Next Article in Journal
Development of a Simulator System Enabling Flight Data Recording and Post-Flight Analysis for Trainee Pilots: A Proof of Concept
Previous Article in Journal
Biaxial Constitutive Relation and Strength Criterion of Envelope Materials for Stratospheric Airships
 
 
Font Type:
Arial Georgia Verdana
Font Size:
Aa Aa Aa
Line Spacing:
Column Width:
Background:
Article

Prediction and Suppression of Liquid Propellant Sloshing-Induced Oscillation in RLV Terminal Flight

1
School of Transportation Science and Engineering, Beihang University, Beijing 100191, China
2
Aerospace Business Department, China Academy of Launch Vehicle Technology, Beijing 100076, China
*
Author to whom correspondence should be addressed.
Aerospace 2026, 13(2), 148; https://doi.org/10.3390/aerospace13020148
Submission received: 18 December 2025 / Revised: 28 January 2026 / Accepted: 2 February 2026 / Published: 3 February 2026
(This article belongs to the Section Aeronautics)

Abstract

During the reentry terminal flight of lifting-body Reusable Launch Vehicles (RLVs) propelled by liquid fuel, the sloshing of liquid propellent presents new features that, if neglected, could lead to adverse flight oscillations or even worse. This paper focuses on liquid sloshing coupled flight dynamics, sloshing effect prediction, and the suppression of adverse flight oscillations. First, a transfer function model for unsteady aerodynamics is improved and applied to describe the sloshing force effect, being included in the rigid–liquid control coupled flight dynamics model. The frequency domain analysis results show that liquid sloshing tends to degrade the closed-loop stability margin of the vehicle and even induce less damped oscillations, which can be predicted through the frequency characteristics with the sloshing force effect included. Furthermore, three suppression control measures to mitigate adverse oscillation are addressed, which include enhancing the trajectory-tracking loop damping, separating the frequencies of the rigid body motion and the liquid sloshing, and especially introducing a compensation loop to counteract the sloshing effect. Simulations demonstrate that all the provided approaches help mitigate the sloshing effect, while the compensation control with sloshing frequency characteristics included works best.

1. Introduction

In recent years, a new generation of Reusable Launch Vehicles (RLVs) and Aerospace Planes has developed rapidly, among which liquid fuel-propelled lifting-body RLVs with a high lift-to-drag ratio and horizontal landing capability are supposed to have potential performance benefits and hence have attracted close attention [1]. Compared with solid fuel, liquid propellant provides a higher specific impulse and easily adjustable thrust for vehicles, and has been widely applied in recent RLV research. However, the sloshing of liquid propellants may lead to adverse impacts, such as inducing coupled oscillation or even structural damage [2,3]. At the reentry terminal area, as the vehicle decelerates from supersonic to low-subsonic flight, it encounters highly complex aerodynamics. If the remaining liquid propellant is not insignificant, its sloshing exerts extra force effects on the vehicle, reducing the safety margin of RLV reentry flights and causing unexpected motion, such as undamped or even divergent oscillations.
There has been considerable research on liquid propellant sloshing in spacecrafts. For sloshing modeling, Abramson [4] provided equivalent mechanical models of a pendulum or spring-mass for small-amplitude liquid sloshing in special shaped tanks, such as a rectangle or cylinder. Later on, numerical methods for equivalent mechanical model calculations were developed for a wider range of fuel tanks [5]. More recently, new models to describe liquid sloshing in the form of transfer functions or state space were developed. For instance, the sloshing force and moment of a spacecraft rotating in low-gravity conditions were represented by transfer functions [6]. Saltari et al. [7] developed a reduced-order state space model for arbitrarily shaped three-dimensional flexible tanks with sloshing liquid, based on the Linear Frequency Domain (LFD) method. When liquid sloshing exhibits strong nonlinear effects, such as large-amplitude sloshing, the linear description model is not applicable, and the large-amplitude sloshing problem has also been studied [8]. With the transfer function method, Julakha et al. [9] identified a nonlinear liquid sloshing system using experimental data with a Continuous-Time Hammerstein model for a remote-controlled vehicle. In addition, numerical and experimental studies are also thriving [10].
In terms of the tracking performance affected by liquid sloshing, Xia [11] used the concept of the total angle of attack to measure ballistic stability, indicating that the distance between the liquid centroid and the vehicle centroid, as well as the liquid mass, is closely related to the vehicle stability. Yue et al. [12] proposed a rigid–liquid coupling dynamic numerical model for spacecrafts and described the impact of sloshing by analyzing the time response of the displacement of the tank.
On the other hand, system analysis methods for exploring the influence of stability parameters, stability criterion, and equilibrium conditions have been utilized since the end of 20th century. For example, Yue and Yan [13] derived stable region of stability parameters for liquid-filled spacecraft using the energy-Casimir method. Meanwhile, system stability analysis has been used for liquid-filled spacecraft control design, such as the adaptive pole configuration control scheme [14,15] and an analytical control strategy proposed using the Lyapunov stability theory for rigid–fluid coupling based on the momentum wheel theory [16,17].
With the development of RLVs, research on propellant sloshing has been expanded into atmospheric flight. On early pioneer space shuttles, studies identified significant coupled moment and liquid centroid displacement when the liquid level is long and shallow, and NASA developed ad hoc computer programs to analyze these effects [18,19]. Later on, coupled modeling and stability analysis for typical launch vehicles in planar atmospheric flight were studied by Nichkawde et al. [20] and Shekhawat et al. [21], where sloshing was modeled using an equivalent pendulum and integrated into a multibody formulation. For the recent vertical takeoff and landing RLVs, numerical simulations and experimental studies were conducted on the nonlinear propellant sloshing effect [22,23,24,25,26]. Noorian et al. [24] developed a numerical model of elastic launch vehicles and found that the slosh–aeroelastic coupling occurs for low tank-filling ratios and might lead to system damping decreasing. Ga et al. [25] found that significant lateral interference might intensify the propellant sloshing, resulting in a more adverse coupling flight.
To suppress the adverse impact of liquid sloshing, passive suppression is usually introduced through a damping structure mounted on the tank to change the liquid sloshing characteristics [27], but this increases the structural load and the complexity of control design. On the other hand, active suppression improves the control system to suppress the liquid impact by actively applying a force effect.
For active suppression, feedback control was applied, including a sliding mode control based on the pendulum equivalent mechanics model [28] and gain scheduling hybrid control based on the hybrid shape controller [29]. However, feedback control-based liquid suppression methods may require additional measurement systems and actuators, which will increase system complexity and bring more unreliable factors to the vehicle system. In addition, feedforward control has been investigated, with typical applications such as input shaping [30,31].
On the basis of active suppression methods, rigid–liquid control coupling models for spacecraft have been developed in recent years, in which the stability analysis and control design can be expected to prevent the complex coupling effect between the rigid fuselage, propellant liquid, and control system from causing system instability and other nonlinear impacts [32,33]. Spacecraft with propellant sloshing can be regarded as unactuated systems for rigid–liquid control coupling modeling, for example, with nonlinear feedback control [34] and sliding mode control [35] designed for it. In addition, typical modeling techniques include the Moving Pulsating Ball Model (MPBM) for large-amplitude sloshing with analytical attitude control [36,37] and an analytical coupled dynamic model with a hybrid controller combining the sliding mode and input shaping [33]. Recently, more studies have been conducted with advanced control methods on rigid–liquid control coupling models [38,39,40,41].
The existing studies have proposed various description models and suppression concepts for liquid coupled sloshing. For a lifting-body RLV propelled by liquid fuel, adverse flight oscillations were observed in flight tests during reentry when the propellant remains, highlighting the coupling issue between propellant sloshing and flight dynamics under complex aerodynamic effects. For these issues, the small-amplitude sloshing in the initial phase of flight oscillations was taken as a flight stability problem, and the sloshing force and moment were represented by transfer functions in a previous work [42], which are easily included into the dynamics and control equations, facilitating frequency domain stability analysis and flight control design improvement. This paper is dedicated to identifying the root cause of rigid–liquid control coupling oscillations and providing active suppression solutions. The innovative contributions include:
(1)
Providing a rigid–liquid control coupled flight dynamics model based on a transfer function description of liquid sloshing.
(2)
Predicting the flight states facing adverse sloshing-induced oscillations through mechanical explanations and a quantitative analysis of the sloshing effect through transfer-function-based frequency domain analysis.
(3)
Ascertaining the benefits of three flight oscillation suppression concepts and using them for applications, including Damping Enhancement to improve stability, Frequency Separation to avoid excitation, and Frequency Shaping Compensation.
The remaining structure of this paper is organized as follows: Section 2 introduces the flight dynamic model with the liquid sloshing effect described using the transfer function model. Section 3 shows the sloshing effect in a terminal flight and conducts a frequency domain analysis of the mechanism of the sloshing effect for adverse flight oscillations prediction. Section 4 proposes and verifies three active control methods for sloshing effect suppression based on a flight case with a less damped trajectory control. Section 5 summarizes the work and draws conclusions.

