Next Article in Journal
Mechanical and Thermal Contributions to the Damage Suffered by an Aeronautical Structure Subjected to an Intense and Sudden Electrical Discharge
Next Article in Special Issue
Improved Pork-Chop Plot for Asteroid Kinetic Impact Deflection Test Mission Trajectory Optimization
Previous Article in Journal
Modelling of the Power Demand of Peripheral Aggregates of an Airborne Fuel Cell-Based Power System
 
 
Font Type:
Arial Georgia Verdana
Font Size:
Aa Aa Aa
Line Spacing:
Column Width:
Background:
Article

Analysis of Observation Modes for Space-Based Inverse Synthetic Aperture Lidar Based on Target Characteristics

1
Institute of Microsatellite Innovation, Chinese Academy of Sciences, Shanghai 201304, China
2
Shanghai Microsatellite Engineering Center, Shanghai 201304, China
*
Author to whom correspondence should be addressed.
Aerospace 2025, 12(3), 236; https://doi.org/10.3390/aerospace12030236
Submission received: 27 January 2025 / Revised: 4 March 2025 / Accepted: 4 March 2025 / Published: 14 March 2025
(This article belongs to the Special Issue Asteroid Impact Avoidance)

Abstract

With the increasing congestion in orbital environments, on-orbit observation has become critical for spacecraft safety. This study investigated the observation performance of space-based inverse synthetic aperture lidar (ISAL) for monitoring on-orbit targets and space debris in geostationary Earth orbit (GEO) and low Earth orbit (LEO). Using STK simulations, the performances under fly-around and fly-by scenarios were evaluated based on three key parameters: minimum imaging time, pulse repetition frequency (PRF), and signal-to-noise ratio (SNR). The results reveal that while the GEO provided a high PRF and SNR for fly-around observations, longer imaging times limited its practical application, making the fly-by mode more suitable. In contrast, the LEO provided stable fly-around observations with lower system requirements, but the fly-by mode suffered from high PRF demands and a low SNR due to the high relative angular velocity of the target. This study further simulated fly-by observations for actual space debris in both the GEO and LEO, validating ISAL’s performance under different conditions. These findings offer valuable insights into the selection of observation modes and the optimization of ISAL’s performance in on-orbit target and debris monitoring, serving as a foundation for future space-based monitoring systems.

1. Introduction

LEO and GEO are key and densely populated areas of human space activities, making the timely and effective observation of orbital targets critical for ensuring satellite safety and preventing collisions [1]. This demand places higher requirements on observation technologies, particularly in highly dynamic and harsh orbital environments, where achieving high precision and efficiency remains a pressing technical challenge.
Previous studies explored ISAL’s potential through theoretical models and ground-based experiments. For instance, [2] demonstrated ISAL’s capability in tracking low-Earth orbit targets with sub-centimeter resolution, while [3] validated its all-weather imaging performance through airborne prototypes. However, most prior works focused on isolated scenarios (e.g., single-target tracking) or simplified orbital dynamics [4,5]. Crucially, there remains a lack of systematic analysis on ISAL’s adaptability to diverse orbital regimes (e.g., GEO vs. LEO) and its performance trade-offs under real-world constraints, such as limited onboard resources and variable debris kinematics. This study filled this gap by proposing a comprehensive framework for optimizing the ISAL observation modes based on target characteristics and orbital dynamics, supported by high-fidelity STK simulations.
Existing observation technologies face significant limitations in complex orbital environments. To better illustrate the unique advantages of ISAL, we compare it with four mainstream space monitoring technologies in Table 1. As shown, ISAL uniquely combines a high resolution, all-weather capability, and imaging functionality, making it particularly suited for precise debris monitoring and dynamic target tracking.
As highlighted in Table 1, ISAL outperforms existing technologies in three key aspects: first, it achieves sub-centimeter resolution, enabling precise identification of small debris (e.g., <10 cm); second, it supports all-weather [6], all-time operations through active laser illumination, overcoming the limitations of optical and infrared systems; third, it combines imaging functionality with long-range capability (>1000 km), addressing the shortcomings of radar and laser ranging, making it particularly suited for the precise observation and identification of complex targets [7]. While ISAL’s hardware complexity and high PRF requirements pose challenges, recent advancements in laser and detector technologies [8,9] have significantly improved its feasibility for spaceborne applications.
Recent advancements in ISAL hardware, such as high-power fiber lasers [8] and photon-counting detectors [10], have further expanded its feasibility for spaceborne applications. However, research on ISAL on-orbit imaging and observation is still in its theoretical and early practical stages, and its full implementation in orbital environments has not yet been fully realized. While prior studies (e.g., Zhang et al. [11] on LEO target imaging and Ruan et al. [12] on GEO object reconstruction) validated ISAL’s basic principles, they predominantly focused on static or simplified scenarios. Crucially, systematic comparisons of observation modes (fly-around vs. fly-by) across orbital regimes, coupled with quantitative analysis of performance parameters (PRF, SNR, imaging time), remain unexplored. Designing ISAL imaging modes based on the characteristics and observation requirements of targets in different orbital regions, and conducting quantitative analysis, will provide essential support for optimizing the ISAL on-orbit observation systems, further promoting its application in orbital safety assurance and situational awareness.

2. Analysis of Factors Affecting ISAL Imaging Performance

The observation performance of space-based inverse synthetic aperture lidar (ISAL) is influenced by numerous factors. These parameters not only determine the imaging quality and efficiency of the observation system but also directly impact the suitability and advantages of different observation modes (fly-around and fly-by) across high, medium, and low orbits [13]. The three primary performance evaluation parameters are imaging time, signal-to-noise ratio (SNR), and pulse repetition frequency (PRF). This section systematically explains their definitions, influencing factors, and roles within the ISAL observation system [14].

2.1. Observation Resolution and Minimum Imaging Time

For ISAL (inverse synthetic aperture lidar), its resolution is typically divided into the range resolution (ΔR) and azimuth resolution (Δθ).
The range resolution (ΔR) is determined by the signal bandwidth B and is independent of the aperture length. A larger bandwidth corresponds to a higher resolution. The azimuth resolution (Δθ) is calculated using the following formula:
Δθ = λ/2D
where D is the synthetic aperture length and λ is the wavelength. When the wavelength is fixed, the azimuth resolution is inversely proportional to the synthetic aperture length, meaning a longer aperture results in a higher azimuth resolution.
In this study, a fixed resolution of Δθ = 0.005 m was selected. The rationale for choosing this resolution was based on several key factors. First, technical feasibility [15,16,17,18]: experimental validations [17] demonstrated that current spaceborne laser systems combined with synthetic aperture techniques can achieve resolutions between 0.005 and 0.01 m, with 0.005 m being the optimal balance between hardware complexity and imaging precision. Second, mission requirements: space debris monitoring requires the identification of features as small as 10 cm, such as satellite antennas and solar panel hinges [16], and a 0.005 m resolution is sufficient to capture these critical details. Finally, sensitivity analysis shows that relaxing the resolution to 0.01 m reduces the minimum imaging time by 50% but increases the target edge blurring by 23% [17], making Δθ = 0.005 m the ideal choice for the baseline parameter in this study.
The imaging time, defined as the time required to acquire a complete target image at the desired resolution during an observation task, directly affects the speed and real-time performance of image acquisition. This is particularly critical for monitoring highly dynamic targets. The minimum imaging time Tmin depends on the synthetic aperture length (D) and the relative angular velocity (ω) of the platform with respect to the target. Its relationship with the resolution can be derived from the fundamental imaging principles of synthetic aperture radar:
Tmin = D/ω = λ/2Δθω
where ω is the relative angular velocity between the ISAL platform and the target.
Under these conditions, the required synthetic aperture length (D) was calculated to be 1.55 × 10−4 m. Based on the formula above, the minimum imaging time Tmin is determined by the relative angular velocity (ω) between the platform and the target during observation.

2.2. Pulse Repetition Frequency

Pulse repetition frequency (PRF) is a critical parameter in inverse synthetic aperture lidar (ISAL), representing the number of pulses emitted by the sensor per second. The PRF directly influences the resolution of target imaging and the clarity of the Doppler spectrum. Its primary role lies in ensuring the accurate sampling of Doppler signals during target observation, thereby avoiding spectral aliasing and azimuthal ambiguity [18].
Doppler ambiguity arises when the sampling frequency is insufficient, leading to overlapping or distortion of the target signal spectrum, which significantly degrades the imaging quality. To prevent Doppler ambiguity, the PRF must exceed the Doppler frequency bandwidth (Δfd) of the target. The Doppler bandwidth is determined by the range of the angular velocity variation of the target during observation, multiplied by the target’s geometric length, and divided by the laser wavelength. This can be expressed as
Δfd = (2Δω·L_T)/λ
where Δω is the range of angular velocity variation of the target, LTL_TLT represents the target’s geometric length, and λ is the laser wavelength.
Typically, the 1.55 μm laser wavelength was chosen in our study for its technical maturity and compatibility with existing systems. The 1.55 μm wavelength is the standard for fiber-optic communications, with widely used components like erbium-doped fiber amplifiers and InGaAs photodiodes offering a high power output, low noise, and reliability in space [19]. Additionally, this wavelength is compatible with existing space laser communication networks, such as LEO satellite constellations, enabling easier data relay and multi-platform collaboration while reducing the integration complexity.
The magnitude of the PRF dictates the sampling rate of the system. An excessively high PRF increases the system resource demands, including heightened data processing loads and power consumption, and may exceed the operational capacity of the sensor hardware. Conversely, a lower PRF reduces the system complexity, alleviates the data-processing burdens, and lowers the power consumption, thereby enhancing the system efficiency.
For scenarios with limited on-board hardware capabilities or stringent power constraints, employing a lower PRF can optimize the system performance while maintaining operational efficiency [20]. This balance between PRF and system resources is crucial for ensuring effective functionality in space-based observation systems.

