FSN-PID Algorithm for EMA Multi-Nonlinear System and Wind Tunnel Experiments Verification
Abstract
1. Introduction
- (1)
- To improve the dynamic model accuracy of EMA system, the internal Coulomb friction and current limiter nonlinear factors in BLDCM, backlash in gear trains, and LuGre friction between the output shaft and fin are considered, and a complete dynamic model of EMA is constructed by theory deduction and proof.
- (2)
- A FSN-PID controller is proposed, which utilizes the fuzzy control based on Mamdani’s “min-max” method for online tuning of the gain coefficient K of SN neural network, and the stability of the controller is proved, thereby enhancing the rapidity and robustness of the control system.
- (3)
- Simulation experiments are conducted to analyze the response of EMA for different fin positions as well as the tracking performance for various sine positions. Wind tunnel experiments are conducted to investigate the instantaneous action of fin opening and the superiority of FSN-PID algorithm for high-precision tracking of sine position commands.
2. System Description and Preliminaries
2.1. Dynamic Model of BLDCM
2.2. Backlash Nonlinearity
- (1)
- When a = 1, .
- (2)
- Differentiating f*(z) yields
- (3)
- Integrating Δf(z) gives the area of the city enclosed by f*(z) and f(z),
- (4)
- From Equation (10), it can be concluded that Δf(z) is a monotonically increasing function on [0, α] and a monotonically decreasing function on [α, +∞]. So, the maximum value of Δf(z) is , therefore
2.3. LuGre Friction Nonlinearity
3. Proposed FSN-PID Method
3.1. Design of the F-PID Controller
| if A1 and B1, then C1; | |
| otherwise, | if A2 and B2, then C2; |
| otherwise, | if A3 and B3, then C3; |
| ⁝ | |
| otherwise, | if Ai and Bi, then Ci; |
| ⁝ | |
| otherwise, | if An and Bn, then Cn; |
| now, | A′ and B′; |
| Conclusion, | then C′. |
3.2. Design of the SN-PID Controller
3.3. Fuzzy Logic Optimization Gain Coefficient K
3.3.1. Controller Topology
3.3.2. Controller Stability Analysis
3.4. BP-PID Artificial Neural Network
| Algorithm 1 Backpropagation neural network |
| begin Forward propagation of information: Input: Output variable of input layer: Input-output variables of hidden layer: Input-output variables of output layer: Performance index function: Back propagation of errors:
end |
