Next Article in Journal
Comparative Study of Hybrid Electric Distributed Propulsion Aircraft Through Multiple Powertrain Component Modeling Approaches
Next Article in Special Issue
Global Aero-Structural Optimization of Composite Forward-Swept Wings Considering Natural Laminar Flow
Previous Article in Journal
Experimental and Numerical Analysis of Wrinkling Behaviors of Inflated Membrane Airship Structures
Previous Article in Special Issue
Dynamic Resource Target Assignment Problem for Laser Systems’ Defense Against Malicious UAV Swarms Based on MADDPG-IA
 
 
Font Type:
Arial Georgia Verdana
Font Size:
Aa Aa Aa
Line Spacing:
Column Width:
Background:
Article

Unmanned Aerial Vehicle Tactical Maneuver Trajectory Prediction Based on Hierarchical Strategy in Air-to-Air Confrontation Scenarios

1
Graduate School, Air Force Engineering University, Xi’an 710038, China
2
China Aerodynamics Research and Development Center, Mianyang 621000, China
3
Aviation Engineering School, Air Force Engineering University, Xi’an 710038, China
4
93207 Forces, Jiuquan 735000, China
*
Author to whom correspondence should be addressed.
Aerospace 2025, 12(8), 731; https://doi.org/10.3390/aerospace12080731
Submission received: 30 June 2025 / Revised: 13 August 2025 / Accepted: 16 August 2025 / Published: 18 August 2025

Abstract

The prediction of the tactical maneuver trajectory of target aircraft is an important component of unmanned aerial vehicle (UAV) autonomous air-to-air confrontation. In view of the shortcomings of low accuracy and poor real-time performance in the existing maneuver trajectory prediction methods, this paper establishes a hierarchical tactical maneuver trajectory prediction model to achieve maneuver trajectory prediction based on the prediction of target tactical maneuver intentions. First, extract the maneuver trajectory features and situation features from the above data to establish the classification rules of maneuver units. Second, a tactical maneuver unit prediction model is established using the deep echo-state network based on the auto-encoder with attention mechanism (DeepESN-AE-AM) to predict 21 basic maneuver units. Then, for the above-mentioned 21 basic maneuver units, establish a maneuver trajectory prediction model using the gate recurrent unit based on triangle search optimization with attention mechanism (TSO-GRU-AM). Finally, by integrating the above two prediction models, a hierarchical strategy is adopted to establish a tactical maneuver trajectory prediction model. A section of the confrontation trajectory is selected from the air-to-air confrontation simulation data for prediction, and the results show that the trajectory prediction error of the combination of DeepESN-AE-AM and TSO-GRU-AM is small and meets the accuracy requirements. The simulation results of three air-to-air confrontation scenarios show that the proposed trajectory prediction method helps to assist UAV in accurately judging the confrontational situation and selecting high-quality maneuver strategies.

1. Introduction

Tactical maneuver trajectory prediction is an important component of UAV autonomous air-to-air confrontation and has a significant influence on maneuver decision-making. In the actual process of air-to-air confrontation, the side with trajectory prediction will quickly gain the advantage in the situation and complete the missile positioning maneuver before the opponent. Trajectory prediction is actually a prediction problem of time series and has a high degree of nonlinearity and time-varying nature [1]. According to the differences in existing prediction methods, maneuver trajectory prediction can be divided into two categories: model-driven and data-driven [2].
The model-driven maneuver trajectory prediction method is based on certain prior knowledge and establishes an accurate dynamic or kinematic model according to the motion law of the target. Reference [3] establishes a trajectory prediction model by online identification of various maneuver actions to predict the target position in real time. However, when the maneuver changes are relatively frequent, the prediction accuracy decreases. Reference [4] designs the maneuver mode set using aerodynamic parameters and realizes trajectory prediction through Monte Carlo sampling and Bayesian theory. Compared with the traditional extrapolation theory, it has higher accuracy. However, it requires the establishment of a relatively complete maneuver mode set, which is difficult to improve in actual situations. Reference [5] designs an adaptive interactive multi-model for trajectory prediction for the aircraft motion model controlled by aerodynamic parameters. However, this method requires that the attitude change of the target aircraft be relatively stable within a short period of time. Reference [6] proposes a grey dynamic filtering method for trajectory prediction. Compared with the traditional Kalman filtering and the original grey method, the prediction accuracy of this method has been significantly improved. However, it introduces the minimum variance estimate value into the differential equation, and the prediction performance is easily affected by the parameter estimate values. Reference [7] adopts an interactive model to solve the trajectory prediction problem. The maneuver trajectory prediction method based on Kalman filtering is restricted by both the aircraft motion model and the algorithm accuracy. Meanwhile, the prediction method based on the interactive multi-model algorithm improves the prediction accuracy by weighting multiple models but is still limited by the motion model. Based on the above studies, it can be known that the model-driven prediction method has strong real-time online prediction performance but requires the establishment of a relatively complete model for the target and it is difficult to establish a complete model in the actual flight process.
The data-driven maneuver trajectory prediction method realizes trajectory prediction at future moments by extracting trajectory patterns. From a data-driven perspective, there are two approaches to solving the problem of maneuver trajectory prediction: One is to regard the trajectory prediction problem as a function fitting problem; the other is to regard it as a prediction problem of time series [8]. The former fits the maneuver trajectory as static data and does not have dynamics. Reference [9] studies the characteristics of the target maneuver trajectory and proposes a target maneuver trajectory prediction method based on least squares curve fitting. Reference [10] utilizes the wavelet analysis method to enhance the trajectory recognition ability and establishes a trajectory extrapolation scheme by adopting the wavelet decomposition prediction method. This scheme has relatively high requirements for data processing, and the collected data often have certain deviations in the actual process. Reference [11] proposes a visual localization algorithm for autonomous vehicles based on multi-sensor fusion. By analyzing the localization perception accuracy of autonomous vehicles, the accuracy and range of different perception methods at large, medium, and small scales are obtained. Reference [12] conducts a comprehensive evaluation of attitude estimation algorithms in simulation experiments to determine their applicability in collision recovery pipelines for quadcopter UAVs. Reference [13] investigates an indoor sensor information fusion localization system for quadcopter UAVs to address the issue of unstable indoor flight localization, which provides valuable insights for improving the accuracy of predicting UAV maneuvering trajectory characteristics. Reference [14] proposes a safety framework to enhance the safety of unmanned aerial systems (UAS). Trajectory prediction methods based on time series include autoregressive models [15], hidden Markov models [16], Gaussian mixture models, fuzzy time series prediction [17], Elman neural networks, and recurrent neural networks (RNN). RNN prediction methods include RNN [18], long short-term memory (LSTM) neural networks, and gated recurrent neural networks [8]. Reference [19] proposes a 4D trajectory prediction model for aircraft, combining the convolutional neural network (CNN) with the LSTM network. Its prediction accuracy is higher than that of a single model. However, its drawback is that it can only conduct short-term predictions, and the trajectory changes of the aircraft cannot be too intense, with a limited application scope. Reference [20] proposes an LSTM network based on deep encoding and deep decoding for trajectory prediction, which improves the accuracy and robustness of the prediction. However, it is only applied to the terminal airspace where the aircraft’s flight trajectory is relatively smooth, and the prediction accuracy would be significantly reduced in complex trajectory cases. To improve the performance of the trajectory prediction model, reference [21] proposed a time series convolutional neural network (TSCNN) based on the deep learning trajectory mapping network. After testing, in terms of computing time and prediction accuracy, TSCNN has better performance than other deep learning models. Reference [22] proposes a Gaussian process regression (GPR) framework for UAV trajectory prediction, which has the ability to predict UAV trajectories online. Simulation experiments and actual datasets show that the proposed framework is superior to the comparative trajectory prediction methods. Reference [23] proposes a deep echo-state network based on projection coding (DEESN) and applies it to solve the multi-step time series prediction problem. This method can learn the dependencies among future time series, which is helpful to improve the prediction performance. The experimental results on six different datasets and comparison models show that the method proposed in [23] has good accuracy and robustness for multi-step time series prediction problems. The analysis of the data characteristics related to the maneuver unit shows that the data feature sequence corresponding to the maneuver unit of the target aircraft has the characteristics of a long-time domain. To fully utilize the advantages of DEESN in multi-step time series prediction problems and the advantages of the attention mechanism in feature weight distribution, this paper inherits and improves on the DEESN. The deep echo-state network based on auto-encoder (DeepESN-AE) [24] is combined with the attention mechanism and used to establish the maneuver unit prediction model of the target aircraft to achieve online maneuver unit prediction. Reference [8] utilizes the gate recurrent unit (GRU) to predict flight trajectories. By comparing the number of different network layers and the number of neurons, the optimal GRU network is selected. Compared with the back propagation (BP) neural network, the prediction error of this method is reduced. To fully utilize the advantages of GRU in flight trajectory prediction, overcome the problem that using the gradient descent method to solve the weights and biases of GRU is prone to falling into local optimum, and avoid overfitting of the prediction model, first, this paper uses triangle search optimization (TSO) to solve the weights and biases of GRU; second, the gate recurrent unit based on triangle search optimization (TSO-GRU) is combined with the attention mechanism to obtain an improved maneuver trajectory prediction method. Then, based on the above method, an enhanced maneuver trajectory prediction model is established and applied to the online prediction of the maneuver trajectory characteristics of the target aircraft.
The above-mentioned references focus on the historical trajectory data of UAVs and mine the patterns therein to achieve the trajectory prediction of UAVs at future moments. Most studies focus on the optimization problem of UAV flight trajectory prediction algorithms, while few studies pay attention to the influence of UAV maneuver state on the future flight trajectory of UAV. In this article, first of all, a maneuver unit prediction model based on DeepESN-AE-AM is established and used to predict the tactical maneuver unit category of the target aircraft. Moreover, the reliability of this prediction model is tested using the maneuver trajectory data generated by the high-fidelity adversarial simulation environment. Second, a maneuver trajectory prediction model based on TSO-GRU-AM is established according to the type of tactical maneuver unit, and it is used to predict the maneuver trajectory characteristics of the target aircraft. Then, a hierarchical strategy is adopted to establish a hierarchical tactical maneuver trajectory prediction model. Based on the target maneuver unit category, select an appropriate maneuvering trajectory prediction feature calculation method. When the target maneuver unit category remains unchanged, use the output of the maneuver trajectory prediction model as the input for calculating the target’s state variables at the next moment. When the target maneuver unit category changes, it indicates that the target is currently in a maneuvering transition phase. In this case, use the output of the maneuver unit prediction model as the input for calculating the target’s state variables at the next moment. Since the data feature sequence related to the maneuver unit has the characteristics of a long-time domain, the type of maneuver unit can represent the tactical maneuver intent of the target aircraft at a certain stage. By predicting the type of maneuver unit, the tactical maneuver intent of the target aircraft can be obtained. Due to the introduction of the hierarchical strategy, the tactical maneuver trajectory prediction model has the ability to conduct trajectory prediction based on tactical maneuver intent prediction results; this further enhances the accuracy of predicting the target’s tactical maneuver trajectory characteristics. Regarding the application of the hierarchical tactical maneuver trajectory prediction model, first, based on the aforementioned target maneuver trajectory characteristic prediction results and combined with the target’s current state variables, the target’s future state variables are calculated; second, the predicted target state variables are input into the UAV autonomous maneuvering decision-making model; then, during each simulation iteration, the UAV’s situational advantage is calculated, and the optimal maneuvering strategy is solved under the guidance of maximizing the comprehensive situational advantage objective; finally, the aforementioned optimal maneuvering strategy is used as input for the UAV motion model, and the UAV’s maneuvering control module is invoked to achieve UAV maneuvering control.
The main contributions of this paper are summarized as follows:
Through four trajectory characteristics, the trajectories are classified into three categories and twenty-one basic maneuver units, simplifying the complex trajectories.
The TSO algorithm is adopted instead of the gradient descent algorithm to update the internal weights and biases of the gated recurrent neural network, which overcomes the local optimum problem.
To address the overfitting problem that exists in the training dataset for the maneuver unit prediction method and the maneuver trajectory prediction method, we propose an attention weight allocation mechanism and integrate it with the above two prediction methods to construct an enhanced predictor.
When the target’s maneuvering behavior changes, the error of the maneuver trajectory prediction model is relatively large, which affects the effectiveness of the model in the UAV autonomous maneuver decision-making system. To address this issue, a hierarchical tactical maneuver trajectory prediction model is constructed. On the one hand, this improves the adaptability of the prediction model to different types of datasets; on the other hand, it enhances the effectiveness of the prediction model in the UAV air-to-air confrontation autonomous maneuver decision-making system.

