Next Article in Journal
Non-Linear and Quasi-Linear Models for the Large-Amplitude Static Aeroelastic Response of Very-Flexible Slender Wings in Subsonic Flow at Low Speed
Next Article in Special Issue
Momentum- and Energy-Based Analyses of the Aerodynamic Effects of Boundary Layer Ingestion and Propulsion–Airframe Integration on a Blended Wing Body–Turbofan Configuration
Previous Article in Journal
Aerodynamic Prediction and Design Optimization Using Multi-Fidelity Deep Neural Network
Previous Article in Special Issue
A Systematic Approach towards the Integration of Initial Airworthiness Regulatory Requirements in Remotely Piloted Aircraft System Conceptual Design Methodologies
 
 
Font Type:
Arial Georgia Verdana
Font Size:
Aa Aa Aa
Line Spacing:
Column Width:
Background:
Article

Inertial Subrange Optimization in Eddy Dissipation Rate Estimation and Aircraft-Dependent Bumpiness Estimation

1
College of General Aviation and flight, Nanjing University of Aeronautics and Astronautics, Nanjing 211106, China
2
College of Civil Aviation, Nanjing University of Aeronautics and Astronautics, Nanjing 211106, China
*
Author to whom correspondence should be addressed.
Aerospace 2025, 12(4), 293; https://doi.org/10.3390/aerospace12040293
Submission received: 6 March 2025 / Revised: 28 March 2025 / Accepted: 29 March 2025 / Published: 30 March 2025
(This article belongs to the Special Issue Advanced Aircraft Technology (2nd Edition))

Abstract

Atmospheric turbulence leads to aircraft bumpiness. In current vertical wind-based eddy dissipation rate (EDR) estimation algorithms based on flight data, the inertial subrange is determined empirically. In application, specific aircraft bumpiness can only be described by an EDR indicator. In this study, the objective turbulence severity and aircraft-related bumpiness estimation were explored with an optimized inertial subrange. To obtain the inertial subrange, the minimum series length to estimate EDR was determined under different flight data sampling rate. In addition, the basic series length to estimate the inertial subrange was determined according to Blackman–Tukey spectra estimation theory. In aircraft-dependent bumpiness estimation, the unsteady vortex lattice method (UVLM) was designed to obtain an accurate aircraft acceleration response to turbulence. An in situ aircraft bumpiness estimation and bumpiness prediction method were further proposed. Simulation and experiments on real flight data testified the optimized aircraft-independent EDR estimation and aircraft-dependent bumpiness estimation successively. This study can be further applied to estimate the turbulence severity on a particular airway, while the bumpiness of specific aircraft can be predicted.

1. Introduction

Atmospheric turbulence, inducing civil aviation aircraft bumpiness, is by far the leading cause of aircraft damage and passenger and crew injuries [1,2]. Before conducting a scheduled civil aviation flight, the airline’s operation and control department needs to analyze various meteorological information and develop a flight plan to prevent serious aircraft bumpiness and potential hazards. However, analyses and forecasts based on meteorological data cannot completely avoid the occurrence of aircraft bumpiness and injuries. As a traditional turbulence observation, pilot reports (PIREPs) are not suited to provide reliable turbulence severity since the subjective PIREP can only be interpreted by the flight crew [3,4]. Several quantitative turbulence observations based on flight data, like the vertical acceleration (VA), the derived equivalent vertical gust velocity (DEVG), and eddy dissipation rate (EDR), support the construction of the turbulence maps within the target airspace, providing better tactical avoidance options for civil aviation aircraft. As an in situ reporting indicator, the VA indicator was first put forward since turbulence severity is proportional to the root-mean-square of aircraft vertical acceleration [5]. Compared with the VA, the DEVG indicator was further related to aircraft mass and airspeed, but it cannot be regarded as an objective severity metric as well [6,7]. To obtain the aircraft-independent turbulence severity, the EDR indicator has been the turbulence severity metric of the aircraft meteorological data relay (AMDAR) standard required by the International Civil Aviation Organization (ICAO) [8,9,10].
Based on the observed vertical wind or aircraft vertical acceleration from flight data, the EDR indicator gives an objective and aircraft-independent indication of turbulence severity theoretically. In the acceleration-based EDR algorithm, turbulence severity was recovered from aircraft vertical acceleration response; thus, the acceleration response to turbulence is fundamental to EDR estimation [11]. In turbulent flight, aircraft plunge and pitch motions, providing the largest contribution to vertical acceleration, were characterized by linear transfer function models, respectively. Taking the wind effects as the only excitation of interest, a quasi-static aerodynamic model and control surface-fixed assumptions were made in the derivation of a linear model. However, it is difficult to recover the objective turbulence severity because the linear model cannot describe the nonlinear and high-frequency acceleration response in turbulent flight accurately. Furthermore, the control surface deflections, not characterized in the linear model, could induce the acceleration change as well [12]. Another major concern is the determination of the bandpass filter, which is concatenated to the response function to eliminate the influence of aircraft maneuvering and high-frequency structural vibration. In fact, the passband range determines the turbulence frequencies that induce the aircraft bumpiness.
On the other hand, the vertical wind-based EDR algorithm is able to derive the objective turbulence severity based on the maximum likelihood estimation (MLE) in the frequency domain. By exemplifying the derivation of acceleration response and deriving the vertical component of turbulence from six flight variables directly, the wind-based EDR algorithm provides a much more objective turbulence severity indicator than the acceleration-based algorithm [13]. Unfortunately, the length scale change in turbulence is not considered, thus leading to the empirical selection of the integration range in maximum likelihood estimation [14].
Not only the passband range in acceleration-based EDR estimation but also the integration range in the wind-based EDR algorithm depend on the determination of the turbulence inertial subrange. In fact, aircraft acceleration change is affected by a certain wavelength range of turbulent eddies [15,16]. The turbulent eddies in this particular range are felt by the aircraft as bumpiness. For most commercial aircraft, this size range forms the inertial subrange, covering from approximately 10 m to 1000 m [17]. According to the Kolmogorov hypothesis, the turbulent energy is neither produced nor dissipated, but is transferred from larger to smaller eddies in this subrange inertially. Within the inertial subrange, the energy spectrum only depends on the EDR, showing a −5/3 power law in turbulence spectrogram, thus forming the basis of both EDR algorithms. Only within the inertial subrange can the passband range or integration range be determined quantitatively; thus, the determination of the inertial subrange has major effects on the algorithm accuracy. Unfortunately, the inertial subrange in current EDR algorithms is selected empirically. Taking the flight data with a sampling rate of 8 Hz as an example, only the frequencies within 4 Hz are available according to the Nyquist sampling theorem. The frequencies below 0.5 Hz are filtered out because of a possible error. In addition, the upper range from 3.5 Hz to 4 Hz is excluded as well since there may exist contamination from noise and sampling artifacts. As a result, a frequency range of 0.5 Hz to 3.5 Hz is determined empirically. Taking an aircraft flying at an airspeed of as an example, the frequency range covers 0.5 Hz to 250 Hz. To obtain the EDR indicator with better accuracy, the inertial subrange of the EDR algorithm needs to be characterized quantitatively.
Compared with the EDR indicator as an objective turbulence severity metric, estimating bumpiness severity related to a specific aircraft brings airlines substantial benefits. In flying through the same turbulence field, different aircraft would experience different bumpiness severities. Based on the objective EDR indicator, the accurate estimation of aircraft response to turbulence is still fundamental to obtain the aircraft-dependent bumpiness. Compared with the linear response model, it holds promise to obtain the acceleration response with better accuracy by using the vortex lattice method (VLM). As a typical numerical algorithm of linear potential flow theory, the VLM is highly practical and widely used in aerodynamics studies. In VLM, the lifting body is characterized by a limited number of discrete horseshoe vortices attached to the surface. In the earliest application of VLM in exploring wind disturbance effects, the lifting body was simplified as a planar surface. In addition, the two semi-infinite vortex filaments in steady VLM have difficulty in characterizing the unsteady flight state change [18,19].
As the extension of VLM, the ring vortex is composed of quadrilateral vortex segments in a closed loop. With dozens of ring vortices distributed on the camber surface of the lifting body, the solving accuracy of VLM is improved. Furthermore, based on the ring vortex element, basic VLM is directly extended to nonstationary situations, giving rise to the time-domain unsteady vortex-lattice method (UVLM). The UVLM has been gaining ground in situations where free-wake methods become a necessity [20,21]. With the advent of novel lifting body configurations and increased structural flexibility, the UVLM constitutes an attractive solution for aircraft dynamics problems, including the computation of stability derivatives [22,23], flutter suppression [24,25], gust response [26,27], morphing vehicles [28,29], and coupled aero-elasticity and flight dynamics [30,31]. In turbulent flight, lifting surfaces and wakes can be discretized using ring vortices, and the wake vortex rings are freely convected according to the local flow velocity, developing into a force-free wake system. During the subsonic cruising flight of civil aviation aircraft, the airflow can be regarded as inviscid since the Reynolds number is large enough and the flow remains attached [32]. Therefore, based on full potential equations without any linearization, the UVLM is able to well reflect the unsteadiness effects of the turbulent airflow around the aircraft, and the acceleration response of the aircraft in turbulence is obtained with better accuracy.
This study contributes to the optimization of the inertial subrange in the objective wind-based EDR algorithm and the aircraft-dependent bumpiness estimation based on UVLM. The effect of the inertial subrange on the EDR algorithm is characterized first. After determining the minimum series length for the EDR algorithm under a certain flight data sampling rate, an optimized inertial subrange is determined by extending the series to achieve an acceptable variance of spectrum estimation. Furthermore, the acceleration response to turbulence is characterized by deriving a time-marching UVLM in turbulent wind. After this, an aircraft bumpiness nowcast and bumpiness forecast algorithm are derived successively. By simulation study and tests on airway flight data, the inertial-subrange-optimized EDR algorithm and the aircraft-dependent bumpiness estimation algorithm are tested and discussed in depth.

