Next Article in Journal
Research on Shockwave/Boundary Layer Interactions Induced by Double Compression Corners Under Hypersonic Quiet and Noise Inflow Conditions
Previous Article in Journal
Effect of Injector Recess Depth on Flame Structure of Single Injector in Air Heater
Previous Article in Special Issue
Multi-Stage Coordinated Azimuth Control for High-Precision Balloon-Borne Astronomical Platforms
 
 
Font Type:
Arial Georgia Verdana
Font Size:
Aa Aa Aa
Line Spacing:
Column Width:
Background:
Article

Lateral Stability Analysis of Tethered Aerostat System

1
Aerospace Information Research Institute, Chinese Academy of Sciences, Beijing 100094, China
2
University of Chinese Academy of Sciences, Beijing 100190, China
*
Author to whom correspondence should be addressed.
Aerospace 2026, 13(1), 19; https://doi.org/10.3390/aerospace13010019
Submission received: 10 November 2025 / Revised: 13 December 2025 / Accepted: 13 December 2025 / Published: 25 December 2025

Abstract

Tethered aerostats serve as critical platforms for aerial observation and communication; however, research on their lateral stability under varying wind conditions remains limited. In this study, a comprehensive approach combining dynamic modeling and computational fluid dynamics (CFD) simulations is employed to systematically analyze the lateral dynamic characteristics of an inverted Y-tail tethered aerostat. A nonlinear lateral dynamic model incorporating aerodynamic effects and added inertial terms is developed, and transient CFD simulations are conducted to examine the system’s dynamic responses under different wind directions and wind speeds. The study particularly evaluates the influence of key parameters such as payload position and the main tether point configuration. The results indicate that optimizing payload distribution can significantly enhance stability, manifested by reductions in yaw peaks and roll oscillation amplitudes. Furthermore, it is found that the yaw motion is more sensitive to wind-direction variations, while the roll motion is influenced by the coupled effects of both wind speed and direction. This research provides a valuable theoretical basis and a validated simulation framework for improving the structural design and operational stability of tethered aerostat systems in realistic wind environments.

1. Introduction

In recent years, tethered aerostats have been widely employed in meteorological observation, ground monitoring, and wireless communication due to their exceptional aerial stability [1,2,3,4,5]. Such systems are typically characterized by large volumes, low densities, and concentrated mass distributions, making them susceptible to significant wind loads and inertial effects during low-altitude operations. Investigating the dynamic response of tethered aerostats under various inflow conditions is therefore essential for assessing overall system stability, enhancing operational safety, and guiding structural optimization.
In terms of theoretical modeling, P. Coulombe-Pontbriand et al. [6] analyzed the dynamic characteristics of a single-tethered spherical aerostat through experimental setup and testing. Zhang et al. [7] developed a three-dimensional nonlinear dynamic model to investigate the influence of wind speed on both longitudinal and lateral stability, and validated the model through time-domain response analysis. Jia et al. [8] derived the longitudinal equations of motion to study the modal characteristics of the system under different wind conditions and explored the effect of aerodynamic configuration on stability. Zhang et al. [9] established a static model for tandem high-altitude tethered aerostats and formulated the corresponding equilibrium control equations.
In the field of dynamic simulation, various numerical modeling approaches have been proposed. G. S. Aglietti [10] developed a three-dimensional dynamic finite element model to simulate system responses under gust loads. S. Badesha [11] constructed a two-dimensional dynamic simulation model to analyze system behavior in extreme wind conditions such as thunderstorms. E. Kassarian et al. [12] proposed a coupled pendulum–torsion dynamic model focusing on the stability of the aerostat–gondola system. P. Williams et al. [13] employed the lumped-mass method to establish a dynamic model of a variable-length flexible tether system. Yan et al. [14] designed both simulation and physical models for a tethered fixed-wing UAV system to capture key features of its dynamic response. Lai et al. [15] further extended the research framework by developing a three-dimensional dynamic model based on multibody dynamics theory to describe the interaction between the tethered aerostat and the flexible cable.
At present, studies on the stability of tethered aerostats are primarily focused on mathematical modeling approaches. In terms of simulation, most existing research simplifies the aerostat as a point mass, emphasizing the overall stability of the aerostat–tether system, while the dynamic simulation of lateral motion characteristics remains largely unexplored. To address this research gap, the present study investigates a single-tether aerostat equipped with an inverted Y-tail that exhibits a pronounced weathervane effect, and its lifting gas is helium. In wind environments, such aerostats generally display two primary motion modes: longitudinal motion in the oxy plane and lateral motion in the oxz plane. Owing to the structural symmetry of the system about its central plane, the coupling between longitudinal and lateral motions can be neglected [16], enabling effective decoupling of the two motions.
Considering that Pang et al. [17] has conducted a comprehensive investigation on the longitudinal motion of tethered aerostats, this paper focuses on the problem of lateral stability and develops a dynamic model within the lateral plane. Meanwhile, given the maturity of computational fluid dynamics (CFD) simulation techniques, which can accurately reproduce complex flow–structure interactions [18,19,20,21,22,23,24], CFD methods are employed in this study to simulate the dynamic responses of the aerostat under varying wind directions and wind speeds.
A systematic analysis is then performed to evaluate the effects of key parameters—such as load position and the main tether point configuration—on the system’s time-domain response, from which optimal configurations for stable operation are identified. The findings provide both theoretical support and practical guidance for engineering applications of tethered aerostats. The remainder of this paper is organized as follows: Section 2 describes the dynamic modeling process of the tethered aerostat system under steady operating conditions, including detailed analyses of external aerodynamic forces and tether tensions. Section 3 presents CFD-based numerical simulations integrated with the dynamic model, verifying model validity and examining the system’s dynamic responses under different wind conditions. Finally, Section 4 summarizes the main findings of this study. Table 1 lists the main symbols and their definitions used in this study.

2. Kinetic Dynamics Model

In studying the lateral stability of a single-tether aerostat with an inverted Y-tail, it is found that under unsteady inflow conditions the system primarily exhibits two motion modes: roll and yaw [25]. To accurately describe the system’s dynamic behavior, two right-handed coordinate systems are defined in this work. The body-fixed coordinate system, S b o b x b y b z b , has its origin o b located at the center of the aerostat, with the x b -axis pointing toward the nose, the y b -axis oriented vertically upward within the longitudinal symmetry plane, and the z b -axis determined according to the right-hand rule. The inertial coordinate system, S o x y z , shares the same origin as the body-fixed system, where the x-axis lies parallel to the ground in the longitudinal plane and points toward the nose, the y-axis is directed vertically upward, and the z-axis is defined by the right-hand rule. This inertial coordinate system remains fixed and does not vary with the aerostat’s attitude. The two coordinate systems are illustrated in Figure 1, where θ, ψ, and φ denote the pitch, yaw, and roll angles, respectively. The transformation from coordinate system S to S b is achieved through three successive fundamental rotations: first, a rotation by the roll angle φ about the x-axis; second, a rotation by the yaw angle ψ about the newly generated y′-axis; and finally, a rotation by the pitch angle θ about the z b -axis. The corresponding coordinate transformation matrix can thus be expressed as:
L b = cos θ cos ψ cos θ sin ψ sin θ ( sin φ sin θ cos ψ cos φ sin ψ ) ( sin φ sin θ sin ψ + cos φ cos ψ ) sin φ cos θ ( cos φ sin θ cos ψ + sin φ sin ψ ) ( cos φ sin θ sin ψ sin φ cos ψ ) cos φ cos θ