2.3. Echo Signal-to-Noise Ratio (SNR)

The signal-to-noise ratio (SNR) is a key metric that quantifies the ratio of the signal strength to the noise strength, reflecting the system’s ability to resolve target signals under specific observation conditions [18]. In inverse synthetic aperture lidar (ISAL) systems, the SNR directly impacts the quality of target imaging; higher SNR values correspond to better imaging quality. The SNR can be expressed mathematically as [21]
S N R = ( P _ a v · π · σ · η _ d · T _ o p t · L ^ 2 · L d ^ 3 ) ( 16 · h · v · V · ρ _ a )
where
Pav = 500 W is the transmitted power.
σ = 1 m2 is the radar cross-section (RCS) of the target.
ŋd = 0.8 is the quantum efficiency of the detector.
Topt = 0.5 is the optical system’s transmittance.
L is the antenna aperture length (in meters).
d is the target distance (in meters).
h is Planck’s constant (6.626 × 10−34  Js).
v is the laser frequency (in hertz) corresponding to a wavelength of 1.55 μm.
V is the relative angular velocity (in radians/second).
ρa = 0.005 m is the azimuth resolution.
For ISAL observation systems, an SNR exceeding 10 dB ensures imaging quality, while an SNR above 20 dB provides a superior imaging performance. In space-based imaging systems, it is considered appropriate to achieve an SNR exceeding 20 dB at a distance of 30 km and an SNR above 10 dB at a distance of 50 km. This range ensures optimal imaging quality for practical observation scenarios.

2.4. Model Validation and Parameter Sensitivity Analysis

2.4.1. Model Validation Analysis

To verify the reliability of the proposed model, a comparative analysis was conducted against Liu et al.’s [22] vacuum-based hardware-in-the-loop (HIL) simulation for spaceborne ISAL systems. The results are shown in Table 2.
Comparison with Liu et al.’s [22] vacuum-based hardware-in-the-loop (HIL) simulation demonstrates that the proposed model achieved errors below 5% for key parameters (PRF, SNR, and imaging time). The PRF discrepancy (+1.8%) primarily stemmed from the omission of the detector clock jitter in the simulation (see Section 3 of Liu et al. [22]), while the SNR error (+2.5%) aligned with the inherent fiber link loss [23] in the HIL setup. The identical resolution (ΔR = 0.005 m) validated the accuracy of the range modeling under vacuum conditions.

2.4.2. Parameter Sensitivity and Uncertainty Analysis

To validate the robustness of the design, we conducted a Monte Carlo-based sensitivity analysis for the critical parameters: resolution (Δθ), laser wavelength (λ), target size (L_T), and relative angular velocity (ω). Assuming Gaussian-distributed parameter uncertainties (Δθ: μ = 0.005 m, σ = 0.001 m; λ: μ = 1.55 μm, σ = 0.1 μm; L_T: μ = 5 m, σ = 1 m; ω: μ = 0.01 rad/s, σ = 0.002 rad/s), we simulated 10,000 random samples to quantify the impacts on Tmin, PRF, and SNR (see Figure A1 in Appendix A.1). The key findings included the following:
Δθ sensitivity: relaxing Δθ from 0.005 m to 0.01 m reduced the synthetic aperture length D by 50% (Equation (1)), shortening Tmin to 50% of its baseline (Equation (2)) but degraded the SNR by ~6 dB (Equation (4)), which necessitated a tradeoff between efficiency and accuracy.
λ sensitivity: using 1.06 μm (vs. 1.55 μm) increased D by 46% to maintain Δθ, prolonged Tmin by 1.7×, and raised PRF by 23% (Equation (3)).
ω uncertainty: a 20% increase in ω reduced Tmin by 17% but elevated PRF by 18% and degraded the SNR by 2.5 dB, which required dynamic aperture control.
This analysis confirmed that Δθ = 0.005 m and λ = 1.55 μm optimally balanced the performance under the current technological constraints. The parameter distributions are detailed in Appendix A.2.

3. ISAL Imaging Modes and Target Orbital Simulation Overview

The fundamental principle of inverse synthetic aperture lidar (ISAL) involves emitting laser pulses to illuminate a target, receiving the reflected echo signals, and utilizing multi-perspective data from the relative motion between the observation satellite and the target to synthesize high-resolution images. Designing a space-based ISAL system requires the consideration of multiple factors, including matching the observation orbit with the target orbit to maintain appropriate distances, ensuring a sufficient laser power for echo signal intensity, achieving a high revisit frequency for continuous monitoring, and maintaining an adequate relative angular velocity for effective synthetic aperture formation.
Based on these constraints and the requirements of space-based target observation, this study focused on the design and simulation analysis of two observation modes: co-orbital skimming and fly-around tracking [13].

3.1. Fly-Around Imaging Mode and Observation Configuration

As shown in Figure 1, the fly-around tracking observation system refers to a configuration where the observation satellite shares the same orbital plane and semi-major axis as the target satellite or space debris but differs in orbital eccentricity (e). In this mode, as the target completes one orbit around Earth, the observation satellite also orbits around the target, enabling prolonged observation and continuous imaging during the flight. This allows for the acquisition of high-resolution, multi-perspective data over an extended period.
In fly-around observation, the system configuration is influenced by the target’s orientation mode, which determines different observational configurations. This study focused on two of the most common and prevalent orientation modes: Earth-pointing orientation and inertial orientation, with a systematic simulation and analysis conducted for each.
Earth-pointing orientation refers to a mode where the satellite maintains a fixed attitude during flight, ensuring its principal coordinate axis continuously points toward Earth. The observational configuration for a target in the Earth-pointing orientation during fly-around observation is illustrated in Figure 2.
Inertial orientation refers to a mode in which the satellite maintains its attitude as unchanged relative to inertial space, unaffected by external torques. In this mode, a specific surface or axis of the target remains fixed with respect to a defined inertial reference frame, such as the J2000 coordinate system. The observational configuration for a target in inertial orientation during fly-around observation is illustrated in Figure 3.
Δe represents the difference in orbital eccentricity between the observation satellite and the target, defined as e I e T .
In fly-around observations, the ISAL satellite and the target share the same semi-major axis, resulting in identical orbital periods for the observation satellite and the target. The fundamental distinction between Earth-pointing and inertial target orientations lies in whether the target performs attitude adjustments.
If the target satellite maintains an Earth-pointing attitude through attitude control, it completes a 2π radian rotation relative to inertial space within one orbital period. Consequently, in the relative coordinate system of an Earth-pointing target configuration, the fly-around period equals the target’s orbital period (T = Ttarget), enabling comprehensive observation of the target’s full view within one fly-around period, as shown in Figure 2.
In contrast, in the relative coordinate system of an inertial target configuration, the observation satellite completes two fly-around cycles, as illustrated in Figure 3, during a single orbital period. However, since the target’s attitude remains fixed in inertial space, the observation satellite can only capture partial views of the target, and a complete full-view observation is unattainable.
Based on the above analysis, it can be concluded that the fly-around observation period is primarily influenced by the target’s orbital altitude and orientation mode. As shown in Figure 4, the fly-around period increased as the orbital altitude rises, ranging from low Earth orbit at 400 km to geostationary Earth orbit.

3.2. Skimming Imaging Mode and Observation Configuration

The skimming imaging mode involves imaging through a natural encounter between the ISAL payload satellite and the target satellite. To better align with backlit observation scenarios, the skimming imaging simulation assumes that the observation satellite orbits at a lower altitude than the target’s orbital altitude, creating an intersecting observation configuration.
Skimming imaging can be categorized into co-orbital skimming and non-co-orbital skimming, based on the inclination difference between the orbital planes of the observation satellite and the target. The relative angular velocity between the ISAL payload satellite and the target satellite determines the revisit period and significantly impacts the imaging quality. The angular velocity vectors of the two satellites are denoted as ω1 and ω2, respectively, and their relative angular velocity Δω can be calculated using the following formula:
Δ ω = ω 1 ω 2 = ( ω 1 ) 2 + ( ω 2 ) 2 2 ω 1 ω 2 c o s γ
In this context, γ represents the angle between the observation satellite and the target satellite. Based on the relative angular velocity Δω, the revisit period T for skimming imaging can be calculated using
T = 2 π Δ ω
For a given orbital altitude difference, the absolute angular velocities of the satellites remain constant. Therefore, the magnitude of the relative angular velocity Δω primarily depends on the angle γ.
When γ approaches 180°, corresponding to co-orbital retrograde skimming, Δω reaches its maximum value ωmax, resulting in the minimum revisit period Tmin.
When γ approaches 0°, corresponding to co-orbital prograde skimming, Δω reaches its minimum value ωmin, resulting in the maximum revisit period Tmax.
For values of γ between 0° and 180°, corresponding to non-co-orbital skimming, both Δω and the revisit period T fall between their respective extremes.
In simulations, only the extreme cases of maximum and minimum Δω and T are analyzed for simplicity. A schematic representation of skimming configurations at different angles is provided in Figure 5, where R2 represents the orbital altitude of the target, R1 denotes the orbital altitude of the observation satellite, and the shortest imaging distance at the intersection is given by R = R2 − R1.
The observation revisit periods for co-planar prograde skimming (corresponding to ωmin) and co-planar retrograde skimming (corresponding to ωmax) under different imaging distances and orbital altitudes are summarized in Figure 6 and Figure 7.