2. Methodology

2.1. The EDR Algorithm with Optimized Inertial Subrange

2.1.1. Baseline Wind-Based EDR Algorithm with Empirical Inertial Subrange

Atmospheric turbulence theory assumes that the ratio of the observed energy spectrum Φ ^ o b s to the theoretical energy spectrum Φ t h subjects to statistical invariance [33]. As shown in Equation (1), this ratio generally obeys the χ d 2 distribution, where the degree of freedom d depends on the selection of spectral estimation techniques. If the periodogram analysis is performed, the parameter d is set by d = 2 [34].
Φ ^ o b s Φ t h χ d 2 d
Though there does not exist a comprehensive theory that yields an experimentally verified functional form of turbulence energy spectrum across all wave numbers, the theoretical and experimental evidence both indicate the existence of a theoretical spectrum in Kolmogorov form, which is described by [35,36]
Φ t h K ( Ω ) = A ε 2 / 3 Ω 5 / 3
where A = 1.339 , Ω is the spatial wave number of turbulence, and the eddy dissipation rate ε is the variable to be estimated. As shown in Figure 1, the dashed curve shows the vertical velocity spectrum of the Kolmogorov model. However, the slope −5/3 in the log–log space is only effective in the inertial subrange, which cannot be characterized by the Kolmogorov model. The maximum likelihood estimation (MLE) of ε 2 / 3 is obtained as
ε 2 / 3 = 1 N i = 1 N Φ ^ o b s A k i 5 / 3
The cubic root of eddy dissipation rate, ε 1 / 3 , constitutes a turbulence severity metric, i.e., the EDR indicator. To ensure the estimation accuracy of ε 1 / 3 , the parameter N is determined by the number of frequency points in the inertial subrange. Therefore, the wave number Ω l and Ω h , as the lower and upper bounds of the inertial subrange, is fundamental to determine N. The observed energy spectrum Φ ^ o b s determines ε 1 / 3 uniquely within [ Ω l , Ω h ] according to the Kolmogorov hypothesis. However, the Kolmogorov model, described by Equation (2), cannot be used to determine Ω l and Ω h .
Instead, a refined von Kármán turbulence model, covering the inertial subrange and the larger scales beyond it, is integrated into the EDR algorithm. Figure 1, showing both the curve of the theoretical spectrum of von Kármán and Kolmogorov model, is superimposed by ten observed spectral curves as well, which roll off with a slope of −5/3 in the high-frequency range. Though both theoretical curves show the slope of −5/3 in the high-frequency range, the observed curves conform to the von Kármán model better than the Kolmogorov model. The vertical spectrum of the von Kármán model is [37]
Φ t h v ( Ω ) = 55 9 Γ ( 5 / 6 ) Γ ( 1 / 3 ) π σ z 2 Ω 0 ( Ω / Ω 0 )     4 [ 1 + ( Ω / Ω 0 )     2 ] 17 / 6
where Γ ( · ) is the Gamma function, and σ z is the variance of vertical turbulence component W z , also known as turbulence intensity. Ω 0 is the inverse of vertical length scale L z , i.e., Ω 0 = 1 / L z .
In estimating ε 1 / 3 , the theoretical spectrum Φ t h v and observed spectrum Φ ^ o b s are computed, respectively. The theoretical spectrum described in Equation (4) does not take the finite-length, discrete-time sampling, and the window function into account. Therefore, the generating procedure of the theoretical spectrum must be considered, or else the biased results will not be a true MLE [38]. As a result, the theoretical spectrum is derived from the transverse correlation function of the von Kármán model as
R W z r = σ z 2 2 2 / 3 Γ 1 / 3 ( r L z ) 1 / 3 K 1 / 3 ( r L z ) 1 2 ( r L z ) K 2 / 3 ( r L z )
where K v is the modified Bessel function. To reduce the spectrum leakage during the transform from time-domain to frequency-domain, a window function must be cascaded; thus, the average periodogram of the von Kármán model is computed as
Φ ^ t h , k v = 1 f s j = ( m 1 ) m 1 R τ ˜ ( j ) R W z ( j V T / f s ) e 2 π i j k m = 2 f s R e j = 0 m 1 R τ ˜ ( j ) R W z ( j V T / f s ) e 2 π i j k m R W z ( 0 )
where τ ˜ is the normalized Tukey–Hanning window. f s is the sampling rate of W z , and k = 0 , . . . , T s p / 2 × f s . R τ ˜ ( m ) is the biased autocorrelation function of the normalized Tukey–Hanning window. m = T s p × f s with T s p the series length, known as the length ofthe normalized window, represents the number of sampling points.
As far as the observed turbulence series is concerned, the input turbulence series W z is derived from the flight variables first. After extracting the turbulence components from the wind series, windowing is performed on the input series to reduce the spectrum leakage, thus leading to a vertical turbulence series W z w . After this, the average periodogram of the observed turbulence series is
Φ ^ o b s , k = 2 f s m j = 0 m 1 W z , j w e 2 i π j k / m 2
Finally, the estimated EDR indicator, ε ^ 1 / 3 , is obtained as the quotient of Equations (6) and (7), that is, dividing the observed spectrum by the theoretical spectrum within the inertial subrange
ε ^ 1 / 3 = ( 1 k h k l + 1 k = k l k h Φ ^ o b s , k Φ ^ t h , k v ) 1 / 2
where k l and k h are the lower and upper bound of data points corresponding to the inertial subrange in time domain, i.e., [ ω l , ω h ] . When the aircraft flies through the turbulence field with airspeed V T , the temporal frequencies are related to turbulence wave number and aircraft true airspeed; thus, ω l = Ω l V T and ω h = Ω h V T .

2.1.2. The Effect of Inertial Subrange Change on EDR Estimation

As far as the observed spectral curves in Figure 1 are concerned, if the spectral components are outside the lower bound ω l , the pitch angle and airspeed can be adjusted to make the aircraft ride smoothly over turbulent waves. On the other hand, if the spectral components are beyond the upper bound ω h , the elastic vibration of the aircraft would be excited. Therefore, only the spectral components between ω l and ω h , also known as the inertial subrange, would excite rapid pitching and vertical motions of aircraft. The two vertical lines in Figure 1 represent the bounds of the inertial subrange. In the inertial subrange, the two theoretical spectral curves coincide, and the turbulence intensity σ z 2 is obtained solely by integrating the spectral components between ω l and ω h . Thus, a theoretical ε 1 / 3 is determined by equating Equations (2) and (4) as follows:
ε 2 / 3 = 55 9 1 A π Γ ( 5 / 6 ) Γ ( 1 / 3 ) σ z 2 L z 2 / 3
Inaccurate upper and lower bound settings of the integral subrange would lead to the estimation error of ε ^ 1 / 3 . With the change in turbulence intensity and length scale, the spectral curve of the von Kármán model changes, as shown in Figure 2. In the low-frequency region, the spectral curve rolls off at the knee, and the spectral levels depend on the length scale L z . In the high-frequency region, the spectral curve is independent of length scale, exhibiting a slope of −5/3. Thus, the exact length scale depends on the specific situation. It is reported that for high-altitude encounters, L z varies from about 300 to 2000 m [39]. To improve the accuracy of EDR estimation, the inertial subrange needs to be optimized continuously. However, in current EDR algorithms, a default length scale of L z = 669 m is used throughout [40]. If the inertia subrange is set beyond the −5/3 slope range, the two turbulence models mismatch. As shown in Figure 2, if ω l is chosen to be so low as to lie outside the inertial subrange, the value of σ z 2 obtained by integrating Equation (4) will be smaller than that returned by integrating Equation (2), leading to an underestimated EDR indicator. Therefore, the accurate determination of the inertial subrange is fundamental to the EDR algorithm.

2.1.3. The Determination of Minimum Series Length for EDR Algorithm

Although the unknown turbulence intensity and length scale lead to an uncertain inertial subrange, it holds promise to determine the subrange by in situ observation. Theoretically, the inertial subrange is able to be determined by searching the nearest neighboring range between the von Kármán and the Kolmogorov spectral curves. However, in situ observed spectral curve is not smooth enough because of the finite series length in periodogram analysis. In fact, the precision and efficiency are balanced in the current EDR algorithm, leading to a short length of input turbulence series. Only with enough series length can the variance of spectrum estimation be acceptable, so that the nearest neighboring range can be captured with better accuracy. Another question is, the minimum series length used for a reliable EDR indicator under a certain flight data sampling rate needs to be addressed beforehand. Therefore, the minimum series length for the EDR algorithm is first explored to determine the reliable inertial subrange.
Based on a certain sampling rate of flight data, the consistency test is proposed to determine the minimum series length for the EDR algorithm. The consistency test is commonly used to check the consistency of results obtained by different methods [41]. With several turbulence series characterized by different intensities and length scales, different EDR values are obtained. The consistency test is conducted between the observed EDR values and the theoretical values. Thus, the effects of intensity and length scale changes on the length of the minimum series are examined. If the consistency test is passed, it is believed that the intensity and length scale changes have no significant influence on the selection of series length, and the current length N 0 can be regarded as the minimum series length for further periodogram analysis.
To perform the consistency test, several turbulence scenarios covering different intensities and length scales are selected. Taking m scenarios as an example, m theoretical EDR values, [ ( ε 1 / 3 ) 0 1 , ( ε 1 / 3 ) 0 2 , . . . , ( ε 1 / 3 ) 0 m ] T , are obtained by Equation (9). After this, m series are generated by a turbulence simulation. Each series is cut into 100 segments, with a base length N 0 each. N 0 is assumed to be the minimum series length initially. As a result, a matrix to be tested is assembled as follows:
( ε 1 / 3 ) 1 1 ( ε 1 / 3 ) 2 1 . . . ( ε 1 / 3 ) 100 1 ( ε 1 / 3 ) 1 2 ( ε 1 / 3 ) 2 2 . . . ( ε 1 / 3 ) 100 2 . . . . . . . . . . . . ( ε 1 / 3 ) 1 m ( ε 1 / 3 ) 2 m . . . ( ε 1 / 3 ) 100 m m × 100
In the process of the consistency test, an interclass correlation coefficient (ICC) table is established. Since there are theoretical EDR values ( ε 1 / 3 ) 0 i and estimated EDR values by sampling average ( ε ¯ 1 / 3 ) i , the column number in the consistency test is set by k = 2 . Based on the test matrix of Equation (10), there are m estimated average EDR values. Thus, the total estimated average EDR value ε ¯ 1 / 3 is
ε ¯ 1 / 3 = i = 1 m ( ε 1 / 3 ) 0 i + i = 1 m ( ε ¯ 1 / 3 ) i 2 m
The mean square per row M S R is
M S R = i = 1 m [ ( ε ¯ 1 / 3 ) i ε ¯ 1 / 3 ] 2 × k m 1
The mean square error M S E is
M S E = i = 1 m [ ( ε 1 / 3 ) 0 i ( ε ^ 1 / 3 ) i ] + i = 1 m [ ( ε ¯ 1 / 3 ) i ( ε ^ 1 / 3 ) i ] ( m 1 ) × ( k 1 )
where [ ( ε ^ 1 / 3 ) 1 , ( ε ^ 1 / 3 ) 2 , . . . , ( ε ^ 1 / 3 ) m ] T is a group of predicted EDR values obtained by linear regression under the least squares criterion. By the bidirectional random consistency test, the ICC is computed by
I C C = M S R M S E M S R + ( k 1 ) M S E
With the increase in series length, the variance of periodogram analysis in the EDR algorithm is reduced, and the consistency between observed EDR values and theoretical values becomes better. Therefore, if ICC is bigger than a preset value, the current series length N 0 can be regarded as the minimum length N 0 * . Otherwise, the length is doubled, i.e., N 0 N 0 × 2 , and the consistency test is performed again until the ICC test is acceptable.