2. Flight Dynamics Model with Sloshing Force Effect

2.1. Generic Model

The influence of the liquid sloshing motions includes two aspects: the force exerted on the tank and the inertial effect on the vehicle. To study the effect of the remaining liquid sloshing and predict flight oscillations during RLV reentry, the following assumptions are made:
When the sloshing effect is introduced into flight dynamics, it is divided into stationary liquid and sloshing incremental parts. On the one hand, the influence of the stationary part is incorporated into the rigid body in consideration of its effect on the vehicle’s inertia. On the other hand, the inertia effect of the sloshing incremental part of the remaining liquid is minimal and negligible, allowing the effect of the liquid sloshing incremental part to be equivalently expressed as an extra force and moment on the rigid vehicle.
The focus point of adverse flight oscillations is the initial occurrence and suppression, which can be regarded as a flight stability problem. When it comes to the general flight motion ranges of RLV reentry, during which the vehicle maintains level flight with a normal load factor close to 1 and a negligible axial load factor, the equivalent force effect of liquid sloshing can be treated as linear [42].
For the power-off gliding at the reentry terminal of lifting-body RLVs, it can be assumed that the earth is flat and the airframe structures of RLVs are rigid. The six-degree-of-freedom dynamic model can be expressed as follows [43]:
d x d t = f x , F , M
where the state x = u , v , w , p , q , r , ϕ , θ , ψ , x g , y g , z g T ; u , v , w are the axial, side, and normal velocity; p , q , r are the roll, pitch, and yaw rate; ϕ , θ , ψ are the roll, pitch, and yaw angle on the body coordinate; and x g , y g , z g are the positions of the ground coordinate.
The resultant force and moment on the vehicle in Equation (1), including the sloshing force effect, are given by
F = F a + m g + F s M = M a + M s
where F a = F a M a , H , α , β , p , q , r , δ e , δ a , δ r , , and M a = M a M a , H , α , β , p , q , r , δ e , δ a , δ r , . F a and M a are the aerodynamic force and moment, affected by complex aerodynamic parameters such as the Mach number M a , height H , angle of attack α , sideslip angle β , angular velocities p , q , r , and control surface deflections δ e , δ a , δ r ; m is the vehicle mass; g is the gravitational acceleration. The sloshing force and moment can be dissolved into F s = F s x , F s y , F s z T and M s = M s x , M s y , M s z T . For the current research on the prediction of the onset of sloshing-induced oscillation, the linear effect of small-amplitude sloshing is first important. Revising the aerodymic tranfer function as in [43], an improved transfer function method to represent the sloshing force effect is used as follows:
G F L s = F L s θ s G F T s = F T s ϕ s
where F L F s x , F s z , M s y are the longitudinal sloshing force effects, and F T F s y , M s x , M s z are the lateral-directional sloshing force effects. It is assumed that pitch motion is the main cause of longitudinal sloshing forces and roll motion is the main cause of lateral-directional sloshing forces. For small-amplitude linear sloshing, due to the orders-of-magnitude difference in sloshing force effects, the coupling effects between longitudinal and lateral-directional sloshing are considered negligible.
The above six-degree-of-freedom model is used in flight simulations, while the linearized model is used in control law design and stability analysis, as follows:
Δ x ˙ = A Δ x + B Δ u + C w
where Δ x is the disturbed state from a specific equilibrium flight; Δ u is the input; w is the system interference, namely the sloshing force effect; A is the state-space matrix; B is the input matrix; and C is the interference matrix. For the longitudinal system, x = [ V , α , q , θ ] T (V is airspeed); u = δ e ; w = w Δ x = [ F s x ,   F s z ,   M s y ] T . For the lateral-directional system, x = [ β , p , r , ϕ ] T ; u = [ δ a ,   δ r ] T ; w = w Δ x = [ F s y ,   M s x ,   M s z ] T .

2.2. Sloshing Modeling of the Example RLV

In this research, a liquid fuel-propelled lifting-body configuration RLV with runway landing capability is taken as an example. The reentry terminal flight includes unpowered gliding from Ma = 2.5~3 to the approach and landing interface (Ma = 0.5), during which the vehicle maintains level flight with a normal load factor close to 1 and a negligible axial load factor.
The vehicle carries two tanks for liquid oxygen and kerosene, distributed axially inside the vehicle body, with circular baffles mounted along each tank, as shown in Figure 1. The liquid oxygen tank is located forward of the centroid, and the kerosene tank is located backward of the centroid. The basic parameters of the example RLV and its two tanks are presented in Table 1. A typical flight scenario involves a remaining liquid propellant of 500 kg of liquid oxygen (about 10%) and 100 kg of kerosene (about 6%) before reentry.
Numerical models are set for the liquid oxygen and kerosene tanks, respectively, and liquid sloshing calculations are performed using STAR-CCM+ [44] to get the sloshing effect; it has been confirmed that it is capable of achieving the desired calculation accuracy with an acceptable computing resource consumption in comparison with the STAR-CCM+ example in the tutorial “VOF: Tank sloshing with adaptive meshing”, and transfer function models of the sloshing force effect were also fitted and evaluated [42]. Numerical calculation model settings and validation details are shown in Appendix A.
To obtain the frequency features of sloshing, harmonic pitching and rolling motions around the vehicle centroid, θ = A θ sin ω θ t and ϕ = A ϕ sin ω ϕ t are used as excitation, with the liquid oxygen and kerosene tank rotating accordingly. The frequency ranges of pitching and rolling are 1~3.5 rad/s and 1~6.5 rad/s, respectively, to cover the general flight motion ranges of RLV reentry, in view that sloshing forces decay rapidly at lower frequencies. To obtain a sufficient force effect excitation while keeping the linear effect as the main contribution, the amplitude ranges of the pitch angle and roll angle are set to be 5~20° and 10~30°, respectively. The force effect can be primarily described as
F s x = A F s x sin ω θ t + φ F s x F s z = A F s z sin ω θ t + φ F s z M s y = A M s y sin ω θ t + φ M s y
F s y = A F s y sin ω ϕ t + φ F s y M s x = A M s x sin ω ϕ t + φ M s x M s z = A M s z sin ω ϕ t + φ M s z
STAR-CCM+ provides the sloshing shape of the liquid tanks, as in Figure 2, with harmonic pitching and sloshing force history, as in Figure 3 (black solid lines), in which the sloshing force effects are under coordinate frames of F 1 o 1 x 1 y 1 z 1 and F 2 o 2 x 2 y 2 z 2 , respectively, for the liquid oxygen and kerosene tanks. It shows that the main parts of the sloshing forces are sinusoidal in spite of the existence of high-frequency components, nonlinear effects, and possible numerical errors.
The transfer function models of liquid sloshing for the liquid oxygen and kerosene tank are identified by Equation (3), as in Table 2 and Figure 4, and the time histories are also illustrated in Figure 3 (blue dash–dot lines) from the same steady initial state. Comparing the numerical and identified transfer function results, the transfer function models have a sufficient accuracy to capture the frequency and period characteristics of sloshing effects, and will be used for the further flight dynamics analysis with frequency band extraction. More detailed calculation results and transfer function model evaluations are shown in Appendix B and Appendix C.
When the sloshing force effect is introduced into flight dynamics, the stationary part is taken out because it has been included in the total mass of the vehicle, and only the dynamic sloshing force effect is included after the conversion to the body coordinate frame.

2.3. Frequency Characteristic of Sloshing Force Effect

Pitch motions are used for the sloshing characteristic analysis. Between the frequencies of 1 rad/s and 3.5 rad/s, which cover the significant rigid body motions of the vehicle, the pitch motions are prominently affected by the liquid sloshing force effect and the main pitch moment providers of F s z 1 , M s y 1 of the forward tank and M s y 2 , F s z 2 of the backward tank in Table 2, with fitted calculation points shown in Figure 4 (black solid line and black cross dots). The transfer functions of the sloshing normal forces in the reference frames of local tanks are shown to increase with the pitch frequency and remain at a constant phase, while keeping in phase of the forward tank and out of phase of the backward tank. The pitch moments are related to the normal forces and the position of the sloshing liquid centroid, and reach periodic stability through a complex coupling of vehicle pitching and liquid sloshing behavior at different frequencies.
Liquid sloshing introduces an extra pitch moment during pitch motion, which actually brings extra positive or negative pitch damping to the vehicle. For the position relationship between the two tanks and the vehicle centroid, M s y 1 , M s y 2 , and F s z 2 provide the main upward sloshing moment, and F s z 1 provides the main downward sloshing moment for the vehicle. According to the phase characteristics, the adverse damping effect is most severe when the phase of G F s z 1 s is between 180 and 270° and the phases of G F s z 2 s , G M s y 1 s and G M s y 2 s are between 0 and 90°. Therefore, adverse negative pitch damping is mainly caused by F s z 1 , F s z 2 and partially by M s y 2 . After coordinate transformation, the resultant pitch moment on the centroid is shown in Figure 5. Overall, liquid sloshing provides an adverse negative pitch damping effect within the frequency range of interest, with strong adverse effects near frequencies of 1.5 rad/s and above 2.5 rad/s, reducing flight stability and potentially leading to flight oscillations.
Additionally, numerical calculations at 3~4 frequency points (red circle dots in Figure 4) around the significant range are able to capture the main frequency characteristics of the sloshing force effect. Examples of a simplified low-order sloshing model (red dash–dot line in Figure 4) are established by fitting these points with a transfer function of second order or below, used in the Frequency Shaping Compensation in Section 4.2.

3. Sloshing Effect on Terminal Reentry Flight

To compare the effect of sloshing on different levels of stability augmentation, two control configurations are used: a less damped control and a well-damped control in the trajectory control loop. Based on the transfer function description of the sloshing force effect, frequency domain analysis can easily be executed to predict the oscillations, as in Section 3, and further establish the oscillation suppression control in Section 4.

3.1. Less Damped Control Case

3.1.1. Less Damped Trajectory Control Configuration

For the terminal flight control of lifting-body RLVs, the attitude control requirements can be cited from many industrial standards, and the stability margins of the attitude loop must be maintained. Here, SAE AS94900A [45] is referenced in view that the maximum Mach number is approximately 2 or less. The damping ratio should be above 0.4 for all the modes with frequencies higher than 1 rad/s, while other modes should remain steady, with a positive damping ratio or better. Moreover, the least gain and phase margins are 6 dB and 45° respectively. On the other hand, the requirements of the trajectory control loop tend to be based on time domain assessments, which could be less rigid compared with those of the attitude loop. This means that an RLV with a well-designed attitude control may encounter unfavorable flight with a less damped trajectory control during reentry due to non-design factors. This section provides such a case, with well-performed attitude control and less damped trajectory control in the low-subsonic stage, to analyze the unexpected effects.
According to the dynamic characteristics of the example RLV, a flight task is set up at the reentry terminal for power-off gliding from Ma = 2 to Ma = 0.5, maintaining the trajectory path angle γ at −19°. With commands of γ c = 19 ° and γ ˙ c = 0 , a first-order guidance law for providing pitch angle commands is designed as follows:
θ c = θ t K γ γ γ c K θ ˙ q cos ϕ r sin ϕ
where θ t is the flight trimming pitch angle at γ = 19 ° , and the guidance gains are set to K γ = 0.5 and K θ ˙ = 3 , maintaining consistency along the trajectory in this case.
The RLV flight envelope is restricted by the structural dynamic pressure q ¯ limit and the control capability limit, as shown in Figure 6. The trimming deflection of the speed brake is 40° at Ma = 0.85 or below.
The attitude control laws are designed using the PID technique at the trim points in Figure 6, shown as follows (the actuator is modeled as a first-order inertial element):
δ e . c = δ e . t + K θ + K I θ s ( θ c θ ) + K q q
δ a . c = K ϕ + K I ϕ s ( ϕ c ϕ ) + K p p
δ r . c = K β β + K r r + K a δ a . c
where δ e . c is the elevator command; δ e . t is the flight trimming elevator deflection; K θ , K I θ and K q are the control gains of the pitch channel. δ a . c is the aileron command; ϕ c is the roll angle command from the guidance loop; K ϕ , K I ϕ and K p are the control gains of the roll channel. δ r . c is the rudder command; K β , K r and K a are the control gains of the yaw channel.
The control laws are designed using the nominal model without a sloshing effect, and the parameters of the pitching attitude control in the low-subsonic stage are shown in Table 3, satisfying the stability requirements and having a good performance. However, as for trajectory control, the trajectory-tracking requirement under complex aerodynamics caused by speed brake deflection (activated at Ma = 0.85 or below) leads to closed-loop low damping, which transforms the high-frequency oscillation modes with sufficient damping in the attitude control loop into the less damped state in the trajectory control loop at about H = 5000 m/Ma = 0.60 or below, with the lowest damping ratio at about 0.014 (at H = 2000 m/Ma = 0.49, shown in Section 3.1.3), which simulates a less damped unexpected state in RLV reentry.
The six-degree-of-freedom simulation shows that the established control law can effectively track the task trajectory in nominal conditions. As in Figure 7, the RLV glides from Ma = 2 to the reentry terminal at Ma = 0.5.