2.1. Dynamic Analysis

During operation, the tethered aerostat is subjected not only to its own weight F G , buoyant force F B , payload weight F G L , and tether tension F T , but also to aerodynamic forces and moments. The force distribution acting on the tethered aerostat is illustrated in Figure 2. In the body-fixed coordinate system S b , the gravitational force and moment of the tethered aerostat can be expressed as follows:
F G = L b 0 m g 0 T
Μ G = R G × F G
where g is the gravitational acceleration, m is the mass of the aerostat envelope, and R G   = x G y G z G T denotes the position vector of the aerostat’s center of gravity in the body-fixed coordinate system.
Figure 2. Forces and moments on tethered aerostat. (a) in yaw; (b) in roll. The buoyant force and buoyant moment are given as:
Figure 2. Forces and moments on tethered aerostat. (a) in yaw; (b) in roll. The buoyant force and buoyant moment are given as:
Aerospace 13 00019 g002
F B = L b 0 ρ a ρ b g V b 0 T
M B = R B × F B
where ρ a is the atmospheric density at the operating altitude of the tethered aerostat, ρ b is the average density of the aerostat, and V b denotes the volume of the aerostat. R B   = x B y B z B T represents the position vector of the aerostat’s center of buoyancy in the body-fixed coordinate system.
The payload weight and the corresponding gravitational moment are expressed as:
F G L = L b 0 m l g 0 T
M G L = R G L × F G L
where m l denotes the payload mass, and R GL   =   x G L y G L z G L T represents the position vector of the payload’s center of gravity in the body-fixed coordinate system. Since translational motion of the tethered aerostat is neglected in this study, the tether is assumed to exert tension only along the y-direction.
The tether tension and the corresponding moment can be expressed as:
F T = L b 0 T d 0 T
M T = R T × F T
where Td is the tether tension, and R T   =   x T y T z T T represents the position vector of the main tether point in the body-fixed coordinate system.
When subjected to airflow disturbances, the tethered aerostat undergoes rolling motion, as the points of application of various forces deviate from the longitudinal symmetry plane, thereby generating rolling moments that are functions of the roll angle φ. For convenience, the gravitational moment, buoyant moment, payload gravitational moment, and tether tension moment are collectively referred to as the restoring rolling moment:
L φ = M G + M B + M G Z + M T
The aerodynamic force F Λ acting on the tethered aerostat consists of the drag force F d , lift force F l , and side force F c . The aerodynamic moment M Λ includes the rolling moment L Λ , yawing moment N Λ , and pitching moment M Λ .This study primarily investigates the lateral response of the tethered aerostat. In addition to the external moment induced by rolling motion, the aerodynamic yawing and rolling moments also exert significant influence on the aerostat’s lateral response. Under low wind-speed conditions (≤20 m/s), the flow around the tethered aerostat remains largely attached, and the baseline flow field is stable. Consequently, the aerodynamic force and moment responses of the system satisfy the fundamental assumptions of small-perturbation motion. The expressions for the yawing and rolling moments are therefore given as follows:
L Λ = 1 2 ρ a C l v Λ 2 V b N Λ = 1 2 ρ a C n v Λ 2 V b
where L Λ denotes the rolling moment, N Λ the yawing moment, C l the rolling moment coefficient, C n the yawing moment coefficient, v Λ the airspeed of the tethered aerostat relative to the incoming flow.
The tethered aerostat typically exhibits unsteady motion during operation. In addition to steady aerodynamic forces, the influence of unsteady aerodynamics must also be accounted for, and its evaluation likewise adheres to the assumptions of small-perturbation theory.
L φ d φ d t = 1 2 ρ a C d φ v Λ 2 V b N ψ d ψ d t = 1 2 ρ a C d ψ v Λ 2 V b
where N ψ d ψ d t denotes the damping moment generated by the tail fins during yaw motion, while L φ d φ d t represents the aerodynamic damping moment acting on the tail fins during roll motion. C d φ and C d ψ are the roll and yaw damping coefficients, respectively.
This study primarily focuses on the variation trends of the aerostat’s yaw and roll angles, while the translational motion and velocity of the center of the aerostat are neglected. In the body-fixed coordinate system, the linear and angular momentum of the tethered aerostat can be expressed as:
p = m ( v K + ω × R G )
L = I ω + m R G × v K
where v K represents the ground-relative velocity of the center of the aerostat, ω = d θ d t d ψ d t d φ d t T denotes the angular velocity vector of the aerostat, and I is the moment of inertia matrix of the aerostat with respect to its center of the aerostat o b in the body-fixed coordinate system.
According to the theorem of linear and angular momentum, the following governing equation can be derived:
d p d t b + ω × p = F G + F B + F G L + F T + F Λ
d L d t b + ω × L = M G + M B + M G L + M T + M Λ
where d d t b denotes the local derivative of momentum and angular momentum in the body-fixed coordinate system.
The rate of change in the aerostat mass has a negligible influence on its dynamics; therefore, adopting a constant-mass dynamic model is considered reasonable. Substituting Equations (13) and (14) into Equations (15) and (16), respectively, yields the following matrix form:
m 0 0 0 m 0 0 0 m d d t b u v w + 0 m y B 0 m y B 0 m x B 0 m x B 0 d d t b p b r b q b + 0 m q b m r b m q b 0 m p b m r b m p b 0 u v w + m y B q b m x B r b m x B q b 0 m x B p b + m y B q b 0 m y B p b m y B r b m x B p b p b r b q b = F x F y F z
0 m y B 0 m x B 0 m x B 0 m x B 0 d d t b u v w + I x 0 I x y 0 I z 0 I x y 0 I y d d t b p b r b q b + m y B q b 0 m y B p b m x B r b m x B p b m y B q b m y B r b m x B q b 0 m x B p b u v w + I x y r b I z q b I y r b I x y p b + I x q b 0 I y p b I x y q b I x r b I z p b I x y r b p b r b q b = L N M

2.2. Dynamic Modeling

The lateral dynamic response of a tethered aerostat is primarily manifested in two motion modes: yaw and roll. Under crosswind conditions, due to the aerodynamic configuration of the tail fins, the aerostat tail experiences significant aerodynamic drag, which tends to align the system with the wind direction. Meanwhile, the inertia effect of the tail fins during rotation generates aerodynamic damping, giving rise to yaw oscillations. In addition, the Y-shaped tail configuration causes asymmetric aerodynamic loading on the upper, lower, and lateral fins, thereby inducing roll oscillations. These two motion modes exhibit a distinct dynamic coupling effect, as shown in Figure 3.
Under low-speed inflow conditions, the yaw motion can be approximated as a single-degree-of-freedom vibration system with damping. For the roll motion, within the oyz plane of the body-fixed coordinate system, the system is subjected to the combined effects of the roll-restoring moment L φ and the aerodynamic rolling moment L Λ , which together form the excitation loads that drive roll oscillations. Given that the translational degrees of freedom at the tether attachment point are constrained in this study—effectively neglecting the overall translational motion of the aerostat—and that the analysis focuses on the lateral dynamic characteristics of the system, pitching motion is also excluded from the scope of this work. On this basis, Equations (17) and (18) can be further simplified. The simplified form leads to Equation (19), which represents a coupled vibration equation governing the yaw and roll dynamics, capturing the dominant dynamic modes of the system within the lateral plane.
J ψ d 2 ψ d t 2 + N ψ d ψ d t + N Λ M N + M φ = 0 J φ d 2 φ d t 2 + L φ d φ d t + L Λ + L φ M L + M ψ = 0
where J ψ denotes the moment of inertia of the tethered aerostat about the main tether point, and J φ represents the moment of inertia about the center of the aerostat. M N and M L denote the added inertia moments associated with yaw and roll motions, respectively. M φ represents the coupling effect of the roll angle on yaw motion, and M ψ represents the influence of the yaw angle on roll motion.

2.3. Added Mass Calculation

The tethered aerostat system is characterized by a large volume and significant inertial effects, making it essential to account for the influence of added inertial forces in lateral stability analyses [26]. When a body undergoes unsteady motion in an ideal fluid, it experiences an added inertial force (or moment) that is proportional to its acceleration and acts in the opposite direction. The proportionality coefficient is referred to as the added mass (or added moment of inertia). The magnitude of this parameter depends on the ambient fluid density, the geometric configuration of the tethered aerostat, and the direction of its motion in the coordinate system.
In the six-degree-of-freedom dynamic model of the tethered aerostat, each degree of freedom is associated with a corresponding added mass or added moment of inertia. To focus on the analysis of lateral stability, the model is reasonably simplified in this study: (i) added-mass effects associated with global translational motion are neglected, and (ii) added inertial terms related to pitching motion are omitted. The primary emphasis is placed on computing the added inertial moments directly induced by yawing and rolling motions, enabling accurate characterization of the lateral coupled dynamic behavior. The simplified expressions for the added inertial moments are given as follows:
M L = λ 44 d 2 φ d t 2 M N = λ 55 d 2 ψ d t 2
where λ 44 and λ 55 represent the added moments of inertia corresponding to the ox and oy directions, respectively.
The precise calculation of added mass is applicable only to a limited number of geometrically simple bodies, such as disks, spheres, ellipsoids, and elliptical surfaces. Various methods have been proposed for evaluating the added mass of airships. In this study, the estimation of the tethered aerostat’s added mass follows the approximate method recommended in Ref. [27]. This method is applicable to flight vehicles with a slenderness ratio of L D < 5 . Specifically, the aerostat envelope is approximated as an ellipsoid, whose major and minor axes correspond to the aerostat length and maximum diameter, respectively. Meanwhile, the three tail fins are individually simplified as thin-plate models. This simplification is based on potential-flow theory, and its applicability is supported by two considerations: First, the spacing between the tail fins is sufficiently large that aerodynamic interference remains weak, satisfying the condition of approximate independence. Second, under the low wind-speed conditions of interest (≤20 m/s), the flow over the tail fins remains largely attached, and strong unsteady vortex–wake coupling between the fins and the aerostat envelope does not arise. Consequently, the wake-induced influence on the fins’ added mass (potential-flow inertia) can be considered a second-order effect.
By simplifying the aerostat envelope as an ellipsoid, the added mass can be expressed as:
λ 44 B = K 44 ρ a V b 5 3 λ 55 B = K 55 ρ a V b 5 3
where V b is the volume of the ellipsoid, K j j denotes the dimensionless coefficient of the added moment of inertia.
Reference [27] provides the corresponding dimensionless coefficients of added mass for the aerostat envelope, as listed in Table 2.
Next, the tail fins are considered and approximated as thin flat plates. The calculation method for the added mass of the tail fins is given in Ref. [28]:
λ 22 F = π ρ s x ¯ 2 c 1 2 r s x ¯ 2 + r s x ¯ 4 λ 44 F = 3 λ 22 F y C F 2 λ 55 F = 2.414 λ 22 F x C F 2
where λ 22 F represents the added mass generated when the tail fins accelerate in the y-direction, λ 44 F denotes the added mass of the three fins rotating about the center of the aerostat in the x-axis, λ 55 F corresponds to that for rotation in the y-axis, s is the height of the tail fin, c is the mean aerodynamic chord of the tail fin, and r is the corresponding radius of the aerostat envelope, s ( x ¯ ) denotes the geometric size at the fin’s centroid, while r s ( x ¯ ) represents the geometric ratio r ( x ) s ( x ) evaluated at the fin centroid. y C F and x C F are the distances from the fin centroid to the x b -axis and to the y b -axis, respectively, as shown in Figure 4.
By summing the added mass contributions of the aerostat envelope and the tail fins, the total added mass (or added moment of inertia) of the tethered aerostat in the ox- and oy-directions can thus be obtained.
λ 44 = λ 44 B + λ 44 F λ 55 = λ 55 B + λ 55 F