2. Problem Statement

For the research objects involved in the tactical maneuver trajectory prediction problem, such as UAVs and maneuver units, this section mainly introduces the UAV motion model, the classification rules of maneuver units, and the overall framework of the hierarchical tactical maneuver trajectory prediction model.

2.1. UAV Kinematic and Dynamic Model

To define the characteristics of maneuver actions, a kinematic and dynamic model of the UAV is established. A schematic diagram of the UAV model is shown in Figure 1. The control variables of this model are throttle δ u , angle of attack α u , and rolling angle μ u . In Figure 1, D u is air resistance, L u lift, T u engine thrust, v u the velocity of the UAV, v u projection of the UAV velocity on horizontal plane, γ u inclination angle, and ψ u deflection angle. ( x u ,   y u ,   z u ) are position coordinates of the UAV in the inertial coordinate system.
The mathematical formula of the UAV model is described as follows [25]:
x ˙ u = v u cos γ u cos ψ u y ˙ u = v u cos γ u sin ψ u z ˙ u = v u sin γ u
v ˙ u = T u cos α u D u m u g u sin γ u γ ˙ u = ( L u + T u sin α u ) cos μ u m u v u g u v u cos γ u ψ ˙ u = ( L u + T u sin α u ) sin μ u m u v u cos γ u
v ˙ u , γ ˙ u and ψ ˙ u denote the change rates of velocity, inclination angle, and deflection angle, respectively. m u is the mass of the aircraft, and g u is the gravitational acceleration.
During the flight process, due to the consumption of fuel, the mass of the UAV itself will decrease. The rate of mass change is determined by the consumption coefficient c , and its formula is as follows:
m ˙ u = c T u
Thrust, lift, and air resistance are affected by the shape of the aircraft, flight states, and environmental factors. Their calculation formulas are as follows:
T u = δ u T u m a x ( v ¯ u , h c )
L u = 1 2 ρ v u 2 S u C L
D u = 1 2 ρ v u 2 S u C D
T u m a x is the maximum thrust of the UAV engine, and this value is a function of the average velocity v ¯ u and altitude h c . ρ represents the density of air; S u is the aerodynamic cross-sectional area of the UAV; and C L and C D respectively represent the lift and drag coefficients. In the process of calculating the thrust, air resistance, and lift related to the UAV model, it is necessary to obtain the aerodynamic parameters and engine characteristics of the UAV. This paper takes the publicly available “Storm Shadow” [26] as the simulation object of UAV, and its aerodynamic characteristics are fitted using the BP neural network. The specific parameters have been described in the literature [26].

2.2. Classification of Maneuver Units

Air-to-air confrontation maneuvers can be classified into three categories: maneuvers in the vertical plane, maneuvers in the horizontal plane, and combined maneuvers in space [27]. In the horizontal plane, according to the rate of change of the deflection angle, the maneuver trajectory can be divided into level flight, right turn, and left turn. Under normal circumstances, if the rate of change of the deflection angle ψ ˙ u is positive, it indicates that the aircraft is turning left. ψ ˙ u is negative, indicating that the aircraft is turning right. ψ ˙ u is zero, indicating that the aircraft is flying level. If the cumulative angle Δ ψ u a d d of the change in the deflection angle reaches 90° or −90°, the maneuver trajectory from the start of the accumulation to the current moment is regarded as a decomposed left-turn or right-turn maneuver trajectory. If the cumulative angle Δ ψ u a d d reaches 180° from 90°, it indicates that this section of the trajectory is a left turn. If this section of the trajectory continues to turn left, the accumulated angle Δ ψ u a d d will exceed 180°, and at this point, the angle will be reset to zero for calculation. The decomposition of the right-turn maneuver trajectory is similar to that of the left-turn. For direct flights, the deflection angle of the current flight path remains unchanged, and its rate of change value is 0. The maneuver trajectory units in the horizontal plane are divided into three types, namely MU01, MU08, and MU15, as shown in Figure 2.
In the vertical plane, maneuver actions can be classified into climbing and diving based on the inclination angle and the rate of change of the inclination angle. For climbing maneuvers, such as the half-jack reverse maneuver action, it can be composed of two trajectory segments. First, the inclination angle changes from 0° to 90°, its normal acceleration is slightly upward, and the trajectory shape is a concave climbing shape. Second, the inclination angle changes from 90° to 0°. Its normal overload is slightly downward, and the flight trajectory is in a convex upward climbing shape. The maneuver trajectory units within the vertical plane are divided into six modes: concave ascent, straight ascent, convex ascent, convex descent dive, straight descent, and concave descent dive, as shown in MU02 to MU07 in Figure 2a.
In space, a spatial action can be decomposed into a maneuver within the horizontal plane and a maneuver within the vertical plane. According to the classification within the horizontal plane, the spatial maneuver trajectory units are divided into two major categories: spatial left-turn maneuver and spatial right-turn maneuver. According to the classification within the vertical plane, the left-turn maneuvers in space are divided into left-turn concave upward flight, left-turn straight upward flight, left-turn convex upward flight, left-turn convex downward flight, left-turn straight downward flight, and left-turn concave downward flight. The right turn in space is similar to the left turn in space. The specific classification of the space left-turn maneuver trajectory units is shown in Figure 2b, namely MU09 to MU14. Similar to the left turn, the spatial right-turn maneuver trajectory unit is specifically divided into right-turn concave upward flight, right-turn straight upward flight, right-turn convex upward flight, right-turn convex downward flight, right-turn straight downward flight, and right-turn concave downward flight (except for the horizontal right turn), as shown in MU16 to MU21 in Figure 2c.
Based on the above analysis, in this paper, the inclination angle γ u (the angle between the tangent direction of the track and the horizontal plane), the inclination angle change rate γ ˙ u , the cumulative change angle of the deflection angle Δ ψ u a d d , and the deflection angle change rate ψ ˙ u are taken as the classification parameters of the maneuver unit, and the classification rules of the maneuver unit are established, as shown in Table 1. All kinds of complex maneuver actions can be decomposed into several of the above-mentioned maneuver units.

2.3. Framework of Hierarchical Tactical Maneuver Trajectory Prediction Model

This paper adopts a hierarchical strategy to solve the prediction information of the tactical maneuver trajectory of the target aircraft. First, extract the situation feature sequences and maneuver unit sequences in the air-to-air confrontation simulation data and use them to train DeepESN-AE-AM. After completing the training of the above-mentioned maneuver unit prediction network, it can be used to predict the tactical maneuver units of enemy aircraft online. Second, extract the characteristic parameters of the basic flight maneuver trajectory according to the category of maneuver units and apply them to train TSO-GRU-AM. After completing the training of the above-mentioned maneuver trajectory prediction model, it can be used to predict the maneuver trajectory of enemy aircraft online. Then, based on the model established above, a hierarchical tactical maneuver trajectory prediction model is established. On the one hand, the predicted category of the maneuver unit is compared with that of the maneuver unit at the previous moment; on the other hand, based on the results obtained from the above comparison, a fusion strategy is adopted to select an appropriate maneuver trajectory prediction model. Finally, the aforementioned hierarchical tactical maneuver trajectory prediction model is applied to the UAV autonomous maneuver decision-making process, and its performance is verified through air-to-air confrontation simulation experiments. On the one hand, the model predicts the enemy aircraft’s status information online and uses it as input for the UAV autonomous maneuver decision-making model. On the other hand, based on the above enemy aircraft status information, the UAV’s situation value is calculated, and the UAV’s optimized maneuver strategy is solved under the goal of maximizing the situation value. The framework of the UAV hierarchical tactical maneuver trajectory prediction model is shown in Figure 3.
The past moment’s air-to-air confrontation status characteristics and target maneuver unit sequence are used as inputs for the maneuver unit prediction model, and the output of this model is the target maneuver unit label at the future moment. The above target maneuver unit prediction problem belongs to the time series prediction problem, and the specific definition of this problem is as follows:
L m u , m = f m u X m u , n | θ m u
Among them, L m u , m is the sequence of maneuver units at time m in the future; f m u is the prediction model of the maneuver unit; θ m u represents the parameters of the maneuver unit prediction model, such as the weights and biases of the neural network; and X m u , n is the input variable at the past n moments. First, based on air-to-air confrontation simulation data, obtain situation characteristics and target trajectory characteristic sequences, and extract the maneuver unit sequence of the target aircraft. Then, based on the above feature sequence and maneuver unit sequence, construct training samples. Input the obtained samples into the model for training to obtain a maneuver unit prediction model. Finally, the above prediction model is applied to the autonomous air-to-air confrontation process of UAVs. On the one hand, it can predict the maneuver unit of the target; on the other hand, the prediction result is used as input for the subsequent target maneuver trajectory prediction model.
Based on the predicted target maneuver unit category, select the corresponding maneuver trajectory prediction model. On this basis, use the trajectory characteristics of the target at past times as input for the model and the trajectory characteristics of the target at future times as output for the prediction model. The above target maneuvering trajectory prediction problem belongs to the category of multivariate time series maneuvering trajectory prediction problems, which are defined as follows:
Y m = f t r a j X t r a j , n | θ t r a j
Among them, Y m is the trajectory feature at the future m moment; f t r a j is the maneuver trajectory prediction model; θ t r a j is the parameter of the prediction model, such as the weight and bias of the neural network; and X t r a j , n is the input variable at the past n moment. First, select the corresponding maneuver trajectory prediction model based on the target maneuver unit prediction results. Second, extract the trajectory feature sequence of the target aircraft at the past time and use it as input for the above prediction model. Finally, the prediction model outputs the trajectory features of the target at the future time.
The integration of the two prediction models aims to establish a relationship between target maneuver unit prediction and maneuver trajectory prediction. First, if the sequence length of the target maneuver unit prediction model output is increased, its prediction accuracy will decrease. Therefore, it is necessary to select a reasonable maneuver unit output sequence length. Second, when the maneuver unit category corresponding to the trajectory features input into the target maneuver trajectory prediction model does not align with the results obtained from the maneuver unit prediction model, the target maneuver is currently at the intersection of maneuver units. At this point, the maneuver trajectory prediction model is no longer applicable, and the target’s predicted maneuver trajectory features should be extracted from the output results of the target maneuver unit prediction model. To enhance the applicability of the maneuver trajectory prediction model, it is necessary to select a reasonable sequence length for the maneuver trajectory feature output. In summary, designing a fusion strategy for the two prediction models is a necessary process for achieving accurate prediction of the target’s tactical maneuvering trajectory.
To validate the superiority and effectiveness of the aforementioned prediction model, this paper selects the modified marine predator algorithm (MMPA) from reference [28] as the autonomous maneuvering decision-making method for UAV air-to-air confrontation. The target maneuver trajectory information obtained from the hierarchical tactical maneuver trajectory prediction model is converted into target state variables and applied to the maneuver decision-making process of the UAV. Statistics on the number of wins, the number of steps to win, and the prediction time of each step are provided to support the evaluation of the prediction model’s performance.

3. Tactical Maneuver Unit Prediction Based on DeepESN-AE-AM

Target tactical maneuver unit prediction is a prerequisite for maneuver trajectory prediction. Its main idea is to predict the tactical maneuver unit feature sequence of the target at a future time based on the situation characteristics and the target’s historical maneuver unit sequence. This section adopts the 21 types of maneuver units shown in Figure 2 to construct a sequence of maneuver unit characteristics. At present, the prediction of tactical maneuver intentions mainly adopts model reasoning and data-driven methods. Model reasoning requires the use of prior knowledge to construct the reasoning model, while air-to-air confrontation is full of complexity and uncertainty, making it difficult to construct the reasoning engine [29]. The data-driven tactical maneuver intention prediction method has high requirements for training samples, and the description of tactical maneuver intention is abstract [30]. Combining the feature sequence of tactical maneuver units with the integrated deep learning method is conducive to improving the prediction accuracy of tactical maneuver units and is beneficial for vividly expressing the intention of tactical maneuver [31].

