A Comprehensive Framework for Modelling and Control of Morphing Quadrotor Drones
Abstract
1. Introduction
2. Modeling of 8-Joint Morphing Drone
2.1. Morphing Mechanism Design
2.2. Equations of Motion
2.2.1. Center of Gravity and Moment of Inertia
2.2.2. Translational and Rotational Motion
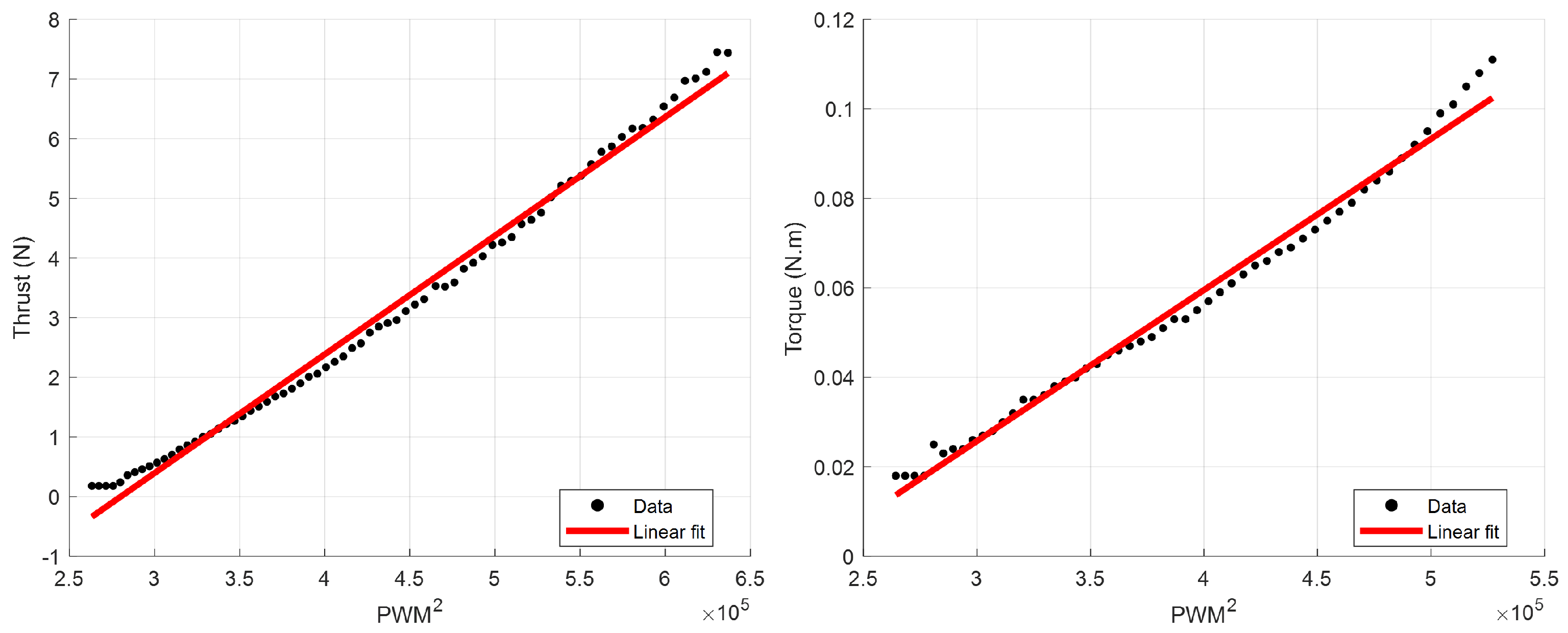
2.3. Parameter Identification
3. Controller Design
3.1. Mode Allocator Design
3.2. Feedback Linearization
3.3. Linear Quadratic Regulator Control
- Minimize the distance between the thrust center and the center of gravity.
- Distribute the thrust of the remaining three motors uniformly in the plane.