3. Simulation of Tethered Aerostat System

3.1. Fitting of Aerodynamic Coefficients

For complex aerodynamic geometries, two primary approaches are commonly used to determine aerodynamic coefficients: numerical simulation and wind tunnel testing [29]. In this study, computational fluid dynamics (CFD) is employed using the ANSYS Fluent solver (version 2021 R1) to investigate the variation in the aerodynamic coefficients of a tethered aerostat with respect to the yaw angle.
A representative tethered aerostat configuration is selected as the research model. Because the tethered aerostat maintains a relatively high internal overpressure under normal operating conditions, and its large geometric scale renders small envelope deformations negligible—these deformations being higher-order effects compared with the aerostat’s overall motion—the aerostat is modeled as a rigid body in the simulation [30], and structural deformation is neglected. Considering that its operational wind speed generally remains below 50 m/s (approximately 0.15 Ma), the effects of air compressibility can be ignored.
Considering that the wake region generated by a solid body may extend several times the characteristic length [31], a large-scale computational domain encompassing both the aerostat and its wake is established. Due to the viscous effects of the fluid, a pronounced boundary layer forms around the aerostat surface. Using y +   =   5 to determine the boundary-layer mesh parameters [32], the fundamental parameters of the tethered-aerostat simulation model and the boundary-layer settings are summarized in Table 3. To capture this effect accurately, an overset grid technique [33] is adopted, in which a cylindrical subdomain surrounding the aerostat is embedded within the main flow field. Data transfer between the two domains is achieved via grid-node interpolation, while local mesh refinement is applied in the subdomain to resolve the boundary layer and near-field flow structures, ensuring high accuracy and reliability of the simulation results.
The turbulence model adopted in this study is the shear-stress transport k–ω (SST k–ω) model. This model employs the k–ω formulation in the near-wall region to accurately resolve boundary-layer flows, while automatically transitioning to the k–ε formulation in the far field to ensure numerical stability [34]. Its built-in shear-stress limiter allows more accurate prediction of flow separation induced by adverse pressure gradients. For bluff bodies such as tethered aerostats operating at high Reynolds numbers—where complex separated flows, vortex shedding, and broad wakes are prominent—the SST k–ω model has been widely validated as a reliable choice, capable of accurately predicting aerodynamic loads and separation characteristics.
During normal operation, the pitch angle of the tethered aerostat typically ranges from 5° to 8° [35], within which its aerodynamic performance is optimal. Accordingly, a fixed pitch angle of 5° is adopted for subsequent analyses.
To evaluate the independence of the simulation results from mesh resolution, a computational model was established and tested using three mesh densities for grid-independence verification. The incoming flow velocity is set to 10 m/s, with an initial wind direction of φ w = 10 ° . As shown in Table 4, when the mesh count increases from 1.9 million to 3.3 million, the variations in key physical quantities are relatively significant. However, further increasing the mesh to 5.7 million yields only minor differences compared with the 3.3-million mesh, indicating that the solution has effectively converged at this resolution. Therefore, considering both computational accuracy and efficiency, the mesh with 3.3 million cells was selected for the subsequent numerical simulations.
Four inflow velocities—1 m/s, 5 m/s, 10 m/s, and 20 m/s—were selected to examine the sensitivity of aerodynamic coefficients to the Reynolds number. The results, summarized in Table 5, show that all errors remain at very small magnitudes. Given the large characteristic size of the tethered aerostat, the Reynolds numbers corresponding to its operational inflow velocities (1 m/s to 20 m/s) are far above the transitional Reynolds number. This indicates that the flow field remains in a fully developed turbulent regime throughout the entire operating range.
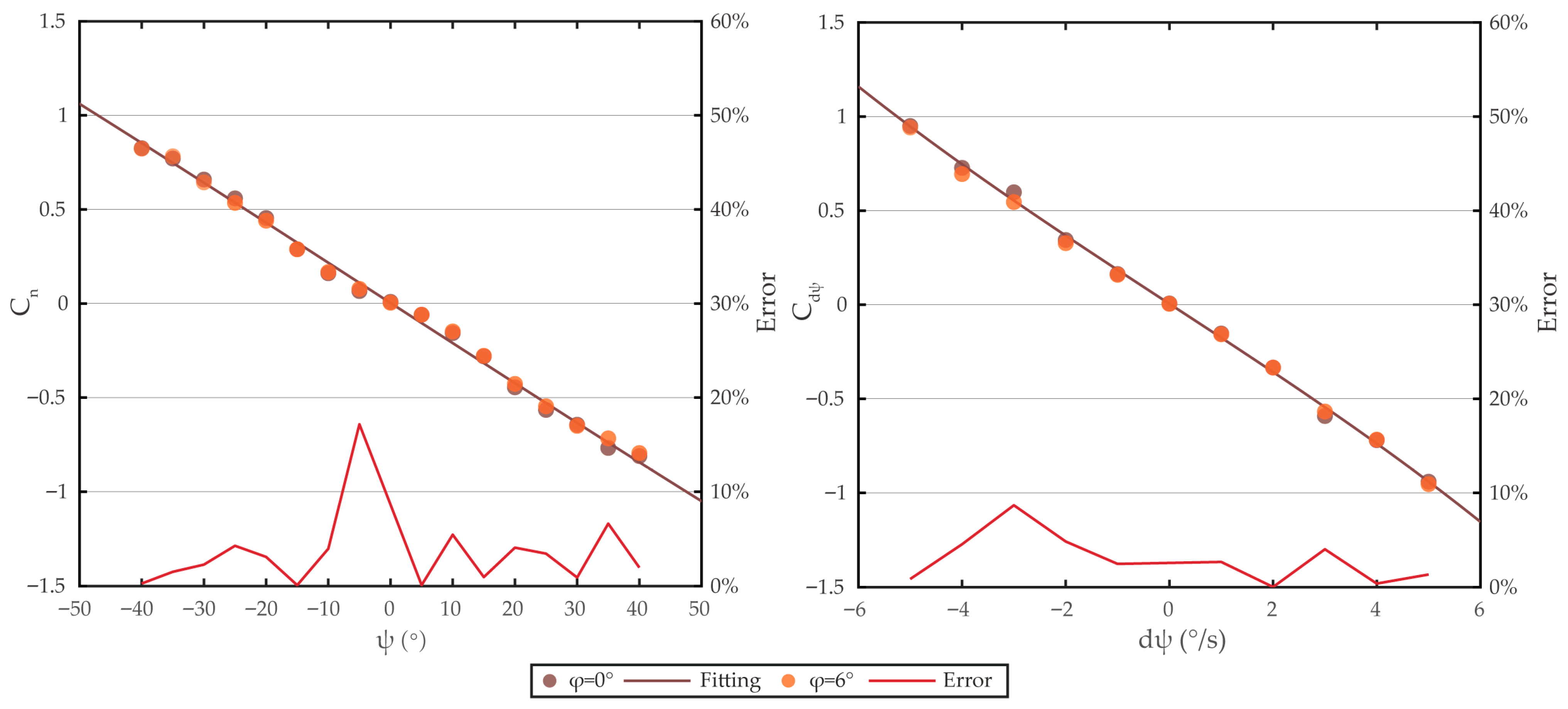
Under an inflow velocity of 10 m/s, steady-state simulations are performed to obtain yawing moments corresponding to different yaw angles. Furthermore, by imposing prescribed yaw rotational velocities, the yawing moments at different yaw rates—representing yaw damping—are determined. Based on these data, polynomial curve fitting is conducted for both the yawing moment and yaw damping. The yaw angle fitting range is set from −50° to 50°, and the yaw rate range from −5°/s to 5°/s. Using the least-squares method, polynomial functions of the steady-state aerodynamic coefficients are obtained, with yaw angle and yaw rate as independent variables. The fitting process minimizes the sum of squared errors between the simulated and fitted values. Table 6 presents the polynomial coefficients of the fitted aerodynamic coefficient equations. As shown in Equation (24) and Table 7, the mean absolute error (MAE) does not exceed 0.13, and the root mean square error (RMSE) remains below 0.24, demonstrating satisfactory fitting accuracy.
Consequently, the fitted expressions for the yaw moment coefficient C n as a function of yaw angle ψ, and for the yaw damping coefficient C d ψ as a function of yaw rate d ψ d t , are obtained as follows:
C i = a 0 + a 1 x + a 2 x 2 + a 3 x 3 + i = n o r d ψ , x = ψ o r d ψ d t
In practical tethered aerostat operations, the roll angle typically does not exceed ±6°.
To evaluate the influence of roll angle on aerodynamic characteristics, a steady-state aerodynamic simulation was conducted with a maximum roll angle of 6°. The corresponding yawing moment and yaw damping coefficients were obtained and compared with the baseline case at a roll angle of 0°. The relative error distributions of the two coefficients are shown in Figure 5.
The results indicate that under the 6° roll condition, the relative errors of both the yawing moment coefficient and the yaw damping coefficient are generally within 5%. Although the maximum relative error (18%) occurs at a yaw angle of −5°, the corresponding absolute error is only 0.011, which has a negligible effect on the overall fitting accuracy. This anomaly primarily arises from the small baseline value under this operating condition, which significantly amplifies the relative error. Based on the above analysis, it can be concluded that within the small roll-angle range φ 6 ° , the yawing moment and yaw damping coefficients of the tethered aerostat are insensitive to variations in roll angle and can therefore be approximated as M(φ) = 0.

