Abstract
A lunar landing pad (LLP) represents essential initial infrastructure for establishing sustainable lunar settlements. This study investigates the feasibility of constructing LLPs through in situ resource utilization (ISRU), focusing on an innovative composite material comprising lunar regolith and the high-performance thermoplastic Polyether Ether Ketone (PEEK). The proposed manufacturing approach involves mechanically blending regolith with PEEK granules, compacting the mixture in a mold, and thermally processing it to induce polymer melting and binding. Experimental analysis indicates that a modest binder fraction (15 wt. % PEEK) yields a robust composite with a flexural strength of 14.6 MPa, although exhibiting inherently brittle characteristics. Compaction pressure emerges as a crucial factor influencing material performance. Utilizing these findings, hexagonal modular tiles were designed as the fundamental LLP elements, specifically engineered to optimize manufacturing simplicity, mechanical robustness, stackability for redundancy, and ease of replacement or repair. The tile geometry strategically mitigates brittleness-induced vulnerabilities by avoiding stress concentrations. Explicit finite element analyses validated tile performance under simulated lunar landing conditions corresponding to the European Large Logistic Lander specifications. Results demonstrated safe landing velocities between 0.1 and 0.7 m/s, governed by the binder content and compaction pressure. A clearly identified linear correlation between the binder fraction and permissible impact velocity enables predictive tailoring of the material composition, confirming the suitability and scalability of thermoplastic–regolith composites for future lunar infrastructure development.
1. Introduction
Ever since the Apollo era, all missions dedicated to lunar exploration have involved landing on unprepared regolith. This practice presents a significant risk of failure, potentially jeopardizing mission success. With the renewed interest in lunar exploration, including NASA’s Artemis program and ESA’s Moon Village initiative, the need for reliable landing infrastructure has become more urgent. Future lunar missions will involve larger spacecraft carrying heavier payloads, increasing the risks associated with direct landings on the Moon’s irregular surface.
These risks are unacceptable as plans progress toward multiple manned lunar operations. However, advancements in landing infrastructure will not only enhance safety and reliability but also enable the landing and launch of significantly heavier modules. The construction of a proper landing pad is crucial for the development of an outpost on the Moon, guaranteeing the necessary replenishment of resources with fewer launches and a higher payload at landing, without reducing safety [1,2,3].
The importance of an efficient landing infrastructure becomes more evident when considering the problems related to a direct landing on Moon regolith. Firstly, the irregularities of the Moon’s surface can lead to landing instability, potentially causing the spacecraft to tilt, lose balance, or even suffer structural damage upon contact with the surface [1]. This effect would also be amplified by the interaction of the impinging plumes of the lander with the lunar soil. Exhaust gasses lift huge quantities of dust, further disrupting ground leveling [4]. Safety issues regarding direct landing on the Moon are not limited to the structural integrity of the lander, but also to the safety of the crew, who would suffer from reduced visibility due to the aforementioned dust.
To tackle these issues, several solutions have been proposed in the literature and can be divided into two main categories [5]: pre-constructed devices to be shipped from Earth [6,7], or in situ-built structures [8,9]. An example of the first category is the PocketPad [9], a deployable structure that makes use of lightweight and flexible materials to minimize the shipping cost. The key idea of this solution is to prevent the plumes from the nozzle from hitting the terrain by using an inflatable outer edge, that deviates the gases upward. The PocketPad also includes a core region right below the nozzle made of refractory material to sustain the hottest temperatures. On the other hand, the PocketPad presents some counter sides. Most importantly, it is a deployable structure to be stored within the lander, thus reducing the maximum amount of payload for each lander, considering that the PocketPad is not designed for repeated use.
While developing this project, the authors decided to focus on the second class of space structure, relying on in situ resource utilization (ISRU) techniques. That is to say the philosophy of fabricating structures with materials available on the lunar surface, possibly in an automated process [10].
An example of this second group is the “Planetary Basalt Field Project”, developed by the Pacific International Space Center for Exploration Systems (PISCES) and NASA. The construction involved developing 2D horizontal structures, including a central landing pad made of sintered pavers and stabilization methods for the surrounding gravel pad apron. The tiles were designed to interlock and provide sufficient compression strength for a vertical takeoff, with a vertical landing (VTVL) bullseye-stabilized surface. The main concept is centered on creating a two-zone concentric pad, with the central area intended for regular landings and the surrounding zone reserved for emergency situations [11].
Another interesting solution is the one proposed by the Lunar PAD team at NASA’s L’SPACE (Lucy Student Pipeline Accelerator and Competency Enabler) Virtual Academy Summer 2019 NPWEE (NASA Proposal Writing and Evaluation). The Lunar PAD project aims to develop a reusable landing and launch pad by constructing a 3D-printed structure equipped with Kinetic Energy Diffusers (KEDs) to reduce plume–surface interactions. The landing and launch pad features grates, a central cone, a perimeter deflector, vents, and vent dividers. Vent dividers channel the exhaust from the center to the Kinetic Energy Diffusers (KEDs), ensuring balanced airflow and structural stability. The central cone redirects exhaust away from the pad’s center to enhance acoustic efficiency, while the perimeter deflector protects against debris by guiding the exhaust flow outward [2,12].
Furthermore, project ’Olympus’ investigates the proposal to build several multi-material concentric rings for the central landing surface, working as a blast wall [13].
As part of its effort to enable sustainable lunar exploration, NASA identified and engaged over 298 companies and 47 research institutes to receive Phase I funding under its 2021 SBIR/STTR program [14]. Among the most prominent startups in this domain is Ethos Space Resources, founded by former SpaceX engineers, which is developing a regolith-melting process to fabricate landing pads and produce in situ liquid oxygen [15]. Redwire Corporation (Jacksonville, FL, USA), awarded a $12.9 million NASA Tipping Point contract, is advancing microwave-based sintering techniques to transform lunar soil into hardened surfaces suitable for landing zones and roadways [16]. A last example of a startup dealing with the construction of infrastructure on the Moon is Astroport Space Technologies (San Antonio, TX, USA). Astroport is a pioneering autonomous robotic system to convert regolith into interlocking bricks. Particularly, they envision a landing pad assembled by the “Lunatron”, an autonomous rover carrying the powdered regulith and equipped with an embedded furnace to produce regolith bricks to use for the assemble of landing pads and thermal shields [14,17,18]. These companies represent a growing ecosystem of commercial actors tackling the challenge of the lunar surface infrastructure using local resources and scalable, robotic solutions.