2.1.4. The Optimization of Inertial Subrange

After determining the minimum series length N 0 * for the baseline EDR algorithm, the series needs to be extended to reduce the estimation variance, thus leading to a much smoother spectrum curve. In this study, the series is extended by the power of 2 by referring to the Blackman–Tukey spectrum estimation theory. Based on the minimum series length N 0 * , the Blackman–Tukey spectrum estimation is [42]
Φ ^ o b s , k B T = j = M M R W z ( j ) w A ( j ) w B ( j ) e 2 i π j k , M N 0 * 1
where R W z is the autocorrelation function of the vertical turbulence series, w A is the triangular window function with width 2 N 0 + 1 , and w B is the Hanning window function with width M. The variance of Blackman–Tukey spectral estimation is
σ 2 ( Φ ^ o b s B T ) = ( Φ ^ t h v ) 2 N 0 * j = M M w B 2 ( j )
If σ 2 ( Φ ^ o b s B T ) N 0 * N ( Φ ^ t h v ) 2 , the variance of spectrum estimation is small enough, and N * = N 0 * is regarded as the acceptable series length for further optimization of the inertial subrange. Otherwise, N is extended by N = 2 i · N 0 ( i = 0 , 1 , 2 . . . ) , and Equation (16) is tested once again. With the increase in series length, the spectral variance reduces, thus the observed spectral curve becomes smoother.
The upper and lower bounds of the inertial subrange are determined by searching the nearest neighboring range of the observed and Kolmogorov spectral curves. The regression equation derived from Equation (2) is lg ( Φ t h K ( Ω ) ) = lg ( A ε 2 / 3 ) 5 / 3 × lg Ω , thus the root mean square error between the observed Blackman–Tukey spectrum and the Kolmogorov theoretical spectrum is
σ ( Φ ) = Δ Ω Ω h Ω l k = Ω l Ω h lg ( Φ t h , k K ) lg ( Φ ^ k B T ) 2 1 / 2
The optimized lower bound Ω l * is obtained by increasing Ω l until the change rate of RMSE, Δ R M S E , is stable within Δ Ω × 5 / 3 , Δ Ω × 5 / 3 . Once Ω l * is fixed, the optimized upper bound Ω h * is determined by decreasing Ω h until Δ R M S E it stable as well. To summarize, the optimization process of the inertial subrange is shown in Figure 3.

2.2. The Acceleration Response to Turbulence by UVLM

2.2.1. The Unsteady Vortex Lattice Method

This section deals with the estimation of aircraft-dependent bumpiness. The vertical acceleration response to turbulence is fundamental to estimate the bumpiness severity because the continuous and stochastic change in vertical acceleration induces aircraft bumpiness. As an efficient computational technique, the vortex lattice method (VLM) is commonly used in solving irrotational, inviscid, and incompressible potential flow problems. The acceleration change induced by turbulence is explored by VLM in this study, and the aircraft body is simplified as a wing and horizontal tail assembly (wing–tail assembly) to achieve a balance between the accuracy and efficiency of VLM, since aircraft bumpiness is mainly induced by aircraft pitching and heaving motions. As shown in Figure 4, the lifting surface is discretized by dozens of rectilinear ring vortices. The gross wing is divided by m W rows and n W columns, while the horizontal tail is divided by m T rows and n T columns; thus, a total of N = m W × n W + m T × n T vortex lattices are obtained. Ring vortices are distributed over the mean camber surface, and the nonpenetration boundary condition is imposed at each collocation point, thus leading to a system of algebraic equations. The leading segment of the ring vortex is placed on the 1/4 chord line of the panel, and the central collocation point is located at the 3/4 chord line. The velocity induced by the ring vortex over one collocation point is computed by using the Biot–Savart law. Taking the vortex segment AB in Figure 4 as an example, the induced velocity of any point P is
V A B = Γ 4 π r 1 × r 2 r 1 × r 2 2 r 0 ( r 1 r 1 r 2 r 2 )
where Γ is the circulation of the vortex segment, r 1 and r 2 are the position vectors from either end of the vortex segment to point P. In rectangular vortex application, this entails four evaluations of the Biot–Savart law, one for each segment of the closed loop. For numerical efficiency, the adjacent vortex segments shared by different rings need to be computed only once.
The continuous change in influence coefficient matrices in turbulent flight is characterized by an explicit time-marching algorithm, in which the general governing equations are presented in a discrete-time state-space form. Therefore, the governing equations is able to be integrated into the numerical simulation of aircraft dynamics as well. A suitable physical solution is found in the numerical solution of the inviscid potential flow theory, producing a unique velocity circulation. At arbitrary time step t k in the time-marching algorithm, the circulation of each ring vortex is determined by applying the nonpenetration boundary condition as
( A b , k Γ b , k + A w , k Γ w , k + w k ) · n = 0
As the circulation of the wing-attached or tail-attached vortex, Γ b , k in Equation (19) needs to be solved. Once the vortices fall off from the last row of the lifting body, the circulation of wake vortex Γ w , k remains changed. The influence coefficient matrices (ICM), A b , k is constant because the collocation points on the lifting body is fixed. Therefore, to obtain the circulation of the airfoil-attached vortex, the influence coefficient matrix of wake vortex A w , k needs to be solved as well. In addition, w k is the disturbed velocity (apart from the induced velocity) at the collocation point. At an arbitrary collocation point, w k can be further expanded by
w ( t k ) = C w b V 0 0 + 0 r k q k r k 0 p k q k p k 0 x k y k z k + C g b W x , k W y , k W z , k
where V is the free-flow velocity, and [ x k , y k , z k ] T is the coordinate of arbitrary collocation point. [ p k , q k , r k ] T represents the roll, pitch, and yaw angular velocity of aircraft each, as shown in the lower left corner of Figure 4. Described by the angle of attack α and sideslip angle β , C w b is the transition matrix from wind axis to body axis. Transition matrix C g b , characterized by the roll angle ϕ , the pitch angle θ , and the yaw angle Ψ of the aircraft, describes the transformation from the ground axis to the body axis.

2.2.2. The Time Marching of Airfoil Circulation

In the time-marching solving process of the influence coefficient matrices, flow tangency is enforced on each ring vortex, and the wake convects with the free-stream velocity. As the wing–tail assembly moves along its flight path, the force-free wake, represented by ring vortices as well, is obtained as part of the solution procedure. The force-free wake field is characterized in Figure 4. The rear stagnation point of the flow is located at the trailing edge of the airfoil. To satisfy the Kutta–Joukowski trailing edge condition, the circulation around the airfoil ensures that the airflow smoothly flows through the trailing edge. Therefore, the coordinates of the trailing edge 1 T E k is obtained according to the geometry of the wing–tail assembly, and the corner point coordinates of the force-free wake vortex 1 w k on the first row are obtained as
1 w , k = 4 / 3 × 1 T E k 1 / 3 × 1 b n k
where 1 b n k is the coordinates of the airfoil-attached vortex on the last row. In addition to Equation (21), all the coordinates of the corner points must be determined to characterize the force-free wake system. On the one hand, all the wake vortices move forward with the aircraft after shedding, so the effects of the real-time flow field need to be considered. On the other hand, the location of corner points needs to be refreshed according to the local flow field, as shown in Figure 5. Therefore, the total correction is described by
1 w , k 1 = 1 w , k + t k 1 t k ( V b , k 1 T E + V w , k 1 T E + W k 1 + V , k ) d t + Δ 1 w , k
where V b , k 1 T E is the velocity at the trailing edge induced by the airfoil-attached vortex, V w , k 1 T E is the velocity induced by the force-free wake vortex system. The second part of correction Δ 1 w , k relates to the induced velocity of the attached vortex system as
Δ 1 w , k = t k 1 t k ( V b , k 1 i + V w , k 1 i + W k 1 + V ) d t
where the superscript i represents the series number of the corner point in the wake vortex system.
If the aircraft attitude change and the turbulent wind velocity are obtained in advance, Equation (19) becomes a homogeneous system consisting of linear equations. By solving the linear equations, the airfoil-attached vortex circulations [ Γ b 1 , k , Γ b 2 , k , , Γ b M , k ] T and wake vortex circulations [ Γ w 1 , k , Γ w 2 , k , , Γ w K , k ] T are obtained, which are further used to derive the aerodynamic force in turbulent flight.