3.1.2. Sloshing Effect

During the reentry terminal flight of the vehicle, when the attitude changes, such as during maneuvers or in response to external wind interference, the liquid propellant sloshing is easily excited. In this section, the attitude motions in actual flight are simulated by setting a pulse disturbance for the attitude rotational rate, causing attitude rotating and propellant sloshing. The flight stability in a less damped state is particularly focused on during vehicle descent, at about H = 5000 m/Ma = 0.60 or below.
On the other hand, for unmodeled factors, margin design is usually accounted for based on a nominal model, with an uncertainty analysis performed for control system assessment. As one of the unmodeled factors, liquid sloshing mainly brings extra moments to the vehicle, which do not vary with the aerodynamic environment. An additional constant pitch moment deviation is used to describe the sloshing longitudinal impact in the uncertainty analysis for control assessment.
A Monte Carlo uncertainty analysis is performed under attitude disturbance. The RLV glides down when disturbed with a 1°/s pitch rate pulse at a simulation time of 155~156 s (about H = 4200 m/Ma = 0.57), and the resultant moment with a constant pitch moment deviation Δ M y is
M ˜ = M a + 0 Δ M y 0
The constant pitch moment deviation is randomly sampled within ±800 Nm (greater than the maximum sloshing pitch moment in this case), which is subject to normal distribution: Δ M y ~ N 0 , σ 2 , 3 σ = 800 Nm . The path angle γ simulation results of 200 random deviations and an extreme deviation of Δ M y = 800   Nm (downward moment) are shown in Figure 8, as well as a simulation result with the sloshing force effect. The results show that the nominal control provides stable flight trajectories, with a constant pitch moment deviation within ±800 Nm (i.e., equivalent pitch moment coefficient deviation ΔCm = ±0.006 at Ma = 0.5). However, the oscillation of the flight path angle diverges with the sloshing force effect engagement. This demonstrates that, although the less damped trajectory control is still acceptable, the sloshing effect is easily apparent and causes flight trajectory divergence in the less damped stage with attitude disturbance, which also indicates that a constant pitch moment deviation does not fully cover the impact of liquid sloshing.
It should be noted that, while the vehicle glides with a small downward path angle, the sloshing effect on this stability issue differs little from that of level flight. Taking pitch motion as an example, on the one hand, the movement of the liquid centroid, which affects the balance characteristics and static stability of the vehicle, is considered as a stationary part effect incorporated into the rigid body dynamics and is not the main focus of this paper. On the other hand, the frequency characteristics of the sloshing incremental part will change, but this influence is minor. During a gliding flight with −19° for γ and about −13° for θ , the frequency characteristics are merely manifested as a small reduction in the amplitude of the sloshing force effect, while the sloshing phase remains almost consistent, which can be encompassed by the Monte Carlo uncertainty analysis (taking amplitude deviation of ±50% in Section 4.3). The effect of roll motion is even smaller. Therefore, the sloshing model remains applicable to the glide scenario.

3.1.3. Mechanism of the Sloshing Effect on Stability

Based on the transfer function description of liquid sloshing, the sloshing effect is easily introduced into the linearized system of the rigid motions. Sloshing coupling introduces new modes and shifts high-frequency modes towards unstable oscillation, thereby reducing the system stability. In the wide-range flight during reentry, the system characteristic varies significantly and enters a less damped state during the low-subsonic stage (H = 5000 m/Ma = 0.60 or below) under nominal trajectory control, where the sloshing impact is most pronounced.
Figure 9 shows the sloshing effect on the frequency characteristics of the path angle channel at the flight state of H = 3000 m/Ma = 0.53. There is a “dominant mode” with low damping at the frequency of 2.55 rad/s that mainly determines the characteristic of this less damped system. The dominant mode becomes unstable, with the worst sloshing effect in the whole frequency domain.
The eigenvalue analysis in Table 4 further shows the reduction in stability. As is shown, sloshing-induced instability occurs at flight states H = 3000 m/Ma = 0.53 and below, which matches the terminal trajectory divergence in the simulation. The frequencies of the high-frequency dominant modes are in the range of about 2~3 rad/s, which is close to the typical short-period mode of longitudinal flight motion, within the frequency range of a significant sloshing effect. Under sloshing negative damping, the damping ratios of the dominant modes are reduced by about 0.04, and the system with an insufficient stability in the trajectory control loop becomes unstable, causing flight trajectory divergence.
In addition, during the flight tracking under the sloshing effect in Figure 8, the maximum sloshing pitch moment reaches about −550 Nm (downward moment) at the trajectory terminal of Ma = 0.5 and ΔCm = −0.004. In the uncertainty analysis, a constant pitch moment deviation of −800 Nm and ΔCm = −0.006 at Ma = 0.5 still results in convergence. This indicates that the frequency characteristics of the sloshing force effect play an important role in exciting flight oscillations. Force effect deviation along the frequency of the flight motion generates extra negative damping, which has a more severe impact than constant deviation. Even if the uncertainty analysis with constant deviation covers the maximum of the sloshing force effect, it does not fully describe the sloshing impact. On the other hand, when considering unmodeled effects in nominal design, additional negative pitch damping should be considered to describe the liquid sloshing coupling; that is, an additional stability margin is required. Referring to the critical case in this section, an additional stability margin of a 0.05 damping ratio can be taken into account conservatively.
The Sloshing-Susceptible Frequency (SSF) is defined here as the characteristic frequency with the most severe impact of liquid sloshing, which is determined by the frequency characteristics of the sloshing force effect and the frequencies of the closed-loop flight modes, falling within the main frequency range (about 1~3.5 rad/s) of the adverse damping of longitudinal sloshing. When there is a high-frequency dominant mode, the worst sloshing effect is easily predicted at its frequency in the flight state with low damping, leading to a deterioration of the dominant mode and decreasing flight stability, or even causing instability. Therefore, the frequency of the dominant mode is the SSF, at which the magnitude of the sloshing force effect in Figure 5 determines the sloshing effect on the flight. Thus, deviating the frequency of the dominant modes away from the frequency range with a significant sloshing force effect is benefitial for separating the flight motions from the sloshing effect and mitigating the liquid sloshing coupling.

3.2. Well-Damped Control Case

3.2.1. Well-Damped Trajectory Control Design

In this section, a well-damped trajectory control configuration is provided, satisfying the attitude control requirement in Section 3.1.1; furthermore, the gain and phase margins of the trajectory control loop are above 6 dB and 45°, respectively, while a good performance in time response is also achieved, as shown in Table 5. There is no dominant mode with low damping in the trajectory loop. Instead, typical short-period and long-period modes determine the characteristics of the closed-loop system, as shown in Section 3.2.3.

3.2.2. Sloshing Effect

With good control quality in the trajectory loop, the sloshing effect is suppressed to a certain extent and is not prominent in the flight with the pulse disturbance of the pitch rate. However, in an actual flight with aerodynamic and control coupling, the vehicle may be subject to unexpected periodic attitude disturbances and enter a specific frequency of attitude motion in a short period of time. In flight simulations, the periodic disturbance of the pitch rate for 3 cycles starting from the simulation time of 150 s (about H = 4510 m/Ma = 0.58) is taken as q = A q sin ω q t , A q = 5 ° , ω q = 1.5   rad / s .
The trajectories of well-damped trajectory control in nominal conditions and under the sloshing effect are shown in Figure 10. The flight trajectory with sloshing force effects still converge eventually, but the flight oscillates more severely and shows a slight tendency of divergence under continuous excitation. Although the sloshing effect is suppressed to a certain extent under well-damped trajectory control, flight oscillations will still be amplified at specific frequencies when the sloshing effect is significantly excited, and the most critical frequency is the SSF for the well-damped control cases.