4. Simulation Verification
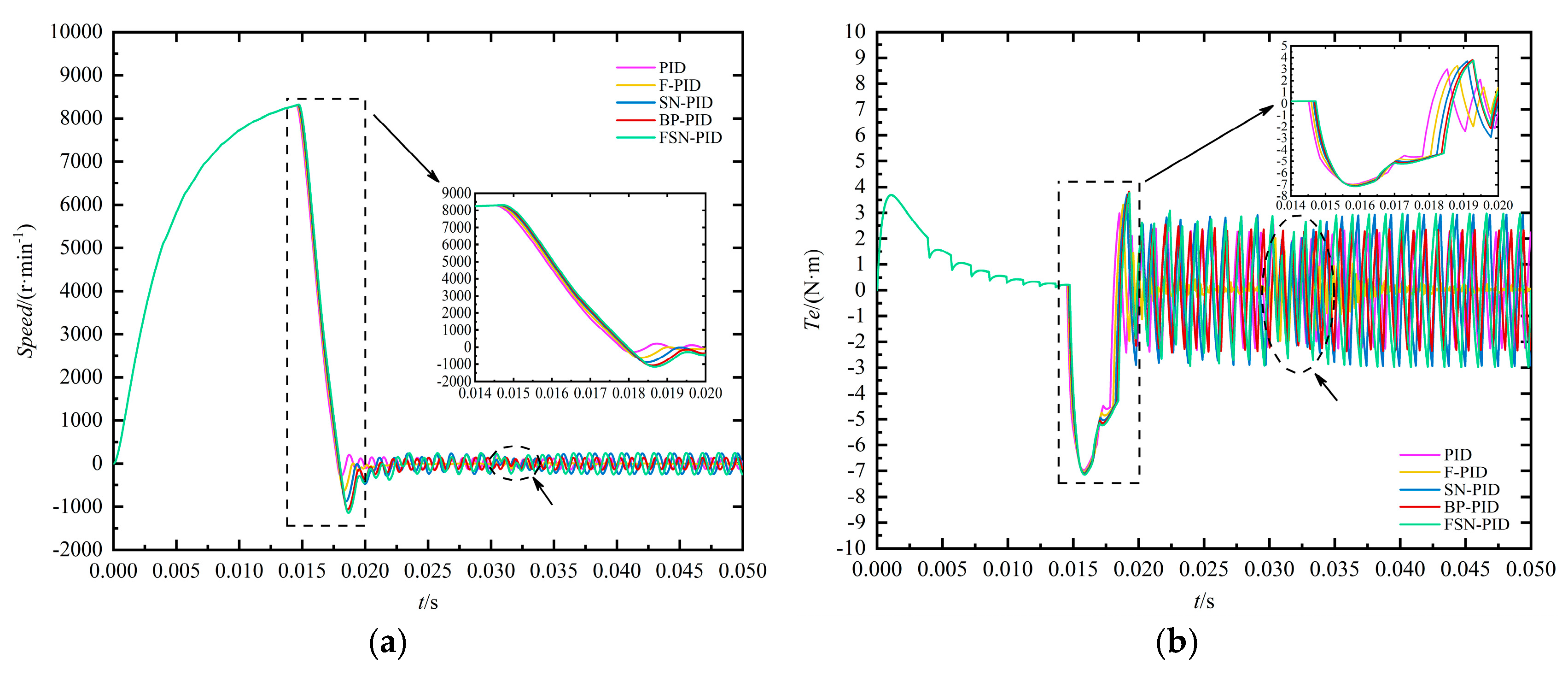
4.1. Step Position Response Analysis
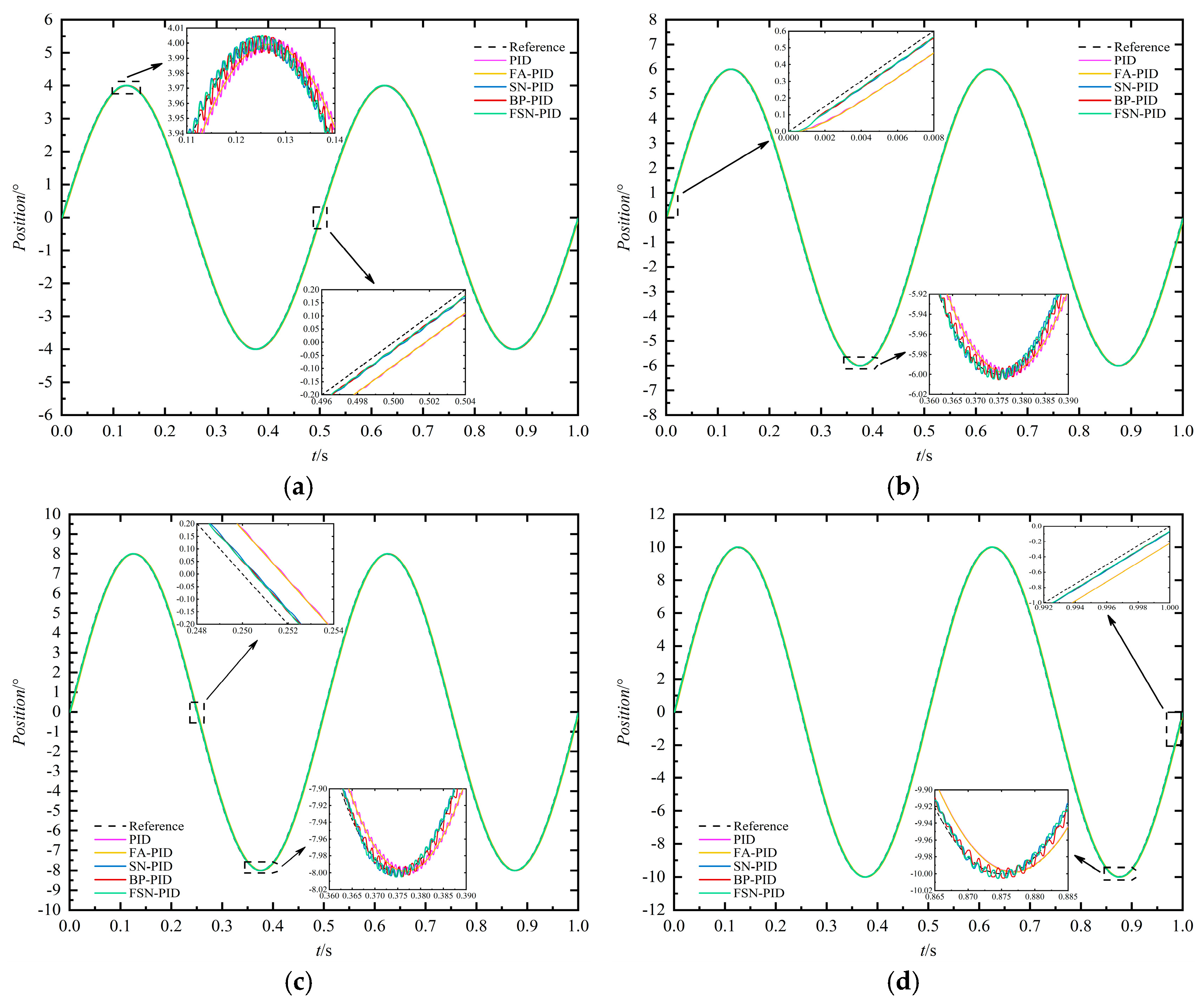
4.2. Sine Position Response Analysis
5. Wind Tunnel Experiments
6. Conclusions
- (1)
- In the modeling process of EMA, a multi-nonlinear dynamic model of EMA is built by considering the internal nonlinearity of BLDCM, dead zone backlash of gear trains, and LuGre friction nonlinearity between output shaft and fin.
- (2)
- A FSN-PID controller is proposed and applied to the APR of EMA system by comparing and analyzing the response tracking effect of different step and sine positions, as well as the electrical characteristics of BLDCM, such that the stability of this controller is proved and the control performance superiority is verified through simulation.
- (3)
- The high dynamic flight environment of GP is simulated through wind tunnel experiments, the mechanical structural characteristics of EMA during fin opening are investigated, and the motion performance of EMA under FSN-PID algorithm is analyzed, which further verified the responsiveness and stability of the proposed controller.
Author Contributions
Funding
Data Availability Statement
Conflicts of Interest
References
- Zheng, S.; Fu, Y.; Wang, D.; Zhang, W.; Pan, J. Investigations on System Integration Method and Dynamic Performance of Electromechanical Actuator. Sci. Prog. 2020, 103, 0036850420940923. [Google Scholar] [CrossRef] [PubMed]
- Wang, J.; Xu, B.; Lai, J.; Wang, X.; Lu, Y.; Hu, C.; Li, H.; Song, A. Model-Based Linear Control of Nonlinear Pneumatic Soft Bending Actuators. Smart Mater. Struct. 2024, 33, 045022. [Google Scholar] [CrossRef]
- Yang, X.; Zhang, N.; Huang, X.; Bian, R.; Feng, M.; Zhu, X.; Gu, G. Multidirectional Bending Soft Pneumatic Actuator With Fishbone-Like Strain-Limiting Layer for Dexterous Manipulation. IEEE Robot. Autom. Lett. 2024, 9, 3815–3822. [Google Scholar] [CrossRef]
- Niu, S.; Wang, J.; Zhao, J.; Shen, W. Neural Network-Based Finite-Time Command-Filtered Adaptive Backstepping Control of Electro-Hydraulic Servo System with a Three-Stage Valve. ISA Trans. 2024, 144, 419–435. [Google Scholar] [CrossRef]
- Huang, J.; Song, Z.; Wu, J.; Guo, H.; Qiu, C.; Tan, Q. Parameter Adaptive Sliding Mode Force Control for Aerospace Electro-Hydraulic Load Simulator. Aerospace 2023, 10, 160. [Google Scholar] [CrossRef]