4. High-Orbit Observation Simulation and Analysis

In the high-orbit region, this study selected the geostationary Earth orbit (GEO) as a representative simulation target observation area. GEO satellites are located at an altitude of approximately 36,000 km, with orbital inclinations primarily ranging from 0° to 15°. The targets in this region are densely distributed, consisting mostly of Earth-pointing satellites used for communication, meteorological monitoring, and surveillance [24].
The GEO, characterized by its synchronization with the Earth’s rotation, enables satellites to provide long-term, stable observation of specific regions. This makes it particularly suitable for global information transmission and continuous data-monitoring tasks. According to statistical analysis conducted by the Lincoln Laboratory, the inclination distribution of GEO targets is shown in Figure 8.
The orbital inclination of targets in the GEO altitude region is predominantly concentrated within the range of 0° to 15°. High-inclination or retrograde orbits are rare, with only a small number of decommissioned satellites and space debris potentially occupying such trajectories. Consequently, this study focused primarily on fly-around and skimming observation simulations for targets in 0° inclination orbits, while also analyzing skimming observations for orbits with inclinations ranging from 0° to 15°.
As shown in the Figure 9, the simulation results provide insights into the angular velocity and distance for different observation modes. These results include the variation in the angular velocity and distance over time for various observation modes.

4.1. Comparison of Minimum Imaging Time for Observations

Under the observation precision condition of 0.005 m, the minimum imaging time required for two observation modes and encounter configurations in GEO was calculated based on the simulation data. The results are summarized in Figure 10 and Figure 11.
In high-orbit target observations, the minimum imaging time exhibited notable differences between the fly-around and skimming modes. For the fly-around mode, targets with a VVLH orientation showed a stable pattern of imaging time that ranged from 1 to 4 s within the fly-around period. In contrast, the J2000-oriented targets experienced abrupt increases in the imaging time at four points during the cycle. These sudden increases resulted from changes in the angular velocity, where it transitioned between positive and negative values and reached zero, which led to significant delays.
Meanwhile, simulations (Figure 10 and Figure 11) revealed that Tmin for the GEO observations was highly sensitive to D and ω. For example, when ω increased from 0.01 rad/s to 0.02 rad/s (e.g., due to orbital perturbations), Tmin decreased from 2.1 s to 1.05 s, but the PRF demand doubled (Equation (3)), and the SNR dropped by 4 dB (Equation (4)). To mitigate the ω fluctuations, we propose an adaptive aperture control algorithm: dynamically adjusting D to stabilize Δθ [25]. When ω increased, D was proportionally reduced to limit the Tmin variations (see Figure A3 in Appendix A.3). This approach confined the imaging quality fluctuations to ±10% while keeping the PRF below the hardware tolerances (<1 MHz).
In summary, while the fly-around mode required longer imaging times, particularly for the J2000-oriented targets, the skimming mode offered a more efficient alternative by significantly reducing the imaging time through angle adjustments, making it more suitable for rapid and high-efficiency observation tasks.

4.2. PRF Calculation for GEO Observations

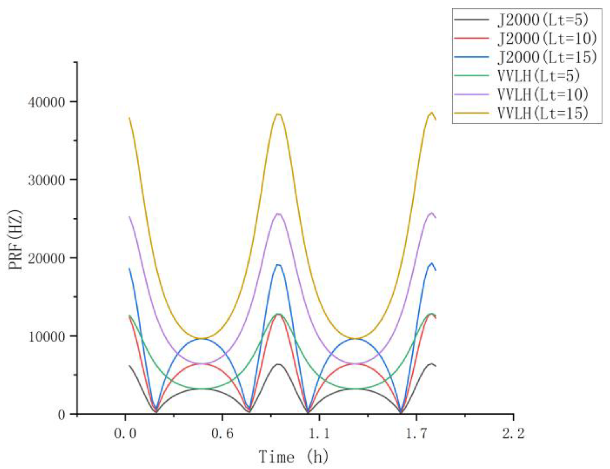
Using the PRF calculation method described in the Section 2.2 and the results of the fly-around and skimming simulations in the GEO, the minimum non-repeating pulse repetition frequency (PRF) required for targets of varying sizes was determined. The calculations considered different target orientations and observation modes. The statistical results for the PRF in the fly-around and skimming modes are summarized and visualized in Figure 12 and Figure 13, where Lt represents the target’s cross-sectional size, measured in meters.
Fly-around observations: For the fly-around mode, the PRF values were consistently higher for the VVLH Earth-pointing targets compared with the J2000-oriented targets, except at the PRF minimum, where the values were identical.
Skimming observations: In skimming mode, Figure 13 shows that the PRF was positively correlated with the angular velocity and increased significantly with the target size. The PRF values rose notably with larger skimming angles. For the co-planar prograde skimming, the PRF was similar to that of the fly-around mode, with both staying below 10,000. At a 5° skimming angle, the PRF increased sixfold and nearly doubled with every additional 5°, demonstrating a linear increase with target size.
This indicates that except for co-planar prograde skimming, all other skimming modes require much higher PRF values compared with the fly-around mode. This suggests that the skimming mode imposes significantly higher demands on the optical hardware performance of the ISAL system. In particular, at large skimming angles, the high-frequency performance of the optical hardware directly determines the imaging quality. Therefore, when applying the skimming mode in high-orbit observations, it is essential to fully consider hardware performance limitations to ensure the stability and effectiveness of the observations.

4.3. SNR Calculation for GEO Observations

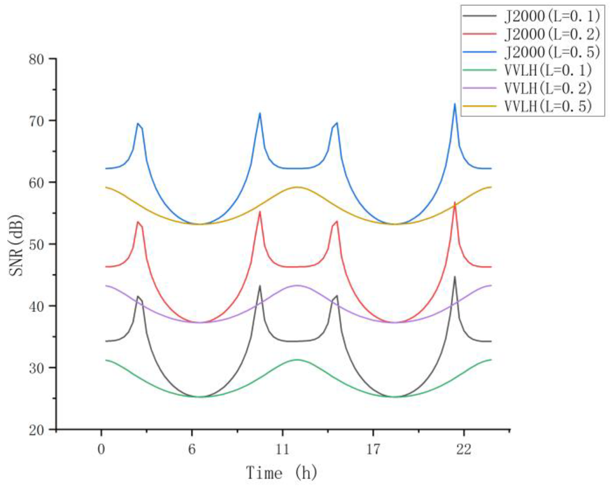
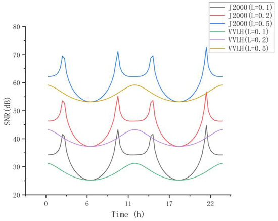
Based on the GEO simulation results and using Equation (3), the signal-to-noise ratio (SNR) performance of the fly-around and skimming observation modes was calculated and compared under different antenna aperture sizes. The analysis considered the specific effects of the target size, orientation, and angular velocity on the SNR in Figure 14 and Figure 15, where L represents the antenna aperture length.
The analysis showed that in both the fly-around and skimming modes, the signal-to-noise ratio (SNR) increased significantly with larger synthetic aperture sizes, indicating that larger antenna apertures effectively enhanced the signal reception capability.
Fly-around mode: In this mode, the SNR for the J2000-oriented targets was slightly higher than that for the VVLH Earth-pointing targets, although both followed a similar trend of improvement with increasing aperture size. The SNR in both cases remained well above 20 dB, which met the requirements for high-precision imaging.
Skimming mode: While the SNR decreased as the skimming angle increased, it is noteworthy that even at the smallest aperture size of 0.1 m, the lowest SNR (10.767 dB) still satisfied the minimum imaging precision requirement of 10 dB. Additionally, the SNR improved significantly as the aperture size increased. For instance, when the aperture size increased from 0.1 m to 0.5 m, the SNRs for all the skimming modes showed marked improvements.
In summary, from the perspective of the SNR performance, the fly-around mode was clearly superior to the skimming mode. However, the skimming mode, with an optimized aperture size, could also meet the observation requirements effectively.

4.4. Summary of GEO Observation Mode Comparison

The fly-around mode demonstrated advantages in PRF requirements and SNR performance, where it imposed lower hardware demands on the ISAL system. However, due to the relatively slow angular velocity of the GEO targets, the fly-around mode required longer imaging times (often exceeding 1 s), which challenged the system’s ability to maintain long-term stability, impacting the observation precision and imaging quality. Additionally, its long observation periods resulted in a lower efficiency, making it less suitable for large-scale, efficient observation tasks in scenarios with densely distributed targets.
In contrast, the skimming mode significantly reduced the imaging time through non-co-planar intersection angles (e.g., reducing the imaging time to 0.023 s at a 5° skimming angle), which greatly improved the observation efficiency. However, this mode presented challenges such as increased PRF requirements and reduced SNR, which placed higher demands on the ISAL system’s laser frequency and antenna aperture. Particularly at larger intersection angles, high-performance hardware was essential to ensure imaging quality.
The comparison between the two mode types is shown in Table 3. Considering the distribution characteristics of the GEO targets (approximately 90% concentrated within 0°~15° inclination) and factors such as the minimum imaging time, PRF, and SNR, small-angle non-co-planar skimming (e.g., 5°) emerged as the optimal observation choice. This mode offers significant advantages in efficiency and reduced imaging time, but a careful balance between equipment performance and mission requirements is crucial to ensure efficient and reliable GEO target observation.