3.1. DeepESN-AE-AM

To avoid the overfitting phenomenon in the training process of the maneuver unit prediction model and improve the accuracy of the weak predictor, combined with the attention mechanism (AM) [32], the DeepESN-AE [24] is improved, and the DeepESN-AE-AM is proposed. The attention mechanism is used to evaluate the weights of the base predictor. Its core idea is as follows: on the one hand, test samples are selected from the training sample set, and their similarity to the corresponding output results of the base predictor is calculated; on the other hand, the similarity calculation results are used as input to calculate the weight coefficients of the base predictor. The network structure and mathematical model of DeepESN-AE have been introduced in detail in the literature [24] and will not be introduced in this paper. Suppose the training sample set is P m u = X m u , i , Y m u , i i = 1 m s , where X m u , i is the i-th time series sample input and Y m u , i is the i-th supervised signal; the base prediction algorithm is DeepESN-AE, denoted as f D e e p e s n a e ( · ) ; and the number of base predictors is T. The specific algorithm description is as follows:
Step 1: Initialize the weight distribution of the time series samples D 1 = ( ω 1 , 1 , ω 1 , 2 , , ω 1 , m ) . The weights of each sample are calculated as follows:
ω 1 , i = 1 m s , i = 1 , 2 , , m s
Among them, m s represents the sample size.
Step 2: For the iterative round t = 1 , 2 , , T , train the base predictor h t = f D e e p e s n a e ( P m u , D t ) using the training samples of the trainer with the current distribution D t ;
Step 3: Use the cosine distance to calculate the similarity between the base predictor h t and the training sample set:
ε t = i = 1 m s ω t , i s t , i
s t , i = c o s i n e _ s i m i l a r i t y Y m u , i , h t X m u , i 2 S t 2
S t = max c o s i n e _ s i m i l a r i t y Y m u , i , h t X m u , i , i = 1 , 2 , , m s
Among them, s t , i represents the relative similarity of the i-th sample on the t-th base predictor, and S t is the maximum similarity of the samples in the t-th round.
Step 4: Calculate the weight coefficient a t of the base predictor h t :
a t = ε t 1 ε t
Step 5: Update the sample distribution of the training time series set D t + 1 until the maximum number of iteration rounds is reached.
ω t + 1 , i = ω t , i a t 1 s t , i i = 1 m s ω t , i a t 1 s t , i
Step 6: Linearly combine T-base predictors to obtain the final enhanced predictor:
f D e e p e s n a e a m X m u = t = 1 T ln 1 a t G X m u
where G ( X m u ) is the median of all a t h t ( X m u ) .

3.2. The Prediction Process of Tactical Maneuver Units Based on DeepESN-AE-AM and the Parameter Selection of the Prediction Algorithm

(1)
Tactical maneuver unit prediction process based on DeepESN-AE-AM
The tactical maneuver unit prediction model takes the situation characteristic parameters and the sequence of tactical maneuver units as input and the sequence of maneuver units at future moments as output. It is mainly used to explore the change patterns of tactical maneuver units. The prediction process of the tactical maneuver unit based on DeepESN-AE-AM is shown in Figure 4. The specific steps are as follows:
Step 1: Obtain the training samples. Based on air-to-air confrontation simulation data, extract situation characteristics and target maneuver unit sequences L m u , and use the above information to construct the training sample set X m u , Y m u for the prediction model.
Step 2: Initialize the base predictor algorithm DeepESN-AE, with the number of base predictors being T;
Step 3: Initialize the distribution weight of the training samples D 1 ;
Step 4: Train the base predictor DeepESN-AE. First, initialize the parameters of the base predictor, input the training samples into the storage pool one by one, reduce the dimension through the auto-encoder, and then input them back into the storage pool. Then, by using all the storage pool states and supervision signals, the connection weights of the output layer are trained;
Step 5: Calculate the weight coefficient a t and update the sample distribution D t + 1 ; determine whether the iteration round has ended. If it has ended, output the weighted enhanced predictor DeepESN-AE-AM; otherwise, continue training the base predictor.
Step 6: Test the obtained maneuver unit prediction model. First, extract situation features and maneuver unit sequences from air-to-air confrontation simulation data. Second, use the above information to construct a test sample set and input it into the maneuver unit prediction model. Then, statistically analyze the output results of the above prediction model to evaluate the model’s performance.
(2)
DeepESN-AE-AM parameter analysis and simulation
The air-to-air confrontation data are used to obtain DeepESN-AE-AM input time series step, prediction step, number of base predictors, number of storage pool layers, storage pool size N r , spectral radius (SR), input scaling (IS), and storage pool sparsity degree (SD).
First, we analyze the input step size n and output step size m of the maneuver unit prediction model. The results of different combinations of input step size and output step size on DeepESN-AE-AM are shown in Figure 5. With the increase of the input step size, the root mean square error (RMSE) does not change much, but the prediction time increases; with the increase of the output step size, the RMSE also increases, and the prediction time does not change much. In summary, the input step size is taken from 2 to 5, and the output step size is taken from 1 to 3. To increase the diversity of tactical maneuver unit prediction, this paper selects the input step size n = 5 and the output step size m = 3.
The effect of different numbers of DeepESN-AE weak predictors on the prediction performance of DeepESN-AE-AM is given in Figure 6. As can be seen from Figure 6a, when the number of weak predictors is less than 10, the RMSE fluctuates slightly locally but shows an overall decreasing trend; when the number of weak predictors is equal to 10, the RMSE reaches a minimum value; as the number of weak predictors continues to increase, although the RMSE reaches smaller values, it exhibits significant fluctuations, which is detrimental to the performance of the predictors; from Figure 6b, it can be seen that the prediction time increases with the increase of the number of weak predictors. In summary, the number of weak predictors of DeepESN-AE is selected as 10 in this paper.
The effect of different numbers of storage pool layers on the performance of the maneuver unit prediction network is given in Figure 7. As shown in Figure 7, from the perspective of the algorithm’s average prediction time, the average prediction time increases approximately linearly with the increase in the number of storage pool layers. From the perspective of the algorithm’s RMSE values, the RMSE values exhibit significant fluctuations with the increase in the number of storage pool layers, and the RMSE values are smallest when the number of storage pool layers is 2. In summary, when the number of storage pool layers is 2, both the RMSE value and the average prediction time are relatively small, which is beneficial for improving the algorithm’s performance in practical tactical maneuver unit prediction problems. Therefore, the number of storage pool layers for the DeepESN-AE-AM algorithm is set to 2.
Figure 8 gives the effect of different storage pool sizes and self-encoder hidden layer dimensions on the prediction performance of DeepESN-AE-AM. First, we analyze the algorithm parameter settings from the perspective of the algorithm’s RMSE values. As shown in Figure 8a, increasing the storage pool size results in a decreasing trend in RMSE values; increasing the hidden layer dimension of the self-encoder leads to a slight increase in RMSE values. Second, we analyze the algorithm parameter settings from the perspective of the algorithm’s average prediction time. As shown in Figure 8b, increasing the storage pool size results in an increasing trend in average prediction time; increasing the hidden layer dimension of the self-encoder results in a slight increase in the average prediction time. Based on the above analysis, this paper sets the storage pool size of the DeepESN-AE-AM algorithm to 150 and the hidden layer dimension of the self-encoder to 50; although the RMSE value does not reach the minimum at this point, the average prediction time of the algorithm meets the iteration requirements of the simulation system.
Figure 9 presents the influence of SR, IS, and storage pool SD on the prediction performance of DeepESN-AE-AM. These three parameters do not increase the structure of ESN. Therefore, the influence of these three parameters on the prediction time is almost very small. It can be seen from Figure 9a that with the increase of IS, RMSE changes little but shows a slightly increasing trend. As the storage pool SD increases, the RMSE values fluctuate. Therefore, the IS value should not be too large, and the SD value should be taken when the RMSE value fluctuates to a low point. It can be seen from Figure 9b that with the increase of SR, RMSE shows a slightly decreasing trend. Based on the above analysis, SR is taken as 0.9, IS as 0.8, and the storage pool SD as 0.3.

3.3. Simulation of Tactical Maneuver Unit Prediction Based on DeepESN-AE-AM

According to the simulation experiments of DeepESN-AE-AM parameter analysis in Section 3.2, the parameter settings for the DeepESN-AE-AM algorithm are as follows: the input step n = 5, the output step m = 5, and the number of weak predictors is 10, with the storage pool of 2 layers, and the size of the storage pool is 150; the self-encoder hidden layer dimension is 50, SR is 0.9, IS is 0.8, and the storage pool SD is 0.3.
To evaluate the performance of the tactical maneuver unit prediction algorithm proposed in this paper, on the one hand, DeepESN-AE-AM is compared with support vector regression (SVR) and BP to verify the superiority of the proposed algorithm; on the other hand, DeepESN-AE-AM is compared with ESN [33], DeepESN [34], Deep-ESN-AE [24], and DeepESN-AM to assess the impact of improvements made to the base ESN algorithm on the algorithm’s predictive performance. Table 2 describes the specific parameter settings for the aforementioned comparison algorithms. This paper utilizes air-to-air adversarial simulation data to extract training and testing samples for the tactical maneuver unit prediction model. First, situational features and target tactical maneuver unit sequences are extracted from the aforementioned data. Second, based on the input step size, output step size, and feature sequence length of the prediction model, training and testing datasets are constructed. Finally, the number of training samples obtained is 2075, and the number of testing samples is 207. The experimental simulation environment is Windows 10, the CPU is 2.80 GHz, there is 8 GB RAM, and the programming language is Matlab. To avoid the impact of random factors in simulation experiments on algorithm performance metrics, each simulation experiment is run independently 20 times, and the average of the 20 experimental results is used as the basis for evaluating the performance of the prediction algorithm. This paper primarily uses the following experimental result statistics as evaluation metrics for algorithm prediction performance: the mean absolute error (MAE), the RMSE, the mean absolute percentage error (MAPE), and the test time.
Taking the test samples as the input of the maneuver unit prediction model, the prediction results are statistically analyzed. Figure 10 presents the prediction results of the maneuver unit categories for each algorithm listed in Table 2. It can be seen from Figure 10a that, compared with other algorithms, the overall trend of the maneuver unit prediction results of DeepESN-AE-AM is similar to the overall trend of the real maneuver unit. As can be seen from Figure 10b, although the prediction results of ESN and its improved algorithm are relatively similar to the real maneuver units, the prediction results of DeepESN-AE-AM are the closest.
Table 3 describes the statistical results of the prediction error and prediction time of the algorithms listed in Table 2. It can be seen from Table 3 that in the horizontal comparison of the performance of prediction algorithms, DeepESN-AE-AM outperforms SVR and BP in terms of indicators such as MAE, RMSE, and MAPE, and the average prediction time of this algorithm meets the requirements of simulation real-time. Although SVR performs best in terms of the standard deviations of indicators such as MAE, RMSE, MAPE, and average prediction time, the algorithm performs poorly in indicators such as MAE, RMSE, and MAPE, which is not conducive to the application of the algorithm in the prediction problem of tactical maneuver units. In terms of the longitudinal comparison of the performance of prediction algorithms, DeepESN-AE-AM performs the best in indicators such as MAE, RMSE, and MAPE. This indicates that the improvements made to the basic algorithm ESN in this paper are effective. On the one hand, the algorithm improvement measures proposed in this paper reduce the average prediction performance indicators such as MAE, RMSE, and MAPE. On the other hand, since the improved algorithm builds an enhanced predictor on the basis of a weak predictor, its average prediction time increases, but it still meets the real-time requirements of simulation. Although the average prediction time of the basic algorithm ESN is the least, the other prediction performance indicators of this algorithm are not as good as those of the algorithm proposed in this paper. The standard deviation of the average prediction time of DeepESN-AE is the smallest, indicating that the average prediction time of this algorithm is relatively stable. However, other prediction performance indicators of this algorithm are worse than those of DeepESN-AE-AM, which is unfavorable for its use in the prediction problem of actual tactical maneuver units. To sum up, in terms of the horizontal comparison of the performance of prediction algorithms, the performance of the DeepESN-AE-AM algorithm is superior to that of the comparison algorithms. In terms of the longitudinal comparison of the performance of prediction algorithms, the improvement for the DeepESN-AE-AM algorithm is effective.

4. Maneuver Trajectory Prediction Based on TSO-GRU-AM

Current maneuver trajectory prediction primarily employs recursive models and data-driven methods. Recursive models assume that the target’s basic motion model is valid, and its motion remains unchanged within the prediction step length [31]; data-driven methods do not adequately consider the time series of maneuver trajectory prediction and do not extract trajectory information for future time steps from the perspective of intent recognition [35]. Building on the results of tactical maneuver intent prediction in Section 3, this section employs a recurrent neural network based on attention mechanisms and optimization algorithms to predict the maneuver trajectory features of the maneuver unit at future time steps. It then combines this with current trajectory information to calculate the trajectory information of the target aircraft at the next time step.