While these projects have demonstrated promising approaches, there remain key challenges in optimizing ISRU-based solutions. In particular, there is limited research on the mechanical properties and structural feasibility of polymer–regolith composites for lunar landing pads.
Understanding how these materials perform under landing loads is essential for developing a scalable, reusable, and reliable infrastructure. This study aims to bridge this gap by systematically investigating the mechanical properties and structural performance of interlocking polymer–regolith tiles for landing pads. The first section is dedicated to the review of ISRU techniques, focusing especially on composites obtained by blending lunar regolith with an organic binder. In collaboration with ESA, Spaceship, DLR, and the University of Derby, the peculiar properties and processing characteristics of an innovative polymer–regolith blend will be discussed, showing how they influence the design of the structural element used to tile the landing pad. Key requirements will be the ease of manufacturing, reliability, and the possibility of being assembled in a variety of structures through interlocking features, thus eliminating the need for additional binder.
In a later section, a preliminary calculation is performed on a landing pad, built with the previously described interlocking tiles. Given the complexity of sizing the landing pad for the outpost, a numerical approach was necessary to assess the best combination of the binder percentage, compaction pressure, and regolith grain size that minimizes the amount of materials needed to be brought from Earth for the construction. The goal is to find, for each run of the mechanical testing campaign, the maximum landing velocity that a landing pad made of the specific material under analysis could sustain.
As a case study, Argonaut is ESA’s autonomous lunar lander and was considered as the impinging spacecraft. Technical details regarding the craft can be found in [19]. As can be seen in Figure 1, the system is made of three distinct components. The first is the lunar descent element, specifically designed to navigate the spacecraft from orbit to the lunar surface. This element incorporates advanced guidance, navigation, and control systems to ensure precise and safe landing on the target site. The second component is the cargo platform, which serves as a crucial interface between the lunar lander and the payload. It is engineered to securely accommodate and protect the payload during the landing process. Lastly, the third component is the payload itself.
Figure 1.
Graphical representation of the Argonaut European Large Logistic Lander proposed by the European Space Agency. Adapted from [15].
2. Material Properties and Tile Design
Multiple research groups have tackled the problem of creating building blocks for lunar structures employing materials already present on the lunar surface.
The first few tens of cm of the Moon’s surface are made up of a fine sand constituted of small particles, rocks, and shards of volcanic glass. This material is called regolith. Chemically, its composition is characterized by a 40–45% oxygen content, 20–25% silicon, 10–15% calcium, 10–15% aluminum, and trace amounts of various other elements [10]. Given its abundance, it is only natural that any successful building material should employ a large regolith fraction in order to reduce the mass launched from earth as much as possible.
A first strategy explored by the research is local melting or sintering of the powdered regolith. These techniques aim at creating solid bridges between the rock particles producing a tough material by promoting diffusion or melting in the regolith particles through thermal input [20,21]. The main, quite obvious, advantage of this approach is the negligible amount of consumables that needs to be brought from earth. Unfortunately, the energy input required is extremely high, which may represent a problematic limitation. As a matter of fact, future lunar missions will run on a tight energy budget as the most interesting landing locations are widely cited to be at high-latitude locations (e.g., in the case of Artemis III) [22,23].
Polar regions will impose careful planning of the production, storage, and usage of electric power, as the Moon’s minimal axial inclination (~1.54°) results in areas of high solar exposure coexisting with permanently shadowed regions, necessitating the optimal positioning of power systems to exploit the peaks of near-eternal light while managing the complex illumination patterns at the lunar poles [24,25]. Furthermore, sintering and melting production processes are very sensitive to input parameters and the soil chemistry [26], making them an unlikely candidate for lunar testing, where reliability is a paramount characteristic [27].
Given these limitations, various works have considered the use of a binder (organic or inorganic) to give mechanical strength to the loose powder. The advantage of extremely low power usage comes at a cost: oftentimes, the binder must be supplied from earth. A commonly explored strategy is binder jet 3D printing: a series of nozzles spray a liquid binder that selectively solidifies the desired portions of regolith. Indeed, this technique carries the strong advantage of enabling the flexible construction of lunar structures with very few shape constraints. Unfortunately, the binder fraction is oftentimes high and the shipping, handling, and processing of a liquid binder are challenging and present reliability concerns [28].
Recently, the use of thermoplastics to create polymer–regolith composites has caught the scientific community’s interest as it promises to achieve good mechanical performance with a low binder content and facile processing. Furthermore, the structures thus fabricated are in principle completely recyclable as only physical, reversible transformations are involved in the manufacturing process. As the polymer is melted and solidified into the desired shape, the outdated structural element can be ground up, reheated, and reshaped [10].
In this chapter, the characteristics of this class of materials are reported and a tile design is proposed in order to be reliably manufactured.
2.1. Polymer–Regolith Composites
The core idea behind the material that has been selected for application in this work is quite simple: granules of a thermoplastic polymer are ground and mixed with lunar regolith. This mixture is then compacted into a mold and heated. Upon cooling, the finished brick is extracted [29].
Previous research [29] yielded a refined version of this process, according to the following steps:
- Drying: to eliminate moisture accumulated by the polymer.
- Sieving: to select the appropriate regolith grain distribution.
- Weighting and blending: the polymer is dosed and mixed with regolith powder.
- Mold filling: the mixture is transferred to a mold that has been coated in order to prevent the polymer from adhering.
- Compaction: the loose powder is compacted under controlled pressure.
- Curing: the mold is heated to favor polymer melting.
- Cooling: to allow polymer solidification and extraction of the part.
From a Design of Experiment (DoE) study of the process parameters, the two most influential factors in determining the material’s strength were determined to be the binder content and the compaction pressure [29]. As part of this project, a second experimental campaign was set up, again with a DoE approach, to better investigate the role of the binder content and compaction pressure. Note that the details of this experimental campaign, as well as a full report of the results obtained, can be found in [30]. The DoE in question was set up considering 12 runs, each corresponding to one of the possible combinations given by the chosen three values of binder content (5, 10, and 15 wt.%) and four values of compaction pressure (0.5, 2.5, 5, and 7.5 MPa).