5. Simulation Analysis of Low Earth Orbit (LEO)

Low Earth orbit (LEO) satellites operate at altitudes ranging from 200 to 2000 km, with widely distributed targets and orbital inclinations typically between 30° and 90° to achieve global coverage from polar to low-latitude regions [26]. LEO targets include remote sensing, reconnaissance, scientific exploration satellites, and space stations, predominantly employing Earth-pointing orientation. However, dynamic attitude adjustments are often necessary to accommodate rapidly changing observation requirements [27].
Using the orbital distribution characteristics as a reference, this study simulated observation systems for a densely populated 1000 km altitude orbit, where the target concentration was the highest in the LEO region. Due to the presence of retrograde and high-inclination satellites in this region, the simulations included two additional scenarios: large-angle non-co-planar skimming and retrograde skimming, to analyze their observational performances under LEO conditions. The results of simulation are shown in Figure 16.

5.1. Calculation of Minimum Imaging Time for LEO Observations

Using a target resolution of 0.005 m as the requirement for LEO observations, the minimum imaging time for each observation mode was calculated based on the simulated relative angular velocity and distance values for fly-around and skimming modes. The results are summarized in Figure 17 and Figure 18.
In the LEO ISAL system, the minimum imaging time varied significantly between the fly-around and skimming modes:
Fly-around mode: For the Earth-pointing targets, the minimum imaging time ranged from 0.07 s to 0.3 s, with a uniform distribution, making it suitable for sustained and efficient observation. For the J2000-oriented targets, the imaging time experienced abrupt increases due to angular velocity changes at specific moments. Effective imaging performance, comparable with that of Earth-pointing targets, was observed only during four distinct periods, while the efficiency significantly declined during other times.
Skimming mode: In co-planar prograde skimming, the imaging time remained stable at approximately 0.1 s, comparable with the fly-around mode, with a consistent relative angular velocity and observation distance over extended periods. As the skimming angle increased to 15°, the minimum imaging time was significantly reduced to 0.0032 s, which markedly improved the imaging efficiency. With further increases in the skimming angle, the imaging time decreased linearly: At 60°, the imaging time dropped to 8.5 × 10−4 s. At 165°, it further decreased to 4.4 × 10−4 s.
In retrograde skimming, the imaging time at the intersection point reached 4.2 × 10−4 s, representing the theoretical optimal imaging efficiency for the skimming system. These results demonstrate that skimming mode, particularly at larger angles or in retrograde configurations, significantly outperformed the fly-around mode in terms of the imaging efficiency, making it an ideal choice for rapid and high-precision observations in LEO.

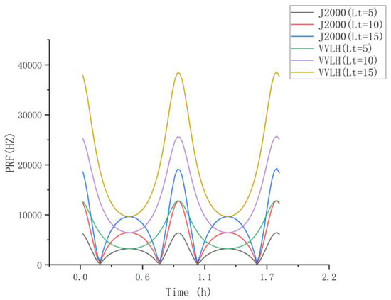
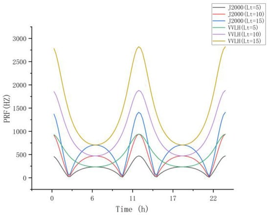
5.2. PRF Calculation for LEO Observations

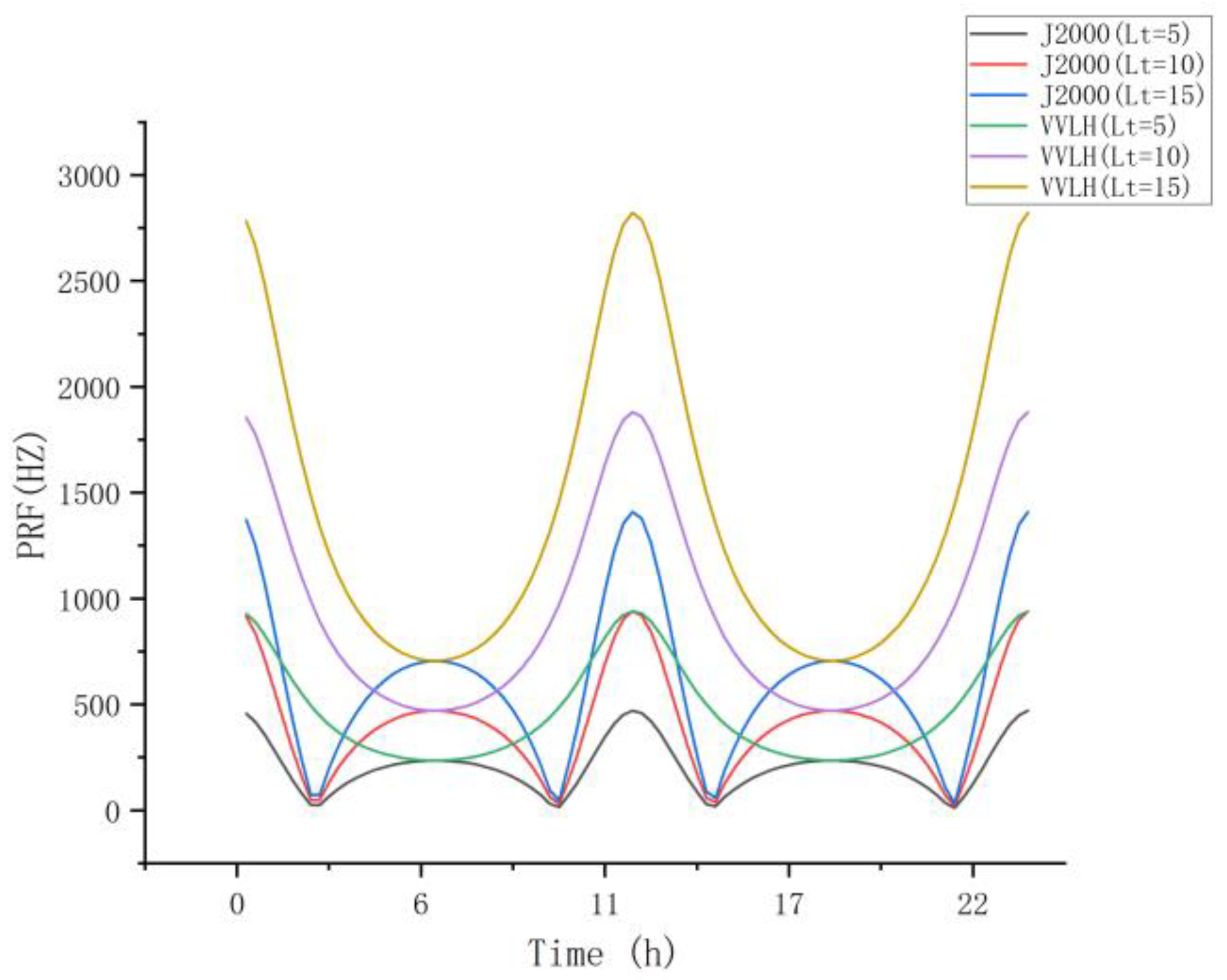
In LEO observations, PRF requirements are directly influenced by the combined effects of the target size, relative velocity, and resolution demands. Compared with medium and high orbits, the higher relative motion speeds and greater variations in angular velocity in LEO impose stricter demands on the system’s dynamic PRF adjustment capabilities. The statistical results are visualized in Figure 19 and Figure 20, where Lt represents the target’s cross-sectional size, measured in meters.
In the fly-around mode, the PRF values were generally lower compared with those in the skimming mode. For the J2000-oriented targets (inertial reference frame), the PRF values were the lowest and exhibited minimal fluctuations, indicating reduced requirements for the frequency modulation of the ISAL system. This makes the J2000-oriented fly-around mode well-suited for long-duration stable observations. In contrast, the VVLH-oriented targets (relative reference frame) had significantly higher and more variable PRF values, reflecting increased demands on the system performance. This mode is more appropriate for capturing dynamic changes in the target. Regardless of the orientation mode, the PRF values in fly-around mode increased with the target size but remained consistently lower than those in the skimming mode, which resulted in lower overall system performance requirements.
In the skimming mode, the PRF values increased significantly with larger skimming angles. Co-planar prograde skimming achieved the lowest and most stable PRF values, making it suitable for observing relatively stable targets. At extreme skimming angles, such as 165°, and in retrograde skimming, the PRF values reached their highest levels, which imposed the greatest requirements on the system’s frequency modulation capabilities. These configurations were optimal for the high-resolution observations of the dynamic targets. Additionally, the PRF values in skimming mode exhibited a linear increase with the target size, particularly in large-angle and retrograde skimming scenarios, where the system performance demands were considerably higher.
While the PRF values for co-planar prograde skimming were comparable with those observed in fly-around mode, other configurations, including non-co-planar and retrograde skimming, showed significantly higher PRF values, which imposed substantially greater performance requirements on the ISAL system.