4.1. TSO-GRU-AM

To overcome the problem that the gradient optimization of the GRU falls into a local optimum, this section utilizes TSO [36] to optimize the weights and biases of the trained GRU. Meanwhile, to avoid the overfitting problem of the maneuver trajectory prediction model, the TSO-GRU neural network is improved by combining the attention mechanism [32], and the TSO-GRU-AM neural network is obtained. The base prediction algorithm used in the above-mentioned improved algorithm is TSO-GRU, denoted as f T s o g r u ( ) , and the number of base predictors is T . The structure and mathematical model of the TSO-GRU network have been introduced in detail in the literature [25] and will not be introduced in this paper.
Similar to the DeepESN-AE-AM algorithm, the specific steps of the TSO-GRU-AM algorithm are as follows: (1) Initialize the sample weight distribution D 1 ; (2) Train the base predictor h t = f T s o g r u ( P t r a j , D t ) , where P t r a j is the sample set of maneuver trajectories; (3) Based on the prediction error rate of the base predictor on the training samples, calculate the weight coefficient a t of the base predictor in combination with the attention mechanism, and update the sample distribution D t + 1 ; (4) Linearly combine T base predictors to obtain the final enhanced maneuver trajectory predictor f T s o g r u a m ( ) .

4.2. The Prediction Process of Maneuver Trajectory Based on TSO-GRU-AM and the Parameter Selection of the Prediction Algorithm

(1)
Maneuver trajectory prediction process based on TSO-GRU-AM
This section proposes a maneuver trajectory prediction method based on TSO-GRU-AM. This maneuver trajectory prediction model takes the maneuver trajectory feature sequence of the target at historical moments as input, and its output is the maneuver trajectory feature of the target at future moments. In addition, a prediction model is trained for each type of maneuver unit to prevent overfitting. The maneuver trajectory prediction process based on TSO-GRU-AM is shown in Figure 11. The specific steps are as follows:
Step 1: Obtain the training samples. Based on the air-to-air confrontation simulation data, the maneuver trajectory feature sequences are extracted, and according to the category of maneuver units, the above feature sequences are divided into 21 training sample sets.
Step 2: Initialize the base predictor algorithm TSO-GRU with the number of base predictors T ; initialize the distribution weights of the training samples D 1 ;
Step 3: Train the base predictor TSO-GRU. First, initialize the TSO population, that is, initialize the parameters of the GRU network; perform the mutation operation of TSO (including the triangle vertex search (TVS) and triangle edge search (TES) stages); execute the crossover operator; calculate the predicted mean square error; and implement the elite selection strategy. Perform the above optimization process until the end of the iteration, output the GRU optimal network weights and biases, and calculate the predicted output of the training samples.
Step 4: Calculate the weight coefficients of the base predictor a t and update the sample distribution D t + 1 in combination with the attention mechanism. Train the base predictor until the end of the iteration round and output the enhanced maneuver trajectory predictor TSO-GRU-AM.
Step 5: Test the obtained maneuver trajectory prediction model. First, extract maneuver trajectory features and maneuver unit sequences from air-to-air confrontation simulation data. Second, use the above information to construct a test sample set and input it into the maneuver trajectory prediction model. Then, statistically analyze the output results of the above prediction model to evaluate the model’s performance.
(2)
TSO-GRU-AM parameter selection
In this paper, we cite the parameter simulation experimental results of the maneuver trajectory prediction algorithm in the literature [25]; the maneuver trajectory prediction model selects the input step n = 10 and the output step m = 1 , the number of weak predictors is 8, the TSO population size is 25, and the number of GRU hidden units is 20.

4.3. Maneuver Trajectory Prediction Simulation Based on TSO-GRU-AM

To verify the superiority of the proposed method in this paper, TSO-GRU-AM is compared with Elman [37], LSTM [38], GRU [39], TSO-LSTM, and TSO-GRU; the specific parameters of the comparison algorithms are set as in Table 4. The sample data are obtained from the air-to-air confrontation simulation maneuver trajectory data. After maneuver trajectory feature extraction and tactical maneuver unit identification, a sample set of 21 maneuver unit trajectory feature sequences is obtained. The number of training trajectories for each maneuver unit is 100, and the number of test trajectories is 10. The experimental simulation environment is the same as in Section 3.3. Twenty runs of each simulation experiment are performed, and the RMSE and prediction time (test time) are used as the evaluation index of prediction performance.
Table 5 presents the statistical results of the prediction performance indicators of TSO-GRU-AM compared with other algorithms. The last row of the table shows the algorithm prediction performance ranking results, with the first being the RMSE ranking and the second being the average prediction time ranking. For example, the prediction performance statistics for TSO-GRU-AM are 1/6, indicating that this algorithm ranks first in RMSE and sixth in average prediction time. Taking the RMSE ranking results of TSO-GRU-AM and TSO-GRU as examples, the calculation method for the algorithm prediction performance statistics is explained. In the prediction of 21 types of maneuver trajectory features, the RMSE of each algorithm is ranked. The higher the RMSE ranking of an algorithm, the higher its score. By combining the RMSE rankings of all algorithms in the prediction of 21 types of maneuver trajectory features, the total scores of all algorithms are calculated. TSO-GRU-AM has the highest score and ranks first, while TSO-GRU has the second-highest score and ranks second. From the perspective of RMSE, the TSO-GRU-AM algorithm performs best among the 21 maneuver trajectory units MU01-MU21, this indicates that the predictive performance of the TSO-GRU-AM algorithm not only outperforms that of the horizontal comparison algorithms Elman, LSTM, and TSO-LSTM but also outperforms that of the longitudinal comparison algorithms GRU and TSO-GRU. In terms of RMSE rankings, the rankings for GRU, TSO-GRU, and TSO-GRU-AM are 5, 2, and 1, respectively. On one hand, these ranking results indicate that the improvements made to the GRU algorithm are effective. On the other hand, since TSO-GRU-AM is an enhanced predictor composed of multiple weak predictors, its average prediction time ranking is 6th, but it still meets the real-time requirements of the simulation. From the average prediction time ranking, GRU ranks 1st, but its RMSE ranking is 5th, indicating that the algorithm has significant prediction errors in target maneuver trajectory features, limiting its application in actual target maneuver trajectory feature prediction. Additionally, due to the introduction of the attention mechanism, the RMSE ranking of TSO-GRU-AM has been further improved compared to TSO-GRU. This is primarily because the attention mechanism plays a significant role in the weight allocation of weak predictors. For weak predictors with smaller prediction errors, they are assigned larger weights; for weak predictors with larger prediction errors, they are assigned smaller weights. The attention mechanism-guided weight allocation mechanism for weak predictors enables TSO-GRU-AM to achieve a more reasonable weight allocation scheme, avoiding the overfitting issues that can arise from evenly distributing weights among weak predictors, and enhancing the algorithm’s adaptability to different datasets. TSO-GRU-AM achieves the top RMSE ranking on a test dataset of 21 types of maneuver unit trajectory features, confirming the algorithm’s adaptability to different datasets.
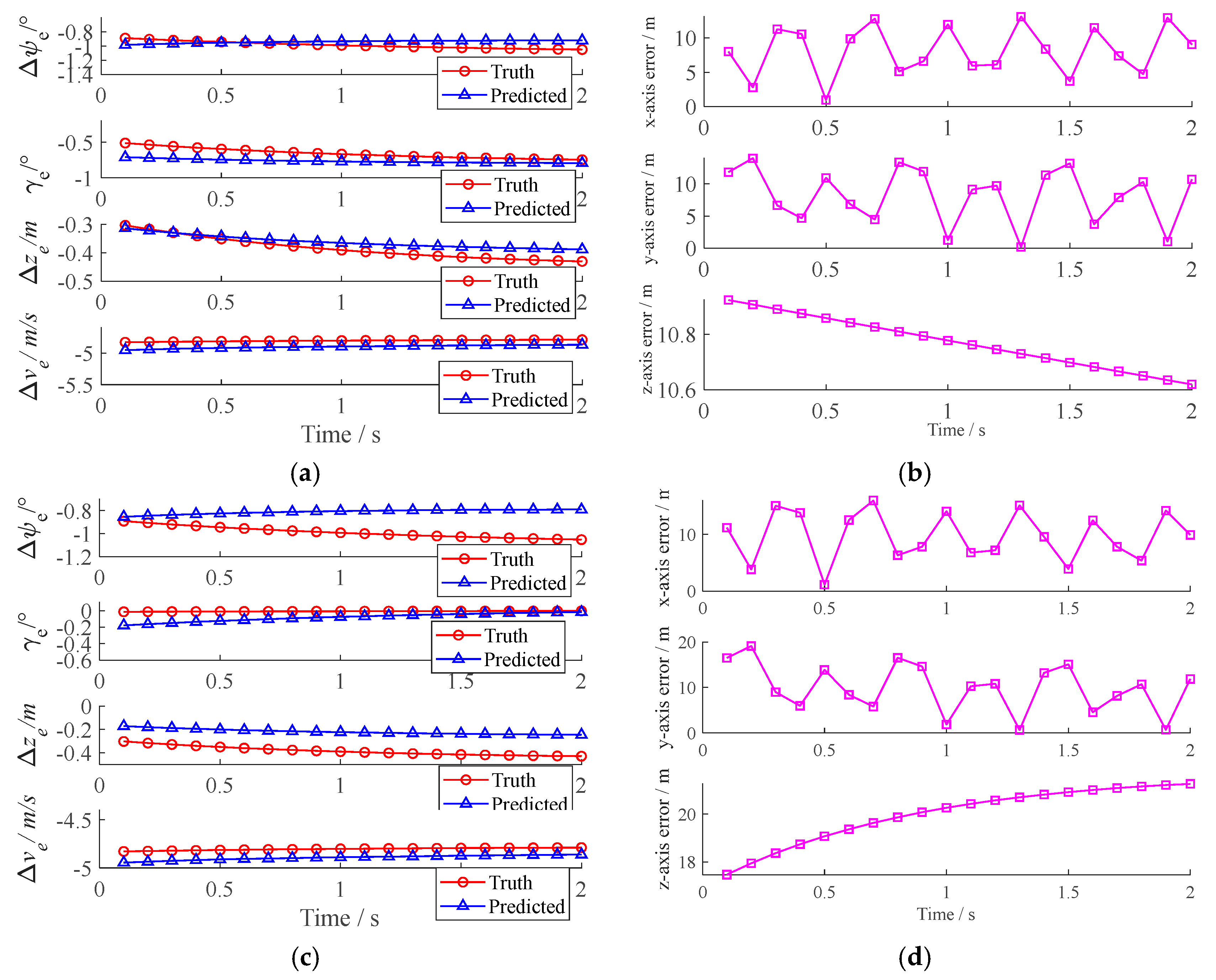
Due to the limited space, this paper only gives the TSO-GRU-AM and TSO-LSTM prediction results of the maneuver trajectory unit MU15, as shown in Figure 12. In the horizontal comparison algorithm of TSO-GRU-AM, TSO-LSTM ranks high in terms of prediction performance indicators, so this algorithm is selected for comparison with TSO-GRU-AM. MU15 is a horizontal right-turn maneuver, and the specific definition is shown in Table 1. The first two figures in Figure 12 show the prediction results of TSO-GRU-AM for the MU15 maneuver trajectory features and position state errors, while the last two figures show the prediction results of TSO-LSTM for the MU15 maneuver trajectory features and position state errors. As shown in Figure 12a, the error in the change of the trajectory deflection angle of the MU15 trajectory characteristics does not exceed 0.2°, the error in the trajectory deflection angle does not exceed 0.2°, the error in the change of altitude does not exceed 0.05 m, and the error in the change of velocity does not exceed 0.2 m/s. As shown in Figure 12b, the position errors of the target calculated based on the MU15 trajectory characteristics are as follows: the error along the x-axis does not exceed 13 m, the error along the y-axis does not exceed 13 m, and the error along the z-axis does not exceed 11 m. As can be seen from Figure 12c,d, the trajectory feature prediction errors of TSO-LSTM do not exceed 0.3°, 0.2°, 0.2 m, and 0.25 m/s, respectively, while the position state prediction errors do not exceed 16 m, 20 m, and 21 m, respectively. In MU15 maneuver trajectory feature prediction, TSO-GRU-AM performs better than TSO-LSTM. In summary, a target maneuver trajectory prediction model based on TSO-GRU-AM is established and applied to predict the trajectory characteristics of various tactical maneuver units. The resulting trajectory characteristic errors are small and meet the real-time requirements of the simulation.