The polymer choice landed on Polyether Ether Ketone (PEEK) as it is a highly performing thermoplastic, widely studied in in the aerospace field due to its mechanical, chemical, and thermal resistance [31]. At the time of writing, preliminary data on the flexural behavior of the composite had been obtained. This will be the starting point for the simulation setup that is reported in the next section.
The first, most evident comment that can be made about the stress–strain curves reported in Figure 2a is that this composite shows a brittle behavior, fracturing without significant plastic deformation. This is not surprising as, at a micro scale, the material shows extensive porosity since it has been assembled from a powder. This discontinuous nature will most likely determine local stress intensification, similarly to what happens in conventional building materials (e.g., concrete), leading to rapid failure of the material when either the ultimate stress that can be withstood by the two components is locally achieved or the polymer–regolith adhesion is overcome. This is still an unexplored topic as more detailed post-mortem analysis with optical or scanning electron microscopy of the fracture surface would give more insight into the failure mechanism of this material. However, the brittle behavior of the material is still an important consideration during the structural design, as defects or sharp corners can lead to stress intensification, which cannot be alleviated through local plastic deformation.
Figure 2.
Flexural strain–stress curves shown by the specimens obtained fixing the compaction pressure at 0.5 MPa (a) and the binder content at 15% (b).
Clearly, the greatest role is played by the binder content in increasing both strength (maximum stress before fracture) and modulus (slope of the stress–strain curve). Fixing the binder content, the mechanical properties are further tailored through the compaction pressure as the greater it is, the stiffer and stronger the specimen is. This is clearly evidenced by Figure 2b. Note that the analysis has been conducted according to ASTM standard C293–02, which concerns the evaluation of the flexural properties of concrete. Even though the material under investigation is actually a composite between a ceramic and a polymer, the application of standard testing procedures envisioned for building materials remains fully justified by the fact that failure is governed by the intensification of tensile forces by defects, as is the case in concrete, a notoriously brittle material [32].
2.2. Interlocking Tiles
Given that the objective set in this work is to develop a structural element and its production process focusing on a specific infrastructure (a landing pad), it was only natural that the choice landed on a tile rather than a brick. Tiles are anisotropic elements as far as their dimensions go in that they develop on a plane and are characterized by a smaller characteristic dimension along the third, perpendicular axis (thickness). Thus, they make for the ideal structural element for a landing pad, which develops mainly in two dimensions, achieving a limited height. A series of requirements was set for the design, considering the properties of the material and the limitations of the production process:
- The tiles must interlock with each other, both in the in-plane and out-of-plane directions. This stems from the urge to minimize the weight brought from earth eliminating the need for a binder when assembling the structure.
- Only one type of tile should be needed to tile the whole surface. This is an immediate consequence of the fact that the production process for the polymer–regolith composite requires the use of a mold. This eliminates most of the complexities related to 3D printing but requires a different mold for each of the shapes being produced.
- The tile shape should be as simple as possible with a uniform cross-section throughout. Thinner sections will cool down more quickly and if abrupt changes in cross-section are present, they will determine internal stresses and likely distortions after the tile is cooled.
- Sharp/right angles must be avoided. It is well known that corners are potential sites for stress intensification, occurrences that must be avoided given the brittle nature of the material. Furthermore, the work by Torre et al. evidenced that sharp corners are often difficult to manufacture as compaction is sub optimal and poor polymer adhesion results in lower resolution of these details [28].
- The shape should be conducive to manufacturing using a mold. This implies that undercuts should not be present and the surfaces perpendicular to the joint between the two halves of the mold must have a relief angle built in as to aid in extraction of the part.
The design process started by considering the first two requirements to set a basic shape. It is known that among the regular polygons, only the triangle, square, and hexagon can cover a plane via translation and rotation without overlaps or gaps. On the other hand, the more sides a polygon has, the larger the angle formed at each of the vertices is. For this reason, in Figure 3, a square and a hexagon are taken as the starting point, on which features are added to make them more organic, enhancing interlocking and eliminating weak right angles. The first shape from the left is quite intriguing as it gives the strongest in-plane interlocking. Unfortunately, the three-pronged shape is intrinsically weak as the joints between the extremities and the core represent a likely failure point due to the decrease in the resistant cross-section. Thus, the shape in the center seems to be a more promising alternative. Considering the four vertices each tile has, it is immediate to notice that they form acute angles, leading to the exclusion of this form through the selection process. Finally, the shape on the right is selected as it is the most regular, with only obtuse angles and smooth variations in the section. Such planar geometry can be a good starting point, to be further iterated in future studies.
Figure 3.
Different interlocking tile designs considered for the structural landing pad.
Having defined the 2D profile of the tile, the out-of-plane geometry can be finalized. Figure 4 reports the blueprint of the proposed solution. The main feature that has been added are three protrusions on top and three indents on the bottom side in order to allow the interlocking of stacked tile layers. This gives the option to increase the thickness of the landing pad to any multiple of the thickness of the single tile. The main advantage related to this approach is not, however, related to an increase in the resistant cross-section of the structure.
Figure 4.
Technical drawing of the final tile design. On the left side of the picture the view from the top, in center the cros view and on the right the bottom view. All the relevant dimensions are given in mm.
Indeed, during a landing, the structure is expected to be loaded in compression, and the resistant cross-section is given by the contact area between each of the lander’s legs and the pad: the larger the area the lower the stress. Stacking multiple layers of tiles instead increases the structure’s reliability not by lowering the stress in the material but allowing for redundancy and rapid repairs. If for example a tile is fractured by an impact (be it from the lander or a micrometeorite), the damage will most likely extend only to the first layer of tiles, which can be readily replaced before the next landing. Moreover, the health status of the structures could be live-monitored by embedding Fiber Bragg Grating sensors, which have recently been proposed as a reliable strategy to assess, simultaneously, temperature and stress levels in aerospace structures [10,33]. A second, important feature that has been added is a 5° relief angle to all the sides of the tile and the interlocking features. As the tile will be most likely manufactured in an automated process, ensuring rapid and reliable extraction from the mold is key. Correctly assigning the clearance angle also involves some assumptions on the mold shape. For this tile, the choice that results in the most simple to manufacture the mold is to assign the features on the top, as well as the sides, to a concave portion of the mold and the bottom surface, as well as the indents to a convex, movable part of the mold that will also be responsible for the applied pressure.