3.2.3. Mechanism and Prediction of Sloshing Effect Along Terminal Flight

With well-damped trajectory control, there are typical short-period and long-period modes mainly determining the characteristic of the closed-loop system. The frequencies of the closed-loop modes along the gliding trajectory are shown in Figure 11, where the damping ratios of the short-period and long-period modes are, respectively, between about 0.2 and 0.3 and between about 0.75 and 0.85, with little variation along the gliding trajectory. In addition, the deployment of the speed brake at Ma = 0.85 or below induces a discontinuous sharp reduction in both the short-period damping and frequency.
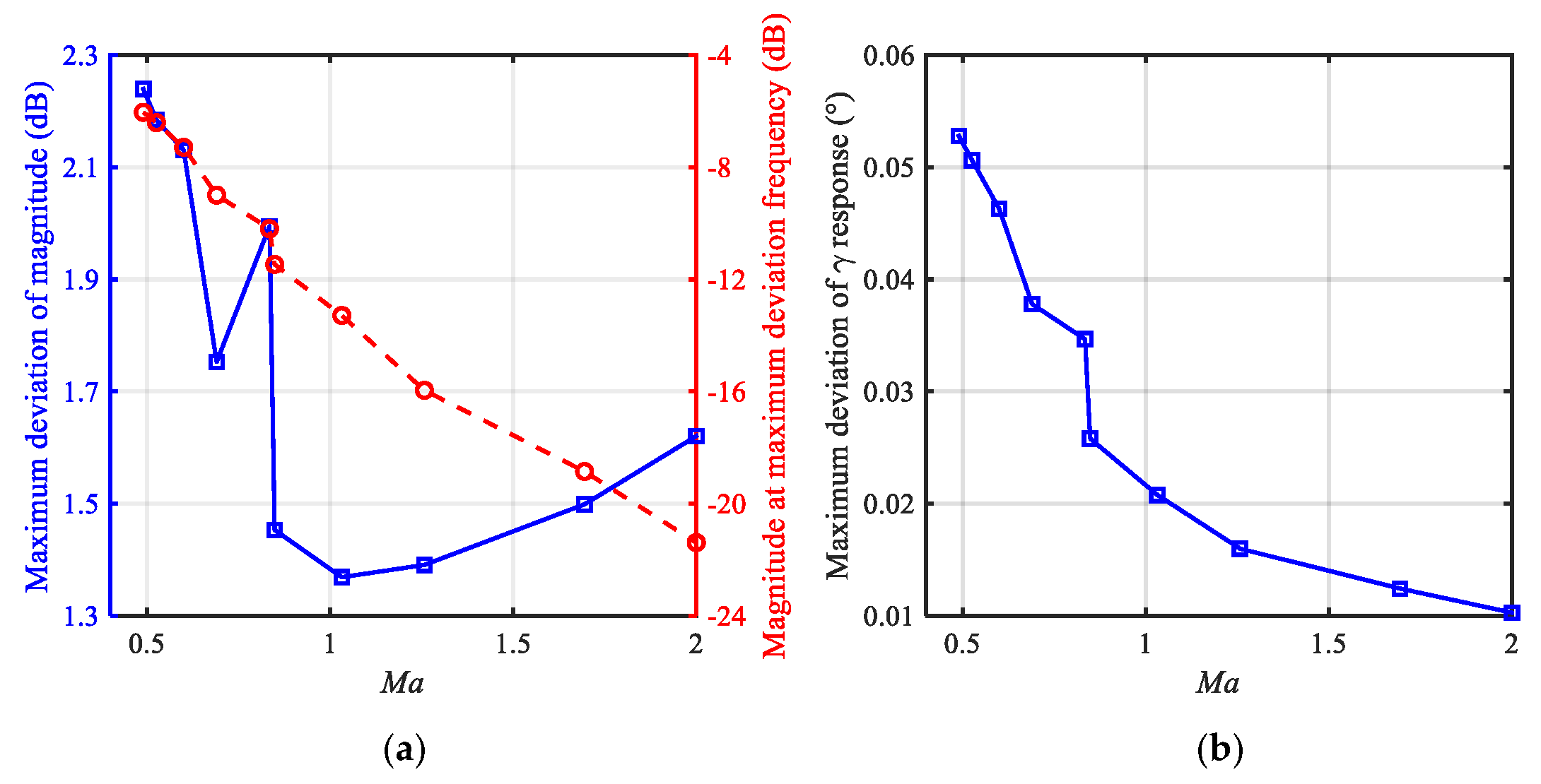
The liquid sloshing changes the frequency domain characteristic by affecting the original modes and introducing new modes. The frequency domain characteristic of the path angle channel at a flight state of H = 3000 m/Ma = 0.53 is shown in Figure 12a. As all the flight modes are well damped, the SSF appears at a moderate frequency between the inherent short-period and long-period modes, which is about 1.35 rad/s, corresponding to a strong sloshing force effect. The greatest impact of sloshing is reflected at this frequency, where there is the maximum deviation of magnitude between no sloshing and sloshing coupling conditions.
In Figure 13a, when both the nominal magnitude and maximum deviation are large, the sloshing effect is easily excited, which is predicted to be severe in the low-subsonic stage below Ma = 0.6, where the magnitude response of the nominal system is above −8 dB and the magnitude deviation caused by sloshing exceeds 2 dB. The sloshing effect is influenced by the closed-loop frequency characteristics of the vehicle. The increasing frequency of the long-period mode leads to an increase in magnitude response of the nominal system, while the maximum deviation caused by sloshing increases as the frequencies of the closed-loop modes approach the SSF.
The overall sloshing effect is also reflected in the step response of the path angle, being manifested in the medium-frequency range in the rising process in Figure 12b. Figure 13b shows that the maximum deviation of the γ response increases with the decrease in the Mach number, reaching a deviation above 0.045° in the low-subsonic stage below Ma = 0.6.
Based on the frequency characteristic analysis, when the closed-loop flight modes approach the moderate SSF, a severe sloshing effect emerges at the SSF in the low-subsonic stage below Ma = 0.6 in this case. Deviating the frequency of the flight modes away from the SSF is benefitial for separating the flight motions and liquid sloshing, mitigating the sloshing effect and suppressing flight oscillations.

4. Suppression Control of the Sloshing Effect

For sloshing coupling suppression control, two concepts are proposed for enhancing the flight stability and mitigating or offsetting the sloshing effect, referred to its frequency characteristic. Section 4 takes the less damped control case as an example, providing three methods for enhancing attitude control as follows: Damping Enhancement (DE) and Frequency Separation (FS) by adjusting control gains, and Frequency Shaping Compensation (FSC) by adding a compensation control loop.

4.1. By Improvement on the Control Gains

According to the findings from the frequency analysis, improving damping and separating the relative frequencies will be useful. In this section, the Damping Enhancement (DE) and Frequency Separation (FS) schemes are analyzed, which are only based on the nominal model without further information needed, with improved gains and better mode parameters for trajectory tracking in the low-subsonic stage (H = 5000 m/Ma = 0.60 or below). Table 6 gives the control gains of the improved concept and the high-frequency mode parameters in the trajectory control loop compared with the original design (the final two columns in Table 6 list the modes with sloshing compensation proposed in the following Section 4.2).
Figure 14 illustrates the changes in the dominant eigenvalues along a low-subsonic trajectory. As the Mach number decreases across three states from H = 5000 m/Ma = 0.60 to H = 2000 m/Ma = 0.49, the poles move from the bottom left to the top right, into a less damped state.
The DE enhances the damping of the dominant mode by adjusting control gains K θ and K q . Compared with the original scheme, DE achieves a higher damping ratio in the no-sloshing condition, while the frequency ranges of both are close. Under the sloshing coupling, the damping ratios of the two schemes decrease synchronously, with the system becoming unstable first in the original scheme control. Thus, DE achieves a better resistance to sloshing at a higher damping ratio, though overall the sloshing effects on both schemes are not significantly different.
In Section 3.1.3, it has already been proven that the frequency of the dominant mode is the SSF. In the improved scheme of FS, based on damping augmentation, the frequencies of the dominant modes are deviated away from the frequency range with a strong sloshing force effect by adjusting the control gains K θ and K q (mainly by decreasing K θ to lower the frequency in Table 6). Compared with DE, FS control has a lower frequency in the no-sloshing condition, while maintaining similar damping ratios. Under the sloshing coupling, the damping ratio of FS is significantly higher than that of DE. For the frequency of the dominant mode corresponding to a lower sloshing force effect, FS mitigates the sloshing coupling.

4.2. Compensation Based on Sloshing Frequency Characteristics

In the previous Section 4.1, the deteriorated flight stability was improved by adjusting the control gains in Equation (8) to Equation (10). However, increasing the damping gain may not fully counteract the negative damping of sloshing, or may introduce overly conservative designs that compromise the tracking performance. Likewise, adjusting the tracking gain may also degrade the tracking capability. It may conflict with the higher control performance requirements by simply adjusting the control gains for sloshing suppression.
A targeted Frequency Shaping Compensation (FSC) control is designed by introducing the frequency characteristics of the sloshing force effect as transfer functions, which help suppress liquid sloshing coupling through frequency shaping and improve flight stability. A total of 3~4 frequency points are taken around the typical short-period flight modes to obtain the frequency characteristics of the sloshing force effect through numerical calculations (or experimental methods). By fitting these points with a transfer function of second order or below, namely a sloshing compensation model, the frequency information in the significant range is captured. Examples of the low-order transfer functions are shown in Figure 4, and the resultant moment model is shown in Figure 5, with an adequate fitting accuracy for effective suppression.
The control laws with sloshing compensation are as follows:
δ e . c = δ e . t + K θ + K I θ s ( θ c θ ) + K q q + K M s G M s s θ
δ a . c = K ϕ + K I ϕ s ( ϕ c ϕ ) + K p p + K L s G L s s ϕ
Furthermore, if it is necessary to make the frequency characteristic of the compensation system more in line with the no-sloshing state, other control surfaces are used for fine-tuning. In the longitudinal channel, the linked deflection of an elevon is introduced as
δ ea . c = K δ ea K M s G M s s θ
where G M s s is the transfer function to describe the total pitch moment generated by two tanks, G L s s is the transfer function to describe the total roll moment, and K M s , K L s and K δ ea are compensation gains.
The suppression effect of compensation control in the low-subsonic stage has been presented in the final two columns of Table 6 in Section 4.1. The results show that the compensation based on sloshing frequency characteristics shifts the dominant modes back toward the no-sloshing state and improves the system stability to a higher level when combined with other enhanced control schemes.
FSC control compensates for the extra rotational moments of liquid sloshing through the additional deflection of the control surface based on frequency characteristic details, making the compensated system closer to a no-sloshing condition and achieving a control performance level similar to the nominal system. The compensation structure is simple and effective, without extra sensors and actuators.