2.2.3. The Numerical Solution of Aircraft Vertical Acceleration

After obtaining the airfoil-attached vortex circulations, the aerodynamic resultant force distribution at collocation point i is computed by the Kutta–Joukowski theorem:
F i , k = C i ρ Γ i ( V b i , k + V w i , k + w i , k ) × d s
where ρ is the air density; C i represents the ring vortex corresponding to each collocation point; and d s is the unit vortex filament vector of the ring vortex. V b i , k and V w i , k are the velocities induced by the airfoil-attached vortex and the force-free wake vortex, respectively. w i ( t k ) represents the disturbance velocities other than the induced velocity, involving the free flow velocity, relative motion velocity, and turbulent wind velocity. The aerodynamic forces induced by adjacent ring vortices are computed separately. Furthermore, aerodynamic forces are placed on each of the collocation points and are superimposed in further aerodynamic synthesis.
In high-subsonic cruising flight, the effects of air compressibility on aerodynamics cannot be ignored. Thus, the compressibility effects need to be compensated after obtaining the aerodynamic forces at each collocation point. In this study, the Kármán–Tsien correction is used to compensate for the compressibility effects, since the correction results accord with the high-subsonic experiments well [43]. Thus, the aerodynamic force in Equation (21) is corrected by
F ^ i = F i 1 M 2 + M 2 1 + 1 M 2 F i 2
where M is the mach number of the free flow. After being calibrated by F ^ i , the aerodynamic force at each collocation point is further decomposed into three axes, namely the lift F z i , the induced drag F x i , and the side force F y i . The total aerodynamic force F = [ F x , F y , F z ] T is obtained by summing the distributed force over all lattices. Furthermore, the moments around each axis, M = [ M x , M y , M z ] T , are computed as follows:
F ( t k ) = i = 1 N F i ( t k ) M ( t k ) = i = 1 N ( 1 g 1 i ) × F i ( t k )
where 1 g = ( x g , y g , z g ) T represents the center of gravity of the aircraft.
To characterize the unsteady acceleration change in turbulent flight, several dynamic variables, like V , α , β , ϕ , θ , ψ , p , q , r , as shown in Equation (19), should be computed in the time-marching algorithm. The dynamic equations governing aircraft motion are integrated into the time-marching algorithm. Firstly, the mass-point movement equations are used to describe the velocity components V T = [ V T x , V T y , V T z ] T in body axis
V ˙ T x , k = F x , k / m g sin θ k ( q k V T z , k r k V T y , k ) V ˙ T y , k = F y , k / m + g sin ϕ k cos θ k ( r k V T x , k p k V T z , k ) V ˙ T z , k = F z , k / m + g cos ϕ k cos θ k ( p k V T y , k q k V T x , k )
After performing numerical integration, the velocity components at t k is obtained. The instantaneous vertical acceleration is derived from the third equation of Equation (27). Furthermore, the airspeed, the angle of attack, and the sideslip angle are derived by
V T , k = V T x , k 2 + V T y , k 2 + V T z , k 2 β k = sin 1 ( V T y , k / V T , k ) α k = tan 1 ( V T z , k / V T x , k )
Secondly, the angular velocity equations are used to characterize the attitude change as
Θ p ˙ k = I x z ( I x I y + I z ) p k q k [ I z ( I z I y ) + I x z 2 ] q k r k + I z Δ M x , k + I x z Δ M z , k I y q ˙ k = ( I z I x ) p k r k I x z ( p k 2 r k 2 ) + Δ M y , k Θ r ˙ k = [ ( I x I y ) I x + I x z 2 ] p k q k I x z ( I x I y + I z ) q k r k + I x z Δ M x , k + I x Δ M z , k
where Θ = I x I z I x z 2 . I x 0 I x z 0 I y 0 I x z 0 I z stands for the inertial matrix of the aircraft. After performing numerical integration on Equation (29), the instantaneous angular velocities [ p , q , r ] T are obtained.
Aircraft bumpiness can be induced by either turbulence or aircraft maneuvers. In fact, the control surface deflections would induce a change in vertical acceleration as well. Therefore, in aircraft-dependent bumpiness estimation, the turbulence-induced acceleration change must be extracted from the total acceleration change. Based on the turbulence input, the total aerodynamic force F and moments M and those without turbulence effects, F 0 and M 0 , are obtained, respectively, in each computation cycle. As a result, the increments of aerodynamic force and moments, Δ F = F F 0 and Δ M = M M 0 , lead to the change in aircraft states. Therefore, the increments Δ F = [ Δ F x , Δ F y , Δ F z ] T and Δ M = [ Δ M x , Δ M y , Δ M z ] T can be put into Equations (27) and (29). By numerical integration, the continuous change in [ V , α , β , ϕ , θ , ψ , p , q , r ] T is obtained.

2.3. The Acceleration Response to Turbulence by UVLM

Compared with the objective turbulence EDR metric, obtaining the aircraft-related bumpiness severity is more helpful to prevent bumpiness-induced accidents. In this study, the bumpiness severity is characterized by the variance of vertical acceleration. Taking the turbulence series as the input, the vertical acceleration series is obtained by Section 2.2, and the variance of vertical acceleration is defined by
σ ^ a z 2 0 H ( ω l , ω h , ω ) 2 Φ a z ( ω ) d ω
where Φ a z ( ω ) is the spectrum of vertical acceleration. A band-pass filter H ( ω l , ω h , ω ) should be cascaded to eliminate the influence of aircraft maneuvers and high-frequency aero-elastic vibration. In fact, the frequency band within which the majority of the rigid body aircraft vertical acceleration response occurs corresponds to the inertial subrange of turbulence. Therefore, the bandpass is determined by the optimization of the inertial subrange as well.
Taking the turbulence series as the input, the vertical acceleration series is generated. However, the acceleration series cannot be used to estimate the spectrum directly because of the spectrum leakage induced by finite series. Instead, based on the turbulence input, the spectrum of vertical acceleration is obtained by
Φ a z ( ω ) = a z ( i ω ) W z ( i ω ) 2 Φ W z ( ω )
where a z ( i ω ) and W z ( i ω ) are the discrete Fourier transform of the acceleration series and the vertical wind series, respectively. During the optimization of the inertial subrange, a theoretical Kolmogorov turbulence model with an EDR value is determined. Therefore, by combining Equation (2), the variance of vertical acceleration is obtained by
σ ^ a z 2 = 0.7 V T ξ 2 / 3 0 H ( ω l , ω h , ω ) 2 a z ( i ω ) W z ( i ω ) 2 ω 5 / 3 d ω
In algorithm implementation, a new series f ( i ω ) is generated by dividing series a z ( i ω ) and W z ( i ω ) . Computed within a period T, the variance σ ^ a z 2 is computed synchronously with the EDR algorithm.
σ ^ z ¨ 2 t 1 T k = 0 T 1 H ( ω 1 , ω 2 , 2 π T k ) f ( 2 π T k ) 2
To summarize, the algorithm of acceleration response to turbulence is described in Table 1. By establishing the mesh grid on the wing–tail assembly of the target aircraft, the geometric parameters in the ICM are obtained. After that, based on the discrete turbulence series input, the unsteady ring vortex method is used to compute the aerodynamic response of the aircraft. In the process, the vertical acceleration response is obtained by dynamic equation integration. By separating the vertical acceleration induced by control surface deflections, the vertical acceleration induced by turbulence is obtained.

3. Results and Discussion

In this section, the aircraft-independent EDR estimation and aircraft-dependent bumpiness estimation are explored by simulation and experiment based on real flight data. The flight data sets of civil aviation aircraft flying from Chengdu Shuangliu Airport (ZUUU) to Lhasa Kongga Airport (ZULS) of China were collected. A data set of 3127 flights was gathered, covering April 2019 to April 2023. Of these, the Airbus A319 and A330 are two main aircraft types. Combined with the strong solar radiation and complex highland terrain, the turbulence area under the tropospheric jet axis could induce severe aircraft bumpiness. Based on the flight data set of ZUUU-ZULS, twenty wind scenarios (S1–S20) covering light, moderate, and severe turbulence are sampled and recorded. In this study, eight scenarios are used to test the acceleration response and estimate aircraft bumpiness, as shown in Table 2.
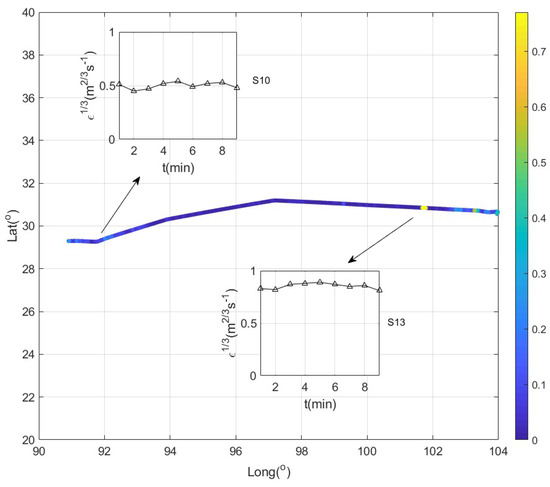
Two scenarios, S10 and S13, are used for vertical acceleration analysis, as shown in Figure 6. S13 is located at 101.75 east longitude (101.75 E) and 30.85 north latitude (30.85 N). The aircraft A319 experienced severe bumpiness with maximum acceleration a z = 1.598 g. After that, the later aircraft flew around this zone. S10 is located at 92.25 E and 29.5 N. The A319 experienced moderate bumpiness with maximum acceleration a z = 1.243 g. After 9 min, another A330 flew across this zone and experienced the turbulence. It should be noted that the vertical acceleration cannot reflect the objective turbulence severity because different aircraft with different weights and airspeeds would experience different acceleration responses.