3.4. State Estimation
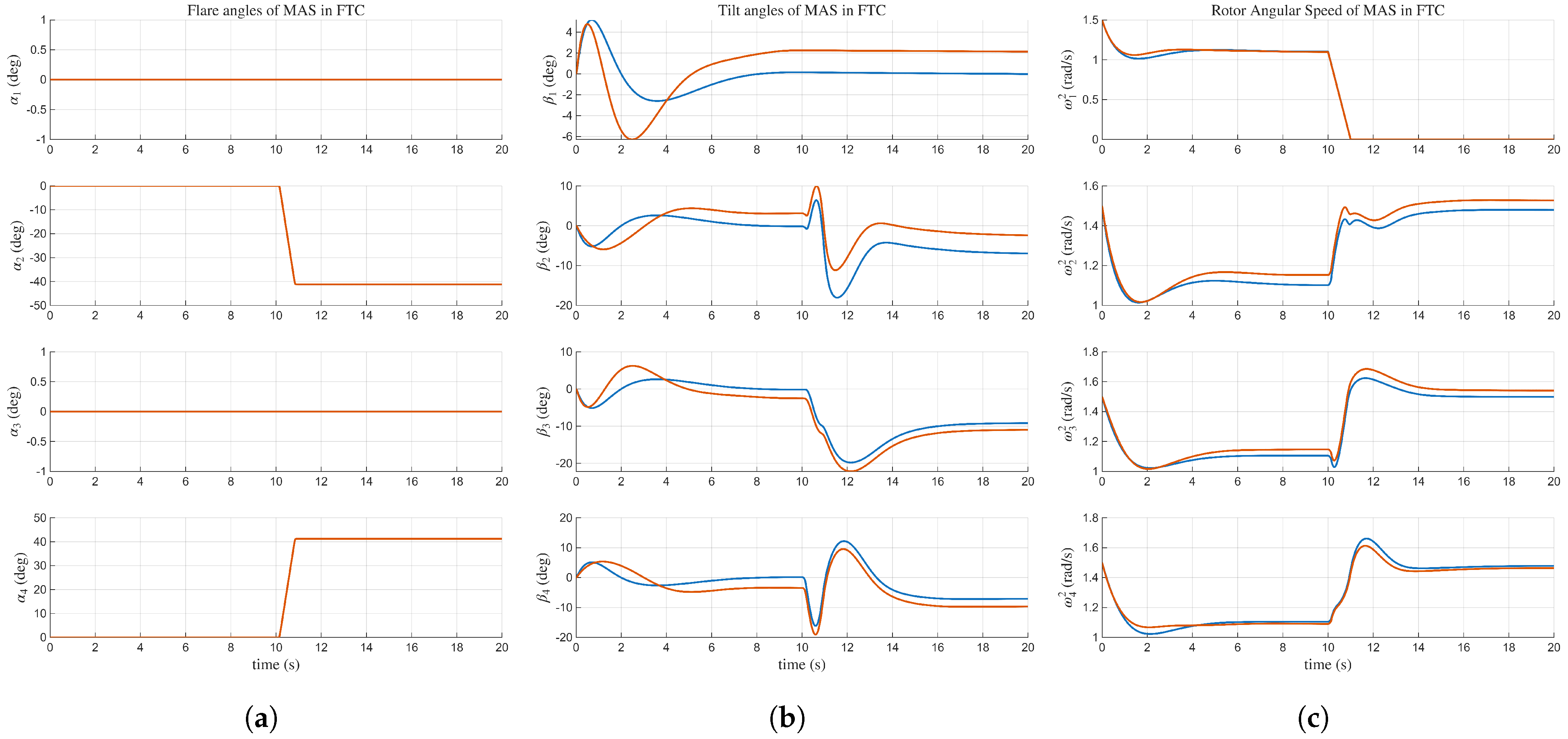
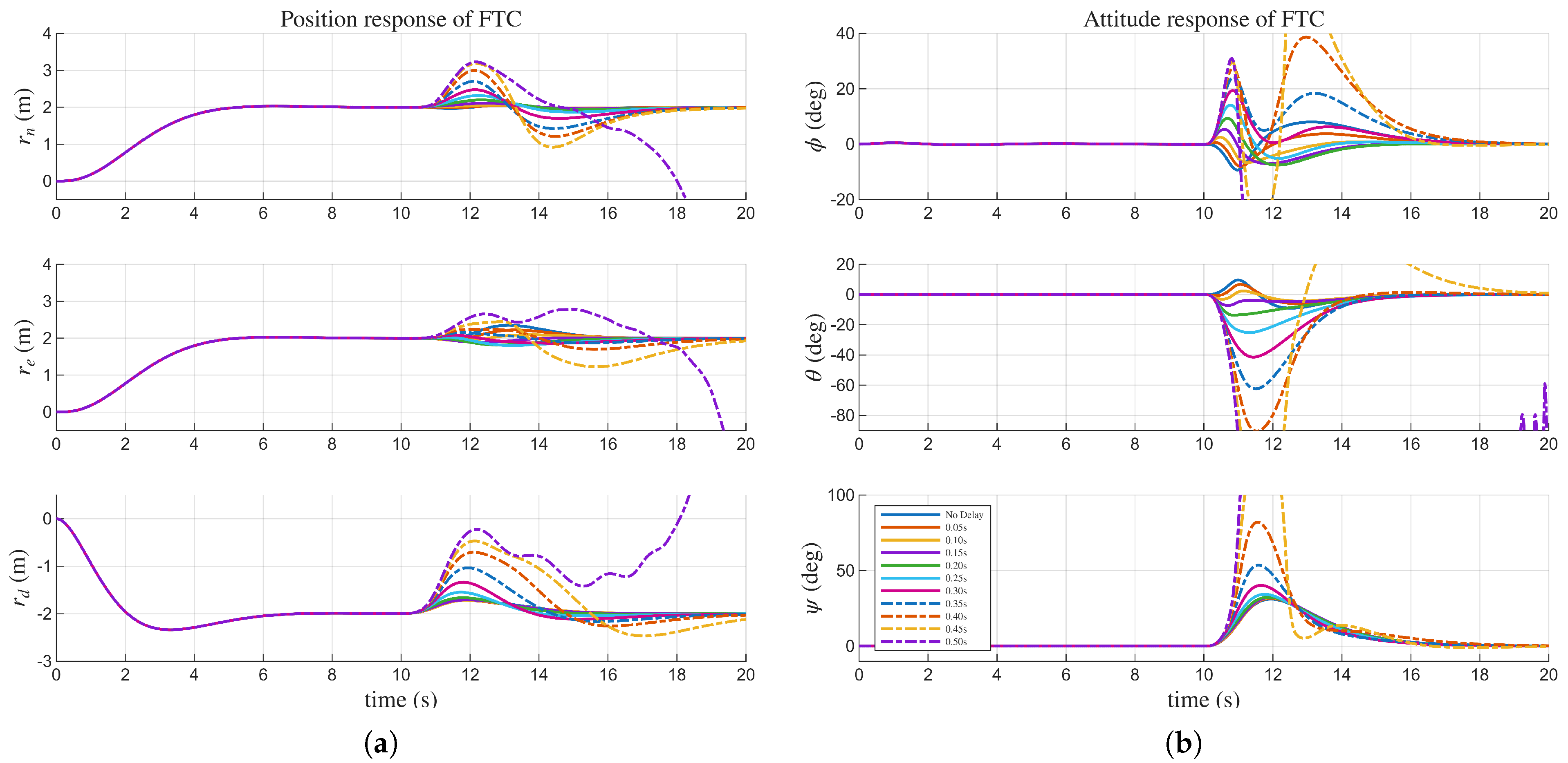
4. Numerical Simulation
5. Discussion
6. Conclusions
Author Contributions
Funding
Data Availability Statement
Conflicts of Interest
Abbreviations
| MAS | Morphing Aerial System |
| UAVs | Unmanned Aerial Vehicles |
| PWM | Pulse Width Modulation |
| RMS | Root Mean Square |
| LQR | Linear Quadratic Regulator |
| EKF | Extended Kalman Filter |
| GPS | Global Positioning System |
| FTC | Fault Tolerant Control |
| CoG | Center of Gravity |
| NED | North–East–Down |
Appendix A
References
- Omar, H.M.; Mukras, S.M.S. Integrating anti-swing controller with px4 autopilot for quadrotor with suspended load. J. Mech. Sci. Technol. 2022, 36, 1511–1519. [Google Scholar] [CrossRef]
- Kangunde, V.; Jamisola, R.S., Jr.; Theophilus, E.K. A review on drones controlled in real-time. Int. J. Dyn. Control 2021, 9, 1832–1846. [Google Scholar] [CrossRef] [PubMed]
- Luppicini, R.; So, A. A technoethical review of commercial drone use in the context of governance, ethics, and privacy. Technol. Soc. 2016, 46, 109–119. [Google Scholar] [CrossRef]
- Peng, F.; Gao, Q.; Lu, H.; Bu, Z.; Jia, B.; Liu, G.; Tao, Z. Trajectory Tracking Control Method via Simulation for Quadrotor UAVs Based on Hierarchical Decision Dual-Threshold Adaptive Switching. Appl. Sci. 2025, 15, 11217. [Google Scholar] [CrossRef]
- Jafari-Shahbazzadeh, Z.; Binesh, A. Precision Landing Techniques for Drones: A Comprehensive Review. Iran. J. Sci. Technol. Trans. Mech. Eng. 2025, 1–28. [Google Scholar] [CrossRef]
- Wu, Y.-T.; Qin, Z.; Eizad, A.; Lyu, S.-K. Numerical investigation of the mechanical component design of a hexacopter drone for real-time fine dust monitoring. J. Mech. Sci. Technol. 2021, 35, 3101–3111. [Google Scholar] [CrossRef]