4.3. Sloshing Effect Suppression Along the Flight Trajectory

This section conducts flight simulations for different improved control schemes with sloshing compensation control included to suppress the trajectory divergence under the sloshing effect in Figure 8 in Section 3.1.2.
During the simulations from Ma = 2 to Ma = 0.5, a 1°/s pitch rate pulse disturbance is introduced at the simulation time of 155~156 s (about H = 4200 m/Ma = 0.57). Figure 15 shows the path angle and the deflection of control surfaces along the trajectory of different control scenarios. After the disturbance at 155~156 s, flight trajectories oscillate at the frequency of dominant modes (ranges from 2.1 to 2.6 rad/s). In the trajectory of the original control under the sloshing effect, an obvious divergence starts around 165 s at H = 3600 m/Ma = 0.55 when there is an unattenuated oscillation, reaching the amplitude of about ±0.5° in path angle and ±4° in elevator deflection at Ma = 0.5. The flight oscillations are effectively suppressed to convergence by DE, FS, and FSC. DE provides higher damping to maintain stability, and the flight oscillations are attenuated better at a lower frequency by taking FS. FSC helps the trajectory restore to its nominal state without the sloshing effect, with an extra linked elevon deflection.
Furthermore, for better control performance, the DE and FS are combined with the FSC control. Figure 16 shows the improved tracking performance. With FSC included, the trajectory oscillations attenuate faster under DE and FS control, respectively. It should also be noted that there is a small linked deflection of an elevon within about δ ea = ± 0.5 ° for subtle compensation adjustment, while the elevator deflection is within about δ e = ± 3 ° . In comparison, both DE-FSC and FS-FSC control reach a similar fastest oscillation attenuation, while FS-FSC results in a smaller elevator deflection because of the lower tracking gains in this case. In conclusion, different suppression schemes improve flight stability respectively, and the combined control scheme of enhancing damping at an appropriate frequency with compensation has the best control performance, with its fastest oscillation attenuation and acceptable control cost.
The modeling uncertainties of sloshing frequency characteristics are further considered in the simulation for FSC with low-order transfer function compensation models for evaluating the anti-interference ability to the deviation between the sloshing transfer function model and the actual sloshing force effect.
A Monte Carlo uncertainty analysis is performed on the amplitude and phase deviations of the predicted sloshing force effect. For the flight simulation with a 1°/s pitch rate pulse disturbance at 155~156 s added to the vehicle under FS-FSC control, the transfer functions with sloshing force effect amplitude deviation and phase lead–lag are shown separately in Equations (15) and (16), where the phase lead–lag deviations are described by the sloshing force effect lag or compensation lag:
G ˜ M y s = 1 + Δ G M y s
G ˜ M y s = e τ s G M y s ,   τ 0 G ˜ M s s = e τ s G M s s ,   τ > 0
The amplitude deviation and phase lead–lag of the sloshing force effect are randomly sampled, according to the normal distribution within ±50% and 0.7 s, as amplitude deviation Δ ~ N 0 , σ 2 , 3 σ = 50 % and phase deviation τ ~ N 0 , σ 2 , 3 σ = 0.7   s . The flight simulations are performed with random deviations for 200 times. In addition, simulations with an extreme deviation of Δ = + 50 % and τ = 0.7   s are performed, which cause the worst oscillation. The flight trajectories shown in Figure 17 and Figure 18 indicate that the FSC control remains effective in oscillation suppression, and improves flight stability. This demonstrates that the FSC method can adapt to relatively larger sloshing force effects and significant delays.
With the flight oscillation period of about 2.8 s, the low-order compensation model tolerates a phase prediction deviation of about ±90°, while providing effective oscillation suppression. For a sloshing transfer function, accurately capturing the phase frequency characteristics is more crucial for damping effect analysis, and a compensation model can be quickly built by obtaining the frequency characteristics around the phase-changing regions (amplitude peaks or valleys).

4.4. Discussion on the Three Suppression Methods

According to the previous Section 4.1, Section 4.2 and Section 4.3, three improved control measures are taken to enhance the flight stability and avoid severe sloshing coupling. In this section, three aspects of control strategies for sloshing suppression are concluded, with the comparisons of their advantages and applicability shown as follows for their wide application.
(1)
Da mping Enhancement (DE)
By taking higher damping gains to increase the damping ratios of the oscillation modes, the system achieves a sufficient stability margin to counteract the negative damping introduced by sloshing. For the margin design of the nominal trajectory control, the additional damping ratio of the oscillation modes to resist the sloshing effect should exceed 0.05.
Without sloshing data, increasing the damping of trajectory control is conducive to improving the overall stability of the flight control system and helping resist the decrease in stability caused by sloshing. This method is suitable for situations with unknown sloshing characteristics. However, when it is used for completely resisting the sloshing negative damping effect, an excessive feedback gain and overly conservative control design may be introduced, reducing the dynamic tracking performance of the control system. In specific applications, to ensure the flying damping, the requirements of the stability margin and damping ratio should be appropriately increased by taking sloshing into consideration.
(2)
Frequency Separation (FS)
The frequencies of closed-loop modes are adjustable with tracking gains for separating the flight motion from the sloshing effect and mitigating the sloshing coupling. Based on the frequency characteristics of sloshing, the frequencies of all closed-loop flight modes should first avoid becoming the SSF. If so, it would be even better for them to move further away from the SSF. Otherwise, if the closed-loop modes inevitably fall into the SSF, deviating from the frequency ranges with a strong sloshing force effect is helpful.
When the influence law of liquid sloshing is obtained through transfer function analysis in the frequency domain, it is possible to avoid the closed-loop oscillation frequencies from frequency bands with severe sloshing coupling. Detailed sloshing information is not required in the separation of frequency, which rather mitigates the impact of sloshing on flight motion modes based on the frequency resonance theory. This method is limited by the natural frequency characteristics and the dynamic tracking performance requirements. In specific applications, the key is to monitor the frequencies of closed-loop flight modes in order to avoid severe sloshing frequency excitation based on the frequency characteristics of sloshing, which is not used as the main strategy for control enhancement.
(3)
Frequency Shaping Compensation (FSC)
By adding a sloshing compensation loop to offset the sloshing effect through frequency shaping, the closed-loop poles are shifted towards the nominal state without sloshing.
With the frequency characteristics of the sloshing force effect presented using a transfer function, sloshing compensation with an extra control loop specifically offsets for the sloshing effect within the corresponding frequency bands. This method compensates for the stability reduction caused by sloshing while maintaining the other performance of the control system and achieves a higher performance while combined with other methods. But it brings extra control costs and requires detailed sloshing frequency characteristics through numerical calculations or other ways, for constructing transfer functions. Therefore, FSC is suitable for the targeted suppression of specific sloshing behaviors.
The above three methods are recommended to be used in combination while meeting the other design requirements of the control system, and the combined control scheme of enhancing damping at an appropriate frequency with compensation has the best control performance. For practical applications, tracking requirements, control costs, and available sloshing data should be comprehensively considered. The stability margin should be ensured first; then, using compensation or not can be determined on a case-by-case basis, while always monitoring the closed-loop mode frequencies to avoid severe sloshing excitation.

5. Conclusions

This paper focuses on the flight oscillation caused by liquid propellant sloshing at the reentry terminal of an example lifting-body RLV. A rigid–liquid control coupled flight dynamics model is proposed with a transfer function description of the liquid sloshing force effect, based on which the mechanism of the sloshing effect was easily obtained, enabling prediction of the flight stages with severe coupling. Furthermore, active control methods for sloshing effect suppression are provided.
(1)
With frequency analysis, the sloshing effect is essentially a negative damping effect within a specific frequency band, where the closed-loop frequency characteristic is influenced integrally.
(2)
Within the frequency range with a significant sloshing effect, there exists the “Sloshing-Susceptible Frequency (SSF)” at which the flight motion is most severely affected by sloshing. The SSF is determined by the frequency characteristics of the sloshing force effect and the frequencies of the closed-loop flight modes. When there is an unfavorable high-frequency dominant mode under less damped trajectory control, the frequency of the dominant mode is the SSF. If under well-damped trajectory control, the SSF corresponds to the frequency of a strong sloshing force effect, appearing at a moderate frequency between the inherent short-period and long-period modes in this case.
(3)
Under less damped trajectory control with a high-frequency dominant mode, the sloshing effect is easily reflected in the deterioration of the dominant modes, which is positively correlated with the magnitude of the sloshing force effect at the dominant mode frequency, reducing flight stability or even causing instability. It is necessary to consider the sloshing effect as an additional negative damping and take into account the reduction in the high-frequency mode damping ratio.
(4)
Under well-damped trajectory control, the sloshing effect is suppressed to a certain extent. Nevertheless, under the excitation at SSF, the sloshing effect will manifest as larger or even gradually expanded flight oscillations. The sloshing effect becomes more severe at the flight state where the frequencies of flight closed-loop modes approach the SSF.
(5)
Three active control methods for sloshing suppression are provided, including Damping Enhancement (DE), Frequency Separation (FS), and Frequency Shaping Compensation (FSC). These are recommended to be used in combination to achieve a better suppression effect. The stability margin should be ensured first; then, using compensation or not can be determined, while always monitoring the closed-loop mode frequencies to avoid severe sloshing excitation.
Active control methods represent a critical approach to liquid sloshing effect suppression, especially in the later stages of vehicle development. If numerical or experimental methods can be used to quickly capture the sloshing frequency characteristics described, for example, by transfer functions, it would facilitate the application of FS, FSC, and other advanced control strategies for coupling suppression. Additionally, it should be noted that the transfer function model is limited to liquid sloshing with primarily linear characteristics; on the other hand, an analysis of specific large-amplitude nonlinear scenarios is also important for flight safety.

Author Contributions

Conceptualization, S.Z. and P.H.; methodology, S.Z. and Y.L.; software, Y.L.; validation, Y.L.; formal analysis, S.Z.; investigation, S.Z. and Y.L.; resources, S.Z.; data curation, P.H.; writing—original draft preparation, Y.L.; writing—review and editing, Z.X. and S.Z.; visualization, Y.L.; supervision, Z.X.; project administration, S.Z.; funding acquisition, S.Z. All authors have read and agreed to the published version of the manuscript.

Funding

This research was funded by China Academy of Launch Vehicle Technology University Joint Innovation Fund, grant number KT-KTYWGL-22-22944.

Data Availability Statement

The data presented in this study are available on request from the corresponding author.

Conflicts of Interest

The authors declare no conflicts of interest.

Correction Statement

This article has been republished with a minor correction to the readability of Figure 4. This change does not affect the scientific content of the article.