3.1. The Optimized Aircraft-Independent EDR Estimation

3.1.1. The Determination of Minimum Series Length for EDR Estimation

Under a certain sampling rate of flight data, the minimum series length of EDR estimation was determined. After this, the inertial subrange was obtained by reducing the variance of spectral estimation. A simulation test was performed to determine the minimum sequence length for EDR estimation under a certain sampling rate of flight data. On the one hand, a spatial 3-D Fourier transform was leveraged to generate the vertical component of turbulence series conforming to the von Kármán model [44]. With several kinds of turbulence intensities and length scales, different EDR values were estimated according to Equation (8). On the other hand, the corresponding theoretical EDR values are able to be obtained by using Equation (6). As a result, the estimation quality under different series lengths was compared with the theoretical EDR value through statistical analysis.
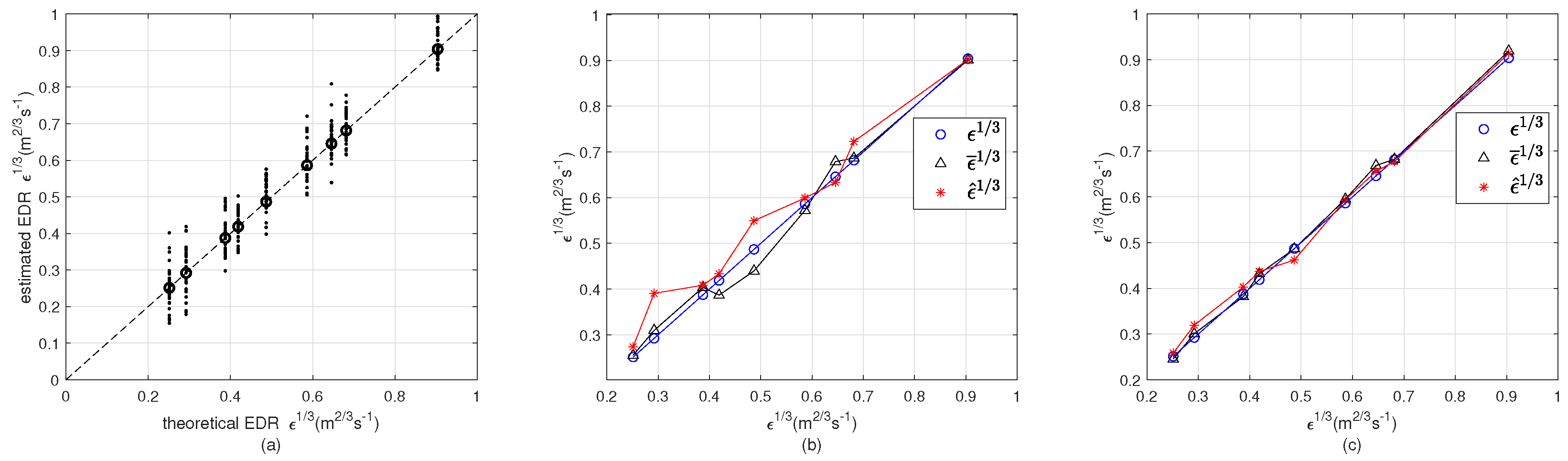
Taking turbulence sampling rate f s = 32 Hz as an example, three different turbulence intensities covering light, moderate, and severe circumstances, and three different length scales were selected to constitute nine groups of turbulence series, forming nine test conditions (TC), as shown in Table 3. The turbulence series was further divided by n 0 = 100 segments, while in each segment the series length N 0 = 128 . As shown in Figure 7a, the nine circles indicate the theoretical ε 1 / 3 , while the estimated EDR values are distributed around the theoretical values.
By numerical simulation, 100 × 9 = 900 EDR values were generated, and the consistency test was further performed. For each TC, the average value ( ε ¯ 1 / 3 ) 0 i and the estimated value ( ε ^ 1 / 3 ) 0 i are both shown in Table 3. With initial setting N 0 = 128 , the interclass correlation coefficient ICC = 0.7731. This low ICC value indicates that an accurate and stable EDR value cannot be obtained under the series length N 0 = 128 . According to the algorithm flow in Figure 3, by extending the series length to N 0 = 256 and carrying out the simulation and consistency test again, the ICC value was increased to ICC = 0.9312. Figure 7b shows the ( ε ^ 1 / 3 ) i and ( ε ¯ 1 / 3 ) 0 i corresponding to each TC under N 0 = 128 , while Figure 7c shows the two variables under N 0 = 256 .

3.1.2. The Optimization of Inertial Subrange

By the analysis above, the minimum series length to estimate the EDR value is N 0 = 256 with the sampling rate f s = 32 Hz . According to Equation (19), the Hanning window function with width M = N 0 * / 5 = 5 was applied, and σ 2 [ Φ ^ B T ] = 0.38 > N 0 N Φ k m o d e l 2 = 0.09 . Thus, the variance of spectral estimation is poor based on the minimum series. By referring to Blackman–Tukey spectra estimation theory, a longer series length for optimizing the inertial subrange is determined by extending the series with power 2. By iterations, the series length was extended to N * = 2048 , thus leading to an acceptable variance. Based on the proposed method, Table 4 shows the variance change in the nine TCs before and after series extension.
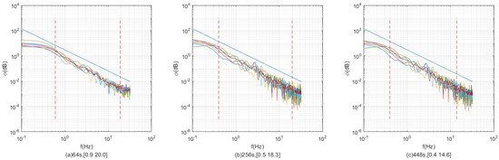
The optimization of the inertial subrange is tested by changing of turbulence intensity and length scale intermittently in the simulation. The turbulence series was set initially by L = 300 m and σ w = 3 m/s. At 3 min, the parameters are changed by L = 700 m and σ w = 5 m/s. At 6 min, the parameters are changed by L = 1100 m and σ w = 7 m/s. Under the sampling rate f s = 32 Hz , the EDR estimation is carried out every 256 points, namely 8 s. Besides, the inertial subrange is optimized every 2048 points, that is, 64 s. By optimization, the inertial subrange at 64 s, 256 s, 448 s is estimated by [0.9, 20.0], [0.5, 18.3], [0.4, 14.6], respectively, as shown in Figure 8.
The theoretical EDR value, the baseline EDR value with default fixed inertial subrange, and the derived EDR value under the optimized inertial subrange are shown in Figure 9. The mean squared error (MSE) of baseline EDR is 1 . 22 × 1 0 3 , while the MSE of optimized EDR is 5 . 41 × 1 0 4 . It can be found that the EDR estimation with the inertial subrange optimized is more stable than the traditional EDR estimation.

3.1.3. The Optimized Aircraft-Independent EDR Estimation Based on Flight Data

According to the ZUUU-ZULS flight data sets, the optimized aircraft-independent EDR estimation of the two scenarios was performed successively. S13 with severe turbulence was analyzed first. After experiencing severe bumpiness, the following aircraft deviated from this zone. According to the flight data sampling rate of 16 Hz, the minimum series length for EDR estimation is N 0 = 128 . To improve the variance performance, the extended series length is N * = 1024 . As a result, the EDR estimation is carried out every 128/16 = 8 s, while the inertial subrange optimization is carried out every 1024 / 16 = 64 s. In nine minutes, the change in inertial subrange marked by red lines is shown in Figure 10, showing the inertial subrange at 64 s, 128 s, 196 s, 256 s, 320 s, 384 s, 448 s, and 512 s successively.
The EDR estimation results of baseline (in Figure 10a) and inertial subrange-optimized EDR estimation (in Figure 10b) are shown in Figure 10 as well. The default inertial subrange [0.5, 7.2] was applied to basic EDR estimation. Compared with the simulation test in Section 3.1, we cannot provide the theoretical EDR value. By observation, the stability of inertial subrange-optimized EDR estimation is better than that of the basic EDR estimation, which is consistent with the theoretical analysis.
At S10, the two aircraft flew through moderate turbulence with a time lag of about 9 min. The turbulence parameters are assumed to be unchanged for 9 min under the assumption of a frozen field. According to the flight data of two aircraft, the inertial subrange and EDR value are derived. Table 5 shows the inertial subrange estimation by the two aircraft. The inertial subranges estimated by A319 and A330 at each time point are similar.
Figure 11 shows the EDR estimation by A319 and A330, respectively. The estimated results of both aircraft are similar. Therefore, the inertial subrange-optimized EDR estimation is effective.
Figure 12 shows the optimized EDR estimation results observed by A319. The EDR value of the two zones is shown in two subwindows, from which it can be found that the objective EDR value is different from the vertical acceleration, as shown in Figure 6.

3.2. The Aircraft-Dependent Bumpiness Estimation

3.2.1. The Acceleration Response to Turbulence

Accurate acceleration response forms the basis of deriving aircraft-dependent bumpiness severity. The effectiveness of UVLM, including the grid number refinement and the steady aerodynamic test, was tested with the Boeing 737-800 aircraft [45]. The algorithm had been proven to track the continuous change in aircraft normal acceleration. Though there exist a few deviations in peak acceleration response, UVLM performed a good sensitivity to severe turbulence, resulting in an over-prediction of peak values.
In addition to the acceleration change induced by atmospheric disturbance, pilots’ manipulation would cause control surface deflections, thus leading to acceleration change as well. With the FDMs of A319 and A330 aircraft integrated, this study focused on the separation of aircraft maneuvers by UVLM. The results of UVLM are compared with recorded flight data. The force-free wake vortex was applied to compute the continuous response to turbulence. The turbulence input was derived from flight data by referring to [9]. To carry out the UVLM, the wing–tail assembly model of the Airbus A319 and A330 is built first. Table 6 lists the geometric parameters and grid divisions of A319 and A330 aircraft.
To deal with aircraft bumpiness in turbulence, the acceleration change induced by aircraft maneuvers must be separated from the acceleration response. Taking the A319 as an example, the aircraft maneuvers induced by both control surface deflections and the effects on acceleration response were studied. Figure 13 shows the test results of S11, where the aircraft encountered continuous and low-amplitude turbulence disturbance. The longitudinal and vertical turbulence components are shown in Figure 13a. Figure 13b,c show the elevator and spoilers deflected by automatic flight control or manual manipulation in order to suppress the aircraft bumpiness. As shown in Figure 13d, the aircraft encountered severe bumpiness during 50 s–60 s. At 58 s, the aircraft encountered the vertical wind of −10 m/s. After a while, the vertical wind changed suddenly to 13 m/s. The elevator deflected quickly, and the high-speed and low-speed spoilers deflected after a short delay. In Figure 13d, the red curve depicts the series a z a z 0 , showing the acceleration change induced by turbulence solely. The series is obtained by carrying out UVLM twice. Firstly, the series a z is generated by inputting turbulence and control deflections. After that, the series a z 0 is computed only with control deflections. From the vertical acceleration response, the effect of control surface deflections on acceleration change can be observed. Results indicate that the adverse effects of control surface deflections can be separated by performing UVLM twice.
The spectra of computed acceleration and recorded value are compared as shown in Figure 14. It shows that the UVLM is able to track the fluctuation better in the high-frequency domain. However, with aircraft maneuvers eliminated, the total energy of the acceleration spectra is smaller than that of the recorded acceleration. It can be concluded that the vertical acceleration change is not only induced by turbulence, but also affected by aircraft maneuvers, in other words, the deflections of control surfaces. Since the boundary of the vortex lattice was designed to approximate the structural boundary of control surfaces, the acceleration induced by aircraft maneuvers can be separated from that induced by turbulence.
The MSE and peak acceleration of the eight wind scenarios are compared as shown in Figure 15. UVLM shows better computing accuracy in varied turbulence severities. With the increase in turbulence severities, the MSE increases. However, the maximum MSE is less than 0.01, and the peak acceleration can fit the recorded flight data well.