- Wang, Y.; Liu, C.; Zhang, K. A Novel Morphing Quadrotor UAV with Sarrus-Linkage-Based Reconfigurable Frame. In Proceedings of the 6th International Conference on Reconfigurable Mechanisms and Robots (ReMAR), Chicago, IL, USA, 23–26 June 2024. [Google Scholar]
- Riviere, V.; Manecy, A.; Viollet, S. Agile robotic fliers: A morphing-based approach. Soft Robot. 2018, 5, 541–553. [Google Scholar] [CrossRef]
- Tian, H.; Zhang, Z.; Zhou, Z.; Zhang, W.; Zhang, M.; Su, X. Design and optimization of self-foldable and self-deployable mechanism for portable drone arm. J. Mech. Sci. Technol. 2025, 1–15. [Google Scholar] [CrossRef]
- Derrouaoui, S.H.; Bouzid, Y.; Doula, A.; Boufroua, M.A.; Belmouhoub, A.; Guiatni, M.; Hamissi, A. Trajectory tracking control of a morphing UAV using radial basis function artificial neural network based fast terminal sliding mode: Theory and experimental. Aerosp. Sci. Technol. 2024, 155, 109719. [Google Scholar] [CrossRef]
- Rodrigue, H.; Cho, S.; Han, M.-W.; Bhandari, B.; Shim, J.-E.; Ahn, S.-H. Effect of twist morphing wing segment on aerodynamic performance of UAV. J. Mech. Sci. Technol. 2016, 30, 229–236. [Google Scholar] [CrossRef]
- Hamaza, S.; Kovac, M. Omni-drone: On the design of a novel aerial manipulator with omni-directional workspace. In Proceedings of the 17th International Conference on Ubiquitous Robots (UR), Kyoto, Japan, 22–26 June 2020. [Google Scholar]
- Brescianini, D.; D’Andrea, R. Design, modeling and control of an omni-directional aerial vehicle. In Proceedings of the IEEE International Conference on Robotics and Automation (ICRA), Stockholm, Sweden, 16–21 May 2016. [Google Scholar]
