Numerical Analysis of Ejector Flow Performance for High-Altitude Simulation
Abstract
1. Introduction
2. Numerical Models and Methods
2.1. Numerical Setup
2.2. Geometry and Input Conditions
2.3. Grid Conditions and Validations
2.4. Flow Separation Inside the Nozzle
3. Results and Discussion
3.1. Integrated and Ejector System Models
3.2. Initial Vacuum Characteristics Based on the Ejector Nozzle Injection Pressure
3.3. Ejector System Characteristics During Rocket Engine Startup
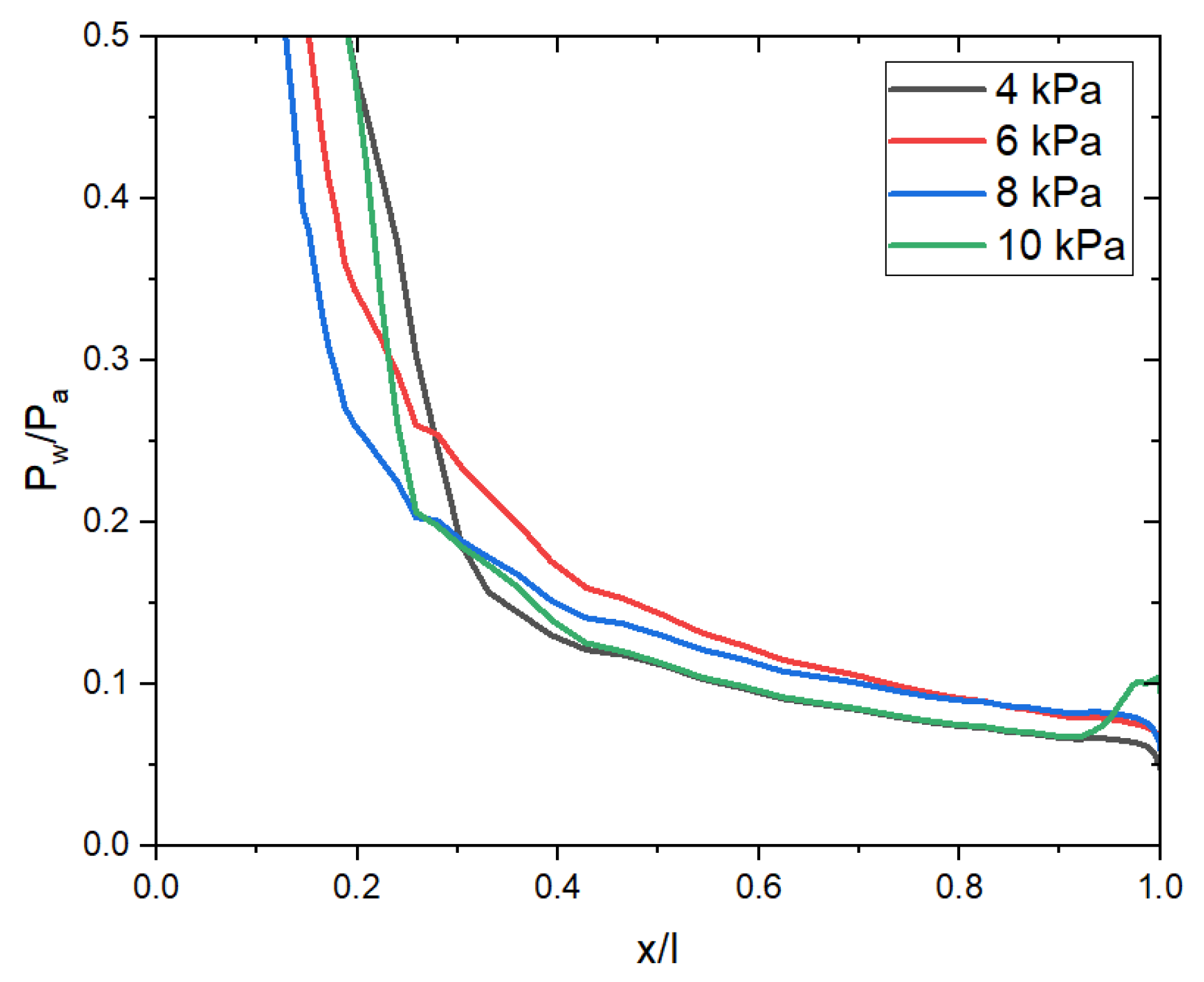
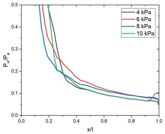
3.4. Ejector System Characteristics According to the Supply Pressure Difference
4. Conclusions
Author Contributions
Funding
Data Availability Statement
Conflicts of Interest
References
- Kantrowitz, A.; Donaldson, C. Preliminary Investigation of Supersonic Diffusers; NACA ACR, No. L5D20; NACA Research Memorandum: Washington, DC, USA, 1945. [Google Scholar]
- Massier, P.F.; Roschke, E.J. Experimental Investigation of Exhaust Diffuser for Rocket Engines; NASA CR 51076; NACA Research Memorandum: Washington, DC, USA, 1960. [Google Scholar]
- Jones, R.D.; Allgood, C.D.; Saunders, P.M. Passive Rocket Diffuser Testing: Reacting Flow Performance of Four Second-Throat Geometries; NASA TM-219221; NACA Research Memorandum: Washington, DC, USA, 2016. [Google Scholar]
- Fouladi, N.; Farahani, M.; Mirbabaei, A.R. Performance evaluation of a second throat exhaust diffuser with a thrust optimized parabolic nozzle. Aerosp. Sci. Technol. 2019, 94, 105406. [Google Scholar] [CrossRef]
- Kumaran, R.M.; Sundararajan, T.; Manohar, D.R. Performance evaluation of second throat diffuser for high-altitude-test facility. J. Propuls. Power 2010, 26, 248–258. [Google Scholar] [CrossRef]
- Park, B.; Lim, J.; Park, S.; Lee, J.; Yoon, W. Design and analysis of a second throat exhaust diffuser for altitude simulation. J. Propuls. Power 2012, 28, 1091–1104. [Google Scholar] [CrossRef]
- Fouladi, N.; Mohamadi, A.; Rezaei, H. Numerical investigation of pre-evacuation influences of second-throat exhaust diffuser. Fluid Mech. Aerodyn. 2017, 5, 55–69. [Google Scholar]
- Kumaran, R.M.; Vivekanand, P.K.; Sundararajan, T.; Kumaresan, K.; Manohar, D.R. Optimization of Second Throat Ejectors for High-Altitude Test Facility. J. Propuls. Power 2009, 25, 697–706. [Google Scholar] [CrossRef]
- Kumaran, R.M.; Sundararajan, T.; Manohar, D.R.; Dason, D. Modeling of Two-Stage Ejector for High-Altitude Testing of Satellite Thrusters. AIAA J. 2012, 50, 1398–1408. [Google Scholar] [CrossRef]
- Frank, A.; Lutz, P.; Regenbrecht, D. The test centre Lampoldshausen and its role in Ariane 6 development and beyond. In Proceedings of the AIAA 2016-2503 SpaceOps Conference, Daejeon, Republic of Korea, 6–20 May 2016. [Google Scholar]