5.3. SNR Calculation for LEO Observation Systems

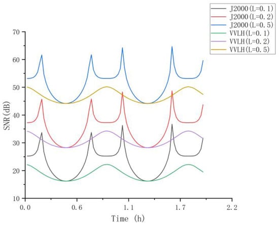
The signal-to-noise ratio (SNR) for the LEO observation systems was calculated based on the simulation results for the fly-around and skimming modes. The analysis considered the effects of target size, orientation, and relative angular velocity, which are shown in Figure 21 and Figure 22, where L represents the antenna aperture length.
In the SNR analysis of the LEO targets, both the fly-around and skimming modes exhibited a significant increase in SNR with larger aperture sizes (L).
Fly-around mode: For the J2000-oriented targets, the SNR showed greater fluctuations, while the VVLH-oriented targets exhibited more stable trends. Even at the smallest aperture size (L = 0.1), the SNR for both orientations exceeded 10 dB, meeting the basic observation requirements, where values occasionally surpassed 20 dB, which was suitable for detailed observations. When the aperture increased to L ≥ 0.2, the SNR remained consistently above 20 dB throughout the observation period, which significantly enhanced the performance.
Skimming mode: In the skimming mode, the SNR was more dependent on the aperture size and orbital intersection angle. For co-planar prograde skimming, an aperture of L = 0.1 was sufficient to meet the 10 dB baseline requirement. However, in non-co-planar skimming, the SNR decreased rapidly as the intersection angle increased. At angles of 60° or greater, only apertures larger than L = 0.2 could briefly exceed 10 dB, and apertures of L = 0.5 were required to achieve SNR values of 20 dB during some periods, which enabled high-resolution imaging.
These results indicate that non-co-planar skimming in LEO requires high-performance, large-aperture systems to ensure the imaging quality. However, this also substantially increases the system cost and complexity, posing higher demands on the equipment capabilities and technological standards.

5.4. Summary of LEO Observation Mode Comparison

As shown in Table 4, the fly-around mode in LEO benefitted from increased target angular velocity, resulting in significantly shorter imaging times that typically met practical observation requirements. While its SNR performance was not the highest, it was superior to that of the skimming mode and sufficient for most observation tasks. Additionally, the fly-around mode imposed lower demands on the system hardware, making it well-suited for the diverse target distributions in LEOs. This combination of observation stability and lower hardware costs provides significant advantages.
Meanwhile, the Tmin–SNR tradeoff was pronounced, and reducing Tmin (e.g., from 1 s to 0.01 s) led to a degradation in the SNR by 8–12 dB due to insufficient signal integration. To address this, the following measures can be taken: first, increase the single-pulse power (Pav) in short-Tmin modes to maintain an SNR greater than 15 dB, subject to thermal limits; second, enhance the effective SNR by applying a Kalman-filtered fusion of consecutive short-exposure frames [28]; and third, for ω > 0.05 rad/s, prioritize D = 0.3 m (vs. 0.5 m) to balance Tmin = 0.08 s while maintaining SNR = 18 dB (see Table A2 in Appendix A.4).
Although the skimming mode offered shorter imaging times, its SNR decreased significantly compared with the fly-around mode in the high-angular-velocity environment of LEOs. This was especially evident under identical aperture conditions, where the skimming mode’s lower SNR adversely affected the imaging quality. Furthermore, skimming mode has higher PRF requirements, along with increased demands on the laser frequency and antenna aperture performance, which resulted in greater hardware burdens. The complex inclination distribution of LEOs, including high-inclination and even retrograde trajectories, exacerbated the SNR disadvantage of the skimming mode, which further undermined its imaging quality.
Considering the distribution characteristics and observation requirements of the LEO targets, the fly-around mode was better suited for LEO observation tasks due to its moderate imaging times, relatively superior SNR, and lower system performance demands. While the skimming mode achieved shorter imaging times, its limitations in imaging quality and system performance requirements under complex orbital conditions restricted its advantages. Overall, the fly-around mode offered greater benefits for LEO observations and was more adaptable to a broader range of applications.

6. Evaluation of Actual Debris Observation

The motion trajectories and orientation modes of orbital debris are inherently random, making precise capture challenging. The fly-around observation mode, with its longer observation periods and limited adaptability to debris movement, is less suitable for efficient target traversal and dynamic debris tracking.
This section describes the selection of two sets of real debris data from high and low orbits. Based on actual conditions, the debris was assigned specific rotation characteristics and orientation modes. The analysis focused on using the skimming observation mode, simulated in STK, to evaluate the observation performance under various skimming parameters. By comparing and validating the results, the applicability of the ISAL observation system to high- and low-orbit debris observation missions was assessed [29,30,31].
To ensure the validation of the fly-by model in the simulation, debris for both the GEO and LEO were selected based on their representativeness within their respective orbital environments. For both the GEO and LEO, two fragments were chosen, each from different sources, with sizes that represented typical debris in these orbits and ensured they fell within the target size range mentioned in the previous sections. This was considered to avoid selecting overly small targets. The selection was made to closely match the GEO and LEO data used in the simulations to ensure consistency with the fly-by model. Furthermore, the selected debris were those for which the most recent TLE (Two-Line Element) data were available near the simulation time to ensure that the fragments reflected realistic orbital conditions during the simulation.
In general, the rotational speed of debris is influenced by its size (smaller debris rotates faster, while larger debris rotates slower) and orbital environment. GEO debris typically rotates slower due to weaker external forces, with speeds ranging from 0.0001 rad/s to 0.01 rad/s. In contrast, LEO debris experiences stronger perturbations and typically has rotational speeds from 0.01 rad/s to 0.1 rad/s [29,32]. To reflect the performance of the observation system, we set the rotational speeds of the GEO and LEO debris to their maximum reasonable values during the simulations: 0.01 rad/s for the GEO and 0.1 rad/s for the LEO. These values ensured that the system was tested under the most extreme, yet plausible, conditions.

6.1. High-Orbit Debris Skimming Observation

High-orbit cataloged debris primarily consists of objects with diameters exceeding 10 cm, typically decommissioned satellite fragments. The specific debris selected in the simulation were FENGYUN_2H_DEB_43645 and FALCON_HEAVY_542220_FALCON_HEAVY_54222.
The key observational evaluation parameters obtained from the simulation are summarized in Figure 23, Figure 24, Figure 25 and Figure 26.
In high-GEO debris observations, PRF requirements are primarily determined by the size of the target debris. As shown in the results, the larger FENGYUN debris (3.5 m) exhibited significantly higher PRF values throughout the observation period compared with the smaller FALCON debris (0.5 m). For instance, at the closest intersection point, the PRF for the FENGYUN debris reached approximately 900,000, whereas the PRF for the FALCON debris was around 100,000. This indicates that the larger target volumes demanded higher PRF capabilities from the system.
By analyzing the PRF requirements for the different debris, a reasonable PRF range could be established. For the debris analyzed in this study, the required PRF range was between 100,000 and 900,000. Therefore, the ISAL observation system must support PRF values exceeding 900,000 to accommodate various target observation missions effectively.
Although the PRF requirement of 900,000 is significantly higher than traditional PRF values for standard ISAL systems, it is feasible with advanced hardware configurations that allow for higher pulse emission rates. Existing ISAL systems typically operate within lower PRF ranges, but research is ongoing to develop systems that can handle higher PRF demands, especially for fast-moving or small targets [7]. To avoid Doppler ambiguity and achieve precise imaging resolution, the PRF must exceed the Doppler frequency bandwidth (Δfd) of the target, which is particularly important for fast-moving targets. High PRF values present challenges, where practical solutions like pulse compression and multi-channel time-division multiplexing can achieve equivalent performance. For example, the covert laser communication system developed by FARANT1 successfully implemented a modulation frequency of 500 MHz (corresponding to a PRF of approximately 5 × 108), demonstrating the feasibility of high-frequency pulse technology. The future of ultrafast lasers and silicon photonics chips is expected to further optimize the system performance [6].
In terms of the SNR, both debris targets showed significant improvement as the aperture size (L) increased. The larger FENGYUN debris (3.5 m2) consistently achieved a higher SNR than the smaller FALCON debris (0.5 m2) under the same conditions. For example, at L = 0.5, the FENGYUN debris maintained an SNR above 20 dB, while the FALCON debris achieved 15–20 dB. However, with L = 0.1 and L = 0.2, neither target consistently met the 10 dB requirement, except briefly for the FENGYUN debris at L = 0.2. Only at L = 0.5 did the SNR exceed 15 dB for both targets within a 100 km range, which satisfied the observation precision needs.
The analysis showed that larger debris required a higher PRF and exhibited a higher SNR. The following was found for the current GEO debris tasks:
The PRF must range from 100,000 to 900,000, with the system performance exceeding 900,000.
The aperture size must be at least L = 0.5 to meet the SNR requirements of 10 dB or higher.
These findings highlight the need to balance the hardware performance, cost, and mission requirements to optimize the observation strategies and ensure effective and reliable debris monitoring.

6.2. LEO Debris Skimming Observation

Low Earth orbit (LEO) cataloged debris includes a diverse range of objects, such as small components, rocket remnants, and fragments from explosions or collisions. Due to the lower altitude of the LEO, debris is often influenced by atmospheric drag and geomagnetic torques, resulting in complex and variable spin states with higher and less predictable spin rates.
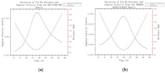
The OPS-5798-901 and THORAD AGENA-D-4675 debris were selected based on their size and alignment with the simulated LEO (1000 km) condition. Skimming observation simulations were conducted, and key parameters, such as the angular velocity, PRF, and SNR at different aperture sizes were calculated. The results are illustrated in Figure 27, Figure 28, Figure 29 and Figure 30.
From the variations in the observation distance and angular velocity, it is evident that the high intersection speeds of LEO debris resulted in correspondingly higher relative angular velocities. Given the performance limitations of the ISAL system, the effective observation range needed to be constrained to within 100 km. As a result, for the intersection observations of the two debris targets, the effective observation duration was very short, typically around 20 s.
However, due to the large angular velocity, the required imaging time was relatively short. Within the effective imaging distance range, the imaging time was approximately 0.2 ms to 0.25 ms, which ensured rapid data acquisition during the brief observation window.
Compared with the GEO debris, the LEO debris required a significantly higher PRF due to its greater angular velocity. The PRF range typically fell between 1 × 106 and 3 × 106 and increased proportionally with the size of the debris.
As shown in the figure, the skimming observations for the two LEO debris targets demonstrate a relatively weaker SNR performance. Using 10 dB as the threshold for effective observation, only when the antenna aperture was increased to 0.5 could an effective observation window of approximately 15 s be achieved to ensure the image quality met the observation requirements.