- Kamel, M.; Verling, S.; Elkhatib, O.; Sprecher, C.; Wulkop, P.; Taylor, Z.J.; Siegwart, R.; Gilitschenski, I. The voliro omniorientational hexacopter: An agile and maneuverable tiltable-rotor aerial vehicle. IEEE Robot. Autom. Mag. 2018, 25, 34–44. [Google Scholar] [CrossRef]
- Hwang, S.; Lee, D.; Kim, C.; Kim, H.J. Autonomous heavy object pushing using a coaxial tiltrotor. IEEE Trans. Autom. Sci. Eng. 2024, 22, 4243–4256. [Google Scholar] [CrossRef]
- Lee, D.; Kim, B.; Kim, H.J. Autonomous Aerial Manipulation at Arbitrary Pose in SE (3) with Robust Control and Whole-body Planning. arXiv 2025, arXiv:2508.19608. [Google Scholar]
- Zhao, M.; Anzai, T.; Shi, F.; Chen, X.; Okada, K.; Inaba, M. Design, modeling, and control of an aerial robot dragon: A dual-rotor-embedded multilink robot with the ability of multi-degree-of-freedom aerial transformation. IEEE Robot. Autom. Lett. 2018, 3, 1176–1183. [Google Scholar] [CrossRef]
- Hu, D.; Pei, Z.; Shi, J.; Tang, Z. Design, modeling and control of a novel morphing quadrotor. IEEE Robot. Autom. Lett. 2021, 6, 8013–8020. [Google Scholar] [CrossRef]
- Pastor, D.; Izraelevitz, J.; Nadan, P.; Bouman, A.; Burdick, J.; Kennedy, B. Design of a ballistically-launched foldable multirotor. In Proceedings of the IEEE/RSJ International Conference on Intelligent Robots and Systems (IROS), Macau, China, 3–8 November 2019. [Google Scholar]
- Wu, Z.; Huang, K.; Zhang, J. Modelling, Design, and Control of a Central Motor Driving Reconfigurable Quadcopter. Drones 2025, 9, 736. [Google Scholar] [CrossRef]
- Shehu, I.A.; Haruna, Z.; Mu’azu, M.B.; Abdurrazaq, M.B.; Wahab, N.A.; Umar, A. Robust Backstepping Sliding Mode Control for a Morphing Quadcopter UAV. In Proceedings of the 5th International Electronic Conference on Applied Sciences, Virtual, 4–6 December 2024. [Google Scholar]