3.2.2. In Situ Aircraft-Dependent Bumpiness Estimation Based on Flight Data

Taking the S10 as an example, the aircraft-dependent in situ bumpiness estimation and prediction are tested, respectively. The in situ aircraft bumpiness estimation is performed in S10 to test the bumpiness difference in different aircraft. Based on the algorithm of Table 1, the in situ aircraft bumpiness estimation in S10 is shown in Figure 16. The bumpiness severity of A330 is lower than that of A319. The estimated results are consistent with the recorded vertical acceleration, which is mixed with control surface deflection-induced maneuvers.

3.3. Further Discussion

The turbulence components, the wave number of which lies in the inertial subrange, have direct effects on aircraft bumpiness. Different sampling rates would have major effects on the selection of the inertial subrange. This study proposes an effective way of searching the inertial subrange under different sampling rates. The selection of the inertial subrange is not only helpful to obtain the objective EDR estimation with better accuracy, but also fundamental to obtain the aircraft-dependent bumpiness.
The accurate computation of vertical acceleration is fundamental to obtain aircraft-dependent bumpiness. Compared with the linear model based on small perturbation theory, the proposed method based on linear potential theory is helpful to track the peak vertical acceleration with better accuracy. In addition, it is reported that a pilot’s incorrect manipulation would deteriorate aircraft bumpiness in severe turbulence [46]. Since the vertical acceleration is generated by either turbulent wind or control surface deflection, the linear potential method is capable of separating the aircraft maneuver effects from the vertical acceleration. The proposed method can be further applied to aircraft bumpiness analysis. To reduce the bumpiness severity, the control surfaces may be deflected under the control of the automatic flight control system in turbulent flight. Therefore, it is necessary to consider the influence of control surface deflection. In UVLM, aerodynamic control surfaces can be directly modeled by prescribed deflections of trailing edge panels and the corresponding rotation of normal vectors. Therefore, the UVLM-based acceleration analysis is helpful to investigate the bumpiness induced by turbulence.
Aircraft-related bumpiness can be obtained with an optimized inertial subrange. In fact, two aircraft penetrating the same turbulence field at different speeds may experience quite different disturbances. An aircraft-related bumpiness estimation is tested based on the flight data from A319 and A330 aircraft. It should be noted that if the computing results of target aircraft are saved into a table beforehand according to different aircraft mass and airspeed, the bumpiness severity of target aircraft can be estimated by looking up the table with the in situ EDR value. In addition, the bumpiness severity of the aircraft that is about to fly through the turbulence field can also be predicted.
After this, the aircraft bumpiness prediction is performed in S13. The predicted aircraft bumpiness can be used to judge whether the following aircraft can fly through a turbulence field or not. Based on the frozen field assumption, in the same turbulence field, different aircraft would experience different turbulence severities. Therefore, the objective EDR value cannot be regarded as the actual bumpiness indicator. With the increase in aircraft weight, the bumpiness severities reduce. In addition, with the increase in airspeed, the bumpiness severities increase. The A319 and A330 aircraft bumpiness prediction in S13 is shown in Figure 17. According to different aircraft weight and airspeed, the bumpiness severity of the target aircraft can be calculated and saved in the database. Then, the bumpiness severity can be obtained by table look-up. According to the predicted EDR indicator, the flight crew can decide whether to fly through or deviate severe turbulence area. On the other hand, the objective turbulence severity can be derived from post hoc flight data. Thus, the following aircraft bumpiness can be predicted by the algorithm.

4. Conclusions

This study put forward a suite of objective turbulence severity and aircraft-dependent bumpiness estimation methods. The optimization ofthe inertial subrange is performed under different sampling rates of flight data. Based on the basic wind-based EDR estimation, the length scale of turbulence is considered; thus, an optimized EDR estimation algorithm is proposed. Furthermore, a subjective aircraft bumpiness estimation is put forward based on UVLM. Compared with the traditional linear transfer function model, the acceleration response derived by UVLM is more accurate and further eliminates the adverse effects of control surface deflections. This study can be further applied to build the turbulence map, in which the turbulence severity on a particular airway is shown. Furthermore, the optimized EDR and aircraft bumpiness estimation method can be combined with meteorological information, thus the bumpiness prediction accuracy can be further improved. The proposed method holds promise for application in airline operation and control departments to ensure aviation safety.

Author Contributions

Data curation, Z.G. and K.Q.; formal analysis, Z.G. and Q.Z.; funding acquisition, Z.G.; investigation, K.Q. and Q.Z.; methodology, Z.G. and Q.Z.; project administration, Z.G.; resources, Z.G. and K.Q.; software, Q.Z.; supervision, Z.G.; validation, Z.G. and Q.Z.; visualization, Q.Z. and K.Q.; writing—original draft, Z.G. and Q.Z.; writing—review and editing, Z.G. and Q.Z. All authors have read and agreed to the published version of the manuscript.

Funding

This study was funded by the National Natural Science Foundation of China (No. 52272351 and U2333202), the Aeronautical Science Foundation of China (2022Z066052002) and the Civil Aviation Administration of China and the Civil Aviation Safety Capability Building Project (ASSR2023/22).

Institutional Review Board Statement

Not applicable.

Informed Consent Statement

Not applicable.

Data Availability Statement

Restrictions apply to the availability of these data. Data were obtained from [China Academy of Civil Aviation Science and Technology] and are available [from Gao, Zhenxing] with the permission of [China Academy of Civil Aviation Science and Technology].

Acknowledgments

This study was funded by the National Natural Science Foundation of China (No. 52272351 and U2333202), the Aeronautical Science Foundation of China (2022Z066052002,) and the Civil Aviation Administration of China and the Civil Aviation Safety Capability Building Project (ASSA2023). The authors acknowledge the flight data provided by the China Academy of Civil Aviation Science and Technology.

Conflicts of Interest

The authors declare no conflicts of interest.

Abbreviations

The following abbreviations are used in this manuscript:
UVLMUnsteady Vortex Lattice Method
PIREPsPilot Reports
VAVertical Acceleration
DEVGDerived Equivalent Vertical Gust velocity
EDREddy Dissipation Rate AMDAR Aircraft Meteorological Data Relay
ICAOInternational Civil Aviation Organization
MLEmaximum likelihood estimation
VLMVortex Lattice Method
ICMInfluence Coefficient Matrices
TCTest Conditions