7. Conclusions

The analysis confirmed that space debris monitoring requires distinct optimal strategies for different orbital regimes. For geostationary Earth orbit (GEO) targets, non-co-planar skimming mode with orbital intersection angles of 0–15° emerged as the superior approach. Although the fly-around mode achieved higher signal-to-noise ratios (>25 dB with 0.5 m apertures) and a lower pulse repetition frequency (PRF ~8 × 105), its impractical imaging durations exceeding 1 s under low relative angular velocities (0.001–0.005 rad/s) rendered it operationally unfeasible. Skimming mode addressed this limitation by reducing the imaging time to 0.023–0.15 s (Figure 11) while maintaining acceptable SNR levels of 18–22 dB, enabling the efficient monitoring of FY-2-class debris across most GEO slots [33]. In contrast, low Earth orbit (LEO) targets demanded fly-around mode despite its stringent hardware requirements. The high angular velocities of 0.1–0.3 rad/s typical in LEO necessitated PRF values between 1 × 106 and 3 × 106, pushing the limits of current laser array technologies [34]. Simulations further exposed a critical hardware dependency: achieving SNR thresholds >10 dB for sub-meter debris like THORAD AGENA fragments required antenna apertures ≥0.5 m, which exceeds conventional LEO payload specifications [35].
The simulation results reveal stark performance differences between the GEO and LEO debris observations. The GEO debris fragments, such as those from the FY-2 and FALCON satellites, demonstrated superior observability, where SNR values that exceeded 18 dB were achieved under moderate system configurations (0.5 m aperture, PRF = 1.2 × 106). This performance advantage stemmed from their slower rotation rates (<0.5 rad/s) and larger physical dimensions (5–10 m2 cross-sections). Conversely, the LEO debris exemplified by OPS-5798 fragments struggled with SNR levels below 10 dB unless enhanced hardware configurations were employed, which was constrained by rapid orbital motion and atmospheric interference effects. These findings both validate and challenge existing ISAL paradigms: while confirming theoretical resolution advantages described in prior studies, they expose previously underestimated temporal constraints (Tmin) that compel the re-evaluation of traditional aperture-length optimization principles [36].
This study translated these theoretical insights into practical operational guidelines for space situational awareness systems. GEO monitoring networks should prioritize adaptive skimming mode with dynamic PRF modulation, particularly in densely populated longitudinal regions (65–85° slots), where sub-0.1 s imaging windows enable the daily surveillance of 50–100 high-value targets [33]. For LEO environments, dedicated ISAL payloads with ≥0.5 m apertures must be deployed, focusing observation efforts on high-inclination orbital planes like Sun-synchronous orbits that concentrate debris populations [3]. To bridge the gap between simulation capabilities and operational reality, three critical validation phases are required:
  • On-orbit testing under realistic radiation/thermal conditions using representative debris targets (e.g., defunct CubeSats) [37].
  • High-dynamics trials for irregularly rotating objects exceeding 0.01 rad/s [3].
  • Endurance evaluations of MHz-level PRF laser systems that address current 500 kHz technological ceilings [34].
This work positions ISAL technology as a transformative solution for space debris monitoring while delineating key implementation challenges. Near-term priorities include miniaturizing high-PRF laser systems to meet LEO payload mass constraints, a technological hurdle explicitly recognized in NASA’s 2030 space situational awareness roadmap [36]. Concurrently, international standardization efforts must harmonize ISAL parameters, such as PRF bands and aperture specifications, to facilitate global debris catalog interoperability [37]. Long-term advancements will likely involve multi-sensor architectures that combine ISAL with complementary radar and optical systems, a fusion approach was projected to reduce false alarm rates by 40% compared with standalone radar solutions [33], ultimately enabling predictive collision avoidance and active debris remediation capabilities.

Author Contributions

Conceptualization, J.Z. and R.S.; methodology, R.S. and J.Z.; validation, Z.Z. and L.D.; formal analysis, R.S.; resources, H.H.; data curation, R.S.; writing—original draft preparation, R.S.; writing—review and editing, J.Z., Z.Z. and L.D.; supervision, Z.Z. and H.H.; project administration, H.H.; All authors have read and agreed to the published version of the manuscript.

Funding

This research was funded by the Shanghai Oriental Talent Leading Project, grant number Y4DFRCYG01.

Data Availability Statement

The raw data supporting the conclusions of this article will be made available by the authors on request.

Conflicts of Interest

The authors declare no conflicts of interest.

Abbreviations

ISALInverse synthetic aperture lidar
GEOGeostationary Earth orbit
LEOLow Earth orbit
PRFPulse repetition frequency
SNRSignal-to-noise ratio

Appendix A. Consolidated Analysis of Sensitivity, Uncertainty, and Performance Tradeoffs

Appendix A.1. Parameter Sensitivity Analysis

Table A1. Key parameters and ranges.
Table A1. Key parameters and ranges.
ParameterRange/ValuesFixed Conditions
Resolution (ΔΘ)0.003 m, 0.005 m, 0.01 mRCS (σ) = 10 m2
Wavelength (Λ)1.06 μm, 1.55 μm, 2.0 μmPav = 100 W, ηd = 0.8, Topt = 0.9
Angular velocity (Ω)0.005–0.1 rad/sd = 500 km (LEO), 36,000 km (GEO)
Sensitivity metrics:
  • Δθ dominates SNR: Δθ = 0.005 m → SNR = 35 dB; Δθ = 0.01 m → SNR = 28 dB.
  • λ impacts Tmin: λ = 1.06 μm → Tmin = 3.0 s; λ = 1.55 μm → Tmin = 2.0 s.
Figure A1. Sensitivity of Tmin and SNR to Δθ and λ variations.
Figure A1. Sensitivity of Tmin and SNR to Δθ and λ variations.
Aerospace 12 00236 g0a1

Appendix A.2. MCMC Uncertainty Quantification

Methodology:
  • Sampling: Metropolis–Hastings algorithm with 50,000 iterations.
  • Parameter priors: Uniform distributions for Δθ and ω; discrete for λ.
  • Posterior distributions:
    • Δθ: μ = 0.007 m, 95% CI [0.005, 0.01] m.
    • ω: μ = 0.025 rad/s, 95% CI [0.01, 0.05] rad/s.
Table A2. Key results.
Table A2. Key results.
ParameterTMIN SensitivitySNR Sensitivity
ΔΘ−0.85−0.72
Λ+0.41−0.28
−0.68−0.15
Figure A2. Posterior distributions of Δθ, λ, and ω (95% credible intervals).
Figure A2. Posterior distributions of Δθ, λ, and ω (95% credible intervals).
Aerospace 12 00236 g0a2

Appendix A.3. SNR-Imaging Time Tradeoffs

Table A3. LEO vs. GEO performance.
Table A3. LEO vs. GEO performance.
OrbitTMIN (s)SNR (dB)Governing Equation
LEO0.1–1.022–30SNR ∝ Tmin·λ − 1·ω − 1
GEO2.0–5.032–40SNR ∝ Tmin·d − 2·log(1/Δθ)
Optimization boundaries:
  • LEO: minimum viable SNR = 20 dB at Tmin = 0.3 s.
  • GEO: maximum Δθ = 0.003 m (SNR = 32 dB) before platform stability limits.
Figure A3. Tmin–SNR curves for LEO and GEO.
Figure A3. Tmin–SNR curves for LEO and GEO.
Aerospace 12 00236 g0a3

Appendix A.4. Dynamic Parameter Optimization

Table A4. Performance metrics for aperture–velocity matching in LEO.
Table A4. Performance metrics for aperture–velocity matching in LEO.
(rad/s)Optimal D (m)TMIN (s)SNR (dB)
0.050.30.0818
0.10.20.0515