5. Tactical Maneuver Trajectory Prediction Based on Hierarchical Strategy

Based on the previous sections, first of all, this section integrates the maneuver unit prediction model and the maneuver trajectory prediction model through a hierarchical strategy to obtain a hierarchical tactical maneuver trajectory prediction model. Second, the above-mentioned maneuver trajectory prediction model is embedded into the UAV autonomous maneuver decision-making model to verify the effectiveness and superiority of the proposed method.

5.1. Tactical Maneuver Trajectory Prediction Process Based on Hierarchical Strategy

The hierarchical tactical maneuver trajectory prediction process mainly involves the model training process and the online maneuver trajectory prediction process. Figure 13 shows the above process. The black arrows represent the training process of the maneuver unit prediction model and the maneuver trajectory prediction model, and the red arrows represent the online maneuver trajectory prediction process. The specific steps are as follows:
Step 1: Utilize the simulation data of air-to-air confrontation to extract situation characteristic parameters and identify tactical maneuver units. Subsequently, train the tactical maneuver unit prediction model based on DeepESN-AE-AM and construct the maneuver unit prediction layer. The trajectory characteristic parameters of different maneuver units are extracted by using the maneuver trajectory simulation data. On this basis, 21 maneuver trajectory prediction models based on TSO-GRU-AM are trained to construct the maneuver trajectory prediction layer.
Step 2: Obtain air-to-air confrontation information through airborne sensors. Extract the characteristic parameters of the situation at historical moments and the characteristic parameters of the historical trajectory of the target aircraft and identify the sequence of tactical maneuver units at past moments.
Step 3: Input the time series of situation characteristic parameters and the maneuver unit sequence into the DeepESN-AE-AM model to obtain the tactical maneuver unit sequence at future moments;
Step 4: Determine whether the maneuver unit at the previous moment is the same as that at the most recent moment in the future. If they are the same, the maneuver trajectory prediction model is adopted to predict the trajectory characteristic parameters of the target aircraft at the next moment. Otherwise, the trajectory characteristic parameters output by the maneuver unit prediction model are adopted as the trajectory characteristic parameters of the predicted target aircraft (directly output the trajectory characteristic parameters at the next moment);
Step 5: When the maneuver units at the previous and subsequent moments are the same, select the maneuver trajectory prediction model of the corresponding maneuver unit, and input the time series of historical trajectory characteristic parameters of the target aircraft into the TSO-GRU-AM model to obtain the maneuver trajectory characteristic parameters at future moments.
Step 6: Calculate the trajectory status information and output the predicted trajectory of the target aircraft.
In the fusion module shown in Figure 13, in order to determine whether the target’s tactical maneuver intent has changed, the maneuver unit categories of the target at the current time and future time are compared, and a reasonable maneuver trajectory prediction model is selected based on the comparison results. Based on the output results of the maneuver trajectory prediction model, the predicted maneuver trajectory feature parameters related to the target state calculation are selected and substituted into Equation (1) for calculation and solution, ultimately obtaining the predicted trajectory state of the target.

5.2. Tactical Maneuver Trajectory Prediction Simulation Based on Hierarchical Strategy

To further verify the effectiveness and robustness of the tactical maneuver trajectory prediction method based on the hierarchical strategy, in this section, a section of air-to-air confrontation trajectory is selected from the air-to-air confrontation simulation database for prediction. The above-mentioned selected confrontation scenario is called case 1. The initial situations of both sides are as follows: The height of the red side is 8 km, and that of the blue side is 12 km. The speed of both sides is 250 m/s. The trajectory inclination angle is 0 degrees. Both sides are in a head-on position. The adopted maneuver unit prediction algorithms are SVR, BP, ESN, DeepESN, DeepESN-AE, DeepESN-AM, and DeepESN-AE-AM, and their parameter settings refer to Table 2. The adopted maneuver trajectory prediction algorithms are Elman, LSTM, GRU, TSO-LSTM, TSO-GRU, and TSO-GRU-AM, and their parameter settings refer to Table 4. The specific simulation experiment results are as follows:
Figure 14 presents the prediction statistical results of the combined model of different maneuver unit prediction algorithms and maneuver trajectory prediction algorithms in the case 1 scenario. It can be seen from the RMSE error values in Figure 14a that the prediction error of DeepESN-AE-AM is the smallest compared with other maneuver unit prediction methods, and the prediction error of TSO-GRU-AM is the smallest compared with other maneuver trajectory prediction methods. As can be seen from the single-step prediction time in Figure 14b, DeepESN-AE-AM has the longest prediction time compared to other maneuver unit prediction algorithms, and Elman has the longest time compared to other maneuver trajectory prediction algorithms. In addition, the prediction time of TSO-GRU-AM is approximately the same as that of LSTM, GRU, TSO-LSTM, and TSO-GRU. Based on the above analysis, on the premise of meeting the real-time requirements of maneuver decision-making, the prediction error of the combination of DeepESN-AE-AM and TSO-GRU-AM is the smallest.
To validate the superiority of the method proposed in this paper, a model combining DeepESN-AE-AM and TSO-LSTM is selected as the comparison method, and the predicted trajectories of the comparison algorithms are compared with the actual trajectories in the demonstrated motion trajectories. The first three figures in Figure 15 show the prediction results of the hierarchical tactical maneuver trajectory prediction model proposed in this paper for case 1. The last figure in Figure 15 shows the prediction results of the proposed hierarchical tactical maneuver trajectory prediction model and the combined model of DeepESN-AE-AM and TSO-LSTM in case 1. The predicted enemy trajectory-1 in Figure 15d represents the prediction results of the proposed algorithm, while the predicted enemy trajectory-2 represents the prediction results of the comparison algorithm. Figure 15a gives the target tactical maneuver unit predicted by DeepESN-AE-AM, which is consistent with the trajectory maneuver state in Figure 15d. As shown in Figure 15b, due to the input step size limitation of the prediction model, the first 5 s primarily utilize the trajectory recursion method to collect target state information. During this timeframe, the hierarchical tactical maneuver trajectory prediction method is not employed to predict the target’s maneuver trajectory. Therefore, the first 5 s of Figure 15a–c do not display target trajectory prediction information. The trajectory prediction method refers to modeling the target’s motion model based on prior knowledge and assuming that the target exhibits inertial motion characteristics in the short-term domain. This allows the target’s state variables at the next time step to be calculated using the maneuver control variables at the current time step. Additionally, Figure 15b shows the comparison curves between the target’s tactical maneuver trajectory prediction features and the target’s actual maneuver trajectory features, including the comparison curves between the actual trajectory deflection angle change and the predicted trajectory deflection angle change, the actual trajectory inclination angle change and the predicted trajectory inclination angle change, the actual altitude change and the predicted altitude change, and the actual velocity change and the predicted velocity change. The maximum deviation values for the above comparison curves are 5°, 5°, 1 m, and 1 m/s, respectively. At 40 s, due to a change in the target’s tactical maneuver unit category, this change indicates that the target’s maneuver trajectory change pattern has altered, and the aforementioned change in maneuver trajectory pattern significantly affects the change in trajectory deflection angle. Therefore, the deviation between the actual trajectory deflection angle change and the predicted trajectory deflection angle change reaches its maximum value. Since the deviation between the other actual maneuver trajectory features and the predicted maneuver trajectory features in Figure 15b is small, the change patterns of the other comparison curves in the figure are similar, meaning that the actual maneuver trajectory feature change curve and the predicted maneuver trajectory feature change curve are basically overlapping. From Figure 15c, it can be seen that the maneuver trajectory positional state x, y, and z axis errors do not exceed 6 m, 6 m, and 10 m, respectively. As can be seen from Figure 15d, the predicted trajectory of the algorithm proposed in this paper is close to the actual trajectory of the enemy, while the error between the predicted trajectory of the comparison algorithm and the actual trajectory of the enemy is greater. In summary, the trajectory prediction error based on the combination of DeepESN-AE-AM and TSO-GRU-AM is small and meets the accuracy requirements.