Finally, the lateral dimensions have been dictated by the production capability at ESA-EAC, where the limiting factor was the size of the curing oven needed to reach PEEK melting temperature. The thickness was set in order to achieve a strong tile but still allow for easy compression of the powders during forming.
2.3. Simulation Setup
The structural behavior of the selected tiles represented in Figure 5a has been investigated via explicit finite element analysis in the Altair Radioss environment.
Figure 5.
(a) Three-dimensional model of the interlocked tiles. (b) Model used for the FEM analysis after the meshing process.
As mentioned before, all the information regarding ESA Argonaut is open-source and the ones used in this work are listed here:
- The landing mass, given by the sum of the cargo platform and the maximum payload is 4000 kg.
- The descent module is provided with four hexagonal feet, each with a side of about 234 mm.
- The four feet of the lander are made of aluminum Ergal 7075 (ρ = 2.88 g/cm3, ν = 0.33, E = 71,700 MPa).
The material properties of the regolith–PEEK mixture obtained from the analysis carried out in the previous section are collected in Table 1, divided according to each run.
Table 1.
Mechanical properties of the composite material from flexural testing [30].
To accurately represent the complex geometry of the tiles while maintaining computational efficiency, a hybrid meshing approach was employed. Quadrilateral, HEPH-8 solid elements were used as the primary element type, while in order to capture the curved surfaces of the tiles precisely, triangular TET elements were strategically inserted. It is assumed that the group of tiles under analysis must sustain the weight of a quarter of the lander, acting on the contact surface between the pad and one of the lander’s feet. The lander’s foot was simplified as a hexagonal surface, modeled with triangular shell elements, to keep a low computational cost. The mass of the lander was then lumped in a single node located on the apex of a fictitious pyramid, having the hexagonal surface as a base. This approach allowed for efficient calculation of the load applied to the tiles while maintaining reasonable accuracy. The result of the meshing process is shown in Figure 5b.
As already mentioned, the lander’s inertia is simulated through a pointed mass, while the force load is obtained by setting, on the master node of the foot structure, a concentrated force equal to the weight of a quarter of the lander. The magnitude of this effect has been calculated by multiplying the mass by the Moon’s gravitational field, which is approximately equal one sixth of the Earth’s, hence g_M ≃ 1.635 m/s2.
To simulate the constrained environment of the lunar surface, the bottom face of the tile assembly was fully fixed, preventing any displacement in the x, y, and z directions.
The lander’s weight, simulated as a concentrated load at the apex of the pyramid-shaped foot, was applied as a vertical force. To account for the dynamic nature of the landing, an initial velocity was imposed on the lander, with its magnitude being the optimization parameter.
The last step for the simulation has been the choice of material models.
A key assumption of this model is the neglect of thermal gradients introduced by the impinging jets from the thrusters. This was primarily due to the unavailability of thermal property data for the regolith–PEEK mixture. Future analyses will incorporate these data as they become available through ongoing testing.
Starting from the foot, as mentioned before, it is made of Ergal 7075 and has been modeled as a simple, infinitely elastic material. This choice was justified by the fact that the considered aluminum is between 2 and 3 orders of magnitude more resistant than the considered regolith–PEEK mixtures, and thus, it is fair to assume that it will not break during the landing.
Regarding the tiles, the primary focus of this project phase is identifying the failure conditions rather than a detailed investigation of fracture mechanics. As the current testing campaign only encompasses a subset of the regolith–PEEK mixture’s mechanical properties, a simple elastic model was initially sufficient for exploring the allowable speed range. However, anticipating future tests that will provide a more comprehensive understanding of material behavior, a more complex model was implemented, potentially able to simulate the behavior of the material near the ultimate stress.
In the RADIOSS environment, the most suitable candidate is the Johnson–Cook model. Typically used for ductile metals, the model was adapted, in this case, by setting the yield stress σ_y very close to the ultimate tensile stress σ_UTS to mimic the brittle characteristics of the material [34].
The input required by the model are the following:
- Material density and ultimate strength, reported in Table 1.
- Poisson coefficient, estimated equal to 0.3, on the base of a statistical analysis of similar materials.
- Yielding strength, estimated as 5% lower than the ultimate strength. Again, this is a result of the statistical analysis.
- The engineering strain at failure estimated by approximating the stress–strain curves shown in Figure 2 to a right-angled triangle and thus evaluating the required strain as follows:
In order to complement the structural simulations, a preliminary thermal analysis was carried out to estimate the heating environment on the lunar surface during the descent of the European Large Logistic Lander (EL3). Since no direct plume–soil thermal flux data for EL3 are publicly available, the model was constructed by scaling from Apollo heritage and subsequent NASA Plume–Surface Interaction (PSI) studies. In particular, empirical correlations from Apollo CFD/DSMC analyses and post-mission reconstructions indicate that the surface heat flux beneath an impinging rocket jet scales approximately with thrust as q∝T0.8 and with nozzle–soil standoff distance as q∝h−2.5 [35,36].
Taking the Apollo LM Descent Engine (45 kN, nozzle height ~1.7 m, measured peak ~1–3 MW·m−2 at the soil) as a reference, the scaling was applied to Argonaut’s descent thrusters (three engines of ~6 kN each, nozzle exit ~1.0–1.2 m above the surface). The result yields a representative peak per-engine impingement flux of ~700 kW·m−2 at the centerline, reducing to ~150 kW·m−2 at a 0.5 m radial offset and ~30–40 kW·m−2 at 1.0 m. Detailed profiles of the heat flux at the engine center, 0.5 m side and 1 m side, during the last 30 s of the descent phase are reported in Figure 6.
Figure 6.
Heat flux at the center of a single engine, 0.5 m and 1 m along the axis, during descent and landing.
During descent, fluxes rise gradually in the last 20 s, peaking in the final second of hover before engine cutoff. These histories were tabulated and imposed as time-dependent boundary conditions in the FEM analysis. The tile assembly was modeled on a soil domain with a 3 m radius and 0.7 m depth, sufficient to encompass the plume-affected footprint while avoiding boundary reflection.