- Zhang, M.; Zhou, M.; Liu, H.; Zhang, B.; Zhang, Y.; Chu, H. Friction Compensation and Observer-Based Adaptive Sliding Mode Control of Electromechanical Actuator. Adv. Mech. Eng. 2018, 10, 1687814018813793. [Google Scholar] [CrossRef]
- Kebairi, A.; Becherif, M.; El Bagdouri, M. Modelling, Simulation and Identification of an Engine Air Path Electromechanical Actuator. Control Eng. Pract. 2015, 34, 88–97. [Google Scholar] [CrossRef]
- Kim, S.H.; Tahk, M.-J. Modeling and Experimental Study on the Dynamic Stiffness of an Electromechanical Actuator. J. Spacecr. Rocket. 2016, 53, 708–719. [Google Scholar] [CrossRef]
- Luo, C.; Wang, J.; Miao, Q. Transient Current Ratio Dendrite Net for High-Resistance Connection Diagnosis in BLDCM. IEEE Trans. Power Electron. 2024, 39, 4746–4757. [Google Scholar] [CrossRef]
- Ok, S.; Xu, Z.; Lee, D.-H. A Sensorless Speed Control of High-Speed BLDC Motor Using Variable Slope SMO. IEEE Trans. Ind. Appl. 2024, 60, 3221–3228. [Google Scholar] [CrossRef]
- Zhao, M.; Cao, Y.; Li, C.; Wang, Z.; Shi, T.; Xia, C. Expanded Limit Boundary Explicit Model Predictive Direct Speed Control for PMSMs. IEEE Trans. Power Electron. 2024, 39, 6089–6101. [Google Scholar] [CrossRef]
- Zhang, H.; Deng, L.; Jin, H.; Li, H.; Zheng, S.; Zhou, X. Phase Synchronization-Based Commutation Error Correction Method for Position Sensorless Brushless DC Motor. IEEE Trans. Ind. Inf. 2024, 20, 3964–3973. [Google Scholar] [CrossRef]
- Jang, D.; Shin, H.; Paul, S.; Chang, J.; Yun, Y. Design of a High-Force Electromechanical Actuator for Electrically Driven Lathe Machine. IEEE Trans. Ind. Electron. 2020, 67, 9526–9535. [Google Scholar] [CrossRef]
- Annaz, F.Y.; Kaluarachchi, M.M. Progress in Redundant Electromechanical Actuators for Aerospace Applications. Aerospace 2023, 10, 787. [Google Scholar] [CrossRef]
- Cowan, J.R.; Weir, R.A. Design and Test of Electromechanical Actuators for Thrust Vector Control. In Proceedings of the 27th Aerospace Mechanism Symposium, Moffett Field, CA, USA, 29 September–1 October 1993; pp. 349–366. [Google Scholar] [CrossRef]
- Jensen, S.C.; Jenney, G.D.; Dawson, D. Flight Test Experience with an Electromechanical Actuator on the F-18 Systems Research Aircraft. In Proceedings of the 19th DASC. 19th Digital Avionics Systems Conference, Philadelphia, PA, USA, 7–13 October 2000; Proceedings (Cat. No.00CH37126). IEEE: Philadelphia, PA, USA, 2000; Volume 1, p. 2E3/1-2E310. [Google Scholar]