3.2. Simulation Model

This study focuses on the lateral stability of tethered aerostats. The governing equations—including the momentum, turbulence, and energy equations—are solved using a segregated iterative scheme based on the SIMPLE algorithm [36]. To further simulate the dynamic response of the tethered aerostat under wind-field conditions, a transient simulation approach [37] is employed. A user-defined function (UDF) is used to assign the model’s rotational inertia and corresponding degrees of freedom, while the gravitational, buoyant, and tether tension moments associated with the roll motion are applied to the aerostat body. Meanwhile, the dynamic mesh technique [38], combined with smoothing and local remeshing methods, is utilized to update the mesh. The simulation is conducted in double-precision format, enabling the acquisition of the time-dependent variations in the aerostat’s attitude angles.
To verify the accuracy of the CFD model, multiple field experiments were conducted on the selected tethered aerostat system. A tethered aerostat identical in configuration and dimensions to the simulation model was used, and attitude and wind sensors were installed on the aerostat to obtain the corresponding flight parameters and wind-field data. The measured wind-field parameters were used as model inputs for simulation, and the simulated results were compared with the attitude data obtained from field experiments, as shown in Figure 6. The comparison shows that the simulation curve is consistent with the experimental data in terms of overall trend; the simulated response oscillates around the experimental curve but exhibits a noticeable phase lag. During the initial stage (0–100 s), the simulation and experimental curves match closely; thereafter, the simulation gradually lags behind the experimental data, reaching a maximum deviation of −6.7° at 162 s. The mean absolute error (MAE) of the yaw-angle prediction is 2.16°, and the root-mean-square error (RMSE) is 2.74°. The ratio of RMSE to MAE is approximately 1.29, indicating that the error distribution is close to normal and no extreme deviations occur. The RMSE corresponds to about 9% of the full dynamic range (approximately 30°).
The discrepancies between the simulation and experimental results can be attributed primarily to three factors. First, the simulation model employs a simplified treatment of pitch attitude: the aerostat pitch angle is fixed in the simulation, whereas small dynamic variations occur during the experiments. Although these variations remain close to the prescribed value of 5° in the simulations, the resulting dynamic effects can still introduce observable deviations. Second, uncertainties exist in the rotational inertia parameters used in the simulations. These parameters are derived from theoretical calculations, whereas in the experiments, the actual installation positions of components such as the payload gondola may differ from the theoretical assumptions, leading to discrepancies between the true system inertia and the values adopted in the simulations. Finally, the errors exhibit a cumulative nature in the time domain. Because the simulation spans a long duration, small initial discrepancies grow progressively with integration time. This explains why the simulation and experimental curves agree well at the beginning but gradually diverge as time progresses.
Despite the phase offset, the overall error remains within 10%, and the response trends are consistent. Considering the inherent difficulty of fully reproducing complex real-world conditions through numerical simulation, this level of deviation is deemed acceptable. Therefore, the developed CFD model is considered reliable and suitable for subsequent analyses.

3.3. Response Curve Analysis

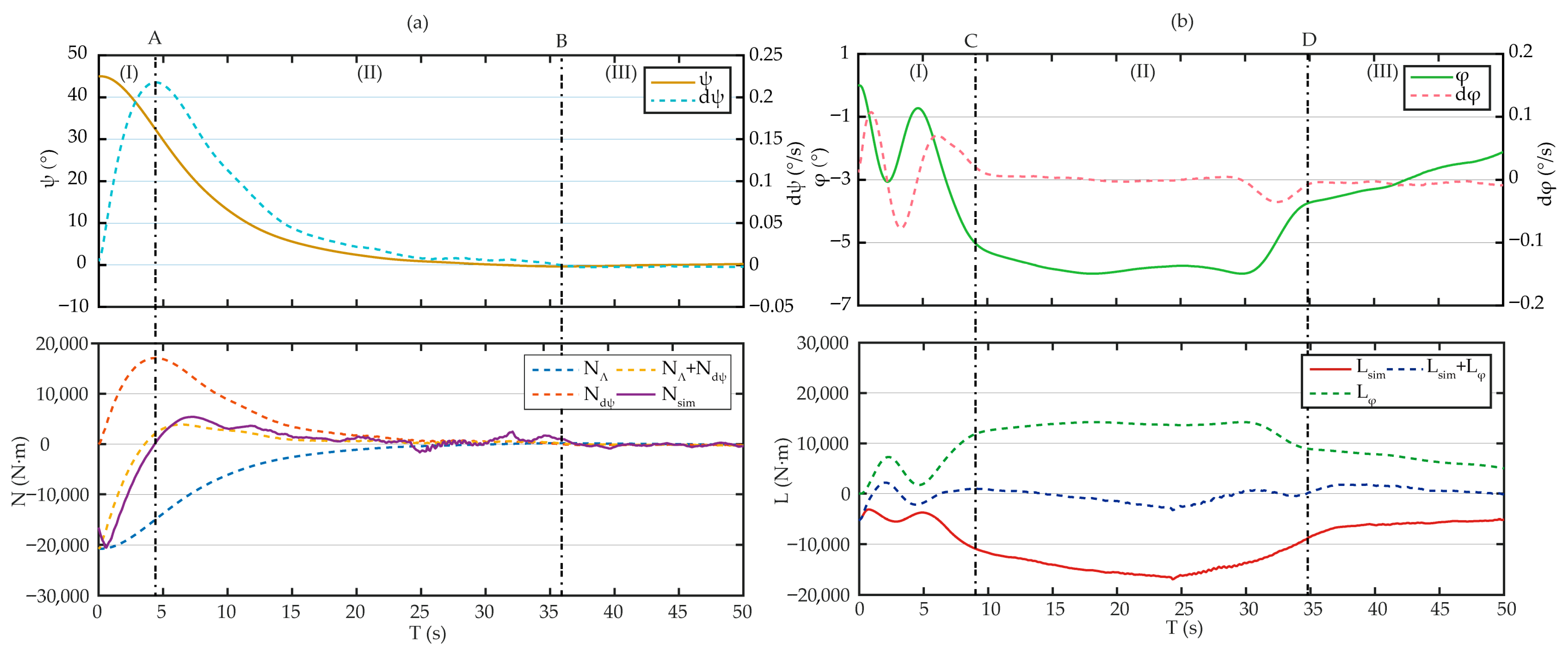
With an input wind direction of φ w = 45 ° and a wind speed of v w = 10   m / s , a lateral stability simulation was conducted. The response curves of yaw and roll angles, as well as the variation in yawing and rolling moments, are shown in Figure 7.
As observed from the curves, the yaw angle exhibits an initial acceleration followed by deceleration, gradually decreasing from 45° over approximately 30–40 s. It slightly overshoots beyond 0°, producing a small overshoot, and eventually stabilizes near 0°. According to Equation (25):
d 2 ψ d t 2 = N Λ + N d ψ J ψ + λ 66
The angular acceleration is determined by the combined effects of the aerodynamic yawing moment and the yaw damping moment. Based on their relative relationship, the yaw-angle response process can be divided into three stages: (I) (from 0 s to dash-dotted line A) In the initial response stage, the aerostat’s angular velocity is low, resulting in weak yaw damping, while the yawing moment reaches its maximum. Consequently, the angular acceleration is at its peak, and the yaw angle exhibits a rapid convergence trend. (II) (from dash-dotted line A to dash-dotted line B) As the yaw angle decreases and the angular velocity increases, the yaw damping becomes significantly stronger and gradually exceeds the diminishing yawing moment, leading to a reduction in angular acceleration and a slower convergence of the yaw angle. (III) (from dash-dotted line B to 50 s) When the yaw angle approaches 0°, the yawing moment tends toward zero, but the system still possesses a certain angular velocity, causing the yaw angle to slightly overshoot the equilibrium position. At this stage, the yawing moment and damping jointly form a decelerating moment, ultimately driving the yaw angle to a stable equilibrium state.
The roll angle exhibits a similarly distinct phase differentiation. In stage (I) (from 0 s to dash-dotted line C), due to the step input of the incoming flow, oscillatory behavior is observed in the roll response, with its characteristic equation and response frequency given as:
s 2 + N φ s J φ + λ 44 + M o u t + M ψ φ J φ + λ 44 = 0
ω a = M o u t + M ψ φ J φ + λ 44
where N φ s represents the damping term in the characteristic equation, M o u t = L Λ + L φ F φ denotes the external moment term after eliminating the influence of φ, and M ψ φ accounts for the effect of yaw angle after excluding the influence of φ.
In stage (II) (from dash-dotted line C to dash-dotted line D), the rolling aerodynamic moment generated by the combined effects of yaw motion and the incoming flow nearly balances the restoring rolling moment, causing the roll angle to stabilize around a certain value.
L Λ = L φ + M ψ
In stage (III) (from dash-dotted line D to 50 s), as the yaw angle approaches a steady state, the aerodynamic moment induced by yaw motion vanishes. Under the action of the rolling restoring moment, the roll angle gradually converges toward 0°, and the corresponding roll angular acceleration can be expressed as:
d 2 φ d t 2 = L Λ + M G + M B + M G L + M T + M ψ J φ + λ 44
Eventually, the roll angle converges to 0°, reaching a stable equilibrium condition.