For the regolith–PEEK composite tiles with a 15% binder content, theoretical thermal properties were estimated based on constituent materials: thermal conductivity of 0.12–0.25 W/m·K, specific heat capacity of 0.8–1.2 J/g·K, and coefficient of thermal expansion of 8–15 × 10−6 K−1, derived from rule-of-mixtures calculations using pure PEEK properties (thermal conductivity 0.295 W/m·K, specific heat 1.42 MJ/m3 K, CTE 47 × 10−6 K−1) and lunar regolith simulant characteristics. For the natural lunar regolith substrate, experimentally validated thermal properties from Apollo sample analysis were applied: thermal conductivity of 0.012 W/m·K (loose regolith at 1.5 g/cm3 density), specific heat capacity of 0.6–0.8 J/g·K, and coefficient of thermal expansion of 6–10 × 10−6 K−1.
Although simplified, this approach provides a conservative, first-order estimate of the thermal gradients experienced by a regolith–PEEK tile. It offers an upper-bound assessment of the thermal demands on the binder phase, thereby addressing the suitability of the PEEK–regolith composite under realistic Argonaut landing and liftoff conditions.
3. Results
References [37,38] suggest that the modern optimal control theories will enable future vehicles to land on the Moon with an impact velocity in the range of 0.1 to 1 m/s, depending on their mass and propulsion system. To determine the landing limit velocity, a bisection method was employed. Starting with initial bounds of 0 and 1 m/s, a series of simulations was performed, comparing the maximum stress reached in the structure depicted in Figure 5b with the ultimate value bearable by the material. The velocity bounds were narrowed based on these comparisons. The process has been set to stop when reaching precision on the final interval of 10−2 m/s. This precision was deemed adequate for a preliminary model. The results of this process are listed in Table 2.
Table 2.
Maximum safe landing speed as a function of the DoE run number.
By plotting the maximum impact speed as a function of the binder content (Figure 7), it appears to be a linear relationship between the maximum sustainable landing speed and the percentage of binder in the mixture used to manufacture the tiles.
Figure 7.
Maximum safe impact speed vs. binder percentage.
This result is rather unexpected, but it can be justified by carefully considering the material properties of the polymer–regolith composite. First of all, from Figure 8a, it is evident how specimens can be grouped in families according to the binder content.
Figure 8.
(a) Flexural strength vs. flexural modulus. (b) Square root of the flexural strength vs. binder content.
It emerges that the DoE runs are distributed according to their flexural strength and flexural modulus. Figure 8a also shows how increasing the compaction pressure determines a linear relationship between the flexural modulus and strength. Furthermore, by plotting the strength versus the binder content (Figure 8b), it has been noticed that a quadratic relationship holds. Thus, one may write the following empirical relationships for the material in question, in the considered process parameter range:
where is the flexural strength, the flexural modulus, and is the binder content in weight percentage. Table A1 in the Appendix A collects all the coefficients of the linear fits performed in this work.
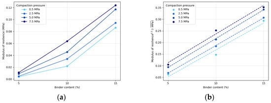
Toughness is commonly defined as the energy absorbed by a material before fracturing. A good estimate for this property can be made from the stress strain curve evaluating the so-called modulus of resilience as follows:
Indeed, the modulus of resilience is an expression of the maximum energy that can be stored in a material through elastic deformation before transitioning to the plastic regime. Given the brittle nature of the material in question, this will also be the energy accumulated before failure, as it will transition directly from the elastic regime to fracture [31].
Now, plugging both Equation (2a,b) in Equation (3) yields the following:
Thus, a linear relationship between the square root of the modulus of resilience and the binder content is expected. Indeed, by plotting vs. (Figure 9a) and vs. (Figure 9b), a clear linear trend is seen in the second case, where increasing the compaction pressure determines an upward shift of the trend line.
Figure 9.
Modulus of resilience as a function of binder content. (a) Linear scale. (b) Quadratic scale.
Given its relationship with the energy absorbed before fracture, it is expected that the modulus of resilience will be proportional to the maximum impact speed through the kinetic energy T associated with a landing craft with mass M as follows:
Now, by plugging Equation (4) into Equation (5), one finally gets the following:
Thus, proving that performing a landing simulation on a structural element (i.e., a tile) made from one of the materials explored in the DoE should output a maximum impact speed before fracture that is linearly proportional to the binder content of the material.
The speed limits obtained in this work, particularly those referring to binder percentages greater than 5, already cover a fair amount of the range of landing speeds cited at the beginning of this paragraph. Considering the above discussion, the data obtained for binder percentages of 5, 10, and 15 can be further processed in order to extract an estimate of what properties the material should have to sustain impacts at higher speeds. Exploiting the relationship in Equation (6), it is possible to estimate the value of needed to survive an impact at 1 m/s. Focusing on the maximum compaction pressure, the safe impact speed is determined by Equation (7).
As a result, a binder content is predicted to be sufficient for this application, assuming the linear trend remains valid also for higher binder percentages. The two main variables that influenced this result were the lander mass and the contact area between the foot and the tiles. Indeed, lighter landers or larger feet would require less binder content while achieving higher safe impact speeds. It is now possible to validate the self-consistency of this prediction by using the linear relationships expressed by Equation (2a,b) to estimate the properties of a material with 21% PEEK and using this as an input for a further round of simulations. By considering the maximum compaction pressure, the square root of the flexural strength is given by Equation (8).
Thus, yields .
Correlation 9 also seems to hold true.
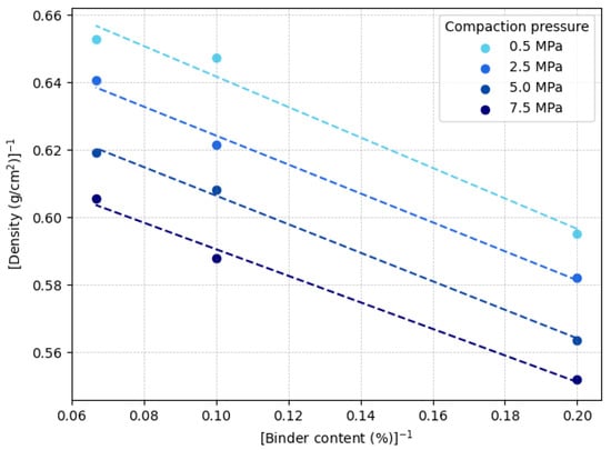
It is possible to estimate the flexural modulus, resulting in . The last remaining parameter that is missing is the density. In this case, Figure 10 shows a hyperbolic relationship between binder content and density and for the maximum compaction pressure is represented by Equation (10).
Figure 10.
Mixture density vs. binder percentage.
A value of is obtained.