- Karpel, M. Design for Active and Passive Flutter Suppression and Gust Alleviation. Ph.D. Thesis, Stanford University, Palo Alto, CA, USA, 1981. [Google Scholar]
- Zhang, X.T.; Wu, Z.G.; Yang, C. New Flutter-Suppression Method for a Missile Fin with an Actuator. J. Aircr. 2013, 50, 989–994. [Google Scholar] [CrossRef]
- Gollapudi, A.M.; Velagapudi, V.; Korla, S. Modeling and Simulation of a High-Redundancy Direct-Driven Linear Electromechanical Actuator for Fault-Tolerance under Various Fault Conditions. Eng. Sci. Technol. Int. J. 2020, 23, 1171–1181. [Google Scholar] [CrossRef]
- Yoo, C.-H. Active Control of Aeroelastic Vibrations for Electromechanical Missile Fin Actuation Systems. J. Guid. Control. Dyn. 2017, 40, 3299–3306. [Google Scholar] [CrossRef]
- Li, X.; Chen, X.; Zhou, C. Combined Observer-Controller Synthesis for Electro-Hydraulic Servo System with Modeling Uncertainties and Partial State Feedback. J. Frankl. Inst. 2018, 355, 5893–5911. [Google Scholar] [CrossRef]
- Wan, Q.; Song, C.; Zhou, Y.; Tong, R.; Ma, S.; Liu, G. Modeling and Analysis of the Flap Actuation System Considering the Nonlinear Factors of EMA, Joint Clearance and Flexibility. Aerospace 2024, 11, 440. [Google Scholar] [CrossRef]
- Kjaer, P.C.; Gribble, J.J.; Miller, T.J.E. Dynamic Testing of Switched Reluctance Motors for High-Bandwidth Actuator Applications. IEEE/ASME Trans. Mechatron. 1997, 2, 123–135. [Google Scholar] [CrossRef]
- Mademlis, C.; Kioskeridis, I. Gain-Scheduling Regulator for High-Performance Position Control of Switched Reluctance Motor Drives. IEEE Trans. Ind. Electron. 2010, 57, 2922–2931. [Google Scholar] [CrossRef]
- Bennett, S. Development of the PID Controller. IEEE Control Syst. 1993, 13, 58–62. [Google Scholar] [CrossRef]
- Zhou, M.; Mao, D.; Zhang, M.; Guo, L.; Gong, M. A Hybrid Control with PID–Improved Sliding Mode for Flat-Top of Missile Electromechanical Actuator Systems. Sensors 2018, 18, 4449. [Google Scholar] [CrossRef] [PubMed]
- Wang, B.; Iwasaki, M.; Yu, J. Finite-Time Command-Filtered Backstepping Control for Dual-Motor Servo Systems With LuGre Friction. IEEE Trans. Ind. Inf. 2023, 19, 6376–6386. [Google Scholar] [CrossRef]