3.4. Analysis of Payload Location and Main Tether Point

In the design of a tethered aerostat system, the payload position and the arrangement of the main tether point are critical design parameters. These factors not only affect the pitch characteristics of the system [17] but also significantly alter the distribution of the moments of inertia, thereby exerting a substantial influence on lateral stability. In this study, both the payload and the tether interface are positioned at the bottom of the aerostat envelope. When the lateral coordinate of the payload center of gravity, R G L x , is adjusted, its longitudinal coordinate R G L y and the coordinates of the main tether point R T x ,   R T y change accordingly, as illustrated in Figure 8. Based on the torque equilibrium condition about the center of the aerostat, all coordinate parameters must satisfy the force equilibrium equation and the aerostat contour equation given in Equation (30).
sin θ F G L R G L y + F G R G y + F T R T y + F B R B y = cos θ F G L R G L x + F G R G x F T R T x F B R B x
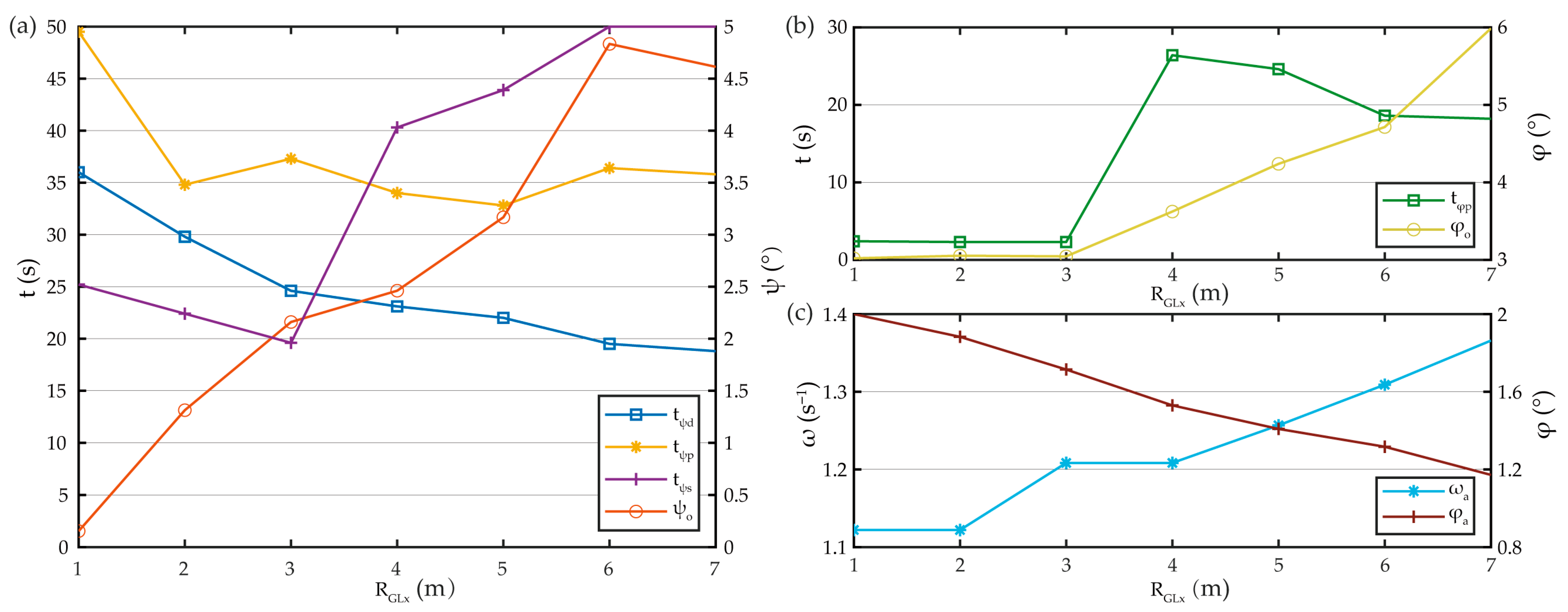
The lateral coordinate of the payload center of gravity, R G L x , is selected as the key variable. Based on practical engineering experience from field operations, seven simulation cases were established within the range R G L x = 1   m to 7 m, with an interval of 1 m, and the corresponding aerostat parameters for each case are summarized in Table 8. All simulations were conducted under consistent initial conditions: pitch angle of 5°, yaw angle of 45°, roll angle of 0°, and inflow velocity of 10 m/s. The obtained yaw and roll angle response curves are shown in Figure 9, where in (a) the dashed line shows the intersections of the curves with the 0° line, and in (b) the dashed lines indicate the minima and maxima of each curve in Stage (I). Key dynamic parameters were further extracted and analyzed, including yaw angle decay time t ψ d , peak time t ψ p , settling time t ψ s , peak yaw angle ψ o ;as well as roll angle peak time t φ p , peak value φ o , oscillation frequency ω a , and oscillation amplitude φ a . The extracted parameter results are collectively presented in Figure 10.
With the increase in the parameter R G L x , the yaw stabilization time t ψ s of the tethered aerostat gradually decreases, while the yaw peak angle ψ o increases. Except for the case of R G L x = 1 m, where t ψ p reaches 49.5 s, the other models exhibit t ψ p values fluctuating around 35 s. Taking 5% of the inflow direction as the yaw stability criterion, i.e., ψ s = φ w × 5 % = 2.25 ° , it can be seen that for R G L x = 1 m to 3 m, the yaw angle peaks are all below 2.25°, indicating that the system reaches a steady state during the descending phase, with t ψ s smaller than the decay time t ψ d and further decreasing as R G L x increases. When R G L x = 4 m, the yaw peak ψ o exceeds 2.25°, and the system undergoes oscillation before stabilization, resulting in a longer t ψ s as R G L x continues to increase.
Meanwhile, as R G L x increases, the roll angle peak φ o also rises significantly. When R G L x = 1 m to 3 m, the roll peak corresponds to the oscillation amplitude in stage (I). However, when R G L x = 4 m, the peak exceeds this stage’s oscillation amplitude, leading to a sudden increase in the peak time t φ p , which then gradually decreases with further increases in R G L x . Moreover, during stage (I), the roll oscillation frequency ω a increases with R G L x , while the oscillation amplitude φ a decreases, indicating that a larger R G L x results in smaller amplitudes and faster oscillations—an unfavorable trend for the stable operation of the tethered aerostat.
In summary, to achieve faster stabilization—characterized by smaller yaw stabilization time and peak angle, as well as lower roll peak φ o and peak time t φ p —the model with R G L x = 3 m demonstrates superior lateral stability among the seven cases analyzed. This result provides a valuable reference for selecting the payload and primary tether attachment positions in practical tethered aerostat design. Consequently, subsequent investigations on the effects of wind direction and speed adopt the R G L x = 3 m configuration.