- Ghanshyam, B.; Arun, K.R. Starting transients in second throat vacuum ejectors for high altitude testing facilities. Aerosp. Sci. Technol. 2021, 113, 106687. [Google Scholar]
- Tao, L.; Zhiyan, L.; Letian, Z.; Wei, Y.; Wanwu, X.; Saiqiang, Z. Experimental study on the performance and shock train oscillation of the constant area two strut supersonic ejector. Aerosp. Sci. Technol. 2025, 158, 109884. [Google Scholar]
- Kong, F.; Kim, H.D. Analytical and computational studies on the performance of a two-stage ejector–diffuser system. Int. J. Heat Mass Transfer. 2015, 85, 71–87. [Google Scholar] [CrossRef]
- Kim, C.; Kim, S.; Jeon, J.; Kim, S.; Lee, K. Design and analysis of a supersonic diffuser for altitude testing of upper-stage liquid rocket engines. Aerosp. Sci. Technol. 2023, 142, 108–662. [Google Scholar] [CrossRef]
- Keenan, J.H.; Neumann, E.P. A Simple Air Ejector. J. Appl. Mech. 1942, 9, 75–81. [Google Scholar] [CrossRef]
- Keenan, J.H.; Neumann, E.P. An Investigation of Ejector Design by Analysis and Experiment. J. Appl. Mech. 1950, 72, 299–309. [Google Scholar] [CrossRef]
- Huang, B.J.; Chang, J.N.; Wang, C.P.; Petrenko, V.A. A 1-D Analysis of Ejector Performance. Int. J. Refrig. 1999, 22, 354–364. [Google Scholar] [CrossRef]
- He, S.; Li, Y.; Wang, R.Z. Progress of mathematical modeling on ejectors. Renew. Sustain. Energy. 2009, 13, 1760–1780. [Google Scholar] [CrossRef]
- Doniazed, S.; Mahmoud, B.; Ahmed, B. Investigation of an ejector powered double effect absorption/recompression refrigeration cycle. Int. J. Refrig. 2019, 99, 453–468. [Google Scholar]
- Eames, I.W.; Wu, S.; Worall, M.; Aphornratana, S. An experimental investigation of steam ejectors for applications in jet-pump refrigerators powered by low grade heat. Proc. Inst. Mech. Eng. Part A J. Power Energy 1999, 213, 351–361. [Google Scholar] [CrossRef]
- Chen, W.; Liu, M.; Chong, D.; Yan, J.; Little, A.B.; Bartosiewicz, Y. A 1D model to predict ejector performance at critical and sub-critical operational regimes. Int. J. Refrig. 2013, 36, 1750–1761. [Google Scholar] [CrossRef]
- Anderson, J.D. Modern Compressible Flow: With Historical Perspective; McGrawHill: New York, NY, USA, 1990. [Google Scholar]
- Staff, A.R. Equations, Tables, and Charts for Compressible Flow; NACA Report 1135; NACA Research Memorandum: Washington, DC, USA, 1953. [Google Scholar]
- Weiss, J.M.; Smith, W.A. Preconditioning applied to variable density and constant density flows. AIAA J. 1995, 33, 2050–2057. [Google Scholar] [CrossRef]
- Shih, T.H.; Liou, W.W.; Shabbir, A.; Yang, Z.; Zhu, J. A new k-ε eddy-viscosity model for high reynolds number turbulent flows. Comput. Fluids. 1995, 24, 227–238. [Google Scholar] [CrossRef]
- Sung, H.; Yeom, H.; Yoon, S.; Kim, S.; Kim, J. Investigation of rocket exhaust diffusers for altitude simulation. J. Propuls. Power. 2010, 26, 240–247. [Google Scholar] [CrossRef]