- Zhang, J.; Yang, X.; Wang, W.; Brilakis, I.; Davletshina, D.; Wang, H. Robust ELM-PID Tracing Control on Autonomous Mobile Robot via Transformer-Based Pavement Crack Segmentation. Measurement 2025, 242, 116045. [Google Scholar] [CrossRef]
- Wang, P.; Feng, T.; Song, C.; Li, J.; Yang, S.X. A Study of the Stability of an Industrial Robot Servo System: PID Control Based on a Hybrid Sparrow Optimization Algorithm. Actuators 2025, 14, 49. [Google Scholar] [CrossRef]
- Yang, C.; Chen, R.; Wang, W.; Li, Y.; Shen, X.; Xiang, C. Cyber-Physical Optimization-Based Fuzzy Control Strategy for Plug-in Hybrid Electric Buses Using Iterative Modified Particle Swarm Optimization. IEEE Trans. Intell. Veh. 2023, 8, 3285–3298. [Google Scholar] [CrossRef]
- Lu, Y.; Li, T.; Deng, Y. Predication of Water Pollution Peak Concentrations by Hybrid BP Artificial Neural Network Coupled with Genetic Algorithm. Appl. Artif. Intell. 2024, 38, 2341356. [Google Scholar] [CrossRef]
- Zhang, H.; Wu, H.; Jin, H.; Li, H. High-Dynamic and Low-Cost Sensorless Control Method of High-Speed Brushless DC Motor. IEEE Trans. Ind. Inf. 2023, 19, 5576–5584. [Google Scholar] [CrossRef]
- Gamazo-Real, J.-C.; Martínez-Martínez, V.; Gomez-Gil, J. ANN-Based Position and Speed Sensorless Estimation for BLDC Motors. Measurement 2022, 188, 110602. [Google Scholar] [CrossRef]
- Colantonio, L.; Dehombreux, P.; Hajžman, M.; Verlinden, O. 3D Projection of the LuGre Friction Model Adapted to Varying Normal Forces. Multibody Syst. Dyn. 2022, 55, 267–291. [Google Scholar] [CrossRef]
- Dai, K.; Zhu, Z.; Shen, G.; Tang, Y.; Li, X.; Wang, W.; Wang, Q. Adaptive Force Tracking Control of Electrohydraulic Systems with Low Load Using the Modified LuGre Friction Model. Control Eng. Pract. 2022, 125, 105213. [Google Scholar] [CrossRef]
- Wu, W.; Yao, B.; Huang, J.; Sun, S.; Zhang, F.; He, Z.; Tang, T.; Gao, R. Optimal Temperature and Humidity Control for Autonomous Control System Based on PSO-BP Neural Networks. IET Control Theory Appl. 2023, 17, 2097–2109. [Google Scholar] [CrossRef]
- Wang, B.; Jiang, Z.; Hu, P.-D. Study on 6-DOF Active Vibration-isolation System of the Ultra-precision Turning Lathe Based on GA-BP-PID Control for Dynamic Loads. Adv. Manuf. 2024, 12, 33–60. [Google Scholar] [CrossRef]