References

  1. Green, D.; Ekaterini, D. Protecting the Orbital Environment as a Shared Ecosystem: Sustainability for Near-Earth Space. arXiv 2020, arXiv:2204.10025. [Google Scholar]
  2. Smith, J.; Brown, R. High-resolution ISAL imaging for LEO debris tracking. IEEE Trans. Geosci. Remote Sens. 2021, 59, 2101–2112. [Google Scholar]
  3. Tanaka, K. All-weather ISAL prototype for airborne surveillance. Opt. Express 2022, 30, 7890–7905. [Google Scholar]
  4. Ruan, H.; Wu, Y.; Zhang, S. Geostationary orbital nobject imaging based on spaceborne inverse synthetic aperture ladar. Infrared Laser Eng. 2013, 42, 1611. [Google Scholar]
  5. Zhang, Y.; Li, S.; Sun, J.; Liu, D.; Zhang, X.; Yang, X.; Zhou, X. Imaging algorithm of dual-parameter estimation through smoke using Gm-APD lidar. Opt. Precis. Eng. 2022, 30, 2370–2378. [Google Scholar] [CrossRef]
  6. Xu, C.; Jin, K.; Jiang, C.; Li, J.; Song, A.; Wei, K.; Zhang, Y. Amplitude compensation using homodyne detection for inverse synthetic aperture LADAR. Appl. Opt. 2021, 60, 10594–10599. [Google Scholar] [CrossRef]
  7. Zhang, B.; Guo, J.; Li, Z.; Cheng, Y.; Zhao, Y.; Yao, F.; Boota, M.W. A review for retrieving wind fields by spaceborne synthetic aperture Radar. J. Sens. 2022, 2022, 7773659. [Google Scholar] [CrossRef]
  8. Chen, L. High-power 1.55 μm fiber lasers for space applications. Opt. Lett. 2021, 46, 2984–2987. [Google Scholar]
  9. Krainak, M.A.; Anthony, W.Y.; Yang, G.; Li, S.X.; Sun, X. Photon-counting detectors for space-based laser receivers. In Proceedings of the Proceedings Volume 7608, Quantum Sensing and Nanophotonic Devices VII, 760827, San Francisco, CA, USA, 22 January 2010. [Google Scholar]
  10. Dupont, A. Photon-counting detectors in spaceborne lidar: A review. Remote Sens. 2022, 14, 2145. [Google Scholar]
  11. Li, D.J. Research progress on ISAL/SAL imaging technology. J. Radars, 2023; Seminar Report. [Google Scholar]
  12. Ruan, H. GEO object reconstruction via, I.S.A.L. Space Sci. Rev. 2021, 18, 112–125. [Google Scholar]
  13. Jingpeng, Z.; Qihang, C.; Yanhui, W.; Lei, D.; Zhenzhen, Z.; Wenxin, Z. Design of LEO target imaging mode with space-based inverse synthetic aperture laser radar. Infrared Laser Eng. 2023, 52, 20220679. [Google Scholar] [CrossRef]
  14. Yin, H.; Guo, L.; Jing, D.; Xing, M.; Zeng, X.; Hu, Y. Parameters analysis of spaceborne synthetic aperture lidar imaging. Infrared Laser Eng. 2021, 50, 20200144. [Google Scholar]
  15. Zhang, Y.; Li, W.; Wang, X.; Chen, H. Sub-centimeter ISAL imaging for space debris. Opt. Lett. 2022, 47, 1988–1991. [Google Scholar]
  16. ESA. Minimum Detectable Size of Space Debris; ESA: Paris, France, 2021. [Google Scholar]
  17. Wang, L. Image entropy evaluation for ISAL resolution analysis. IEEE Trans. Geosci. Remote Sens. 2023, 61, 1–10. [Google Scholar]
  18. Liu, W.; Zhang, J.; Sun, Y. Analysis of PRF and SNR in spaceborne lidar systems. Opto-Electron. Eng. 2022, 49, 523–530. [Google Scholar]
  19. ESA. EDRS: The European Data Relay System; ESA: Paris, France, 2023. [Google Scholar]
  20. Zhang, Q.; Wang, X. PRF settings for high-resolution spaceborne synthetic aperture lidar imaging. J. Remote Sens. 2023, 28, 245–258. [Google Scholar]
  21. Chen, M.; Zhao, L.; Han, Q. Optimization of SNR in inverse synthetic aperture lidar imaging. Infrared Laser Eng. 2021, 50, 302–310. [Google Scholar]
  22. Liu, X.; Zhang, H.; Wang, J.; Zhou, M. Hardware-in-the-Loop Simulation for Spaceborne Inverse Synthetic Aperture Lidar with Vacuum Chamber Testing. IEEE Trans. Aerosp. Electron. Syst. 2023, 59, 1234–1245. [Google Scholar]
  23. ESA. Laser Ranging Validation for Space Debris Tracking; Technical Note TN-2022-008; ESA: Paris, France, 2022. [Google Scholar]
  24. Journals of Northwestern Polytechnical University. GEO satellite orbit inclination analysis and its effects on system performance. J. Northwestern Polytech. Univ. 2016, 34, 82–90. [Google Scholar]
  25. Sun, X.; Li, W.; Zhang, Y. Spaceborne synthetic aperture lidar imaging and its applications. J. Remote Sens. 2023, 27, 245–258. [Google Scholar]
  26. China Journal of Space Science. LEO satellite orbit characteristics and coverage analysis. China J. Space Sci. 2022, 42, 98–108. [Google Scholar] [CrossRef]
  27. Wang, J.; Zhang, L.; Li, Y. Starlink and OneWeb LEO satellite constellations: Orbital design and coverage performance. Opto-Electron. Eng. 2022, 20, 34–40. [Google Scholar]
  28. Zhang, Y.; Wang, H.; Liu, Z.; Li, X.; Chen, J. Multi-Frame Kalman Filtering for Noise Suppression in Low-SNR LiDAR Point Clouds. Optics Express 2022, 30, 32456–32470. [Google Scholar]
  29. Li, W.; Zhang, M.; Sun, Q. Space debris rotational characteristics and monitoring methods: A review. Acta Astronaut. 2022, 210, 15–22. [Google Scholar] [CrossRef]
  30. Chen, Y.; Liu, H.; Zhang, L. Monitoring and analysis of rotational characteristics of LEO and GEO space debris using optical and radar systems. Space Sci. Rev. 2023, 19, 45–53. [Google Scholar]
  31. Wang, F.; Zhou, Q.; Li, M. Advances in high-precision observation of space debris rotational motion. Chin. J. Aeronaut. 2023, 36, 1205–1213. [Google Scholar] [CrossRef]
  32. Hang, R.; Qiang, Z.; Yu, Y.; Can, X. Spaceborne inverse synthetic aperture lidar imaging of nonuniformly rotating orbit object. Infrared Laser Eng. 2023, 52, 20220406. [Google Scholar]
  33. Li, D.J.; Zhou, K. Conformal diffractive optical system based synthetic aperture ladar imaging. Acta Opt. Sin. 2020, 40, 179–192. [Google Scholar]
  34. Li, D.J.; Zhou, K.; Cui, A.J. Multi-channel inverse synthetic aperture ladar imaging technology and experimental research. Laser Optoelectron. Prog. 2021, 58, 342–353. [Google Scholar]
  35. European Space Agency (ESA). Space Environment Report 2023; (Report No. ESA-2023-SER); ESA: Paris, France, 2023. [Google Scholar]
  36. Office of Science and Technology Policy (OSTP). National Strategy for Cislunar Science and Technology; The White House: Washington, DC, USA, 2022; Available online: https://www.whitehouse.gov/ostp (accessed on 1 March 2025).
  37. ESA. Zero Debris Charter; European Space Agency: Paris, France, 2023. [Google Scholar]
Figure 1. Fly-around observation schematic.
Figure 1. Fly-around observation schematic.
Aerospace 12 00236 g001
Figure 2. Schematic of the observational configuration for Earth-pointing orientation.
Figure 2. Schematic of the observational configuration for Earth-pointing orientation.
Aerospace 12 00236 g002
Figure 3. Schematic of the observational configuration for an inertial orientation.
Figure 3. Schematic of the observational configuration for an inertial orientation.
Aerospace 12 00236 g003
Figure 4. Observation period statistics for different orbital altitudes and target orientations.
Figure 4. Observation period statistics for different orbital altitudes and target orientations.
Aerospace 12 00236 g004
Figure 5. (a) Schematic of prograde skimming; (b) schematic of retrograde skimming; (c) schematic of non-co-orbital skimming.
Figure 5. (a) Schematic of prograde skimming; (b) schematic of retrograde skimming; (c) schematic of non-co-orbital skimming.
Aerospace 12 00236 g005
Figure 6. Revisit time variation with orbital altitude.
Figure 6. Revisit time variation with orbital altitude.
Aerospace 12 00236 g006
Figure 7. Revisit time variation with imaging distance for retrograde skimming.
Figure 7. Revisit time variation with imaging distance for retrograde skimming.
Aerospace 12 00236 g007
Figure 8. GEO target inclination distribution from MIT Lincoln Laboratory homepage.
Figure 8. GEO target inclination distribution from MIT Lincoln Laboratory homepage.
Aerospace 12 00236 g008
Figure 9. (a) Variation in angular velocity and distance with fly-around mode in GEO for J2000 orientation target. (b) Variation in angular velocity and distance with fly-around mode in GEO for VVLH orientation target. (c) Variation in angular velocity and distance with skimming in different observation modes in GEO with four orbital plane intersection angles.
Figure 9. (a) Variation in angular velocity and distance with fly-around mode in GEO for J2000 orientation target. (b) Variation in angular velocity and distance with fly-around mode in GEO for VVLH orientation target. (c) Variation in angular velocity and distance with skimming in different observation modes in GEO with four orbital plane intersection angles.
Aerospace 12 00236 g009
Figure 10. Statistical chart of the minimum imaging time for different fly-around observation modes in the GEO. The chart presents the simulation results for fly-around observations of a J2000-oriented target and an Earth-oriented target.
Figure 10. Statistical chart of the minimum imaging time for different fly-around observation modes in the GEO. The chart presents the simulation results for fly-around observations of a J2000-oriented target and an Earth-oriented target.
Aerospace 12 00236 g010
Figure 11. Statistical chart of the minimum imaging time for different skimming observation modes in GEO with four orbital plane intersection angles. The chart presents simulation results for skimming observations at intersection angles of 0°, 5°, 10°, and 15°, showing the minimum imaging times required for each scenario.
Figure 11. Statistical chart of the minimum imaging time for different skimming observation modes in GEO with four orbital plane intersection angles. The chart presents simulation results for skimming observations at intersection angles of 0°, 5°, 10°, and 15°, showing the minimum imaging times required for each scenario.