- Bucki, N.; Mueller, M.W. Design and control of a passively morphing quadcopter. In Proceedings of the International Conference on Robotics and Automation (ICRA), Montreal, QC, Canada, 20–24 May 2019. [Google Scholar]
- Falanga, D.; Kleber, K.; Mintchev, S.; Floreano, D.; Scaramuzza, D. The foldable drone: A morphing quadrotor that can squeeze and fly. IEEE Robot. Autom. Lett. 2018, 4, 209–216. [Google Scholar] [CrossRef]
- Ryll, M.; Bulthoff, H.H.; Giordano, P.R. Modeling and control of a quadrotor UAV with tilting propellers. In Proceedings of the IEEE International Conference on Robotics and Automation, Saint Paul, MN, USA, 14–18 May 2012. [Google Scholar]
- Zhong, Y.; Chen, X.; Li, P.; Hou, P.; Wang, Z.; Nie, K. Active Fault-Tolerant Cooperative Control for Multi-QUAVs Using Relative Measurement Information. Drones 2025, 9, 699. [Google Scholar] [CrossRef]
- Yoon, J.; Kim, M.; Bang, J.; Kim, S.; Doh, J. Improvement of hovering stability for UAVs under crosswinds via evolutionary learning-based optimal PID control. J. Mech. Sci. Technol. 2025, 39, 2151–2162. [Google Scholar] [CrossRef]
- Kubacki, R.; Przesmycki, R.; Bugaj, M.; Laskowski, D. Investigation on Electromagnetic Immunity of Unmanned Aerial Vehicles in Electromagnetic Environment. Electronics 2025, 14, 4332. [Google Scholar] [CrossRef]
- Beard, R.W.; McLain, T.W. Small Unmanned Aircraft: Theory and Practice; Princeton University Press: Princeton, NJ, USA, 2012; pp. 28–39. [Google Scholar]
- Nan, F.; Sun, S.; Foehn, P.; Scaramuzza, D. Nonlinear MPC for quadrotor fault-tolerant control. IEEE Robot. Autom. Lett. 2022, 7, 5047–5054. [Google Scholar] [CrossRef]