- Ouyang, D.; Yang, W.; Deng, E.; Wang, Y.; He, X.; Tang, L. Comparison of Aerodynamic Performance of Moving Train Model at Bridge–Tunnel Section in Wind Tunnel with or without Tunnel Portal. Tunn. Undergr. Space Technol. 2023, 135, 105030. [Google Scholar] [CrossRef]






















| Parameters | Symbol | Value | Unit |
|---|---|---|---|
| Rated voltage | U | 24 | V |
| Rated speed | nN | 7970 | r/min |
| Phase resistance | R | 0.0715 | Ω |
| Phase inductance | L | 0.02825 | mH |
| Rotor moment of inertia | Jm | 2.09 × 10−5 | Kg·m2 |
| Viscous friction coefficient | Bm | 1 × 10−5 | N·m·s |
| Torque coefficient | KT | 26.3 | mN·m/A |
| Parameters | Symbol | Value | Unit |
|---|---|---|---|
| Dynamic stiffness | k | 320 | N·m/rad |
| Transmission efficiency | η | 0.9 | — |
| Hinge moment coefficient | h | 0.01 | N·m/rad |
| Fin moment of inertia | Js | 3.34 × 10−4 | Kg·m2 |
| Fin damping coefficient | Bs | 4.03 × 10−3 | N·m·s |
| Coulomb friction torque | FC | 1.0 | N·m |
| Static friction torque | FS | 1.5 | N·m |
| Stribeck speed | VS | 0.001 | rad/s |
| Bristles stiffness coefficient | σ0 | 1 × 104 | N·m/rad |
| Bristles damping coefficient | σ1 | 316.23 | N·m/rad |
| Viscous friction coefficient | σ2 | 0.4 | N·m/rad |
| ec | NB | NM | NS | ZO | PS | PM | PB | ||
| ΔKp|ΔKi|ΔKd | |||||||||
| e | |||||||||
| NB | PB|NB|PS | PB|NB|NS | PM|NM|NB | PM|NM|NB | PS|NS|NB | ZO|ZO|NM | ZO|ZO|PS | ||
| NM | PB|NB|PS | PB|NB|NS | PM|NM|NB | PS|NS|NM | PS|NS|NM | ZO|ZO|NS | NS|ZO|ZO | ||
| NS | PM|NB|ZO | PM|NM|NS | PM|NS|NM | PS|NS|NM | ZO|ZO|NS | NS|PS|NS | NS|PS|ZO | ||
| ZO | PM|NM|ZO | PM|NM|NS | PS|NS|NS | ZO|ZO|NS | NS|PS|NS | NM|PM|NS | NM|PM|ZO | ||
| PS | PS|NM|ZO | PS|NS|ZO | ZO|ZO|ZO | NS|PS|ZO | NS|PS|ZO | NM|PM|ZO | NM|PB|ZO | ||
| PM | PS|ZO|PB | ZO|ZO|NB | NS|PS|PS | NM|PS|PS | NM|PM|PS | NM|PB|PS | NB|PB|PB | ||
| PB | ZO|ZO|PB | ZO|ZO|PM | NM|PS|PM | NM|PM|PM | NM|PM|PS | NB|PB|PS | NB|PB|PB | ||
| Algorithm | PID | F-PID | SN-PID | BP-PID | FSN-PID | |
|---|---|---|---|---|---|---|
| Index | ||||||
| tr/ms | 17.562 | 17.095 | 16.909 | 16.825 | 16.761 | |
| tp/ms | 17.795 | 17.867 | 17.927 | 17.959 | 17.985 | |
| Overshoot σ | 0.065% | 0.658% | 1.164% | 1.463% | 1.722% | |
| Steady-state error/° | 0.00434° | 0.00044° | 0.00449° | 0.00364° | 0.00459° | |
| Sine Position | Index | PID | F-PID | SN-PID | BP-PID | FSN-PID |