5.3. Simulation Analysis of Air-to-Air Confrontation

To test the online prediction performance of the hierarchical tactical maneuver trajectory prediction model, first of all, the algorithm in literature [28] is used as the maneuver decision-making method for both sides of the air-to-air confrontation in this section. Second, one side of the confrontation uses the hierarchical trajectory prediction model to obtain the trajectory state of the target aircraft, while the other side does not use the trajectory prediction model. Then, the confrontation simulation experiment is carried out. Finally, the experimental results are statistically analyzed, and a conclusion is drawn.
(1)
xperimental setup
Based on the hierarchical tactical maneuver trajectory prediction model, to further verify the superiority of the algorithm combination proposed in this paper, the red side selects the algorithm proposed in this paper and the combination of DeepESN-AE-AM and TSO-LSTM to predict the maneuver trajectories of the enemy, while the blue side does not use maneuver trajectory prediction methods. Both sides used the algorithm in reference [28] as the maneuver decision-making method, and the situation advantage functions are the same as those in the above-mentioned references. Count the winning situation, the number of decision-making steps, and the average prediction time for each step. Each adversarial simulation runs independently 20 times, with a simulation step size of 0.1 s. The following three initial scenarios are adopted: In case 1, the red and blue sides fly in the same direction; in case 2, the blue side follows the red side. In case 3, the red and blue sides fly away from each other. The specific initial settings of the air-to-air confrontation scenarios are shown in Table 6. The experimental simulation environment is the same as in Section 3.3.
(2)
Simulation results analysis
Table 7 gives the statistical results of the confrontation between the two sides under the three initial scenarios. Due to the limited space, this section gives the air-to-air confrontation trajectories and predicted trajectories, tactical maneuver unit prediction results, maneuver trajectory characteristics prediction results, trajectory position state errors, and single-step prediction times for case 1 and case 2, as shown in Figure 16 and Figure 17. The first three-dimensional trajectory diagram in the above figures shows the predicted trajectories of the algorithm proposed in this paper, the comparison algorithm, the actual trajectory of the enemy aircraft, and the UAV trajectory. The predicted enemy trajectory-1 represents the prediction result of the algorithm proposed in this paper, and the predicted enemy trajectory-2 represents the prediction result of the comparison algorithm. The other figures show the prediction results of the proposed algorithm for the enemy aircraft’s maneuver units and trajectory features, as well as the predicted enemy aircraft position state error and single-step prediction time. From Figure 16a, it can be seen that at the beginning, the red side has a height disadvantage, and in order to prevent rushing forward, it adopts the pull-up dive tactic to get the angle advantage and track the blue side from the tailback; then, the blue side pulls up to get the speed advantage through the low-speed yoyo tactic to avoid the opponent’s threat as soon as possible; at last, the red side allows the blue side to rush forward by decelerating the speed and then steadily intercepts the blue side. In addition, comparing the predicted enemy aircraft trajectories in the figure with their actual trajectories shows that the predicted enemy trajectory-1 basically coincides with its actual trajectory, while the predicted enemy trajectory-2 has a large error compared to its actual trajectory. Figure 16b gives the prediction results of the tactical maneuver trajectory unit of the target aircraft. According to the prediction results of the maneuver unit, the red side will predict the fixed trajectory characteristics of the blue side, as shown in Figure 16c. The trajectory deflection angle change amount, trajectory inclination angle, altitude change amount, and speed change amount errors are not more than 5°, 5°, 10 m, and 5 m/s, respectively. From Figure 16d, it can be seen that the maneuver trajectory positional state x, y, and z-axis errors are not more than 10 m, 5 m, and 8 m, respectively. The results of single-step prediction time variation are given in Figure 16e, and the single-step prediction time satisfies the real-time requirement.
From Figure 17a, it can be seen that in order to obtain a favorable position, first, the red side adopts a dive tactic to obtain a speed advantage and avoid being tracked steadily by the blue side; then the blue side obtains an angular advantage by descending and turning maneuver to avoid the opponent’s threat as soon as possible; finally, the red side aims the nose at the blue side through a turning maneuver and shoots down the blue side. In addition, comparing the predicted enemy aircraft trajectories in the figure with their actual trajectories shows that the predicted enemy trajectory-1 basically coincides with its actual trajectory, while the predicted enemy trajectory-2 has a large error compared to its actual trajectory. Figure 17b gives the prediction results of the tactical maneuver trajectory unit of the target aircraft. According to the prediction results of the maneuver unit, the red side will predict the fixed trajectory characteristics of the blue side, as shown in Figure 17c. The trajectory deflection angle change amount, trajectory inclination angle, altitude change amount, and speed change amount errors are not more than 6°, 6°, 12 m, and 6 m/s, respectively. From Figure 17d, it can be seen that the maneuver trajectory positional state x, y, and z-axis errors are not more than 9 m, 9 m, and 12 m, respectively. The results of single-step prediction time variation are given in Figure 17e, and the single-step prediction time satisfies the real-time requirement.
As can be seen from Table 7, the algorithms with the smallest number of decision steps in the three scenarios are Elman, LSTM, and TSO-GRU-AM; the algorithms with the smallest amount of time spent on single-step prediction in the three scenarios are GRU, TSO-GRU, and TSO-GRU. The highest number of wins in scenario 1 are GRU, TSO-LSTM, TSO-GRU, and TSO-GRU-AM; in scenario 2, they are Elman, LSTM, GRU, TSO-GRU, and TSO-GRU-AM; in scenario 3, it is TSO-GRU-AM.
In Scenario 1, although Elman has the smallest average decision steps, its standard deviation is relatively large. Moreover, this method requires the most average single-step prediction time and has the lowest average winning rate. The average single-step prediction time required by GRU is the least, and its winning rate is the same as that of TSO-GRU-AM. However, the standard deviation of the average decision step of this method is the largest, which is prone to cause significant fluctuations in the solution process of the optimized maneuver strategy. The standard deviation of the average single-step prediction time of TSO-GRU is the smallest, but the average number of decision steps of this method is the largest. The winning rate of TSO-LSTM is the same as that of TSO-GRU-AM, but the standard deviation of its average decision steps is larger. Although the average decision step of TSO-GRU-AM is not the smallest, the standard deviation of its average decision step is the smallest, indicating that the solution process of its optimized maneuvering strategy is stable, and the average single-step prediction time of this method meets the single-step decision-making time requirements of the simulation system. The comparison and analysis of the results of the performance indicators of each algorithm in the above scenario 1 show that, on the premise of meeting the real-time requirements of the simulation system’s decision-making, TSO-GRU-AM can stably help the UAV obtain the optimal maneuvering strategy. Driven by the above maneuvering strategy, the red side UAV achieves all victories in the 20 air-to-air confrontation simulation experiments.
In Scenario 2, although the average decision steps of LSTM are the smallest, its standard deviation is relatively large, and the standard deviation of the average single-step prediction time required by this method is also relatively large. The average single-step prediction time required by TSO-GRU is the least, but its standard deviation is large, and the average number of decision steps of this method is relatively large. The standard deviation of the average single-step prediction time of TSO-LSTM is the smallest, but the average winning rate of this method is also the smallest. Elman has a relatively high winning rate, but it requires the most average single-step prediction time. The average number of decision steps of GRU is slightly more than that of TSO-GRU-AM. The comparison and analysis of the results of the performance indicators of each algorithm in the above scenario 2 show that, on the premise of meeting the real-time requirements of the simulation system’s decision-making, TSO-GRU-AM helps the red side UAV achieve a higher winning rate.
In Scenario 3, the average decision step of TSO-GRU-AM is the smallest, and its standard deviation is small. With the assistance of this method, the red side UAV can obtain the optimal maneuver strategy relatively stably with the minimum step. Although the standard deviation of the average decision steps of LSTM is the smallest, its average decision steps are the largest. This is not conducive to the red side UAV quickly obtaining the optimal strategy in the intense air-to-air confrontation scenario, resulting in a poor winning rate of this method. The average single-step prediction time and its standard deviation of TSO-GRU are both the smallest. However, the average number of decision steps of this method is relatively large, which makes the win rate of the red side UAV based on this method not good. The comparison and analysis of the results of the performance indicators of each algorithm in the above scenario 3 show that, on the premise of meeting the real-time requirements of the simulation system’s decision-making, TSO-GRU-AM helps the red side quickly obtain the optimal maneuvering strategy in the air-to-air confrontation. This is beneficial for the red side to implement faster attacks and avoid maneuvers. Eventually, the red side’s UAV also achieved the highest winning rate.
In conclusion, combining the target tactical maneuver intention with the maneuver trajectory prediction model helps to improve the prediction speed and accuracy of TSO-GRU-AM, thereby assisting UAVs in quickly occupying favorable offensive positions or implementing evasive maneuvers in air-to-air confrontation scenarios. Because the autonomous maneuver decision-making model of the red side UAV uses the target prediction state variables obtained by the above-mentioned hierarchical tactical maneuver trajectory prediction method, it can, on the one hand, identify the tactical maneuver intention of the target, and on the other hand, accurately assess the battlefield situation and select the optimized maneuver strategy. Eventually, it has stably achieved a relatively high winning rate. In conclusion, the hierarchical tactical maneuver trajectory prediction method proposed in this paper is effective and has better performance than other comparison methods.

6. Conclusions

(1) Taking the UAV tactical maneuver trajectory prediction problem against the enemy as the background, this paper proposes a tactical maneuver trajectory prediction method based on a hierarchical strategy. The method divides the trajectory prediction problem into tactical maneuver unit prediction and maneuver trajectory prediction problems. First, air-to-air confrontation involves complex maneuver trajectories, making it difficult for UAVs to accurately predict the maneuver trajectories of targets. This limits the autonomous maneuver decision-making performance of UAVs in air-to-air confrontation. To address this issue, based on the characteristics of four types of maneuver trajectories, a maneuver action space composed of 21 basic maneuver units is established. Second, to enhance the adaptability of the prediction model to different types of datasets, we propose two improved algorithms: the DeepESN-AE-AM target tactical maneuver unit prediction algorithm and the TSO-GRU-AM maneuver trajectory prediction algorithm. Both algorithms utilize an attention weight allocation mechanism, enabling the prediction model’s weights to be reasonably distributed based on prediction results; Then, addressing the challenge of predicting target maneuver trajectories during UAV air-to-air confrontation, where inaccurate or incomplete target maneuver trajectory features significantly impact UAV positioning maneuvers and evasion maneuvers, thereby reducing UAV mission completion rates, a hierarchical strategy is proposed to fuse the two prediction algorithms, constructing a hierarchical tactical maneuver trajectory prediction model; This model extracts target maneuver trajectory features from the output results of relevant prediction models based on the category and changes of target maneuver units and calculates the predicted target state variables based on these features; Finally, the performance of the constructed hierarchical tactical maneuver trajectory prediction model is tested using an air-to-air confrontation simulation dataset and 3 initial air-to-air confrontation simulation scenarios. The experimental results indicate that the hierarchical tactical maneuver trajectory prediction model constructed in this paper is effective, and UAVs using the aforementioned prediction model achieve high winning rates in various initial confrontation scenarios.
(2) Our future work will focus on the following aspects: porting the developed hierarchical tactical maneuver trajectory prediction method to a real aircraft platform to test the effectiveness of the method in predicting the trajectory of an enemy aircraft online and in real time under real confrontation scenarios.

Author Contributions

Conceptualization, Y.L., Z.W., D.D. and F.W.; data curation, Y.L.; formal analysis, Y.L.; funding acquisition, H.A.; investigation, Y.L.; methodology, Y.L., D.D. and M.T.; project administration, H.A.; resources, Y.L., Z.W. and M.T.; software, Y.L., Z.W. and M.T.; supervision, D.D.; validation, Y.L.; visualization, Z.W.; writing—original draft, Y.L. and Z.W.; writing—review and editing, Y.L., F.W., H.A. and J.M. All authors have read and agreed to the published version of the manuscript.

Funding

This study is partly supported by National Natural Science Foundation of China (No. 62101590).

Data Availability Statement

The data that support the findings of this study are available on request from the corresponding author, Yuequn Luo, upon reasonable request.

Conflicts of Interest

The authors declare no conflict of interest. The funders had no role in the design of the study; in the collection, analyses, or interpretation of data; in the writing of the manuscript; or in the decision to publish the results.