Appendix A. Numerical Model and Validation

The motion of the liquid sloshing inside a closed container, with energy exchange neglected, is described by the continuity equation and the momentum equation. The continuity equation in the Euler expression is
ρ t + · ρ v = 0
The momentum equation (Navier–Stokes Equation) is
v t + v · v = f 1 ρ P + μ ρ Δ v
where ρ is the fluid density; v is the velocity vector of the fluid element; f is the body force per unit mass acting on the fluid element; P is the pressure at the center of the fluid element; μ is the dynamic viscosity of the fluid.
The main parameter settings for numerical calculation are shown in Table A1. Compared to the STAR-CCM+ example in the tutorial “VOF: Tank sloshing with adaptive meshing” of a rectangular fuel tank (0.5 × 0.02 × 0.25 m3) at a 40% liquid fill level, the mesh density is reduced to improve the computing efficiency (1/20 in base size), and the iterative steps within each time step are set to more than three times to achieve a satisfactory convergence for the three-dimensional tank.
Figure A1a is an example acceleration graph in the x direction, and Figure A1b–d show the longitudinal force and moment of the liquid on the tank under two settings, which are almost identical. The numerical calculation model can be validated.
Table A1. Main parameter settings for numerical calculation.
Table A1. Main parameter settings for numerical calculation.
Main ItemParameter Setting
MesherSurface remesher
Trimmed cell mesher
Mesh base size0.1 m
Space modelThree-dimensional
Time modelImplicit unsteady
Material modelMultiphase model
Volume of Fluid (VOF)
Separated flow
Turbulence modelSpalart–Allmaras
AdaptionAdaptive mesh
Adaptive time step
Solver2nd-order temporal discretization
Time-step triggered adaption
Stop criteriaMaximum inner iterations of 50
Figure A1. Numerical model validation with STAR-CCM+ tutorial “VOF: Tank sloshing with adaptive meshing”: (a) x direction field acceleration; (b) axial force on tank; (c) normal force on tank; (d) pitch moment on tank.
Figure A1. Numerical model validation with STAR-CCM+ tutorial “VOF: Tank sloshing with adaptive meshing”: (a) x direction field acceleration; (b) axial force on tank; (c) normal force on tank; (d) pitch moment on tank.
Aerospace 13 00148 g0a1

Appendix B. Numerical Calculation Data

Table A2. Input and output coefficients of pitching motion of liquid oxygen tank.
Table A2. Input and output coefficients of pitching motion of liquid oxygen tank.
Input of MotionOutput of Sloshing Force Effect
A θ (°) ω θ (rad/s) A F s x (N) φ F s x (°) A F s z (N) φ F s z (°) A M s y (Nm) φ M s y (°)
51.052301351401801800−56.25
1.26320112.52401801700−67.5
1.57480903201801650−112.5
2.0948033.754701801150−168.75
2.5138011.256251801070−180
3.14320010401801135−180
101.054001353001802700−56.25
1.26500112.55001802500−67.5
1.57750906501802400−101.25
2.0995033.7510301802300−157.5
2.5172011.2513301801850−180
3.14700021601802100−180
201.058001357001804000−56.25
1.26900112.59501803500−67.5
1.5713009013001804000−90
2.09185033.7525001804500−146.25
2.51143011.2530751803500−180
3.141500046001804200−180
Table A3. Input and output coefficients of pitching motion of kerosene tank.
Table A3. Input and output coefficients of pitching motion of kerosene tank.
Input of MotionOutput of Sloshing Force Effect
A θ (°) ω θ (rad/s) A F s x (N) φ F s x (°) A F s z (N) φ F s z (°) A M s y (Nm) φ M s y (°)
51.0538135150330−45
1.2650123.75220300−56.25
1.5785108350280−78.75
2.099545550130−112.5
2.517922.570050−78.75
3.146822.510001000
101.0565135300500−39.38
1.2695123.75500480−50.63
1.57140108750420−67.5
2.0921067.51400290−90
2.5115622.51600120−67.5
3.1412522.525002600
201.05140135700700−33.75
1.26170123.751000680−39.38
1.572401081700650−56.25
2.0933078.753200550−67.5
2.5138033.754500450−33.75
3.1425022.560006500
Table A4. Input and output coefficients of rolling motion of liquid oxygen tank.
Table A4. Input and output coefficients of rolling motion of liquid oxygen tank.
Input of MotionOutput of Sloshing Force Effect
A ϕ (°) ω ϕ (rad/s) A F s y (N) φ F s y (°) A M s x (Nm) φ M s x (°) A M s z (Nm) φ M s z (°)
101.5770088090180
2.09920880125180
3.142450870390180
3.7080008301250180
6.28130−1808902200
201.5712001720155180
2.0918001720260180
3.1446001710750180
3.701670−4518002545135
6.28290−18018104850
301.5713002540190180
2.0919002540285180
3.14680025001050180
3.701790−902980300090
6.28475−18027708050
Table A5. Input and output coefficients of rolling motion of kerosene tank.
Table A5. Input and output coefficients of rolling motion of kerosene tank.
Input of MotionOutput of Sloshing Force Effect
A ϕ (°) ω ϕ (rad/s) A F s y (N) φ F s y (°) A M s x (Nm) φ M s x (°) A M s z (Nm) φ M s z (°)
101.5725050024180
2.0935050035180
3.141050500115180
3.702500470290180
6.28120−1805101480
201.57500100048180
2.09660101068180
3.142100990235180
3.70540−45950660135
6.28215−1809802650
301.57550150055180
2.09920150096180
3.1430001400345180
3.70700−135160075045
6.28290−18014503550

Appendix C. Evaluation of Transfer Function Model

The goodness-of-fit R , reflecting the fitting degree of the identified transfer functions to the mean values of the numerical calculation data points, is defined as
R = 1 j = 1 k Y j Y ^ j 2 j = 1 k Y j Y ¯ 2 × 100 % Y ¯ = 1 k j = 1 k Y j
where k is the number of different frequency groups for identification; Yj is the input numerical calculation data for identification; Y ^ j is the predicted result with the fitted transfer function model; Y ¯ is the mean of the input numerical calculation data.
In addition, the magnitude dispersion r ¯ σ is taken for evaluating the dispersion of the calculated magnitude results with different input amplitudes, which is defined as
r ¯ σ = 1 k j = 1 k σ y j y ¯ j × 100 % y ¯ j = 1 n i = 1 n y i σ y j = 1 n i = 1 n y i y ¯ j 2
where n is the number of different input amplitudes in each frequency group; y ¯ j is the mean value of magnitudes with different input amplitudes in each frequency group; σ y j is the standard deviation of magnitudes in each frequency group.
Table A6. Evaluation of transfer function model of liquid oxygen tank.
Table A6. Evaluation of transfer function model of liquid oxygen tank.
ChannelTransfer Function of Liquid Oxygen Tank R r ¯ σ
θ F s x G F s x 1 s = 1908 s 2 + 2980 s 2603 s 2 + 0.9815 s + 3.43 86.6%1.16%
θ F sz G F s z 1 s = 1183 s 2 722.3 94.1%0.89%
θ M s y G M s y 1 s = e s 1.109   ×   10 4 s 3   +   1.195   ×   10 4 s 2   +   6.069   ×   10 4 s   +   1.099   ×   10 4 s 3   +   1.055 s 2   +   4.38 s   +   1.101 78.9%1.81%
ϕ F s y G F s y 1 s = 416.7 s 2 + 356 s + 2662 s 2 + 0.432 s + 14.86 93.8%2.37%
ϕ M s x G M s x 1 s = 505.9 93.7%0.54%
ϕ M s z G M s z 1 s = 1.488   ×   10 4 s 2     2.523   ×   10 4 s     5.335   ×   10 4 s 3   +   19.31 s 2   +   23.62 s   +   281.6 96.1%1.83%
Table A7. Evaluation of transfer function model of kerosene tank.
Table A7. Evaluation of transfer function model of kerosene tank.
ChannelTransfer Function of Kerosene Tank R r ¯ σ
θ F s x G F s x 2 s = 417.8 s 2 + 451.5 s 735.5 s 2 + 1.171 s + 3.993 88.1%1.55%
θ F sz G F s z 2 s = 143.8 s 2 + 0.002537 s + 75.78 88.1%2.28%
θ M s y G M s y 2 s = 7571 s 2   +   1664 s   +   5.256   ×   10 4 s 3   +   3.062 s 2   +   10.79 s   +   13.71 75.4%3.58%
ϕ F s y G F s y 2 s = e 0.5 s 500 s 3 + 1830 s 2 + 5642 s + 6913 s 3 + 3.952 s 2 + 15.58 s + 43.12 94.9%1.61%
ϕ M s x G M s x 2 s = 283 . 1 97.7%0.50%
ϕ M s z G M s z 2 s = e 0.5 s 577 s 3 1931 s 2 6009 s 7073 s 3 + 3.519 s 2 + 15.2 s + 37.03 91.9%1.57%