3.5. Inflow Response Analysis

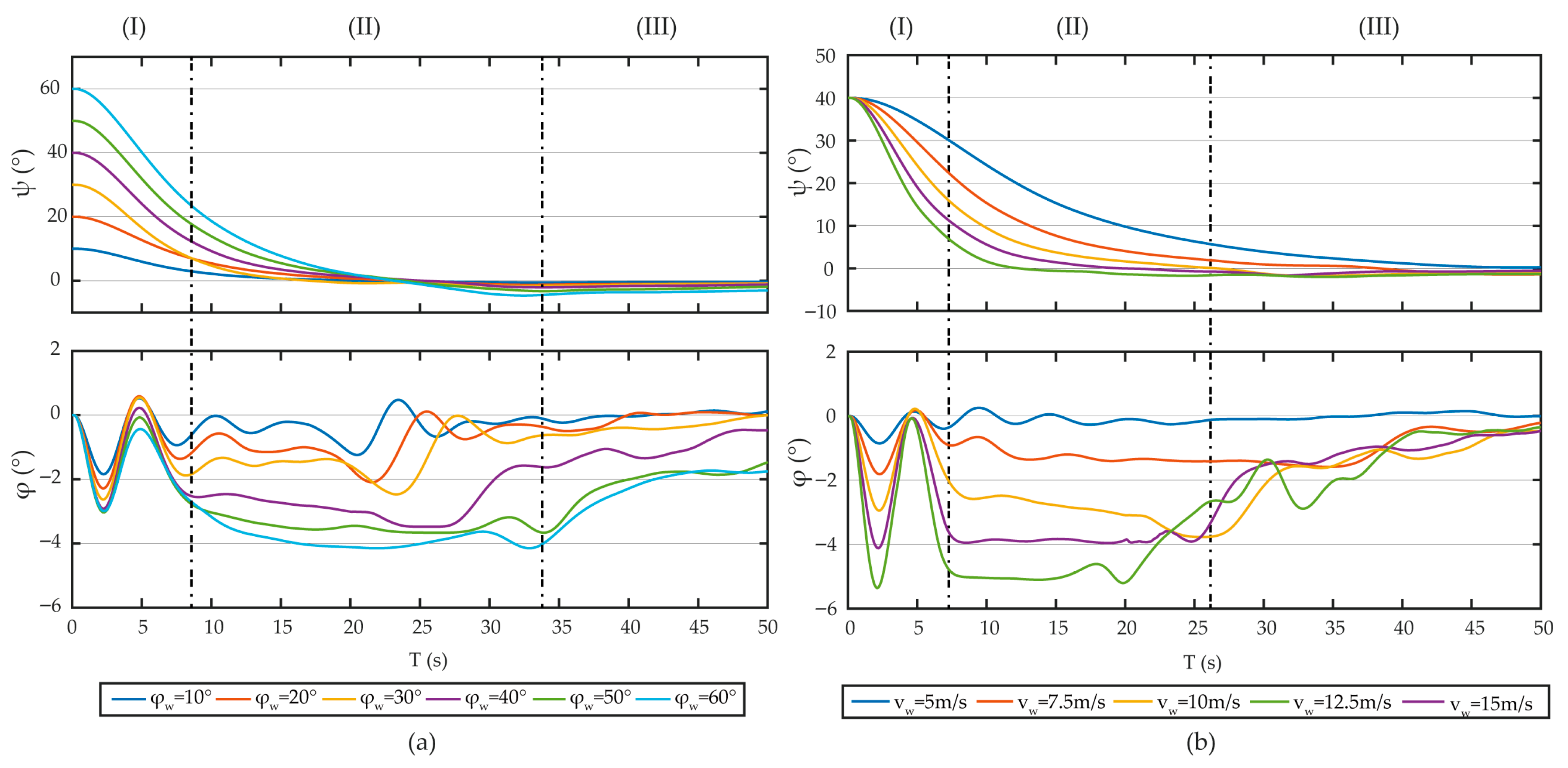
For the configuration R G L x = 3 m, simulations were performed to examine the response under various inflow conditions. In the wind-direction study, the initial pitch angle was set to 5°, the inflow speed v w to 10 m/s, and the inflow direction φ w was varied in 10° increments. In the wind-speed study, the initial pitch angle was 5°, the initial yaw angle 40°, and the inflow speed v w was varied in 5 m/s increments. The corresponding results are presented in Figure 11, and key yaw- and roll-related parameters extracted from these curves are summarized in Figure 12.
As φ w increases, the yaw angle required for the aerostat to reach equilibrium increases correspondingly; the strengthened yawing moment raises the yaw rate, causing the peak time t ψ p to fluctuate around ≈33 s without a clear trend. The decay time t ψ d follows a parabolic variation with φ w (first increasing then decreasing), reaching a maximum of 35.2 s at φ w = 40°. The settling time t ψ s exhibits an inverted-V pattern, with the fastest settling occurring at φ w = 40°. The inflow direction strongly affects t ψ p , which rises rapidly as φ w increases.
The roll-angle variation with inflow direction is pronounced: the roll peak correlates approximately linearly with φ w . The roll peak time t φ p remains near 2.2 s for φ w between 10° and 30°, but undergoes a sudden increase at 40°, since the peak φ o shifts from stage (I) to stage (II), producing a marked prolongation of t φ p that continues to increase with φ w . Because the moment of inertia is unchanged, the roll natural frequency ω a in stage (I) is essentially constant. With increasing φ w the roll moment intensifies, which tends to increase the stage-(I) oscillation amplitude φ a ; however, the concomitant rise in yaw rate enhances the influence of yaw motion on roll, shifting the roll equilibrium and thereby reducing φ a . Consequently, under the coupled action of roll moment and yaw motion, φ a displays a rise-then-fall trend as φ w increases.
Wind speed v w also significantly affects yaw and roll parameters. As v w increases, the yaw peak ψ o , roll peak φ o , and roll amplitude φ a all increase markedly, while the yaw decay time t ψ d shortens. The peak yaw period t ψ p generally decreases with increasing inflow speed. When the wind speed is v w = 5 m/s or 7.5 m/s, the yaw angle ψ o   remains below 2°, and the settling time t ψ s decreases with increasing v w . At v w = 10 m/s and above, t ψ s shows a slight increase, but the overall variation is limited. The roll peak time t φ p exhibits a sudden rise at v w = 10 m/s, where the peak φ o jumps from stage (I) to stage (II); the roll frequency shows no significant change.
In summary, as the wind direction φ w increases, the stable yaw angle of the tethered aerostat increases, and the yaw rate becomes higher. The yaw decay time first increases and then decreases, reaching its maximum at φ w   = 40°. The peak roll angle increases approximately linearly with φ w , and its peak time becomes markedly prolonged when φ w ≥ 40°. As the wind speed v w increases, the yaw angle, roll angle, and their amplitudes all increase significantly, while the yaw decay time becomes shorter. A specific wind speed (10 m/s) induces a sudden increase in the roll peak time together with a transition between motion stages. Overall, variations in wind direction primarily affect the temporal characteristics and motion stages of the dynamic response, whereas increasing wind speed substantially amplifies the response magnitude and, under specific conditions, triggers abrupt changes in the dynamic characteristics.

4. Discussion

This study develops an analytical model for the attitude-angle response of a tethered aerostat by introducing a set of simplifying assumptions designed to isolate the dominant physical mechanisms. While these assumptions render the problem tractable, they also delineate the applicability of the present framework and point toward directions for future development.

4.1. Core Assumptions and Model Scope

A key simplification of the model is the treatment of the three-dimensional dynamic tether system as an ideal anchor that provides only vertical constraint, thereby allowing the analysis to focus exclusively on angular motion. This treatment enables a clear exposition of the fundamental response characteristics of the yaw and roll angles governed primarily by the coupling between aerodynamic moments and static restoring moments. However, it also implies that the model cannot capture oscillatory modes driven directly by horizontal components of tether tension or accurately predict the full spatial trajectory. In addition, the rigid-envelope assumption justified by high internal pressure, together with classical simplified formulations for added mass, provides an effective framework for analyzing low-frequency, large-amplitude rigid-body stability trends. Nevertheless, the resulting conclusions are not directly applicable to scenarios involving significant elastic deformation or high-frequency dynamic responses.

4.2. Outlook for Future Work

The present model establishes a foundation for mechanism-oriented analysis. Future research will proceed along several directions. First, incorporating a fully three-dimensional dynamic tether-force model will enable a more accurate representation of the tether’s constraint characteristics. Second, to overcome the limitations of the current qualitative description, system-identification techniques or high-fidelity simulations will be employed to quantitatively characterize yaw–roll coupling dynamics and to obtain cross-coupling coefficients. Finally, the framework may be extended to more complex conditions—such as gust responses or moving tether-attachment points—ultimately evolving into a high-fidelity engineering prediction tool.

5. Conclusions

This study investigates the influence of key structural parameters and wind field conditions on the stability characteristics of a tethered aerostat system, identifies the optimal configuration of the payload and the main tether point, and provides a detailed analysis of the lateral dynamic response of the aerostat under various inflow conditions. First, the aerodynamic forces acting on the aerostat during steady flight were precisely computed, and it was confirmed that, under small roll-angle conditions, the yawing moment and yaw damping are independent of the roll angle. A novel CFD-based simulation framework was established to evaluate the lateral stability of the tethered aerostat, and its accuracy was validated through dedicated field experiments. Finally, based on the validated dynamic model, the lateral responses of the aerostat system under different wind conditions were comprehensively analyzed, providing theoretical guidance for ensuring safe and stable flight performance.
  • The distance between the payload and the main tether point plays a crucial role in determining the lateral stability of the tethered aerostat. By selecting the horizontal coordinate of the payload R G L x as the key design variable, an optimal value of R G L x = 3 m for a 39 m long aerostat was identified, yielding the best local lateral stability. When R G L x is smaller than the optimal value, the system avoids large roll-angle peaks but exhibits longer yaw stabilization times. Conversely, when R G L x exceeds the threshold, the yaw-angle peak increases sharply, and the roll dynamics deteriorate, characterized by abrupt increases in roll-angle peaks and peak times, which significantly prolong the stabilization process. Therefore, R G L x is a critical design parameter in tethered aerostat systems. Its optimal selection is essential for balancing yaw and roll modes and achieving rapid stabilization under complex wind conditions.
  • In horizontal wind fields, the lateral stability of the tethered aerostat is strongly affected by the coupled influence of wind direction and speed. Variations in wind direction primarily dictate the temporal characteristics and transitions between motion stages, whereas increasing wind speed substantially amplifies the yaw and roll response amplitudes and, under specific conditions, triggers abrupt changes in the dynamic behavior. When the wind direction approaches 40° or the wind speed reaches approximately 10 m/s, the system response exhibits pronounced temporal delays or transitions between motion stages. These findings provide essential guidance for stability assessment and engineering design of tethered aerostats operating in complex wind environments.

Author Contributions

Conceptualization, Y.W. and Z.H.; methodology, Y.W.; software, Y.W. and J.R.; validation, Y.W. and J.X.; formal analysis, Y.W.; investigation, Z.H.; resources, Z.H.; data curation, Y.W.; writing—original draft preparation, Y.W.; writing—review and editing, J.X.; visualization, Y.W.; supervision, Z.H.; project administration, Z.H.; funding acquisition, Z.H. and D.Z. All authors have read and agreed to the published version of the manuscript.

Funding

This research was funded by the Development of the High-altitude wind energy systems, grant number E5E3200601. The article processing charge was funded by the Aerospace Information Research Institute.

Data Availability Statement

The data are contained in the article.

Conflicts of Interest

The authors declare no conflicts of interest.

