a distance 4 D at a fixed azimuthal angle ψ = 180   d e g .
Aerospace 13 00198 g020
Table 1. Rotor blade parameters.
Table 1. Rotor blade parameters.
ParameterValue
D Rotor diameter 0.3   m
R h u b Rotor hub 0.0125   m
c m a x Maximum chord 0.034   m
β m a x Maximum twist 43.6   d e g
Table 2. Comparison between current RANS and URANS predictions against experimental measurements of Romani et al. [32] for θ = 75   d e g and μ = 0.40 .
Table 2. Comparison between current RANS and URANS predictions against experimental measurements of Romani et al. [32] for θ = 75   d e g and μ = 0.40 .
CoefficientRANSURANSExp.
C T 8.44 × 10 2 8.48 × 10 2 8.19 × 10 2
C Q 8.26 × 10 3 8.29 × 10 3 8.40 × 10 3
Disclaimer/Publisher’s Note: The statements, opinions and data contained in all publications are solely those of the individual author(s) and contributor(s) and not of MDPI and/or the editor(s). MDPI and/or the editor(s) disclaim responsibility for any injury to people or property resulting from any ideas, methods, instructions or products referred to in the content.

Share and Cite

MDPI and ACS Style

Aular, L.; Quintero, P.; Navarro, R.; Tiseira, A.; Prothin, S. Assessing the Fidelity of Steady-State MRF Modeling for UAV Propeller Performance in Non-Axial Inflow. Aerospace 2026, 13, 198. https://doi.org/10.3390/aerospace13020198

AMA Style

Aular L, Quintero P, Navarro R, Tiseira A, Prothin S. Assessing the Fidelity of Steady-State MRF Modeling for UAV Propeller Performance in Non-Axial Inflow. Aerospace. 2026; 13(2):198. https://doi.org/10.3390/aerospace13020198

Chicago/Turabian Style

Aular, Lorena, Pedro Quintero, Roberto Navarro, Andrés Tiseira, and Sébastien Prothin. 2026. "Assessing the Fidelity of Steady-State MRF Modeling for UAV Propeller Performance in Non-Axial Inflow" Aerospace 13, no. 2: 198. https://doi.org/10.3390/aerospace13020198

APA Style

Aular, L., Quintero, P., Navarro, R., Tiseira, A., & Prothin, S. (2026). Assessing the Fidelity of Steady-State MRF Modeling for UAV Propeller Performance in Non-Axial Inflow. Aerospace, 13(2), 198. https://doi.org/10.3390/aerospace13020198

Note that from the first issue of 2016, this journal uses article numbers instead of page numbers. See further details here.

Article Metrics

Back to TopTop