- Baidya, B.; Mondal, A.; Manna, S.; Das, G.; Santra, A.; Chakraborty, A. Enhanced UAV Tracking through Multi-Sensor Fusion and Extended Kalman Filtering. In Proceedings of the Sixth Doctoral Symposium on Intelligence Enabled Research, Sukanta Mahavidyalaya, Dhupguri, India, 28–29 November 2024. [Google Scholar]
- Zarchan, P. Progress in Astronautics and Aeronautics: Fundamentals of Kalman Filtering: A Practical Approach; AIAA: Reston, VA, USA, 2005; Volume 208. [Google Scholar]
- Inyoung, J.; Jonghyun, W. Morphing Drone Failsafe Gazebo Simulation. Available online: https://www.youtube.com/watch?v=Sj3WPfR2m7s (accessed on 10 July 2025).
- van Schijndel, B.S.; Sun, S.; de Visser, C. Fast fault detection on a quadrotor using onboard sensors and a kalman filter approach. arXiv 2021, arXiv:2102.06439. [Google Scholar] [CrossRef]
- Li, Y.; Zhu, X.; Wang, F.; Wang, B.; Qi, R. Real-time actuator fault detection and isolation for quadrotor UAV via directional residuals. Meas. Sci. Technol. 2024, 36, 016227. [Google Scholar] [CrossRef]
- Li, H.; Jia, Q.; Ma, R.; Chen, X. Observer-based robust actuator fault isolation and identification for microsatellite attitude control systems. Aircr. Eng. Aerosp. Technol. 2021, 93, 1145–1155. [Google Scholar] [CrossRef]
- Sadiq, M.; Hayat, R.; Zeb, K.; Al-Durra, A.; Ullah, Z. Robust feedback linearization based disturbance observer control of quadrotor UAV. IEEE Access 2024, 12, 17966–17981. [Google Scholar] [CrossRef]
- Cai, Z.; Zhang, S.; Jing, X. Model predictive controller for quadcopter trajectory tracking based on feedback linearization. IEEE Access 2021, 9, 162909–162918. [Google Scholar] [CrossRef]
- Inyoung, J.; Jonghyun, W. Morphing-Drone. Available online: https://github.com/CAU-AISL/Morphing-Drone (accessed on 28 October 2025).