Applying again the method described in the beginning of this section yields a value of the limit velocity for this new material of , which is fairly close to the predicted value of 1 m/s, with the maximum stress field shown in Figure 11.
Figure 11.
Von Mises stress field during the impact. The magnitude is given in MPa.
The discrepancy between the predicted value and the actual speed could be attributed to both the small sample of mechanical properties that led to the linear regression employed before or the quality of the model itself that must be refined in future iterations. These results are indeed promising as they show the validity of the tile design and material selection in terms of mechanical stability. Furthermore, the main strength of the adopted design approach lies in its ability to predict the necessary material properties based on the target landing speed. This, in turn, will allow engineers to minimize overall binder usage by tailoring the binder content for each specific application. It should be noticed that this analysis is not solely based on a statistical correlation, but a physical model has also been proposed, able to explain experimental observations.
The descent-phase thermal simulation, depicted in Figure 12 evidences that the maximum temperature occurs on the tile’s exposed top surface, reaching ~700 K (≈427 °C). This exceeds the PEEK service limit (~350 °C, ≈623 K), but remains well below basaltic-regolith vitrification (~1100 °C, ≈1373 K).
Figure 12.
Top surface temperature during descent: (a) central cone, (b) 0.25 m radius zone.
As shown in Figure 13, the maximum surface temperature (~700 K) is confined within a central circular area of about 0.5 m in diameter, while outside this region the peak temperature remains below 400 K, ensuring no thermal degradation of PEEK in the surrounding sintered tiles.

Figure 13.
Temperature grid: (a) top surface, (b) section view, (c) detail of section with depth measured.
Moreover, as evidenced in Figure 13c, the heated layer is shallow: the section view indicates that the thermal penetration depth is ≤3 mm, with a steep gradient into the bulk. Under these conditions, surface-level polymer degradation or embrittlement is expected in the central, jet-impinged tiles, but the underlying regolith skeleton remains below critical temperatures, so the tile’s load-bearing capacity is preserved for touchdown and subsequent ascent (i.e., localized surface damage without catastrophic loss of compressive performance). This outcome is consistent with a “best-case” regolith-dominant conduction path: heat is confined near the surface and dissipates rapidly in depth, limiting structural impact during the short exposure window.
To mitigate thermal degradation and ensure safe reuse of the landing pad, a maintenance strategy could be proposed based on embedded Fiber Bragg Grating (FBG) sensors and modular replacement. Each central tile of the landing pad could contain FBG sensors placed at two depths, one near the surface (≈1.5 mm) and one deeper in the core (≈5–6 mm), allowing the real-time monitoring of thermal loads. Thresholds can be defined such that an alert is triggered if the shallow sensor records peak temperatures above 650 K or rapid heating rates, while the deeper sensor flags concern if temperatures rise above 575–600 K or if the cumulative thermal dose surpasses an experimentally calibrated limit for binder aging. Tiles that exceed these limits in two consecutive landings or that reach their dose budget would be flagged for replacement. In parallel, several design refinements could enhance thermal resilience: applying a thin ceramic or sintered-regolith veneer (2–3 mm) as a sacrificial facing, coating the exposed zone with a high-emissivity and erosion-resistant layer to enhance radiative shedding.
4. Conclusions
This work focused on the preliminary design and validation, through numerical simulations, of a structural element made from a material optimized for ISRU. As a first application scenario, a lunar landing pad was selected, making the core element of the study a tile designed to withstand the landing of the European Large Logistic Lander.
The design process began with an in-depth study of the properties of the chosen material: a PEEK–regolith blend. Stress–strain curves derived from flexural testing revealed brittle behavior, with the specimens exhibiting very limited plasticity. Nevertheless, the specimens demonstrated good resistance even with a low binder content. The specifics of the production process associated with the composite material dictated the design of the tile, chosen to have hexagonal symmetry to maximize resistance and minimize potential production defects.
The design was subsequently validated through finite element analysis, where the maximum landing speed was determined as a function of the binder content for each compaction pressure used in material testing. A linear trend was observed, which could, in principle, enable future researchers to estimate the safe landing speed for binder contents beyond the three values for which mechanical properties were available. This observation was rationalized by considering that the maximum impact speed could be related, through the maximum dissipated kinetic energy, to the modulus of resilience, which exhibited a linear trend with the square of the binder content. The fact that the modulus of resilience followed this trend was further explained by noting that the flexural strength and modulus were linearly dependent on each other and that the square root of the strength was linearly proportional to the binder content.
To demonstrate the self-consistency of these findings, the linear relationships were used to estimate the binder content required to withstand an impact at 1 m/s. Extrapolating the material properties, the maximum impact speed that could be withstood by a tile with a 21 wt. % binder was evaluated at 0.9 m/s, which is close to the predicted value of 1 m/s.
These findings demonstrate the validity of the proposed tile design and the suitability of PEEK–regolith composites as a novel ISRU material. Most importantly, a rigorous theoretical framework has been developed that allows the estimation of the required binder content as a function of the impact speed, reducing testing costs and complexity. However, a long road toward the development of permanent lunar settlements still lies ahead. Further testing is required to establish the reliability of our predictions, probing whether the linear regime is held at higher binder contents. Additionally, full-scale testing of the tile design must be conducted to assess the thermal behavior of the material and its resistance to booster rocket firing during takeoff. Environmental tests should also be performed, testing the exposure to harsh temperatures and radiation on the lunar surface.
Author Contributions
Conceptualization, C.G.F.; methodology, A.P. and M.A.; software, A.P. and M.A.; validation, C.G.F.; formal analysis, A.P. and M.A.; investigation, C.G.F.; resources, C.G.F.; data curation, A.P. and M.A.; writing—original draft preparation, A.P. and M.A.; writing—review and editing, C.G.F.; visualization, A.P. and M.A.; supervision, C.G.F.; project administration, C.G.F.; funding acquisition, C.G.F. All authors have read and agreed to the published version of the manuscript.
Funding
This research received no external funding.
Data Availability Statement
The raw data supporting the conclusions of this article will be made available by the authors on request.
Conflicts of Interest
The authors declare no conflicts of interest.
Appendix A
In this annex, the results of the linear regressions performed in our quantitative analysis are reported in the form .
Table A1.
Coefficients of the linear regressions performed in this work.
Table A1.