References

  1. Vandergrift, G.W.; Dexheimer, D.N.; Zhang, D.; Cheng, Z.; Lata, N.N.; Rogers, M.M. Tethered balloon system and High-Resolution Mass Spectrometry Reveal Increased Organonitrates Aloft Compared to the Ground Level. Environ. Sci. Technol. 2024, 58, 10060–10071. [Google Scholar] [CrossRef]
  2. Chen, G. Using a tethered balloon to monitor atmospheric water vapour dynamics over the Tibetan Plateau. Nat. Rev. Earth Environ. 2024, 5, 78. [Google Scholar] [CrossRef]
  3. Kim, G.H.; Lee, H.S.; Mun, H.S.; Oh, J.H.; Shin, B.S. Construction of a Wi-Fi System with a Tethered Balloon in a Mountainous Region for the Teleoperation of Vehicular Forestry Machines. Forests 2024, 15, 1994. [Google Scholar] [CrossRef]
  4. Liu, X.; Gao, Z.; Wan, Z.; Wu, Z.; Li, T.; Mao, T.; Liang, X.; Zheng, D.; Zhang, J. Toward Near-Space Communication Network in the 6G and Beyond Era. Space Sci. Technol. 2025, 5, 0337. [Google Scholar] [CrossRef]
  5. Alsamhi, S.H.; Almalki, F.A.; Ma, O.; Ansari, M.S.; Angelides, M.C. Performance optimization of tethered balloon technology for public safety and emergency communications. Telecommun. Syst. 2020, 75, 235–244. [Google Scholar] [CrossRef]
  6. Coulombe-Pontbriand, P.; Nahon, M. Experimental testing and modeling of a tethered spherical aerostat in an outdoor environment. J. Wind Eng. Ind. Aerodyn. 2009, 97, 208–218. [Google Scholar] [CrossRef]
  7. Zhang, X.; Gu, Y.; Jiang, L. Time-domain response analysis of tethered aerostat. J. Beijing Univ. Aeronaut. Astronaut. 2006, 1015–1018. [Google Scholar] [CrossRef]
  8. Jia, Z. Longitudinal stability analysis of tethered aerostat. Aircr. Des. 2006, 3, 20–24. [Google Scholar] [CrossRef]
  9. Zhang, D.; Luo, H.; Cui, Y.; Zeng, X.; Wang, S. Tandem, long-duration, ultra-high-altitude tethered balloon and its system characteristics. Adv. Space Res. 2020, 66, 2446–2465. [Google Scholar] [CrossRef]
  10. Aglietti, G.S. Dynamic response of a high-altitude tethered balloon system. J. Aircr. 2009, 46, 2032–2040. [Google Scholar] [CrossRef]
  11. Badesha, S.; Bunn, J. Dynamic simulation of high altitude tethered balloon system subject to thunderstorm windfield. In Proceedings of the AIAA Atmospheric Flight Mechanics Conference and Exhibit, Monterey, CA, USA, 5–8 August 2002; p. 4614. [Google Scholar]
  12. Kassarian, E.; Sanfedino, F.; Alazard, D.; Evain, H.; Montel, J. Modeling and stability of balloon-borne gondolas with coupled pendulum-torsion dynamics. Aerosp. Sci. Technol. 2021, 112, 106607. [Google Scholar] [CrossRef]
  13. Williams, P.; Lansdorp, B.; Ockels, W. Modeling and control of a kite on a variable length flexible inelastic tether. In Proceedings of the AIAA Modeling and Simulation Technologies Conference and Exhibit, San Francisco, CA, USA, 15–18 August 2007; p. 6705. [Google Scholar]
  14. Yan, C.; Yang, J.; Zhang, D.; Zhang, S.; Zhang, T. Comprehensive Design and Experimental Validation of Tethered Fixed-Wing Unmanned Aerial Vehicles. Aerospace 2025, 12, 150. [Google Scholar] [CrossRef]
  15. Lai, Z.; Tang, M.; Hu, X.; Shu, X.; Huang, W.; Pan, Y. Dynamics Modeling and Motion Evaluation of a Near-Ground Tethered Balloon Cable System under Severe Wind Environments. Actuators 2024, 13, 402. [Google Scholar] [CrossRef]
  16. Lambert, C.; Nahon, M. Stability analysis of a tethered aerostat. J. Aircr. 2003, 40, 705–715. [Google Scholar] [CrossRef]
  17. Pang, C.; He, Z.; Song, K.; Cao, S. Analysis of Wind Field Response Characteristics of Tethered Balloon Systems. Aerospace 2024, 11, 360. [Google Scholar] [CrossRef]
  18. Oberkampf, W.L.; Trucano, T.G. Verification and validation in computational fluid dynamics. Prog. Aerosp. Sci. 2002, 38, 209–272. [Google Scholar] [CrossRef]
  19. Sun, J.; Zhou, Z.; Tengis, T.; Fang, H. Analysis of Static Aeroelastic Characteristics of Distributed Propulsion Wing. Aerospace 2024, 11, 1045. [Google Scholar] [CrossRef]
  20. Goldsworthy, M. Dynamic coupling of the transient system simulation and fire dynamics simulation programs. J. Build. Perform. Simul. 2012, 5, 105–114. [Google Scholar] [CrossRef]
  21. Wang, K.; Zhou, Z. Aerodynamic design, analysis and validation of a small blended-wing-body unmanned aerial vehicle. Aerospace 2022, 9, 36. [Google Scholar] [CrossRef]
  22. Kutty, H.A.; Rajendran, P. 3D CFD simulation and experimental validation of small APC slow flyer propeller blade. Aerospace 2017, 4, 10. [Google Scholar] [CrossRef]
  23. Remiger, J.; Stößel, M.; Kožulović, D.; Niehuis, R.; Krummenauer, M. The engine mission simulation system: Coupled simulation of aircraft and engine in the mission. CEAS Aeronaut. J. 2024, 15, 227–238. [Google Scholar] [CrossRef]
  24. Tang, J.; Xie, W.; Wang, X.; Chen, C. Simulation and analysis of fluid–solid–thermal unidirectional coupling of near-space airship. Aerospace 2022, 9, 439. [Google Scholar] [CrossRef]
  25. Liu, Y.; Wu, Y.; Wu, X.; Hu, Y. Modelling and analysis of autonomous stratospheric airship. In Proceedings of the 29th Chinese Control Conference, Beijing, China, 28–31 July 2010; IEEE: New York, NY, USA, 2010; pp. 1293–1298. [Google Scholar]
  26. Chen, L. Overview of Tethered Aerostat Systems; Beihang University Press: Beijing, China, 2021. [Google Scholar]
  27. Kirilin, A.N. Introduction to Modern Airship Design; National Defense Industry Press: Beijing, China, 2009. [Google Scholar]
  28. Li, T. Torpedo Maneuverability; National Defense Industry Press: Beijing, China, 1999. [Google Scholar]
  29. Shirsath, R.A.; Mukherjee, R. Experimental and computational investigations of aerodynamic characteristics of a finite rectangular wing-in-ground effect. Proc. Inst. Mech. Eng. Part G J. Aerosp. Eng. 2023, 237, 1007–1024. [Google Scholar] [CrossRef]
  30. Zhu, M.; Zuo, Z. Modeling and stability analysis of high-altitude tethered balloons. J. Beijing Univ. Aeronaut. Astronaut. 2010, 36, 940–944. [Google Scholar]
  31. Ouro, P.; Muhawenimana, V.; Wilson, C.A. Asymmetric wake of a horizontal cylinder in close proximity to a solid boundary for Reynolds numbers in the subcritical turbulence regime. Phys. Rev. Fluids 2019, 4, 104604. [Google Scholar] [CrossRef]
  32. Salim, S.M.; Cheah, S. Wall Y strategy for dealing with wall-bounded turbulent flows. In Proceedings of the International Multiconference of Engineers and Computer Scientists, Hong Kong, China, 18–20 March 2009; Volume 2, pp. 2165–2170. [Google Scholar]
  33. Rogers, S.; Roth, K.; Nash, S.; Baker, M.; Slotnick, J.; Whitlock, M.; Cao, H. Advances in overset CFD processes applied to subsonic high-lift aircraft. In Proceedings of the 18th Applied Aerodynamics Conference, Denver, CO, USA, 14–17 August 2000; p. 4216. [Google Scholar]
  34. Zeng, Y.; Wang, H.B.; Sun, M.B.; Wang, C.; Liu, X. A Review of Advances in the SST Turbulence Model. Acta Aeronaut. et Astronaut. Sin. 2023, 44, 103–134. [Google Scholar]
  35. Pang, C.; Wang, Q.; Yang, C. Study on the influence of structural parameters on the steady-state response of tethered aerostats. Aerosp. Technol. 2024, 103–112. [Google Scholar] [CrossRef]
  36. Samii, D.R.; Hashemabadi, S.H.; Margan, P. CFD based design gas rotameters: Dynamic mesh transient simulation. Flow Meas. Instrum. 2024, 95, 102513. [Google Scholar] [CrossRef]
  37. Kudariyawar, J.Y.; Vaidya, A.M.; Maheshwari, N.K.; Satyamurthy, P. Computational study of instabilities in a rectangular natural circulation loop using 3D CFD simulation. Int. J. Therm. Sci. 2016, 101, 193–206. [Google Scholar] [CrossRef]
  38. Gao, Z.; Wang, Y.; Su, Y.; Chen, L. Validation of a combined dynamic mesh strategy for the simulation of body’s large amplitude motion in wave. Ocean Eng. 2019, 187, 106169. [Google Scholar] [CrossRef]
Figure 1. Coordinate system.
Figure 1. Coordinate system.
Aerospace 13 00019 g001
Figure 3. Dynamic Coupling Between Yaw and Roll Modes.
Figure 3. Dynamic Coupling Between Yaw and Roll Modes.
Aerospace 13 00019 g003
Figure 4. Added Mass of Tail Fins.
Figure 4. Added Mass of Tail Fins.
Aerospace 13 00019 g004
Figure 5. Analysis of steady-state aerodynamic coefficient and roll-angle error.