References

  1. Song, Z.Y.; Cai, Q.Y.; Han, P.X.; Wang, C.; Pan, H.; Zhang, G.C.; Li, X.J. Review of guidance and control technologies for reusable launch vehicles. Acta Aeronaut. Astronaut. Sin. 2021, 42, 30–58. (In Chinese) [Google Scholar] [CrossRef]
  2. Rubin, S. Prevention of Coupled Structure-Propulsion Instability (POGO); NASA SP-8055; Lewis Research Center: Cleveland, OH, USA, 1970.
  3. Yin, L.Z.; Wang, B.L.; Zou, J.X. Introduction to investigation of liquid sloshing and liquid-solid couple dynamic of spacecraft. J. Harbin Inst. Technol. 1999, 31, 118–122. (In Chinese) [Google Scholar]
  4. Abramson, H.N. The Dynamic Behavior of Liquids in Moving Containers; NASA SP-106; NASA: Washington, DC, USA, 1966.
  5. Li, Q.; Ma, X.R.; Wang, T.S. Equivalent mechanical model for liquid sloshing in non-axisymmetric tanks. J. Astronaut. 2011, 32, 242–249. (In Chinese) [Google Scholar] [CrossRef]
  6. Snyder, H.A. Effect of rotation on sloshing in low-gravity. Cryogenics 2004, 44, 525–536. [Google Scholar] [CrossRef]
  7. Saltari, F.; Traini, A.; Gamnioli, F.; Mastroddi, F. A linearized reduced-order model approach for sloshing to be used for aerospace design. Aerosp. Sci. Technol. 2021, 108, 106369. [Google Scholar] [CrossRef]
  8. Yue, B.Z. Large-Amplitude-Slosh Liquid Dynamics; Science Press: Beijing, China, 2011. (In Chinese) [Google Scholar]
  9. Julakha, J.J.; Mohd, H.S.; Zulkifli, M.; Mohd, A.A. Identification of Liquid Slosh Behavior Using Continuous-Time Hammerstein Model Based Sine Cosine Algorithm. In Proceedings of the 11th National Technical Seminar on Unmanned System Technology, Kuantan, Malaysia, 2–3 December 2019. [Google Scholar] [CrossRef]
  10. Gani, E.; Öztürk, S.; Sari, A.; Cengiz, T.M. Effects of liquid sloshing in storage tanks: An overview of analytical, numerical, and experimental studies. Int. J. Steel Struct. 2025, 25, 544–556. [Google Scholar] [CrossRef]
  11. Xia, H.X. Research on Multi-cavity liquid filled sloshing and coupled dynamics of aircraft systems. Ph.D. Dissertation, Nanjing University of Science and Technology, Nanjing, China, 2010. (In Chinese) [Google Scholar]
  12. Yue, B.Z.; Ma, B.L.; Tang, Y.; Liu, F. Dynamic simulation and analysis of rigid-liquid coupling spacecraft with large-amplitude liquid sloshing. J. Astronaut. 2022, 43, 173–182. (In Chinese) [Google Scholar] [CrossRef]
  13. Yue, B.Z.; Yan, Y.L. Stability analysis of rigid-liquid-flexible coupling dynamics of spacecraft systems by using the Energy-Casimir method. Acta Sci. Nat. Univ. Pekin. 2016, 52, 608–618. (In Chinese) [Google Scholar] [CrossRef]
  14. Shageer, H.; Tao, G. Modeling and adaptive control of spacecraft with fuel slosh: Overview and case studies. In Proceedings of the AIAA Guidance, Navigation and Control Conference and Exhibit, Hilton Head, SC, USA, 20–23 August 2007. [Google Scholar] [CrossRef]
  15. Shageer, H.; Tao, G. Zero Dynamics analysis for spacecraft with fuel slosh. In Proceedings of the AIAA Guidance, Navigation and Control Conference and Exhibit, Honolulu, HI, USA, 18–21 August 2008. [Google Scholar] [CrossRef]
  16. Kang, J.Y.; Coverstone, V.L. Analytical model for momentum transfer of spacecraft containing liquid. J. Guid. Control Dynam. 2010, 33, 991–994. [Google Scholar] [CrossRef]
  17. Schlapkohl, T.; Kang, J.Y.; Coverstone, V.L. Analytical control law for spacecraft reorientation via Lyapunov theory. In Proceedings of theAIAA Guidance, Navigation and Control Conference, Toronto, ON, Canada, 2–5 August 2010. [Google Scholar] [CrossRef]
  18. Astleford, W.J.; Chu, W.H.; Dodge, F.T. Propellant Dynamic Problems in Space Shuttle Vehicles; NASA-CR-111802; Southwest Research Institute: San Antonio, TX, USA, 1970. [Google Scholar]
  19. Kana, D.D.; Ko, W.L.; Francis, P.H.; Nagy, A. Coupling Between Structure and Liquids in a Parallel Stage Space Shuttle Design; NAS1-9890; Southwest Research Institute: San Antonio, TX, USA, 1972. [Google Scholar]
  20. Nichkawde, C.; Harish, P.M.; Ananthkrishnan, N. Stability analysis of a multibody system model for coupled slosh-vehicle dynamics. J. Sound Vib. 2004, 275, 1069–1083. [Google Scholar] [CrossRef]
  21. Shekhawat, A.; Nichkawde, C.; Ananthkrishnan, N. Modeling and stability analysis of coupled slosh-vehicle dynamics in planar atmospheric flight. In Proceedings of the 44th AIAA Aerospace Sciences Meeting and Exhibit, Reno, NV, USA, 9–12 January 2006. [Google Scholar] [CrossRef]
  22. Himeno, T.; Watanabe, T.; Nonaka, S.; Naruo, Y.; Inatani, Y. Sloshing prediction in the propellant tanks of VTVL rocket vehicle. In Proceedings of the 41st AIAA/ASME/SAE/ASEE Joint Propulsion Conference & Exhibit, Tucson, AZ, USA, 10–13 July 2005. [Google Scholar] [CrossRef]
  23. Aoki, K.; Nakamura, T.; Igarashi, I.; Tamura, A.; Shimura, K.; Mori, T. Experimental investigation of baffle effectiveness on nonlinear propellant sloshing in RLV. In Proceedings of the 43rd AIAA/ASME/SAE/ASEE Joint Propulsion Conference & Exhibit, Cincinnati, OH, USA, 8–11 July 2007. [Google Scholar] [CrossRef]
  24. Noorian, M.A.; Haddadpour, H.; Ebrahimian, M. Stability analysis of elastic launch vehicles with fuel sloshing in planar flight using a BEM-FEM model. Aerosp. Sci. Technol. 2016, 53, 74–84. [Google Scholar] [CrossRef]
  25. Ga, Y.J.; Wang, H.S.; Zhang, Q.S.; Xu, S.S.; Wu, Y.T. Propellant flow characteristics in tank and related impact analysis during the vertical landing stage. J. Deep. Sp. Explor. 2021, 8, 42–50. (In Chinese) [Google Scholar] [CrossRef]
  26. Luo, M.; Chen, S.Q.; Li, D.P.; Pan, H. Characteristics of Starship propulsion system and numerical simulation of propellant flow during reentry. J. Nanjing Univ. Aeronaut. Astronaut. 2021, 53, 9–16. (In Chinese) [Google Scholar] [CrossRef]
  27. Zheng, J.H.; Xue, M.A.; Dou, P.; He, Y.M. A review on liquid sloshing hydrodynamics. J. Hydrodyn. 2021, 33, 1089–1104. [Google Scholar] [CrossRef]
  28. Kurode, S.; Bandyopadhyay, B.; Gandhi, P.S. Sliding mode control for slosh-free motion of a container using partial feedback linearization. In Proceedings of the IEEE 10th International Workshop on Variable Structure Systems, Antalya, Turkey, 8–10 June 2008. [Google Scholar] [CrossRef]
  29. Komoguchi, Y.; Kunieda, M.; Yano, K. Liquid handling control for service robot by hybrid shape approach. In Proceedings of the 2008 SICE Annual Conference, Chofu, Japan, 20–22 August 2008. [Google Scholar] [CrossRef]
  30. Aboel-hassan, A.; Arafa, M.; Nassef, A. Design and optimization of input shapers for liquid slosh suppression. J. Sound Vib. 2009, 320, 1–15. [Google Scholar] [CrossRef]
  31. Pridgen, B.; Bai, K.; Singhose, W. Shaping Container Motion for Multimode and Robust Slosh Suppression. J. Spacecr. Rockets. 2013, 50, 440–448. [Google Scholar] [CrossRef]
  32. Yue, B.Z.; Song, X.J. Advances in rigid-flexible-liquid-control coupling dynamics of spacecraft. Adv. Mech. 2013, 43, 163–173. (In Chinese) [Google Scholar] [CrossRef]
  33. Yue, B.Z.; Yu, J.R.; Wu, W.J. Rigid and liquid coupling dynamics and hybrid control of spacecraft with multiple propellant tanks. Chin. J. Theor. Appl. Mech. 2017, 49, 390–396. (In Chinese) [Google Scholar] [CrossRef]
  34. Cho, S.; Mcclamroch, M.; Reyhanoglu, M. Feedback control of a space vehicle with unactuated fuel slosh dynamics. In Proceedings of the AIAA Guidance, Navigation and Control Conference and Exhibit, Dever, CO, USA, 20–23 August 2000. [Google Scholar] [CrossRef]
  35. Gu, H.X.; Qi, R.Y. Attitude control of spacecraft with fuel slosh based on sliding mode control. J. Guid. Control Dynam. 2015, 13, 138–143. (In Chinese) [Google Scholar] [CrossRef]
  36. Deng, M.L. Studies on the Equivalent Mechanical Model of Large Amplitude Liquid Slosh and Rigid-Liquid-Flex-Control Coupling Dynamics of Spacecraft. Ph.D. Thesis, Beijing Institute of Technology, Beijing, China, 2017. (In Chinese) [Google Scholar]
  37. Lu, Y.; Yue, B.Z.; Ma, B.L. Improved Moving Pulsating Ball Equivalent Model for Large-Amplitude Liquid Slosh. AIAA J. 2022, 60, 5004–5011. [Google Scholar] [CrossRef]
  38. Jokar, M.; Salarieh, H.; Pishkenari, H.N. Satellite attitude PDE-based controller design considering fluid fuel sloshing in planar maneuver. Aerosp. Sci. Technol. 2022, 122, 107366. [Google Scholar] [CrossRef]
  39. Jokar, M.; Salarieh, H.; Pishkenari, H.N. Observer-based boundary feedback control for attitude tracking of rigid bodies with partially liquid-filled cavities. Aerosp. Sci. Technol. 2023, 132, 108068. [Google Scholar] [CrossRef]
  40. Qi, R.Y.; Dong, X.L.; Chao, D.K.; Wang, Y.Y. Constrained attitude tracking control and active sloshing suppression for liquid-filled spacecraft. ISA Trans. 2023, 132, 292–308. [Google Scholar] [CrossRef]
  41. Zhang, W.; Guo, Y.N.; Ran, G.T.; Liu, J.; Wang, B.H. Predefined-time attitude tracking control for liquid-filled spacecraft under angular velocity and torque constraints. IEEE Trans. Aerosp. Electron. Syst. 2025, 61, 11267–11281. [Google Scholar] [CrossRef]
  42. Liao, Y.Z.; Zhang, S.G.; Han, P.X.; Xiong, Z.Y. Transfer function model of sloshing force effect of liquid propellant and its application. J. Beijing Univ. Aeronaut. Astronaut. 2025, 51, 3869–3882. (In Chinese) [Google Scholar] [CrossRef]
  43. Etkin, B. Dynamics of Atmospheric Flight; John Wiley and Sons: New York, NY, USA, 1972. [Google Scholar]
  44. SIEMENS. Simcenter STAR-CCM+ Software; SIEMENS: Berlin, Germany, 2025; Available online: https://plm.sw.siemens.com/en-US/simcenter/fluids-thermal-simulation/star-ccm/ (accessed on 18 December 2025).
  45. SAE AS94900A; Vehicle Management Systems—Flight Control Function, Design, Installation and Test of Piloted Military Aircraft, General Specification For. SAE: Warrendale, PA, USA, 2018.
Figure 1. Tank distribution and reference frames of liquid propelled RLV.
Figure 1. Tank distribution and reference frames of liquid propelled RLV.
Aerospace 13 00148 g001
Figure 2. Sloshing shape in liquid oxygen tank within one pitching cycle (Aθ = 10°, ωθ = 2.09 rad/s).
Figure 2. Sloshing shape in liquid oxygen tank within one pitching cycle (Aθ = 10°, ωθ = 2.09 rad/s).
Aerospace 13 00148 g002
Figure 3. Sloshing force effect as numerical calculation and transfer function in liquid oxygen tank while pitching (Aθ = 10°, ωθ = 2.09 rad/s): (a) axial sloshing force F s x 1 ; (b) normal sloshing moment F s z 1 ; (c) pitch sloshing moment M s y 1 .
Figure 3. Sloshing force effect as numerical calculation and transfer function in liquid oxygen tank while pitching (Aθ = 10°, ωθ = 2.09 rad/s): (a) axial sloshing force F s x 1 ; (b) normal sloshing moment F s z 1 ; (c) pitch sloshing moment M s y 1 .
Aerospace 13 00148 g003
Figure 4. Frequency characteristics in significant range of sloshing force effect while pitching: (a) normal force of sloshing in forward tank, F s z 1 ; (b) pitch moment of sloshing in forward tank, M s y 1 ; (c) normal force of sloshing in backward tank, F s z 2 ; (d) pitch moment of sloshing in backward tank, M s y 2 .
Figure 4. Frequency characteristics in significant range of sloshing force effect while pitching: (a) normal force of sloshing in forward tank, F s z 1 ; (b) pitch moment of sloshing in forward tank, M s y 1 ; (c) normal force of sloshing in backward tank, F s z 2 ; (d) pitch moment of sloshing in backward tank, M s y 2 .
Aerospace 13 00148 g004
Figure 5. Frequency characteristics of resultant pitch moment of sloshing within significant range.
Figure 5. Frequency characteristics of resultant pitch moment of sloshing within significant range.
Aerospace 13 00148 g005
Figure 6. Flight envelope and trim points.
Figure 6. Flight envelope and trim points.
Aerospace 13 00148 g006
Figure 7. Flight trajectory at nominal condition.
Figure 7. Flight trajectory at nominal condition.
Aerospace 13 00148 g007
Figure 8. Trajectories of less damped trajectory control with pitch moment deviation and sloshing force effect (1°/s pulse disturbance of pitch rate at 155 s from the starting state of Ma = 2).
Figure 8. Trajectories of less damped trajectory control with pitch moment deviation and sloshing force effect (1°/s pulse disturbance of pitch rate at 155 s from the starting state of Ma = 2).
Aerospace 13 00148 g008
Figure 9. Sloshing effect on frequency characteristics in path angle channel under less damped trajectory control (H = 3000 m/Ma = 0.53).
Figure 9. Sloshing effect on frequency characteristics in path angle channel under less damped trajectory control (H = 3000 m/Ma = 0.53).
Aerospace 13 00148 g009
Figure 10. Trajectories of well-damped trajectory control with sloshing force effect under SSF excitation (periodic disturbance of pitch rate for 3 cycles at 150 s from the starting state of Ma = 2).
Figure 10. Trajectories of well-damped trajectory control with sloshing force effect under SSF excitation (periodic disturbance of pitch rate for 3 cycles at 150 s from the starting state of Ma = 2).
Aerospace 13 00148 g010
Figure 11. Frequency of flight modes in closed loop along trajectory under well-damped control.
Figure 11. Frequency of flight modes in closed loop along trajectory under well-damped control.
Aerospace 13 00148 g011
Figure 12. Sloshing effect and maximum deviation in path angle channel under well-damped control (H = 3000 m/Ma = 0.53): (a) sloshing effect on frequency characteristics; (b) sloshing effect on step response.
Figure 12. Sloshing effect and maximum deviation in path angle channel under well-damped control (H = 3000 m/Ma = 0.53): (a) sloshing effect on frequency characteristics; (b) sloshing effect on step response.
Aerospace 13 00148 g012
Figure 13. Maximum deviation caused by sloshing force effects along flight trajectory under well-damped trajectory control (H = 3000 m/Ma = 0.53): (a) maximum deviation in frequency domain; (b) maximum deviation in time domain.
Figure 13. Maximum deviation caused by sloshing force effects along flight trajectory under well-damped trajectory control (H = 3000 m/Ma = 0.53): (a) maximum deviation in frequency domain; (b) maximum deviation in time domain.
Aerospace 13 00148 g013
Figure 14. Improved dominant modes of trajectory control in low-subsonic stage.
Figure 14. Improved dominant modes of trajectory control in low-subsonic stage.
Aerospace 13 00148 g014
Figure 15. Simulated trajectories of different control scenarios (1°/s pulse disturbance of pitch rate at 155 s from the starting state of Ma = 2).
Figure 15. Simulated trajectories of different control scenarios (1°/s pulse disturbance of pitch rate at 155 s from the starting state of Ma = 2).
Aerospace 13 00148 g015
Figure 16. Simulated trajectories of combined enhanced control schemes with sloshing effect (1°/s pulse disturbance of pitch rate at 155 s from the starting state of Ma = 2).
Figure 16. Simulated trajectories of combined enhanced control schemes with sloshing effect (1°/s pulse disturbance of pitch rate at 155 s from the starting state of Ma = 2).
Aerospace 13 00148 g016
Figure 17. Trajectories of FS-FSC control under amplitude deviation of sloshing force effect.
Figure 17. Trajectories of FS-FSC control under amplitude deviation of sloshing force effect.
Aerospace 13 00148 g017
Figure 18. Trajectories of FS-FSC control under phase deviation of sloshing force effect.
Figure 18. Trajectories of FS-FSC control under phase deviation of sloshing force effect.
Aerospace 13 00148 g018
Table 1. Basic characteristics of the example RLV and its tanks.
Table 1. Basic characteristics of the example RLV and its tanks.
ParameterValue
Gross mass4000 kg
Full length10 m
Wingspan5.5 m
Lift-to-drag ratio at Ma = 0.55.5
Lift-to-drag ratio at Ma = 22
Axial length of the liquid oxygen tank3 m
Inner diameter of the liquid oxygen tank1.4 m
Axial length of the kerosene tank2 m
Inner diameter of the kerosene tank1.2 m
Table 2. Transfer function models of liquid sloshing in liquid oxygen and kerosene tanks.
Table 2. Transfer function models of liquid sloshing in liquid oxygen and kerosene tanks.
ChannelTransfer Function of Liquid Oxygen TankTransfer Function of Kerosene Tank
θ F s x G F s x 1 s = 1908 s 2 + 2980 s 2603 s 2 + 0.9815 s + 3.43 G F s x 2 s = 417.8 s 2 + 451.5 s 735.5 s 2 + 1.171 s + 3.993
θ F sz G F s z 1 s = 1183 s 2 722.3 G F s z 2 s = 143.8 s 2 + 0.002537 s + 75.78
θ M s y G M s y 1 s = e s 1.109   ×   10 4 s 3   +   1.195   ×   10 4 s 2   +   6.069   ×   10 4 s   +   1.099   ×   10 4 s 3   +   1.055 s 2   +   4.38 s   +   1.101 G M s y 2 s = 7571 s 2   +   1664 s   +   5.256   ×   10 4 s 3   +   3.062 s 2   +   10.79 s   +   13.71
ϕ F s y G F s y 1 s = 416.7 s 2 + 356 s + 2662 s 2 + 0.432 s + 14.86 G F s y 2 s = e 0.5 s 500 s 3 + 1830 s 2 + 5642 s + 6913 s 3 + 3.952 s 2 + 15.58 s + 43.12
ϕ M s x G M s x 1 s = 505.9 G M s x 2 s = 283.1
ϕ M s z G M s z 1 s = 1.488   ×   10 4 s 2     2.523   ×   10 4 s     5.335   ×   10 4 s 3   +   19.31 s 2   +   23.62 s   +   281.6 G M s z 2 s = e 0.5 s 577 s 3 1931 s 2 6009 s 7073 s 3 + 3.519 s 2 + 15.2 s + 37.03
Table 3. Attitude loop parameters in low-subsonic stage.
Table 3. Attitude loop parameters in low-subsonic stage.
H (m)MaHigh-Frequency Mode ParametersStability Margin
Frequency (rad/s)Damping RatioGain Margin (dB)Phase Margin (°)
50000.602.280.522Inf73.8
30000.532.290.523Inf75.5
20000.492.280.522Inf76.4
Table 4. Sloshing effect on dominant mode parameters under less damped trajectory control.
Table 4. Sloshing effect on dominant mode parameters under less damped trajectory control.
H (m)MaNo SloshingSloshing Coupling
Frequency (rad/s)Damping RatioFrequency (rad/s)Damping Ratio
50000.602.400.0632.410.031
30000.532.550.0332.55−0.004
20000.492.610.0142.60−0.023
Table 5. Trajectory loop parameters under well-damped trajectory control.
Table 5. Trajectory loop parameters under well-damped trajectory control.
H (m)MaStep ResponseStability Margin
Settling Time (s)Maximum Overshoot (%)Gain Margin (dB)Phase Margin (°)
50000.606.930Inf45.19
30000.535.370Inf45.76
20000.495.340Inf45.59
Table 6. Improved dominant mode parameters with different sloshing coupling suppression methods.
Table 6. Improved dominant mode parameters with different sloshing coupling suppression methods.
Control SchemeH (m)Ma K θ K q High-Frequency Critical Mode of Trajectory Control
No SloshingSloshing CouplingFSC
Frequency (rad/s)Damping RatioFrequency (rad/s)Damping RatioFrequency (rad/s)Damping Ratio
Original50000.600.981.222.400.0632.410.0312.390.056
30000.530.981.222.550.0332.55−0.0042.510.029
20000.490.981.222.610.0142.60−0.0232.560.013
DE50000.601.111.572.370.1002.400.0702.380.090
30000.531.111.572.540.0732.560.0372.510.066
20000.491.111.572.610.0552.630.0172.570.050
FS50000.600.681.372.120.0972.130.0912.160.102
30000.530.681.372.240.0712.230.0502.240.070
20000.490.681.372.290.0552.280.0302.280.054
Disclaimer/Publisher’s Note: The statements, opinions and data contained in all publications are solely those of the individual author(s) and contributor(s) and not of MDPI and/or the editor(s). MDPI and/or the editor(s) disclaim responsibility for any injury to people or property resulting from any ideas, methods, instructions or products referred to in the content.