Coefficients of the linear regressions performed in this work.
| Figure 7 | |||
| 0.5 MPa | 0.04700 | −0.21167 | 0.99266 |
| 2.5 MPa | 0.04700 | −0.14000 | 0.99460 |
| 5.0 MPa | 0.04700 | 0.09833 | 0.99985 |
| 7.5 MPa | 0.05125 | −0.08000 | 0.99993 |
| Figure 8a | |||
| 0.00873 | −0.42126 | 0.99687 | |
| Figure 8b | |||
| 0.5 MPa | 0.24793 | −0.56615 | 0.99271 |
| 2.5 MPa | 0.24218 | −0.31770 | 0.99925 |
| 5.0 MPa | 0.25819 | −0.16283 | 0.99999 |
| 7.5 MPa | 0.25708 | 0.03307 | 0.99403 |
| Figure 9b | |||
| 0.5 MPa | 0.02311 | −0.06292 | 0.97636 |
| 2.5 MPa | 0.02379 | −0.05098 | 0.99956 |
| 5.0 MPa | 0.02478 | −0.03115 | 0.99950 |
| 7.5 MPa | 0.02466 | −0.01011 | 0.98791 |
| Figure 10 | |||
| 0.5 MPa | −0.45178 | 0.68696 | 0.97589 |
| 2.5 MPa | −0.42874 | 0.66713 | 0.99309 |
| 5.0 MPa | −0.42304 | 0.64876 | 0.99690 |
| 7.5 MPa | −0.39359 | 0.62993 | 0.99226 |
References
- Campbell, A.; Carson, H.; De Soto, M.; English, K.; Fiske, M.; Martin, L.; Murai, V.; Ramirez, F.; Romo, E.; Schang, K.; et al. Lunar PAD—On the Development of a Unique ISRU-Based Planetary Landing Pad for Cratering and Dust Mitigation. In Proceedings of the AIAA Scitech 2021 Forum, Virtual, 11–15 and 19–21 January 2021. [Google Scholar] [CrossRef]
- Khoshnevis, B.; Carlson, A.; Thangavelu, M. ISRU-Based Robotic Construction Technologies for Lunar and Martian Infrastructures; University of Southern California: Los Angeles, CA, USA, 2017. [Google Scholar]
- Metzger, P.T.; Li, X.; Immer, C.D.; Lane, J.E. ISRU Implications for Lunar and Martian Plume Effects. arXiv 2021, arXiv:2104.06248. [Google Scholar] [CrossRef]
- Kalapodis, N.; Kampas, G.; Ktenidou, O.-J. A review towards the design of extraterrestrial structures: From regolith to human outposts. Acta Astronaut. 2020, 175, 540–569. [Google Scholar] [CrossRef]
- Brennan, L.; Siecinski, R.; Tremayne, M.; Patel, A.; Patel, P.; Singh, S.; Basily, B.; Benaroya, H. Mechanical design of a lunar habitat structure and deployment mechanism. Acta Astronaut. 2023, 213, 102–120. [Google Scholar] [CrossRef]
- Lak, A.; Asefi, M. A new deployable pantographic lunar habitat. Acta Astronaut. 2022, 192, 351–367. [Google Scholar] [CrossRef]
- Rousek, T.; Eriksson, K.; Doule, O. SinterHab. Acta Astronaut. 2012, 74, 98–111. [Google Scholar] [CrossRef]
- Benaroya, H. Advanced Systems Concept for Autonomous Construction and Self-Repair of Lunar Surface ISRU Structures. In Lunar Settlements; CRC Press: Abingdon, UK, 2010; pp. 537–550. [Google Scholar]
- Thangavelu, M.; Chao, A.M. PocketPadTM: Concept for an Expendable Safe Lander Touchdown Accessory. In Proceedings of the AIAA SPACE 2016, Long Beach, CA, USA, 13–16 September 2016. [Google Scholar] [CrossRef]
- Ferro, C.G.; Torre, R.; Charruaz, G.; Casini, A.E.M.; Cowley, A. Innovative design and construction methodologies for in-situ manufacturing of large sensorized structures in future human habitat on the Moon. In Proceedings of the 74th International Astronautical Congress (IAC), Baku, Azerbaijan, 2–6 October 2023. [Google Scholar]
- Kelso, R.M.; Romo, R.; Andersen, C.; Mueller, R.P.; Lippitt, T.; Gelino, N.J.; Smith, J.D.; Townsend, I.I.; Schuler, J.M.; Nugent, M.W.; et al. Planetary Basalt Field Project: Construction of a Lunar Launch/Landing Pad, PISCES and NASA Kennedy Space Center Project Update. In Proceedings of the 15th Biennial ASCE Conference on Engineering, Science, Construction, and Operations in Challenging Environments, Orlando, FL, USA, 11–15 April 2018. [Google Scholar]
- Campbell, A.I.; Carson, H.C.; De Soto, M.; Fiske, M.; Martin, L.; Murai, V.; Ramirez, F.; Romo, E.; Schang, K.; Smith, K. Lunar PAD Post-Hot Fire Test Performance Evaluation. In Proceedings of the AIAA SCITECH 2022 Forum, San Diego, CA, USA & Virtual, 3–7 January 2022. [Google Scholar] [CrossRef]
- Yashar, M.; Morris, M.; Pailes-Friedman, R.; Elshanshoury, W.; Esfandabadi, M.; Gomez, D.; Guzeev, A.; Netti, V.; Rajkumar, A. Project Olympus: Off-World Additive Construction for Lunar Surface Infrastructure. In Proceedings of the 50th International Conference on Environmental Systems, Lisbon, Portugal, 11–15 July 2021. [Google Scholar]
- AST, Inc. Astroport Space Technologies, Awarded a NASA Technology Research Contract for Lunar Construction [Online]. Available online: https://www.prnewswire.com/news-releases/astroport-space-technologies-awarded-a-nasa-technology-research-contract-for-lunar-construction-301297001.html (accessed on 29 July 2025).
- Ethos Space. Ethos Space [Online]. Available online: https://ethos-space.com (accessed on 29 July 2025).
- Redwire’s Innovative Manufacturing Technology Could Pave the Way for NASA’s Moon Missions. Redwire Space [Online]. Available online: https://redwirespace.com/newsroom/redwires-innovative-construction-technology-could-pave-the-way-for-nasas-moon-missions/ (accessed on 29 July 2025).