Figure 5. Analysis of steady-state aerodynamic coefficient and roll-angle error.
Aerospace 13 00019 g005
Figure 6. Comparison between CFD simulation and experimental results.
Figure 6. Comparison between CFD simulation and experimental results.
Aerospace 13 00019 g006
Figure 7. Lateral response curves and force analysis. (a) yaw motion; (b) roll motion.
Figure 7. Lateral response curves and force analysis. (a) yaw motion; (b) roll motion.
Aerospace 13 00019 g007
Figure 8. Schematic diagram of the payload position.
Figure 8. Schematic diagram of the payload position.
Aerospace 13 00019 g008
Figure 9. Simulation response curves for different payload positions.
Figure 9. Simulation response curves for different payload positions.
Aerospace 13 00019 g009
Figure 10. Attitude angle parameters. (a) yaw stability parameters, (b) roll stability parameters, and (c) roll oscillation parameters.
Figure 10. Attitude angle parameters. (a) yaw stability parameters, (b) roll stability parameters, and (c) roll oscillation parameters.
Aerospace 13 00019 g010
Figure 11. Simulation response curves under varying inflow conditions. (a) Different inflow directions at wind speed 10 m/s; (b) Different wind speeds at inflow direction 40°.
Figure 11. Simulation response curves under varying inflow conditions. (a) Different inflow directions at wind speed 10 m/s; (b) Different wind speeds at inflow direction 40°.
Aerospace 13 00019 g011
Figure 12. Attitude-angle parameters. (a) Yaw stabilization parameters under different inflow directions; (b) Roll stabilization parameters under different inflow directions; (c) Roll oscillation parameters under different inflow directions; (d) Yaw stabilization parameters under different wind speeds; (e) Roll stabilization parameters under different wind speeds; (f) Roll oscillation parameters under different wind speeds.
Figure 12. Attitude-angle parameters. (a) Yaw stabilization parameters under different inflow directions; (b) Roll stabilization parameters under different inflow directions; (c) Roll oscillation parameters under different inflow directions; (d) Yaw stabilization parameters under different wind speeds; (e) Roll stabilization parameters under different wind speeds; (f) Roll oscillation parameters under different wind speeds.
Aerospace 13 00019 g012
Table 1. Summary of notations.
Table 1. Summary of notations.
SymbolDescription
S b o b x b y b z b Body-fixed coordinate system
S o x y z Inertial coordinate system
θ, ψ, φPitch angle, yaw angle, and roll angle of the aerostat
m ,   m l Aerostat mass and payload mass
V b Volume of the aerostat
ρ a ,   ρ b Atmospheric density at the operating altitude of the aerostat, and the mean density of the aerostat
F G ,   F B ,   F G L ,   F T Aerostat weight, buoyant force, payload weight, and tether tension
Μ G ,   Μ B ,   Μ G L ,   Μ T Gravitational moment, buoyant moment, payload gravitational moment, and tether tension moment acting on the aerostat about its mass center o b
R G ,   R B ,   R G L ,   R T The position vector of the aerostat’s center of gravity, the buoyancy center, the payload center of gravity, and the main tether attachment point in the coordinate system S b
L Λ ,   N Λ , L φ ,   N ψ Aerodynamic roll moment, aerodynamic yaw moment, aerodynamic roll-damping moment, and aerodynamic yaw-damping moment
C l ,   C n ,   C d φ ,   C d ψ Roll moment coefficient, yaw moment coefficient, roll-damping coefficient, and yaw-damping coefficient
L φ Restoring roll moment
M L ,   M N Added inertial moment associated with the x b - axis   and   the   y b -axis
φ w ,   v w Wind direction and wind speed
v Λ , v K , ω Airspeed of the aerostat relative to the incoming flow, ground velocity of the aerostat’s mass center, and angular velocity of the aerostat
LAerostat angular momentum
IMoment of inertia matrix of the aerostat about o b   expressed   in   the   S b coordinate system
J φ ,   J ψ Moment of inertia of the aerostat about the x b - axis   and   y b -axis
λ 44 ,   λ 55 Added moment of inertia of the aerostat about the x b - axis   and   y b -axis
K 44 , K 55 Dimensionless coefficients of the added moments of inertia corresponding to the x b -   and   y b -axes
s, c, rFin height, mean aerodynamic chord of the fins, and the corresponding radius of the aerostat envelope
x C F ,   y C F The distance from the geometric center of the tail fin to the x b - axis ,   and   its   distance   to   the   y b -axis
t ψ d ,   t ψ p ,   t ψ s ,   t φ p Yaw-angle decay time, peak time, settling time, and roll-angle peak time
ψ o ,   φ o Peak yaw angle and peak roll angle
ω a ,   φ a Roll-angle oscillation frequency and oscillation amplitude
Table 2. Dimensionless coefficients of added mass for the aerostat envelope.
Table 2. Dimensionless coefficients of added mass for the aerostat envelope.
Dimensionless Coefficient K 44 K 55
Value00.333
Table 3. Simulation parameters of the tethered aerostat system.
Table 3. Simulation parameters of the tethered aerostat system.
ParameterValue
Aerostat envelope volume3184.605 m3
Mass611.64 kg
Length39 m
Maximum diameter13 m
Gas modelIdeal gas
Ambient pressure47,163 Pa (6000 m)
Computational modelk–ω turbulence model
Thickness of the first boundary-layer mesh layer 2.4   ×   10 4   m
Number of boundary-layer mesh layers28
Total mesh thickness of the boundary layer0.19 m
Table 4. Grid-independence verification results.
Table 4. Grid-independence verification results.
Number of Mesh Cells ( × 10 6 ) Aerodynamic Yaw Moment ( N m ) Deviation (%)
1.9−0.158853.48
3.3−0.16458/
5.7−0.162970.98
Table 5. Validation of Reynolds number sensitivity.
Table 5. Validation of Reynolds number sensitivity.
Wind Speed ( m / s ) ReAerodynamic Yaw Moment ( N m ) Deviation (%)
11.71500 × 106−0.164600.0001
58.57500 × 106−0.168822.5733
101.71500 × 107−0.16458\
203.43000 × 107−0.160952.209
Table 6. Polynomial coefficients of the fitted aerodynamic models.
Table 6. Polynomial coefficients of the fitted aerodynamic models.
C n C d ψ
a 0 1.417   ×   10 16 1.574   ×   10 17
a 1 −0.0214−0.1798
a 2 1.0466   ×   10 6 4.5308   ×   10 5
a 3 1.0099   ×   10 7 3.5901   ×   10 4
Table 7. Error analysis of aerodynamic coefficient fitting from simulation results.
Table 7. Error analysis of aerodynamic coefficient fitting from simulation results.
MAERMSE
C n 0.03050.0333
C d ψ 0.02030.0251
Table 8. Parameters for different load positions.
Table 8. Parameters for different load positions.
Load x-Coordinate R G L x   ( m ) System Yaw Moment of Inertia ( × 10 4 kg × m 2 ) System Roll Moment of Inertia ( × 10 4 kg × m 2 ) Main Tether Point x-Coordinate R T x   ( m )
−17.293.932.51
−27.493.773.53
−37.803.584.58
−48.263.415.70
−58.843.246.82
−69.553.078.01
−710.392.779.39
Disclaimer/Publisher’s Note: The statements, opinions and data contained in all publications are solely those of the individual author(s) and contributor(s) and not of MDPI and/or the editor(s). MDPI and/or the editor(s) disclaim responsibility for any injury to people or property resulting from any ideas, methods, instructions or products referred to in the content.

Share and Cite

MDPI and ACS Style

Wei, Y.; Zhang, D.; Xie, J.; Ren, J.; He, Z. Lateral Stability Analysis of Tethered Aerostat System. Aerospace 2026, 13, 19. https://doi.org/10.3390/aerospace13010019

AMA Style

Wei Y, Zhang D, Xie J, Ren J, He Z. Lateral Stability Analysis of Tethered Aerostat System. Aerospace. 2026; 13(1):19. https://doi.org/10.3390/aerospace13010019

Chicago/Turabian Style

Wei, Yichen, Donghui Zhang, Jiawen Xie, Jiahui Ren, and Zeqing He. 2026. "Lateral Stability Analysis of Tethered Aerostat System" Aerospace 13, no. 1: 19. https://doi.org/10.3390/aerospace13010019

APA Style

Wei, Y., Zhang, D., Xie, J., Ren, J., & He, Z. (2026). Lateral Stability Analysis of Tethered Aerostat System. Aerospace, 13(1), 19. https://doi.org/10.3390/aerospace13010019

Note that from the first issue of 2016, this journal uses article numbers instead of page numbers. See further details here.

Article Metrics

Back to TopTop