References

  1. Sharman, R.D.; Lane, T. Aviation Turbulence: Processes, Detection, Prediction; Springer: Cham, Switzerland, 2016; pp. 3–5. [Google Scholar]
  2. The Boeing Company. Statistical Summary of Commercial Jet Airplane Accidents (1959–2022); The Boeing Company: Arlington County, VA, USA, 2023. [Google Scholar]
  3. Sharman, R.D.; Corman, L.B.; Meymaris, G. Description and Derived Climatologies of Automated in Situ Eddy Dissipation Rate Reports of Atmospheric Turbulence. J. Appl. Meteorol. Climatol. 2014, 53, 1416–1432. [Google Scholar] [CrossRef]
  4. Sharman, R.D. Clear-Air Turbulence Nowcasting and Forecasting Using In-Situ Turbulence Data. In Proceedings of the 12th Conference on Aviation Range and Aerospace Meteorology, Atlanta, GA, USA, 28 January–2 February 2006. [Google Scholar]
  5. Sharman, R.D.; Doyle, J.D.; Shapiro, M.A. An Investigation of a Commercial Aircraft Encounter with Severe Clear-air Turbulence over Western Greenland. J. Appl. Meteorol. Climatol. 2012, 51, 42–53. [Google Scholar] [CrossRef]
  6. Kim, S.H.; Chun, H.Y.; Chan, P.W. Comparison of Turbulence Indicators Obtained from In-situ Flight Data. Am. Meteorol. Soc. 2017, 56, 1609–1623. [Google Scholar] [CrossRef]
  7. Kim, S.H.; Chun, H.Y.; Kim, J.H.; Sharman, R.D. Retrieval of Eddy Dissipation Rate from Derived Equivalent Vertical Gust Included in Aircraft Meteorological Data Relay (AMDAR). Am. Meteorol. Soc. 2020, 13, 1373–1385. [Google Scholar] [CrossRef]
  8. Cai, J.; Zhang, Y.; Richard, J.D. Diagnosis and Classification of Typhoon-associated Low-altitude Turbulence Using HKO-TDWR Radar Observations and Machine Learning. IEEE Trans. Geosci. Remote Sens. 2020, 13, 1373–1385. [Google Scholar] [CrossRef]
  9. Gao, Z.; Wang, H.; Qi, K. Acceleration-based in Situ Eddy Dissipation Rate Estimation with Flight Data. Atmosphere 2020, 11, 1247. [Google Scholar] [CrossRef]
  10. Kim, S.H.; Kim, J.; Kim, J.H. Characteristics of the Derived Energy Dissipation Rate Using the 1-Hz Commercial Aircraft Quick Access Recorder (QAR) Data. Atmos. Meas. Tech. 2022, 15, 2277–2298. [Google Scholar] [CrossRef]
  11. Larry, B.C.; Corinne, S.M.; Gary, C. Real-time Estimation of Atmospheric Turbulence Severtity from In-situ Aircraft Measurements. J. Aircr. 2012, 32, 171–177. [Google Scholar] [CrossRef]
  12. Robinson, P.; Buck, B.K.; Bowles, R.L.; Boyd, D.L.B.; Corman, L.B. Optimization of the NCAR in Situ Turbulence Measurement Algorithm. In Proceedings of the 38th Aerospace Sciences Meeting and Exhibit, Reno, NV, USA, 10–13 January 2000; AIAA: Reston, VA, USA; pp. 492–500. [Google Scholar] [CrossRef]
  13. Hon, K.K.; Chan, P.W. Application of LIDAR-derived Eddy Dissipation Rate Profiles in Low-level Wind Shear and Turbulence Alerts at Hong Kong International Airport. Meteorol. Appl. 2014, 21, 74–85. [Google Scholar] [CrossRef]
  14. Cornman, L.B.; Meymaris, G.; Limber, M. An Update on the FAA Aviation weather Research Program’s in Situ Turbulence Measurement and Reporting System. In Proceedings of the 11th Conference on Aviation, Range, and Aerospace Meteorology, Hyannis, MA, USA, 4–8 October 2004. [Google Scholar]
  15. Guichao, W.; Fan, Y.; Ke, W. Estimation of the Dissipation Rate of Turbulent Kinetic Energy: A review. Chem. Eng. Sci. 2021, 229, 116–133. [Google Scholar] [CrossRef]
  16. Bodini, N.; Lundquist, J.K.; Krishnamurthy, R.; Pekour, M.; Berg, L.K.; Choukulkar, A. Spatial and Temporal Variability of Turbulence Dissipation Rate in Complex Terrain. Atmos. Chem. Phys. 2019, 19, 4367–4382. [Google Scholar] [CrossRef]
  17. Banakh, V.A.; Smalikho, I.N.; Pichugina, E.L. Representativeness of Measurements of the Dissipation Rate of Turbulence Energy by Scanning Doppler Lidar. Atmos. Ocean. Opt. 2010, 23, 48–54. [Google Scholar] [CrossRef]
  18. Joshi, H.; Thomas, P. Review of Vortex Lattice Method for Supersonic Aircraft Design. Aeronaut. J. 2023, 127, 1869–1903. [Google Scholar] [CrossRef]
  19. Hang, X.; Su, W.; Fei, Q. Analytical Sensitivity Analysis of Flexible Aircraft with the Unsteady Vortex-lattice Aerodynamic Theory. Aerosp. Sci. Technol. 2020, 99, 105612. [Google Scholar] [CrossRef]
  20. Jones, B.; Peter, D.A. The Double-tree Method: An O(n) Unsteady Aerodynamic Lifting Surface Method. Int. J. Numer. Methods Fluids 2020, 92, 1394–1414. [Google Scholar]
  21. Joseph, C.; Mohan, R. A Parallel, Object-oriented Framework for Unsteady Free-wake Analysis of Multi-rotor/wind Systems. Comput. Fluids 2021, 215, 104788. [Google Scholar] [CrossRef]
  22. Gabor, O.S.; Koreanschi, A. Fast and Accurate Quasi-3D Aerodynamic Methods for Aircraft Conceptual Design Studies. Aeronaut. J. 2021, 125, 1286. [Google Scholar]
  23. Kiely, M.; Ramesh, K.; Agarwal. Automated Vortex Lattice Method Based Design Optimization of a Hydrogen Powered Commercial Aircraft. In Proceedings of the AIAA AVIATION 2022 Forum, Chicago, IL, USA, 27 June–1 July 2022. [Google Scholar]
  24. Carre, A.; Palacios, R. Simulation and Optimization of Takeoff Maneuvers of Very Flexible Aircraft. J. Aircr. 2020, 57, 1097–1110. [Google Scholar] [CrossRef]
  25. Dussler, D.; Palacios, R. Enhanced unsteady vortex lattice aerodynamics for nonlinear flexible aircraft dynamic simulation. AIAA J. 2024, 62, 1179–1194. [Google Scholar] [CrossRef]
  26. Wang, D.; Gao, Z.; Gu, H. The optimization of aircraft acceleration response and EDR estimation based on linear turbulence field approximation. Atmosphere 2021, 12, 799. [Google Scholar] [CrossRef]
  27. Wang, Z.; Chen, C.; Liu, D.D. Nonlinear-Aerodynamics/Nonlinear-Structure Interaction Methodology for a High-Altitude Long-Endurance Wing. J. Aircr. 2010, 47, 556–566. [Google Scholar] [CrossRef]
  28. Cipolla, C.; Salem, K.A.; Palaia, G. Prediction of Maximum Lift Coefficient of Box-Wing Aircraft through the Combination of an Analytical Adaptation of the DATCOM Method and Vortex-Lattice Simulations. J. Aerosp. Eng. 2022, 35, 1–13. [Google Scholar] [CrossRef]
  29. Okonkwo, P.; Jemitola, P. Integration of the Athena Cortex Lattice Aerodynamic Analysis Software into the Multivariate Design Synthesis of a Blended Wing Body Aircraft. Heliyon 2023, 9, e14702. [Google Scholar] [CrossRef] [PubMed]
  30. Teixeira, P.; Cesnik, C. Propeller Effects on the Response of High-Altitude Long-Endurance Aircraft. AIAA J. 2019, 57, 1–15. [Google Scholar] [CrossRef]
  31. Teixeira, P.; Cesnik, C. Propeller influence on the aeroelastic stability of High Altitude Long Endurance aircraft. Aeronaut. J. 2020, 124, 1275. [Google Scholar] [CrossRef]
  32. TStoica, P.; Moses, R. Spectral Analysis of Signals; Pearson Education: Upper Saddle River, NJ, USA, 2005. [Google Scholar]
  33. Ruddick, B.; Anis, A.; Thompson, K. Maximum Likelihood Spectral Fitting: The Batchelor Spectrum. J. Atmos. Ocean Technol. 2000, 17, 1541–1555. [Google Scholar] [CrossRef]
  34. Cynthia, E.B.; Nicole, L.J.; Gregory, N.I. Estimating Turbulent Dissipation from Microstructure Shear Measurements Using Maximum Likelihood Spectral Fitting over the Inertial and Viscous Subranges. J. Atmos. Ocean. Technol. 2016, 33, 713–722. [Google Scholar] [CrossRef]
  35. Cynthia, E.B.; Nicole, L.J.; Gregory, N.I. Estimating Turbulent Kinetic Energy Dissipation Using the Inertial Subrange Method in Environmental Flows. Limnol. Oceanogr. Methods 2011, 9, 302–321. [Google Scholar] [CrossRef]
  36. Meymaris, G.; Sharman, R.; Cornman, L. The NCAR In Situ Turbulence Detection Algorithm; NCAR/TN-560+EDD; National Center for Atmospheric Research: Boulder, CO, USA, 2019. [Google Scholar] [CrossRef]
  37. Gao, Z.; Xiang, Z.; Xia, M. Adaptive Air-data Estimation in Wind Disturbance Based on Flight Data. J. Aerosp. Eng. 2022, 35, 04021126. [Google Scholar] [CrossRef]
  38. Sharman, R.D.; Pearson, J.M. Prediction of Energy Dissipation Rates for Aviation Turbulence. Part I: Forecasting Nonconvective Turbulence. J. Appl. Meteorol. Climatol. 2017, 56, 317–337. [Google Scholar] [CrossRef]
  39. Duran, I.B.; Schmidli, J.; Bhattacharya, R. A Budget-Based Turbulence Length Scale Diagnostic. Atmosphere 2020, 11, 425. [Google Scholar] [CrossRef]
  40. Specification, M. Flying Qualities of Piloted Airplanes; MIL-F-8785C; U.S. Air Force: Dayton, OH, USA, 1980. [Google Scholar]
  41. Boashash, B. Time-Frequency Signal Analysis and Processing: A Comprehensive Reference, 2nd ed.; Academic Press: Oxford, UK, 2016. [Google Scholar]
  42. Parker, M. Digital Signal Processing 101: Everything You Need to Know to Get Started, 2nd ed.; Newnesl: Oxford, UK, 2017. [Google Scholar]
  43. Jones, B.R.; Crossley, W.A.; Lyrintzis, A.S. Aerodynamic and Aeroacoustic Optimization of Rotorcraft Airfoils Via a Parallel Genetic Algorithm. J. Aircr. 2000, 37, 1088–1096. [Google Scholar] [CrossRef]
  44. Gao, Z.; Fu, J. Research on Robust LPV modeling and Control of Aircraft Flying Through Wind Disturbance. Chin. J. Aeronaut. 2019, 32, 1588–1602. [Google Scholar] [CrossRef]
  45. Gao, Z.; Wang, D.; Xiang, Z. A Method of Estimating Aircraft’s Vertical Acceleration and Eddy Dissipation Rate in Turbulent Flight. Appl. Sci. 2020, 10, 6798. [Google Scholar] [CrossRef]
  46. Wingrove, R.C.; Bach, R.E. Severe Turbulence and Maneuvering from Airline Flight Records. J. Aircr. 1994, 31, 753–760. [Google Scholar] [CrossRef]
Figure 1. The selection and comparison of the interval of inertia.
Figure 1. The selection and comparison of the interval of inertia.
Aerospace 12 00293 g001
Figure 2. The change in inertial subrange under different turbulence circumstances.
Figure 2. The change in inertial subrange under different turbulence circumstances.
Aerospace 12 00293 g002
Figure 3. The process of inertial subrange optimized EDR estimation.
Figure 3. The process of inertial subrange optimized EDR estimation.
Aerospace 12 00293 g003
Figure 4. The wing–tail assembly for vertical acceleration response analysis.
Figure 4. The wing–tail assembly for vertical acceleration response analysis.
Aerospace 12 00293 g004
Figure 5. Schematic diagram of the force-free wake model.
Figure 5. Schematic diagram of the force-free wake model.
Aerospace 12 00293 g005
Figure 6. The vertical acceleration change in A319 aircraft in S10 and S13.
Figure 6. The vertical acceleration change in A319 aircraft in S10 and S13.
Aerospace 12 00293 g006
Figure 7. The change of estimated EDR value. (a) Theoretical ε 1 / 3 (circles) and the estimated EDR values (discrete points). (b) ε 1 / 3 , ε ^ 1 / 3 and ε ¯ 1 / 3 under N 0 = 128 . (c) ε 1 / 3 , ε ^ 1 / 3 and ε ¯ 1 / 3 under N 0 = 256 .
Figure 7. The change of estimated EDR value. (a) Theoretical ε 1 / 3 (circles) and the estimated EDR values (discrete points). (b) ε 1 / 3 , ε ^ 1 / 3 and ε ¯ 1 / 3 under N 0 = 128 . (c) ε 1 / 3 , ε ^ 1 / 3 and ε ¯ 1 / 3 under N 0 = 256 .
Aerospace 12 00293 g007
Figure 8. The change in inertial subrange at 64 s, 256 s, and 448 s.
Figure 8. The change in inertial subrange at 64 s, 256 s, and 448 s.
Aerospace 12 00293 g008
Figure 9. Comparison of EDR estimation results.
Figure 9. Comparison of EDR estimation results.
Aerospace 12 00293 g009
Figure 10. Comparison of EDR estimation results. (a) Baseline EDR estimation results with default inertial subrange [0.5, 0.72] (shown by red lines). (b) EDR estimation results with inertial subrange optimized periodically.
Figure 10. Comparison of EDR estimation results. (a) Baseline EDR estimation results with default inertial subrange [0.5, 0.72] (shown by red lines). (b) EDR estimation results with inertial subrange optimized periodically.
Aerospace 12 00293 g010
Figure 11. The inertial the inertial range change in S10 observed by both aircrafts.
Figure 11. The inertial the inertial range change in S10 observed by both aircrafts.
Aerospace 12 00293 g011
Figure 12. The objective EDR estimation in S13 and S10.
Figure 12. The objective EDR estimation in S13 and S10.
Aerospace 12 00293 g012
Figure 13. The effects of aircraft maneuvers on acceleration response in S11.
Figure 13. The effects of aircraft maneuvers on acceleration response in S11.
Aerospace 12 00293 g013
Figure 14. The effects of aircraft maneuvers on acceleration response in S11.
Figure 14. The effects of aircraft maneuvers on acceleration response in S11.
Aerospace 12 00293 g014
Figure 15. The MSE and peak acceleration. (a) The mean square error (MSE) of computed and recorded acceleration. (b) maximum and minimum value of computed and recorded acceleration.
Figure 15. The MSE and peak acceleration. (a) The mean square error (MSE) of computed and recorded acceleration. (b) maximum and minimum value of computed and recorded acceleration.
Aerospace 12 00293 g015
Figure 16. In-situ A319 and A330 aircraft bumpiness estimation in S13. (a) Bumpiness estimation of A319 aircraft. (b) Bumpiness estimation of A330 aircraft.
Figure 16. In-situ A319 and A330 aircraft bumpiness estimation in S13. (a) Bumpiness estimation of A319 aircraft. (b) Bumpiness estimation of A330 aircraft.
Aerospace 12 00293 g016
Figure 17. Aircraft bumpiness prediction. (a) Bumpiness prediction of A319 aircraft. (b) Bumpiness prediction of A330 aircraft.
Figure 17. Aircraft bumpiness prediction. (a) Bumpiness prediction of A319 aircraft. (b) Bumpiness prediction of A330 aircraft.
Aerospace 12 00293 g017
Table 1. The time-marching algorithm of EDR and aircraft-dependent bumpiness estimation.
Table 1. The time-marching algorithm of EDR and aircraft-dependent bumpiness estimation.
(1) Derive turbulent series W = ( W x , W y , W z )
(2) Build geometric model of wing–tail assembly X c p i , X b j , X T E , n i
(3) Iteration
       (3.1) Build the wake vortex model
          Initialization Fixed wake model ζ ( t k ) = ζ ( t k 1 )
          Unsteady motion Force-free wake model ζ ( t k ) = t k 1 t k V f . T E ( t k 1 ) d t + ζ * ( t k 1 )
       (3.2) The nonpenetration boundary condition Φ · n = 0
       (3.3) Solve the nonlinear equations Equation (19), the extension is
        a b 1 1 ( t k ) a b 1 2 ( t k ) a b 1 M ( t k ) a b 2 1 ( t k ) a b 2 2 ( t k ) a b 2 M ( t k ) a b M 1 ( t k ) a b M 2 ( t k ) a b M M ( t k ) Γ b 1 ( t k ) Γ b 2 ( t k ) Γ b M ( t k )
        + a w 1 1 ( t k ) a w 1 2 ( t k ) a w 1 K ( t k ) a w 2 1 ( t k ) a w 2 2 ( t k ) a w 2 K ( t k ) a w M 1 ( t k ) a w M 2 ( t k ) a w M K ( t k ) Γ w 1 ( t k ) Γ w 2 ( t k ) Γ w K ( t k ) = R H S 1 R H S 1 R H S M
       R H S i = V cos α ( t k ) cos β ( t k ) sin β ( t k ) sin α ( t k ) cos β ( t k ) + 0 r ( t k ) q ( t k ) r ( t k ) 0 p ( t k ) q ( t k ) p ( t k ) 0 x i ( t k ) y i ( t k ) z i ( t k ) + W x ( t k ) W y ( t k ) W z ( t k )
      (3.4) Computing the aerodynamic force Equation (24)
      (3.5) Air compressibility compensation Equation (25)
      (3.6) Solve the vertical acceleration, Equation (27)
      (3.7) Refresh the flight state, Equations (27)–(29)
      (3.8) Separate the vertical acceleration induced by turbulence
(4) End
Table 2. Selected wind field scenarios.
Table 2. Selected wind field scenarios.
Flight ScenarioTurbulence SeverityMax/Min Acceleration
S3Light+1.080 g/+0.930 g
S4Li ght+1.110 g/+0.970 g
S6Li ght+1.210 g/+0.790 g
S7Li ght+1.224 g/+0.952 g
S10Moderate+1.243 g/+0.943 g
S11Moderate+1.710 g/+0.664 g
S13Severe+1.598 g/+0.602 g
S16Severe+2.034 g/+0.413 g
Table 3. Selected wind field scenarios.
Table 3. Selected wind field scenarios.
TC σ w ( m / s ) L ( m ) ε 0 1 / 3 ( m 2 / 3 / s ) ( ε ¯ 1 / 3 ) 0 i ( ε ^ 1 / 3 ) 0 i
133000.38740.23170.2703
237000.29210.24010.2911
3311000.25120.38950.3894
453000.64570.40890.4705
557000.48680.48970.4880
6511000.41870.58920.6171
773000.90400.60790.6590
877000.68160.68420.7109
9711000.58620.94340.8933
Table 4. The improvement of variance performance.
Table 4. The improvement of variance performance.
σ 1 2 σ 2 2 σ 3 2 σ 4 2 σ 5 2 σ 6 2 σ 7 2 σ 8 2 σ 9 2
N 0 0.0870.0930.0520.0840.0660.0690.0840.0760.080
N0.0070.0080.0130.0090.0080.0090.0070.0070.007
Table 5. The inertial subrange optimization of two aircraft.
Table 5. The inertial subrange optimization of two aircraft.
Time PointThe Inertial Subrange Optimization of Two AircraftInertial Subrange by A330
64s[0.49, 16.92][0.42, 17.14]
128s[0.42, 16.90][0.43, 17.82]
196s[0.71, 14.27][0.79, 16.16]
256s[0.40, 23.92][0.42, 19.90]
320s[0.61, 16.35][0.59, 17.09]
384s[0.91, 20.12][0.88, 19.19]
448s[0.84, 19.82][0.88, 19.83]
512s[0.71, 17.54][0.81, 18.26]
Table 6. Geometric parameters and grid division of the two aircraft.
Table 6. Geometric parameters and grid division of the two aircraft.
A319 AircraftA330 Aircraft
Geometric parameters (units)WingHorizontal tailWingHorizontal tail
Aspect Ratio (m)10.335.8911.025.27
Mean Aerodynamic Chord (m)3.302.105.473.69
Wing span (m)34.1012.3860.3019.43
Root–tip Ratio5.03.528.52.67
Wind area ( m 2 )112.5526.00329.9471.60
Root Chord (m)7.013.2711.395.36
Tip Chord (m)1.400.931.342.01
Sweep back angle (deg)25.0235.0030.032.0
Grid divisions40 × 2012 × 644 × 2016 × 8
Disclaimer/Publisher’s Note: The statements, opinions and data contained in all publications are solely those of the individual author(s) and contributor(s) and not of MDPI and/or the editor(s). MDPI and/or the editor(s) disclaim responsibility for any injury to people or property resulting from any ideas, methods, instructions or products referred to in the content.