References

  1. Choi, J.; Seo, M.; Shin, H.S. Adversarial swarm defence using multiple fixed-wing unmanned aerial vehicles. IEEE Trans. Aerosp. Electron. Syst. 2022, 58, 5204–5219. [Google Scholar] [CrossRef]
  2. Xu, H.; Liu, Y.J.; Xing, Y.Z. Lateral maneuver discrimination for hypersonic glide vehicles: A hybrid approach combining model-driven and data-driven methods. IEEE Sens. J. 2024, 24, 11425–11437. [Google Scholar] [CrossRef]
  3. Meng, G.L.; Li, D.J.; Zhou, M.Z. Intelligent virtual opponent decision making and guidance method in short-range air combat training. J. Beijing Univ. Aeronaut. Astronaut. 2022, 48, 937–949. [Google Scholar]
  4. Zhang, K. Bayesian trajectory prediction for a hypersonic gliding reentry vehicle based on intent inference. J. Astronaut. 2018, 39, 1258–1265. [Google Scholar]
  5. Zhai, D.L.; Lei, H.M.; Li, J. Trajectory prediction of hypersonic vehicle based on adaptive IMM. Acta Aeronaut. Et Astronaut. Sin. 2016, 37, 3466–3475. [Google Scholar]
  6. Wang, Q.; Zhang, Z.; Wang, Z. The trajectory prediction of spacecraft by grey method. Meas. Sci. Technol. 2016, 27, 085011–085021. [Google Scholar] [CrossRef]
  7. Zhao, J.; Qu, T.; Gong, X. Interaction-aware personalized trajectory prediction for traffic participant based on interactive multiple model. IEEE Trans. Intell. Veh. 2022, 8, 2184–2196. [Google Scholar] [CrossRef]
  8. Hong, P.Z.; Chang, Q.H.; Yong, B.X. Real-time prediction of air combat flight trajectory using GRU. Syst. Eng. Electron. 2020, 42, 2546. [Google Scholar]
  9. Zhang, Q.; Zhang, Z. Research of maneuvering target trajectory prediction based on curve fitting. Informatiz. Res. 2018, 44, 12–15. [Google Scholar]
  10. Lei, X. Maneuver Identification and Trace Forecasting of ARPA’s Target by Wavelet Transforms. J. Wuhan Univ. Technol. (Transp. Sci. Eng.) 2006, 30, 856. [Google Scholar]
  11. Yang, X.D. Unmanned visual localization based on satellite and image fusion. J. Phys. Conf. Ser. 2019, 1187, 042026. [Google Scholar] [CrossRef]
  12. Battiston, A.; Sharf, I.; Nahon, M. Attitude estimation for collision recovery of a quadcopter unmanned aerial vehicle. Int. J. Robot. Res. 2019, 38, 1286–1306. [Google Scholar] [CrossRef]
  13. Guo, H.; Chen, X.; Yu, M. The usefulness of sensor fusion for unmanned aerial vehicle indoor positioning. Int. J. Intell. Unmanned Syst. 2024, 12, 1–18. [Google Scholar] [CrossRef]
  14. Lee, H.; Yoon, J.; Jang, M.S. A robot operating system framework for secure uav communications. Sensors 2021, 21, 1369. [Google Scholar] [CrossRef]
  15. Muşetescu, R.C.; Grigore, G.E.; Nicolae, S. The use of GARCH autoregressive models in estimating and forecasting the crude oil volatility. Eur. J. Interdiscip. Stud. 2022, 14, 13–38. [Google Scholar] [CrossRef]
  16. Wang, P.; Yang, J.; Zhang, J. A Spatial-Contextual Indoor Trajectory Prediction Approach via Hidden Markov Models. Wirel. Commun. Mob. Comput. 2022, 2022, 6719514. [Google Scholar] [CrossRef]
  17. Cheng, S.H.; Chen, S.M.; Jian, W.S. Fuzzy time series forecasting based on fuzzy logical relationships and similarity measures. Inf. Sci. 2016, 327, 272–287. [Google Scholar] [CrossRef]
  18. Orvieto, A.; Smith, S.L.; Gu, A. Resurrecting recurrent neural networks for long sequences. International Conference on Machine Learning. In Proceedings of the 40th International Conference on Machine Learning, PMLR 2023, Honolulu, HI, USA, 23–29 July 2023; pp. 26670–26698. [Google Scholar]
  19. Ma, L.; Tian, S. A hybrid CNN-LSTM model for aircraft 4D trajectory prediction. IEEE Access 2020, 8, 134668–134680. [Google Scholar] [CrossRef]
  20. Zeng, W.; Quan, Z.; Zhao, Z. A deep learning approach for aircraft trajectory prediction in terminal airspace. IEEE Access 2020, 8, 151250–151266. [Google Scholar] [CrossRef]
  21. Liu, Y.; Wang, H.; Fan, J. Control-oriented UAV highly feasible trajectory planning: A deep learning method. Aerosp. Sci. Technol. 2021, 110, 106435. [Google Scholar] [CrossRef]
  22. Xie, G.R.; Chen, X. Efficient and robust online trajectory prediction for non-cooperative unmanned aerial vehicles. J. Aerosp. Inf. Syst. 2022, 19, 143–153. [Google Scholar] [CrossRef]
  23. Li, T.; Guo, Z.; Li, Q. Deep echo state network with projection-encoding for multi-step time series prediction. Neuro Comput. 2025, 617, 128939. [Google Scholar] [CrossRef]
  24. Sun, C.; Song, M.; Cai, D. A systematic review of echo state networks from design to application. IEEE Trans. Artif. Intell. 2022, 5, 23–37. [Google Scholar] [CrossRef]
  25. Wei, Z.; Tang, S.; Wang, X. A tactical maneuver trajectory prediction method using gate recurrent unit based on triangle search optimization with AdaBoost. In Proceedings of the 2021 33rd Chinese Control and Decision Conference (CCDC), Kunming, China, 22–24 May 2021; pp. 2325–2330. [Google Scholar]
  26. Xu, X.M.; Yang, R.N.; Fu, Y. Target threat assessment in air combat based on ELM-AdaBoost strong predictor. Syst. Eng. Electron. 2018, 40, 1760–1768. [Google Scholar]
  27. Xi, Z.F.; Kou, Y.X.; Li, Z.W. An air combat maneuver pattern extraction based on time series segmentation and clustering analysis. Def. Technol. 2024, 36, 149–162. [Google Scholar] [CrossRef]
  28. Luo, Y.Q.; Ding, D.L.; Tan, M.L. Autonomous maneuver decision-making for unmanned combat aerial vehicle based on modified marine predator algorithm and fuzzy inference. Drones 2025, 9, 252. [Google Scholar] [CrossRef]
  29. Zhang, Z.; Huang, C.; Ding, D. Hummingbirds optimization algorithm-based particle filter for maneuvering target tracking. Nonlinear Dyn. 2019, 97, 1227–1243. [Google Scholar] [CrossRef]
  30. Wang, Z.; Chen, J.; Wang, J. Intention recognition of UAV swarm with data-driven methods. Aerosp. Syst. 2023, 6, 703–714. [Google Scholar] [CrossRef]
  31. Chen, Z.M.; Wu, P.L.; Bo, Y.M. Adaptive control bat algorithm intelligent optimization particle filter for maneuvering target tracking. Tien Tzu Hsueh Pao/Acta Electron. Sin. 2018, 46, 886–894. [Google Scholar]
  32. Wang, M.; Zhang, L.; Chen, J. A hybrid trajectory prediction framework for automated vehicles with attention mechanisms. IEEE Trans. Transp. Electrif. 2023, 10, 6178–6194. [Google Scholar] [CrossRef]
  33. Chouikhi, N.; Ammar, B.; Rokbani, N. PSO-based analysis of Echo State Network parameters for time series forecasting. Appl. Soft Comput. 2017, 55, 211–225. [Google Scholar] [CrossRef]
  34. Ma, Q.; Shen, L.; Cottrell, G.W. DeePr-ESN: A deep projection-encoding echo-state network. Inf. Sci. 2020, 511, 152–171. [Google Scholar] [CrossRef]
  35. Guang, L.M.; Run, N.Z.; Biao, W. Target tactical intention recognition in multiaircraft cooperative air combat. Int. J. Aerosp. Eng. 2021, 2021, 9558838. [Google Scholar] [CrossRef]
  36. Wei, Z.; Tang, S.; Xie, L. Triangle search optimization algorithm for single-objective bound-constrained numerical optimization. In Proceedings of the 2020 5th International Conference on Mechanical, Control and Computer Engineering (ICMCCE), Harbin, China, 25–27 December 2020; pp. 1531–1539. [Google Scholar]
  37. Jia, W.; Zhao, D.; Zheng, Y. A novel optimized GA–Elman neural network algorithm. Neural Comput. Appl. 2019, 31, 449–459. [Google Scholar] [CrossRef]
  38. Hua, Y.; Zhao, Z.; Li, R. Deep learning with long short-term memory for time series prediction. IEEE Commun. Mag. 2019, 57, 114–119. [Google Scholar] [CrossRef]
  39. Lin, R.G.; Wang, H.W.; Xiong, M.L. Attention-based Gate Recurrent Unit for remaining useful life prediction in prognostics. Appl. Soft Comput. 2023, 143, 110419. [Google Scholar] [CrossRef]
Figure 1. Schematic diagram of UAV model.
Figure 1. Schematic diagram of UAV model.
Aerospace 12 00731 g001
Figure 2. Schematic diagram of the UAV maneuver unit.
Figure 2. Schematic diagram of the UAV maneuver unit.
Aerospace 12 00731 g002
Figure 3. Framework of hierarchical tactical maneuver trajectory prediction model.
Figure 3. Framework of hierarchical tactical maneuver trajectory prediction model.
Aerospace 12 00731 g003
Figure 4. Tactical maneuver unit prediction flowchart.
Figure 4. Tactical maneuver unit prediction flowchart.
Aerospace 12 00731 g004
Figure 5. Effect of different input step sizes and output step sizes on the prediction performance of DeepESN-AE-AM. (a) Effect of different combinations of step sizes on the prediction error of the algorithm. (b) Effect of different step size combinations on the prediction time of the algorithm.
Figure 5. Effect of different input step sizes and output step sizes on the prediction performance of DeepESN-AE-AM. (a) Effect of different combinations of step sizes on the prediction error of the algorithm. (b) Effect of different step size combinations on the prediction time of the algorithm.
Aerospace 12 00731 g005
Figure 6. Effect of different number of weak predictors on the prediction performance of DeepESN-AE-AM. (a) The effect of different number of weak predictors on the prediction error of the algorithm. (b) Effect of different numbers of weak predictors on the prediction time of the algorithm.
Figure 6. Effect of different number of weak predictors on the prediction performance of DeepESN-AE-AM. (a) The effect of different number of weak predictors on the prediction error of the algorithm. (b) Effect of different numbers of weak predictors on the prediction time of the algorithm.
Aerospace 12 00731 g006
Figure 7. Impact of different storage pool layers on the prediction performance of DeepESN-AE-AM. (a) Effect of different N r on the prediction error of the algorithm. (b) Effect of different N r on the prediction time of the algorithm.
Figure 7. Impact of different storage pool layers on the prediction performance of DeepESN-AE-AM. (a) Effect of different N r on the prediction error of the algorithm. (b) Effect of different N r on the prediction time of the algorithm.
Aerospace 12 00731 g007
Figure 8. Impact of different storage pool sizes and self-encoder hidden layer dimensions on DeepESN-AE-AM prediction performance. (a) Effect of different combinations on the prediction error of the algorithm. (b) Effect of different combinations on the prediction time of the algorithm.
Figure 8. Impact of different storage pool sizes and self-encoder hidden layer dimensions on DeepESN-AE-AM prediction performance. (a) Effect of different combinations on the prediction error of the algorithm. (b) Effect of different combinations on the prediction time of the algorithm.
Aerospace 12 00731 g008
Figure 9. The influence of SR, IS and SD on the prediction performance of DeepESN-AE-AM. (a) The influence of different IS and SD on the prediction error of the algorithm. (b) The influence of different IS and SR on the prediction error of the algorithm.
Figure 9. The influence of SR, IS and SD on the prediction performance of DeepESN-AE-AM. (a) The influence of different IS and SD on the prediction error of the algorithm. (b) The influence of different IS and SR on the prediction error of the algorithm.
Aerospace 12 00731 g009
Figure 10. The prediction results of the maneuver units of each algorithm on the test samples. (a) The prediction results of SVR, BP and the proposed algorithm. (b) The prediction results of ESN and its improved algorithm.
Figure 10. The prediction results of the maneuver units of each algorithm on the test samples. (a) The prediction results of SVR, BP and the proposed algorithm. (b) The prediction results of ESN and its improved algorithm.
Aerospace 12 00731 g010
Figure 11. Flowchart of maneuver trajectory prediction.
Figure 11. Flowchart of maneuver trajectory prediction.
Aerospace 12 00731 g011
Figure 12. Prediction results of TSO-GRU-AM and TSO-LSTM for maneuver trajectory unit MU15. (a) Prediction results of TSO-GRU-AM for MU15 maneuver trajectory unit characteristic. (b) Prediction results of TSO-GRU-AM for MU15 maneuver trajectory position state error. (c) Prediction results of TSO-LSTM for MU15 maneuver trajectory unit characteristic. (d) Prediction results of TSO-LSTM for MU15 maneuver trajectory position state error.
Figure 12. Prediction results of TSO-GRU-AM and TSO-LSTM for maneuver trajectory unit MU15. (a) Prediction results of TSO-GRU-AM for MU15 maneuver trajectory unit characteristic. (b) Prediction results of TSO-GRU-AM for MU15 maneuver trajectory position state error. (c) Prediction results of TSO-LSTM for MU15 maneuver trajectory unit characteristic. (d) Prediction results of TSO-LSTM for MU15 maneuver trajectory position state error.
Aerospace 12 00731 g012
Figure 13. Flowchart of tactical maneuver trajectory prediction based on hierarchical strategy.
Figure 13. Flowchart of tactical maneuver trajectory prediction based on hierarchical strategy.
Aerospace 12 00731 g013
Figure 14. Case 1 prediction statistics for different combinations of models. (a) Comparison of RMSE values. (b) Comparison of prediction times.
Figure 14. Case 1 prediction statistics for different combinations of models. (a) Comparison of RMSE values. (b) Comparison of prediction times.
Aerospace 12 00731 g014
Figure 15. Prediction results of the proposed algorithm and comparison algorithms in case 1. (a) Prediction results of tactical maneuver units. (b) Prediction results of maneuver trajectory characteristics in case 1. (c) maneuver trajectory position state error results. (d) Air-to-air confrontation real and predicted trajectories in case 1.
Figure 15. Prediction results of the proposed algorithm and comparison algorithms in case 1. (a) Prediction results of tactical maneuver units. (b) Prediction results of maneuver trajectory characteristics in case 1. (c) maneuver trajectory position state error results. (d) Air-to-air confrontation real and predicted trajectories in case 1.
Aerospace 12 00731 g015
Figure 16. The confrontation results between the tactical maneuver trajectory prediction model and the non-prediction model in the case 1 scenario. (a) The confrontation trajectory and the predicted enemy aircraft trajectory. (b) Prediction results of tactical maneuver units. (c) Prediction results of maneuver trajectory characteristics. (d) Trajectory position state error result. (e) Statistical results of single-step prediction time.
Figure 16. The confrontation results between the tactical maneuver trajectory prediction model and the non-prediction model in the case 1 scenario. (a) The confrontation trajectory and the predicted enemy aircraft trajectory. (b) Prediction results of tactical maneuver units. (c) Prediction results of maneuver trajectory characteristics. (d) Trajectory position state error result. (e) Statistical results of single-step prediction time.
Aerospace 12 00731 g016
Figure 17. The confrontation results between the tactical maneuver trajectory prediction model and the non-prediction model in thecase 2 scenario. (a) The confrontation trajectory and the predicted enemy aircraft trajectory. (b) Prediction results of tactical maneuver units. (c) Prediction results of maneuver trajectory characteristics. (d) Trajectory position state error result. (e) Statistical results of single-step prediction time.
Figure 17. The confrontation results between the tactical maneuver trajectory prediction model and the non-prediction model in thecase 2 scenario. (a) The confrontation trajectory and the predicted enemy aircraft trajectory. (b) Prediction results of tactical maneuver units. (c) Prediction results of maneuver trajectory characteristics. (d) Trajectory position state error result. (e) Statistical results of single-step prediction time.
Aerospace 12 00731 g017
Table 1. Different parameter values.
Table 1. Different parameter values.
NumberName of the Maneuver UnitInclination Angle/(°)Inclination Angle Change Rate/(°/s)Deflection Angle Change Rate/(°/s)Cumulative Change Angle of the Deflection Angle/(°)
MU01level flight≈0≈0≈0≈0
MU02concave up climb(0, 90)>0≈0≈0
MU03slant up straight flight>0≈0≈0≈0
MU04convex up climb(90, 0)<0≈0≈0
MU05convex down dive(0, −90)<0≈0≈0
MU06slant down straight<0≈0≈0≈0
MU07concave down dive(−90, 0)>0≈0≈0
MU08horizontal left turn≈0≈0>0(0, 180) or (0, −180)
MU09left turn concave up fly(0, 90)>0>0(0, 180) or (0, −180)
MU10left turn straight up fly>0≈0>0(0, 180) or (0, −180)
MU11left turn convex up fly(90, 0)<0>0(0, 180) or (0, −180)
MU12left turn convex down fly(0, −90)<0>0(0, 180) or (0, −180)
MU13left turn straight down fly<0≈0>0(0, 180) or (0, −180)
MU14left turn concave down fly(−90, 0)>0>0(0, 180) or (0, −180)
MU15horizontal right turn≈0≈0<0(−180, 0) or (180, 0)
MU16right turn concave up fly(0, 90)>0<0(−180, 0) or (180, 0)
MU17right turn straight up fly>0≈0<0(−180, 0) or (180, 0)
MU18right turn convex up fly(90, 0)<0<0(−180, 0) or (180, 0)
MU19right turn convex down fly(0, −90)<0<0(−180, 0) or (180, 0)
MU20right turn straight down fly<0≈0<0(−180, 0) or (180, 0)
MU21right turn concave down fly(−90, 0)>0<0(−180, 0) or (180, 0)
Table 2. Parameter settings of tactical maneuver unit prediction method.
Table 2. Parameter settings of tactical maneuver unit prediction method.
AlgorithmParameter Setting
SVRC = 1000, The kernel function is the radial basis kernel function, σ = 0.5, tol = 1 × 10−3
BPThe number of hidden layer nodes is 20, epochs = 100, lr = 0.1
ESNNr, SR, IS, SD settings are the same as DeepESN-AE-AM
DeepESNParameter settings are the same as in the DeepESN-AE-AM section
DeepESN-AEParameter settings are the same as in the DeepESN-AE-AM section
DeepESN-AMParameter settings are the same as for DeepESN-AE-AM
DeepESN-AE-AMParameters are obtained from experimental analysis
Table 3. Comparison of performance indicators of prediction algorithms.
Table 3. Comparison of performance indicators of prediction algorithms.
Prediction AlgorithmMAERMSEMAPETime/s
Mean/SDMean/SDMean/SDMean/SD
SVR3.4191/1.78 × 10−155.0010/0.00 × 1000.0033/8.67 × 10−190.0740/2.19 × 10−3
BP1.9667/7.41 × 10−22.9584/8.17 × 10−20.0016/4.14 × 10−50.0335/2.32 × 10−2
ESN2.5752/1.45 × 10−13.4483/1.82 × 10−10.0018/5.44 × 10−50.0080/4.07 × 10−3
DeepESN2.9984/1.19 × 10−13.9545/1.14 × 10−10.0028/1.92 × 10−40.0233/5.91 × 10−3
DeepESN-AE2.2715/1.02-013.0954/1.33 × 10−10.0017/4.95 × 10−50.0406/1.02 × 10−2
DeepESN-AM2.3062/4.35 × 10−23.2393/3.50 × 10−20.0018/6.01 × 10−50.1729/2.50 × 10−2
DeepESN-AE-AM1.8962/ 3. 21 × 10−22.7646/ 4. 20 × 10−20.0015/ 1. 40 × 10−50.4047/8.90 × 10−2
Table 4. Parameter settings for maneuver trajectory prediction methods.
Table 4. Parameter settings for maneuver trajectory prediction methods.
AlgorithmParameter Setting
ElmanNumber of hidden layer nodes is 20, epochs = 100
LSTMThe number of hidden layer units is the same as that of TSO-GRU-AM
GRUThe number of hidden layer units is the same as that of TSO-GRU-AM
TSO-LSTMThe population size and the number of hidden layer units are the same as those of TSO-GRU-AM
TSO-GRUThe population size and the number of hidden layer units are the same as those of TSO-GRU-AM
TSO-GRU-AMCite the parameter simulation experiment results in reference [25]
Table 5. Comparison of statistical results of prediction performance indicators between TSO-GRU-AM and other comparison algorithms.
Table 5. Comparison of statistical results of prediction performance indicators between TSO-GRU-AM and other comparison algorithms.
No.ElmanLSTMGRUTSO-LSTMTSO-GRUTSO-GRU-AM
RMSE/Time(s)RMSE/Time(s)RMSE/Time(s)RMSE/Time(s)RMSE/Time(s)RMSE/Time(s)
MU010.0065/0.21360.0137/0.01880.0092/0.01180.0097/0.12070.0084/0.01010.0022/0.0758
MU020.1147/0.04160.1169/0.00660.1153/0.00240.1080/0.00310.1154/0.00200.0947/0.0359
MU030.0149/0.01580.0375/0.00490.0267/0.00290.0175/0.00700.0194/0.02110.0022/0.0381
MU040.0184/0.01050.0244/0.00220.0334/0.00150.0236/0.00220.0210/0.00190.0056/0.0096
MU050.0448/0.00940.0780/0.00500.0865/0.00210.0309/0.00510.0335/0.00300.2255/0.0188
MU060.0259/0.01010.0344/0.00510.0326/0.00300.0210/0.00540.0201/0.00310.0033/0.0475
MU070.0042/0.00980.0056/0.00290.0067/0.00220.0057/0.00650.0047/0.00200.0033/0.0171
MU080.0738/0.01110.1067/0.00350.0970/0.00260.0698/0.00350.0654/0.00250.0055/0.0379
MU0934.4168/0.010226.1879/0.002425.9191/0.001638.0393/0.003020.9005/0.001621.1018/0.0316
MU100.2007/0.01010.2081/0.00310.2527/0.00260.1297/0.00420.1813/0.00350.0325/0.0168
MU111.3930/0.01063.7278/0.01153.5328/0.00131.4084/0.00201.6750/0.00131.4949/0.0098
MU1242.0116/0.010322.6005/0.003923.3137/0.001925.0098/0.003118.5668/0.002016.4039/0.0151
MU130.1557/0.00970.2741/0.00420.2817/0.00240.0948/0.00320.1742/0.00300.0348/0.0171
MU141.9852/0.00942.2551/0.00313.7226/0.00201.0020/0.00262.2007/0.00195.7785/0.0119
MU150.3102/0.00990.6220/0.00350.5710/0.00220.3723/0.00330.4804/0.00270.4262/0.0157
MU1631.8108/0.009326.1870/0.002623.9066/0.001720.4433/0.002520.9036/0.002520.8337/0.0120
MU170.8110/0.00991.2045/0.00520.8453/0.00220.6390/0.00390.7572/0.00250.3386/0.0155
MU183.8758/0.00945.0426/0.00225.1220/0.00143.8352/0.00225.1411/0.001410.3644/0.0493
MU1927.4216/0.009125.0625/0.003829.7421/0.001525.6441/0.002623.9146/0.001921.0764/0.0129
MU200.5342/0.01021.1581/0.00420.8387/0.00210.5625/0.00320.6610/0.00250.1944/0.0660
MU214.6394/0.00976.0627/0.00296.0594/0.00134.6867/0.00234.9266/0.001510.6463/0.0120
Rank4/56/35/13/42/21/6
Table 6. Initial settings of the air-to-air confrontation environment.
Table 6. Initial settings of the air-to-air confrontation environment.
Scenex/my/mh/mv/(m/s)γψ
case 1red2000500010,000200450
blue200020008000200−450
case 2red5000200011,000250−100
blue20002000800025000
case 3red8000800015,000250−45225
blue10,00010,00012,000250−3045
Table 7. Confrontation results between red based on tactical maneuver trajectory prediction and blue without trajectory prediction.
Table 7. Confrontation results between red based on tactical maneuver trajectory prediction and blue without trajectory prediction.
AlgorithmEvaluation ItemCase 1Case 2Case 3
Elmandecision stepMean/SD74/1.1439/1.01199/1.04
prediction time per stepMean/SD2.95 × 10−2/1.85 × 10−32.22 × 10−2/7.24 × 10−32.88 × 10−2/7.70 × 10−4
air-to-air confrontation resultWin/Tie/Loss15/4/120/0/019/0/1
LSTMdecision stepMean/SD90/1.1234/1.03217/0.73
prediction time per stepMean/SD7.34 × 10−3/5.91 × 10−45.42 × 10−3/1.26 × 10−39.16 × 10−3/6.19 × 10−4
air-to-air confrontation resultWin/Tie/Loss18/2/020/0/00/20/0
GRUdecision stepMean/SD76.9/3.6741.1/0.71213/0.99
prediction time per stepMean/SD6.57 × 10−3 /9.39 × 10−45.38 × 10−3/9.46 × 10−49.14 × 10−3/3.90 × 10−3
air-to-air confrontation resultWin/Tie/Loss20/0/020/0/00/20/0
TSO-LSTMdecision stepMean/SD75/0.9440/1.09212/1.09
prediction time per stepMean/SD6.79 × 10−3/8.11 × 10−45.59 × 10−3/8.20 × 10−49.08 × 10−3/9.05 × 10−4
air-to-air confrontation resultWin/Tie/Loss20/0/019/1/00/20/0
TSO-GRUdecision stepMean/SD174/0.9342/0.68208/0.99
prediction time per stepMean/SD8.66 × 10−3/4.58 × 10−44.87 × 10−3 /1.17 × 10−38.46× 10−3 /5.84 × 10−4
air-to-air confrontation resultWin/Tie/Loss20/0/020/0/00/20/0
TSO-GRU-AMdecision stepMean/SD90/0.0641/1.24174/0.99
prediction time per stepMean/SD7.95× 10−3/9.16 × 10−46.09 × 10−3/1.06 × 10−39.39 × 10−3/6.96 × 10−4
air-to-air confrontation resultWin/Tie/Loss20/0/020/0/020/0/0
Disclaimer/Publisher’s Note: The statements, opinions and data contained in all publications are solely those of the individual author(s) and contributor(s) and not of MDPI and/or the editor(s). MDPI and/or the editor(s) disclaim responsibility for any injury to people or property resulting from any ideas, methods, instructions or products referred to in the content.