- Astroport. Exploration Architecture Corporation [Online]. Available online: https://explorationarchitecture.com/astroport/ (accessed on 29 July 2025).
- Astroport Space Technologies [Online]. Available online: https://astroportspace.com/ (accessed on 29 July 2025).
- ESA. Argonaut [Online]. Available online: https://www.esa.int/Science_Exploration/Human_and_Robotic_Exploration/Exploration/Argonaut (accessed on 29 July 2025).
- Gupta, N.; Dawara, V.; Kumar, A.; Viswanathan, K. Synthetic space bricks from lunar and Martian regolith via sintering. Adv. Space Res. 2024, 74, 3902–3915. [Google Scholar] [CrossRef]
- Ginés-Palomares, J.-C.; Fateri, M.; Kalhöfer, E.; Schubert, T.; Meyer, L.; Kolsch, N.; Lipińska, M.B.; Davenport, R.; Imhof, B.; Waclavicek, R.; et al. Laser melting manufacturing of large elements of lunar regolith simulant for paving on the Moon. Sci. Rep. 2023, 13, 15593. [Google Scholar] [CrossRef]
- Boazman, S.J.; Shah, J.; Harish; Gawronska, A.J.; Halim, S.H.; Satyakumar, A.V.; Gilmour, C.M.; Bickel, V.T.; Barrett, N.; Kring, D.A. The Distribution and Accessibility of Geologic Targets near the Lunar South Pole and Candidate Artemis Landing Sites. Planet. Sci. J. 2022, 3, 275. [Google Scholar] [CrossRef]
- Ross, A.K.; Ruppert, S.; Gläser, P.; Elvis, M. Preliminary quantification of the available solar power near the lunar South Pole. Acta Astronaut. 2023, 211, 616–630. [Google Scholar] [CrossRef]
- Marrone, M.; Pasqualin, L.; Ferro, C.G. Lunar Power Sources: An Opportunity to Experiment. Aerospace 2025, 12, 58. [Google Scholar] [CrossRef]
- Casini, A.E.M.; Maggiore, P.; Viola, N.; Basso, V.; Ferrino, M.; Hoffman, J.A.; Cowley, A. Analysis of a Moon outpost for Mars enabling technologies through a Virtual Reality environment. Acta Astronaut. 2018, 143, 353–361. [Google Scholar] [CrossRef]
- Meurisse, A.; Beltzung, J.C.; Kolbe, M.; Cowley, A.; Sperl, M. Influence of Mineral Composition on Sintering Lunar Regolith. J. Aerosp. Eng. 2017, 30, 4. [Google Scholar] [CrossRef]
- Farries, K.W.; Visintin, P.; Smith, S.T.; van Eyk, P. Sintered or melted regolith for lunar construction: State-of-the-art review and future research directions. Constr. Build. Mater. 2021, 296, 123627. [Google Scholar] [CrossRef]
- Cesaretti, G.; Dini, E.; Kestelier, X.D.; Colla, V.; Pambaguian, L. Building components for an outpost on the Lunar soil by means of a novel 3D printing technology. Acta Astronaut. 2014, 93, 430–450. [Google Scholar] [CrossRef]
- Torre, R.; Cowley, A.; Ferro, C.G. Low binder content bricks: A regolith-based solution for sustainable surface construction on the Moon. Discov. Appl. Sci. 2024, 6, 88. [Google Scholar] [CrossRef]
- Torre, R.; Ferro, C.G.; Bono, L.; Cowley, A. Regolith-Rich PEEK Composite Bricks: Steps Towards Space-Ready Lunar Construction Materials. Appl. Sci. 2025, 15, 679. [Google Scholar] [CrossRef]
- Yang, Y.; Wang, T.; Wang, S.; Cong, X.; Zhang, S.; Zhang, M.; Luan, J.; Wang, G. Strong Interface Construction of Carbon Fiber–reinforced PEEK Composites: An Efficient Method for Modifying Carbon Fiber with Crystalline PEEK. Macromol. Rapid Commun. 2020, 41, e2000001. [Google Scholar] [CrossRef]
- Yang, Z.-J.; Li, B.-B.; Wu, J.-Y. X-ray computed tomography images based phase-field modeling of mesoscopic failure in concrete. Eng. Fract. Mech. 2019, 208, 151–170. [Google Scholar] [CrossRef]
- Fazzi, L.; Valvano, S.; Alaimo, A.; Groves, R.M. A simultaneous dual-parameter optical fibre single sensor embedded in a glass fibre/epoxy composite. Compos. Struct. 2021, 270, 114087. [Google Scholar] [CrossRef]
- Wang, X.; Shi, J. Validation of Johnson-Cook plasticity and damage model using impact experiment. Int. J. Impact Eng. 2013, 60, 67–75. [Google Scholar] [CrossRef]
- Rochelle, W.C.; Kooker, D.E. Heat-Transfer and Pressure Analysis of Rocket Exhaust Impingement on Flat Plates and Curved Panels. J. Spacecr. Rocket. 1969, 6, 248–256. [Google Scholar] [CrossRef]
- Blackledge, M.L.; Butler, H.W.; Kooker, D.E.; Ratliff, A.W. Analysis of Heating Rates and Forces on Bodies Subject to Rocket Exhaust Plume Impingement; NASA: Washington, DC, USA, 1968. [Google Scholar]
- Capolupo, F.; Rinalducci, A. Descent & Landing Trajectory and Guidance Algorithms with Divert Capabilities for Moon Landing. In Proceedings of the AIAA SCITECH 2024 Forum, Orlando, FL, USA, 8–12 January 2024. [Google Scholar] [CrossRef]
- Liu, X.-L.; Duan, G.-R.; Teo, K.-L. Optimal soft landing control for moon lander. Automatica 2008, 44, 1097–1103. [Google Scholar] [CrossRef]
Disclaimer/Publisher’s Note: The statements, opinions and data contained in all publications are solely those of the individual author(s) and contributor(s) and not of MDPI and/or the editor(s). MDPI and/or the editor(s) disclaim responsibility for any injury to people or property resulting from any ideas, methods, instructions or products referred to in the content. |
© 2025 by the authors. Licensee MDPI, Basel, Switzerland. This article is an open access article distributed under the terms and conditions of the Creative Commons Attribution (CC BY) license (https://creativecommons.org/licenses/by/4.0/).