- Choi, D.; Baek, J.; Kim, K. Efficient diffuser design for plasma wind tunnels with a large blockage model. Aerosp. Sci. Technol. 2021, 119, 107206. [Google Scholar] [CrossRef]
- Park, B.; Lee, J.; Yoon, W. Studies on the starting transient of a straight cylindrical supersonic exhaust diffuser: Effects of diffuser length and pre-evacuation state. Int. J. Heat Fluid Flow 2023, 29, 1369–1379. [Google Scholar] [CrossRef]
- Prabakar, S.M.; Panchabudhe, L.M.; Muruganandam, T.M.; Sundararajan, T. A study on the performance characteristics of two-stream supersonic diffusers. Aerosp. Sci. Technol. 2019, 95, 105470. [Google Scholar] [CrossRef]
- Gordon, S.; McBride, B.J. Computer Program for Calculation of Complex Chemical Equilibrium Compositions and Applications. Part I. Analysis; NASA Reference Publication 1311; NACA Research Memorandum: Washington, DC, USA, 1994. [Google Scholar]
- Lee, C.; Choi, K.; Kim, C.; Han, S. Computational investigation of flow separation in a thrust-optimized parabolic nozzle during high-altitude testing. Comput. Fluids 2020, 197, 104363. [Google Scholar] [CrossRef]




















| Integrated Model | Ejector System Model | |
|---|---|---|
| Stagnation inlet | ||
| P [MPa] | 1.5, 1.3, 1.2 | 1.5, 1.3, 1.2 |
| T [K] | 600 | 600 |
| Mass flow inlet | ||
| P [MPa] | - | 0.1 |
| T [K] | - | 400 |
| m [kg/s] | - | 122 |
| Entrainment ratio | - | 0.5 |
Disclaimer/Publisher’s Note: The statements, opinions and data contained in all publications are solely those of the individual author(s) and contributor(s) and not of MDPI and/or the editor(s). MDPI and/or the editor(s) disclaim responsibility for any injury to people or property resulting from any ideas, methods, instructions or products referred to in the content. |
© 2025 by the authors. Licensee MDPI, Basel, Switzerland. This article is an open access article distributed under the terms and conditions of the Creative Commons Attribution (CC BY) license (https://creativecommons.org/licenses/by/4.0/).
Share and Cite
Kim, C.-H.; Park, C.-S. Numerical Analysis of Ejector Flow Performance for High-Altitude Simulation. Aerospace 2025, 12, 380. https://doi.org/10.3390/aerospace12050380
Kim C-H, Park C-S. Numerical Analysis of Ejector Flow Performance for High-Altitude Simulation. Aerospace. 2025; 12(5):380. https://doi.org/10.3390/aerospace12050380
Chicago/Turabian StyleKim, Chae-Hyoung, and Chang-Su Park. 2025. "Numerical Analysis of Ejector Flow Performance for High-Altitude Simulation" Aerospace 12, no. 5: 380. https://doi.org/10.3390/aerospace12050380
APA StyleKim, C.-H., & Park, C.-S. (2025). Numerical Analysis of Ejector Flow Performance for High-Altitude Simulation. Aerospace, 12(5), 380. https://doi.org/10.3390/aerospace12050380