Share and Cite

MDPI and ACS Style

Luo, Y.; Wei, Z.; Ding, D.; Wang, F.; An, H.; Tan, M.; Ma, J. Unmanned Aerial Vehicle Tactical Maneuver Trajectory Prediction Based on Hierarchical Strategy in Air-to-Air Confrontation Scenarios. Aerospace 2025, 12, 731. https://doi.org/10.3390/aerospace12080731

AMA Style

Luo Y, Wei Z, Ding D, Wang F, An H, Tan M, Ma J. Unmanned Aerial Vehicle Tactical Maneuver Trajectory Prediction Based on Hierarchical Strategy in Air-to-Air Confrontation Scenarios. Aerospace. 2025; 12(8):731. https://doi.org/10.3390/aerospace12080731

Chicago/Turabian Style

Luo, Yuequn, Zhenglei Wei, Dali Ding, Fumin Wang, Hang An, Mulai Tan, and Junjun Ma. 2025. "Unmanned Aerial Vehicle Tactical Maneuver Trajectory Prediction Based on Hierarchical Strategy in Air-to-Air Confrontation Scenarios" Aerospace 12, no. 8: 731. https://doi.org/10.3390/aerospace12080731

APA Style

Luo, Y., Wei, Z., Ding, D., Wang, F., An, H., Tan, M., & Ma, J. (2025). Unmanned Aerial Vehicle Tactical Maneuver Trajectory Prediction Based on Hierarchical Strategy in Air-to-Air Confrontation Scenarios. Aerospace, 12(8), 731. https://doi.org/10.3390/aerospace12080731

Note that from the first issue of 2016, this journal uses article numbers instead of page numbers. See further details here.

Article Metrics

Back to TopTop