Share and Cite

MDPI and ACS Style

Gao, Z.; Zhang, Q.; Qi, K. Inertial Subrange Optimization in Eddy Dissipation Rate Estimation and Aircraft-Dependent Bumpiness Estimation. Aerospace 2025, 12, 293. https://doi.org/10.3390/aerospace12040293

AMA Style

Gao Z, Zhang Q, Qi K. Inertial Subrange Optimization in Eddy Dissipation Rate Estimation and Aircraft-Dependent Bumpiness Estimation. Aerospace. 2025; 12(4):293. https://doi.org/10.3390/aerospace12040293

Chicago/Turabian Style

Gao, Zhenxing, Qilin Zhang, and Kai Qi. 2025. "Inertial Subrange Optimization in Eddy Dissipation Rate Estimation and Aircraft-Dependent Bumpiness Estimation" Aerospace 12, no. 4: 293. https://doi.org/10.3390/aerospace12040293

APA Style

Gao, Z., Zhang, Q., & Qi, K. (2025). Inertial Subrange Optimization in Eddy Dissipation Rate Estimation and Aircraft-Dependent Bumpiness Estimation. Aerospace, 12(4), 293. https://doi.org/10.3390/aerospace12040293

Note that from the first issue of 2016, this journal uses article numbers instead of page numbers. See further details here.

Article Metrics

Back to TopTop