| Symbol | Definition |
|---|---|
| Inertial frame | |
| Body-fixed frame of morphing drone | |
| i-th arm-fixed frame | |
| i-th propeller/tilt-rotor frame | |
| Rotation matrix from body frame to world frame | |
| Rotation matrix from arm frame to body frame | |
| Rotation matrix from propeller frame to arm frame |
| Descriptions | Symbols | Values |
|---|---|---|
| Total mass | m (kg) | |
| Body Inertia | () | 13.138 × |
| Body Inertia | () | 16.558 × |
| Body Inertia | () | 21.621 × |
| Arm Inertia | () | 21.911 × |
| Arm Inertia | () | 39.866 × |
| Arm Inertia | () | 33.293 × |
| Arm Inertia | () | 61.312 × |
| Thrust coefficient | () | 24.966 × |
| Torque coefficient | () | 47.554 × |
| Descriptions | Symbols | Values |
|---|---|---|
| Initial position in | (m) | |
| Initial attitude | (deg) | |
| Initial flare angles | (deg) | |
| Initial tilt angles | (deg) | |
| Initial rotor speeds | () | |
| State weight matrix of X, H, O-modes | diag() | |
| State weight matrix of Y-mode | diag() | |
| Input weight matrix | diag() | |
| Motor fail time | (s) | 10 |
| Model Name | Stall Torque | No Load Speed |
|---|---|---|
| XC430-W150-T | 1.60 (Nm) | 106 (rpm) |
| XC330-M288-T | 0.93 (Nm) | 81 (rpm) |
| Mode | Overshoot (m) | Settling Time (s) | RMS Error (m) |
|---|---|---|---|
| X-mode | [0.0221, 0.2133, 0.0642] | [8.9210, 8.5443, 9.5971] | [0.6070, 0.6007, 0.4787] |
| O-mode | [0.0197, 0.0209, 0.3172] | [5.1035, 4.7383, 6.3707] | [0.6184, 0.5902, 0.4050] |
| H-mode | [0.0427, 0.0130, 0.3288] | [7.1144, 5.3099, 6.2081] | [0.6241, 0.6284, 0.4052] |
| Y-mode 1 FTC | [0.0291, 0.3526, 0.2831] | [3.3944, 5.9891, 5.1087] | [0.6021, 0.6106, 0.4160] |
| Mode | Overshoot (deg) | Settling Time (s) | RMS Error (deg) |
|---|---|---|---|
| X-mode | [1.5881, 0.5744, 4.0381] | [9.8969, 5.5308, 14.993] | [5.6208, 8.9305, 1.4571] |
| O-mode | [2.4197, 4.5404, 2.1412] | [7.8200, 6.2211, 8.7212] | [0.7225, 1.4106, 0.9808] |
| H-mode | [2.6872, 2.7161, 4.7200] | [12.231, 6.0212, 9.344] | [0.9466, 0.8865, 2.6859] |
| Y-mode 1 FTC | [8.0084, 9.0691, 31.111] | [6.3341, 4.9682, 6.8465] | [0.4160, 0.0540, 0.1700] |
Disclaimer/Publisher’s Note: The statements, opinions and data contained in all publications are solely those of the individual author(s) and contributor(s) and not of MDPI and/or the editor(s). MDPI and/or the editor(s) disclaim responsibility for any injury to people or property resulting from any ideas, methods, instructions or products referred to in the content. |
© 2025 by the authors. Licensee MDPI, Basel, Switzerland. This article is an open access article distributed under the terms and conditions of the Creative Commons Attribution (CC BY) license.
Share and Cite
Woo, J.; Jung, I.; Kim, Y.; Lee, S. A Comprehensive Framework for Modelling and Control of Morphing Quadrotor Drones. Aerospace 2026, 13, 5. https://doi.org/10.3390/aerospace13010005
Woo J, Jung I, Kim Y, Lee S. A Comprehensive Framework for Modelling and Control of Morphing Quadrotor Drones. Aerospace. 2026; 13(1):5. https://doi.org/10.3390/aerospace13010005
Chicago/Turabian StyleWoo, Jonghyun, Inyoung Jung, Yeongho Kim, and Seokwon Lee. 2026. "A Comprehensive Framework for Modelling and Control of Morphing Quadrotor Drones" Aerospace 13, no. 1: 5. https://doi.org/10.3390/aerospace13010005
APA StyleWoo, J., Jung, I., Kim, Y., & Lee, S. (2026). A Comprehensive Framework for Modelling and Control of Morphing Quadrotor Drones. Aerospace, 13(1), 5. https://doi.org/10.3390/aerospace13010005