|---|---|---|---|---|---|---|
| 4°-2 Hz | Amplitude error/(°) | 0.0064 | 0.0018 | 0.0047 | 0.0043 | 0.0040 |
| Phase error/(ms) | 1.8410 | 1.7705 | 0.5685 | 0.5275 | 0.4705 | |
| 6°-2 Hz | Amplitude error/(°) | 0.0071 | 0.0027 | 0.0049 | 0.0048 | 0.0041 |
| Phase error/(ms) | 1.7850 | 1.7535 | 0.6235 | 0.5745 | 0.4905 | |
| 8°-2 Hz | Amplitude error/(°) | 0.0065 | 0.0017 | 0.0050 | 0.0043 | 0.0040 |
| Phase error/(ms) | 1.8105 | 1.7500 | 0.6155 | 0.5545 | 0.4894 | |
| 10°-2 Hz | Amplitude error/(°) | 0.0060 | 0.0021 | 0.0053 | 0.0052 | 0.0048 |
| Phase error/(ms) | 1.7630 | 1.7480 | 0.6185 | 0.5160 | 0.4795 |
| Position | Index | 1# EMA | 2# EMA |
|---|---|---|---|
| 15°-3 Hz | Amplitude error/(°) | 0.554 | 0.602 |
| Phase error/(s) | 0.002 | 0.0015 |
Disclaimer/Publisher’s Note: The statements, opinions and data contained in all publications are solely those of the individual author(s) and contributor(s) and not of MDPI and/or the editor(s). MDPI and/or the editor(s) disclaim responsibility for any injury to people or property resulting from any ideas, methods, instructions or products referred to in the content. |
© 2025 by the authors. Licensee MDPI, Basel, Switzerland. This article is an open access article distributed under the terms and conditions of the Creative Commons Attribution (CC BY) license (https://creativecommons.org/licenses/by/4.0/).
Share and Cite
Yin, H.; Guan, J.; Jiang, G.; Zheng, Y.; Yi, W.; Jia, J. FSN-PID Algorithm for EMA Multi-Nonlinear System and Wind Tunnel Experiments Verification. Aerospace 2025, 12, 715. https://doi.org/10.3390/aerospace12080715
Yin H, Guan J, Jiang G, Zheng Y, Yi W, Jia J. FSN-PID Algorithm for EMA Multi-Nonlinear System and Wind Tunnel Experiments Verification. Aerospace. 2025; 12(8):715. https://doi.org/10.3390/aerospace12080715
Chicago/Turabian StyleYin, Hongqiao, Jun Guan, Guilin Jiang, Yucheng Zheng, Wenjun Yi, and Jia Jia. 2025. "FSN-PID Algorithm for EMA Multi-Nonlinear System and Wind Tunnel Experiments Verification" Aerospace 12, no. 8: 715. https://doi.org/10.3390/aerospace12080715
APA StyleYin, H., Guan, J., Jiang, G., Zheng, Y., Yi, W., & Jia, J. (2025). FSN-PID Algorithm for EMA Multi-Nonlinear System and Wind Tunnel Experiments Verification. Aerospace, 12(8), 715. https://doi.org/10.3390/aerospace12080715