Share and Cite

MDPI and ACS Style

Liao, Y.; Zhang, S.; Xiong, Z.; Han, P. Prediction and Suppression of Liquid Propellant Sloshing-Induced Oscillation in RLV Terminal Flight. Aerospace 2026, 13, 148. https://doi.org/10.3390/aerospace13020148

AMA Style

Liao Y, Zhang S, Xiong Z, Han P. Prediction and Suppression of Liquid Propellant Sloshing-Induced Oscillation in RLV Terminal Flight. Aerospace. 2026; 13(2):148. https://doi.org/10.3390/aerospace13020148

Chicago/Turabian Style

Liao, Yuzhou, Shuguang Zhang, Zhiyue Xiong, and Pengxin Han. 2026. "Prediction and Suppression of Liquid Propellant Sloshing-Induced Oscillation in RLV Terminal Flight" Aerospace 13, no. 2: 148. https://doi.org/10.3390/aerospace13020148

APA Style

Liao, Y., Zhang, S., Xiong, Z., & Han, P. (2026). Prediction and Suppression of Liquid Propellant Sloshing-Induced Oscillation in RLV Terminal Flight. Aerospace, 13(2), 148. https://doi.org/10.3390/aerospace13020148

Note that from the first issue of 2016, this journal uses article numbers instead of page numbers. See further details here.

Article Metrics

Back to TopTop