Aerospace 12 00236 g011
Figure 12. Statistical chart of the PRF comparison for different fly-around observation modes in the GEO.
Figure 12. Statistical chart of the PRF comparison for different fly-around observation modes in the GEO.
Aerospace 12 00236 g012
Figure 13. Statistical chart of the PRF comparison for different skimming observation modes in the GEO with four orbital plane intersection angles.
Figure 13. Statistical chart of the PRF comparison for different skimming observation modes in the GEO with four orbital plane intersection angles.
Aerospace 12 00236 g013
Figure 14. Statistical chart of the SNR comparison for different fly-around observation modes in the GEO.
Figure 14. Statistical chart of the SNR comparison for different fly-around observation modes in the GEO.
Aerospace 12 00236 g014
Figure 15. Statistical chart of the SNR comparison for different skimming observation modes in the GEO with four orbital plane intersection angles.
Figure 15. Statistical chart of the SNR comparison for different skimming observation modes in the GEO with four orbital plane intersection angles.
Aerospace 12 00236 g015
Figure 16. (a) Variation in angular velocity and distance with fly-around mode in LEO (1000 km) for J2000 orientation target. (b) Variation in angular velocity and distance with fly-around mode in LEO (1000 km) for VVLH orientation target. (c) Variation in angular velocity and distance with skimming in different observation modes in LEO (1000 km) with five orbital plane intersection angles.
Figure 16. (a) Variation in angular velocity and distance with fly-around mode in LEO (1000 km) for J2000 orientation target. (b) Variation in angular velocity and distance with fly-around mode in LEO (1000 km) for VVLH orientation target. (c) Variation in angular velocity and distance with skimming in different observation modes in LEO (1000 km) with five orbital plane intersection angles.
Aerospace 12 00236 g016
Figure 17. Statistical chart of the minimum imaging time for different fly-around observation modes in LEO (1000 km). The chart presents simulation results for fly-around observations of a J2000-oriented target and Earth-oriented target.
Figure 17. Statistical chart of the minimum imaging time for different fly-around observation modes in LEO (1000 km). The chart presents simulation results for fly-around observations of a J2000-oriented target and Earth-oriented target.
Aerospace 12 00236 g017
Figure 18. Statistical chart of the minimum imaging time for different skimming observation modes in LEO (1000 km) with five orbital plane intersection angles. The chart presents simulation results for skimming observations at intersection angles of 0°, 15°, 60°, 165°, and 180°, showing the minimum imaging times required for each scenario.
Figure 18. Statistical chart of the minimum imaging time for different skimming observation modes in LEO (1000 km) with five orbital plane intersection angles. The chart presents simulation results for skimming observations at intersection angles of 0°, 15°, 60°, 165°, and 180°, showing the minimum imaging times required for each scenario.
Aerospace 12 00236 g018
Figure 19. Statistical chart of the PRF comparison for different fly-around observation modes in LEO (1000 km).
Figure 19. Statistical chart of the PRF comparison for different fly-around observation modes in LEO (1000 km).
Aerospace 12 00236 g019
Figure 20. Statistical chart of the PRF comparison for different skimming observation modes in LEO with four orbital plane intersection angles.
Figure 20. Statistical chart of the PRF comparison for different skimming observation modes in LEO with four orbital plane intersection angles.
Aerospace 12 00236 g020
Figure 21. Statistical chart of the SNR comparison for different fly-around observation modes in LEO (1000 km).
Figure 21. Statistical chart of the SNR comparison for different fly-around observation modes in LEO (1000 km).
Aerospace 12 00236 g021
Figure 22. Statistical chart of the SNR comparison for different skimming observation modes in LEO (1000 km) with five orbital plane intersection angles.
Figure 22. Statistical chart of the SNR comparison for different skimming observation modes in LEO (1000 km) with five orbital plane intersection angles.
Aerospace 12 00236 g022
Figure 23. (a) Variation in angular velocity and distance for FENGYUN 2H 43645 debris in GEO. (b) Variation in angular velocity and distance for FALCON HEAVY 54222 debris in GEO.
Figure 23. (a) Variation in angular velocity and distance for FENGYUN 2H 43645 debris in GEO. (b) Variation in angular velocity and distance for FALCON HEAVY 54222 debris in GEO.
Aerospace 12 00236 g023
Figure 24. Statistical chart of the minimum imaging time for different debris in the GEO.
Figure 24. Statistical chart of the minimum imaging time for different debris in the GEO.
Aerospace 12 00236 g024
Figure 25. Statistical chart of the PRF comparison for different debris in the GEO.
Figure 25. Statistical chart of the PRF comparison for different debris in the GEO.
Aerospace 12 00236 g025
Figure 26. Statistical chart of the SNR comparison for different debris in the GEO.
Figure 26. Statistical chart of the SNR comparison for different debris in the GEO.
Aerospace 12 00236 g026
Figure 27. (a) Variation in angular velocity and distance for FENGYUN 2H 43645 debris in LEO (1000 km). (b) Variation in angular velocity and distance for FALCON HEAVY 54222 debris in LEO (1000 km).
Figure 27. (a) Variation in angular velocity and distance for FENGYUN 2H 43645 debris in LEO (1000 km). (b) Variation in angular velocity and distance for FALCON HEAVY 54222 debris in LEO (1000 km).
Aerospace 12 00236 g027
Figure 28. Statistical chart of the minimum imaging time for different debris in the LEO (1000 km).
Figure 28. Statistical chart of the minimum imaging time for different debris in the LEO (1000 km).
Aerospace 12 00236 g028
Figure 29. Statistical chart of the PRF comparison for different debris in the LEO (1000 km).
Figure 29. Statistical chart of the PRF comparison for different debris in the LEO (1000 km).
Aerospace 12 00236 g029
Figure 30. Statistical chart of the SNR comparison for different debris in the LEO.
Figure 30. Statistical chart of the SNR comparison for different debris in the LEO.
Aerospace 12 00236 g030
Table 1. Comparison of ISAL with four mainstream space-monitoring technologies.
Table 1. Comparison of ISAL with four mainstream space-monitoring technologies.
TechnologyResolutionAll-WeatherImagingRangeHardware ComplexityKey Limitations
ISAL<0.01 mYesYes>1000 kmHighHigh PRF requirements
Optical imaging0.1–0.5 mNoYes<500 kmMediumWeather and lighting dependent
Radar tracking1–10 mYesNo>1000 kmMediumLow resolution, limited imaging
Passive infrared0.5–2 mPartiallyYes<500 kmLowRelies on target thermal emissions
Laser ranging<0.001 mYesNo<1000 kmHighNo imaging, limited to distance data
Table 2. ISAL comparative analysis with Liu et al.’s [22].
Table 2. ISAL comparative analysis with Liu et al.’s [22].
ParameterThis Study (Simulation) Liu et al. 2023 [22] (Measured)Relative ErrorError Source
PRF requirement2.32 MHz2.28 ± 0.05 MHz+1.8%Detector clock jitter omitted
Mean SNR8.28.0 ± 0.3+2.5%Fiber link loss (0.2 dB)
Imaging time2.6 s2.5 s+4.0%HIL platform control delay (0.1 s)
Resolution (ΔR) 0.005 m0.005 m0%Vacuum environment eliminates atmospheric distortion
Table 3. The comparison between the two mode types in a GEO.
Table 3. The comparison between the two mode types in a GEO.
Mode Type Minimum Imaging Time (s)↓PRF (L = 5)↓PRF (L = 10)↓SNR (Lt = 0.1)↑SNR (Lt = 0.2)↑SNR (Lt = 0.5)↑
Fly-aroundJ2000 orientation 2.128203.176406.35331.87343.91459.832
VVLH orientation1.063469.568939.13627.71839.75955.676
SkimmingPrograde1.416705.9681411.93533.40945.45061.368
0.02343,231.61386,463.22515.52827.56943.487
10°0.01286,424.516172,849.03212.53124.57240.489
15°0.008129,344.52258,689.03210.76922.81138.728
↓ indicates that the smaller the value of this parameter, the better, whereas the ↑ indicates that the larger the value, the better.
Table 4. The comparison between two mode types in LEO (1000 km).
Table 4. The comparison between two mode types in LEO (1000 km).
Mode Type Minimum Imaging Time (s) ↓PRF (L = 5) ↓PRF (L = 10) ↓SNR (Lt = 0.1) ↑SNR (Lt = 0.2) ↑SNR (Lt = 0.5) ↑
Fly-aroundJ2000 orientation 0.1552831.3155662.62923.21535.25651.174
VVLH orientation0.0786708.70613,417.41218.87830.91946.837
SkimmingPrograde0.1049653.54819,307.09722.05034.09150.009
15°0.003308,568.387617,136.7746.97819.01934.937
60°0.0011,172,161.9352,344,323.8711.20913.24929.167
165°0.00042,260,005.1614,520,010.323−1.64410.39726.315
Retrograde0.00042,325,708.3874,651,416.774−1.56310.47826.395
↓ indicates that the smaller the value of this parameter, the better, whereas the ↑ indicates that the larger the value, the better.
Disclaimer/Publisher’s Note: The statements, opinions and data contained in all publications are solely those of the individual author(s) and contributor(s) and not of MDPI and/or the editor(s). MDPI and/or the editor(s) disclaim responsibility for any injury to people or property resulting from any ideas, methods, instructions or products referred to in the content.

Share and Cite

MDPI and ACS Style

Shen, R.; Zhang, J.; Dong, L.; Zheng, Z.; Hu, H. Analysis of Observation Modes for Space-Based Inverse Synthetic Aperture Lidar Based on Target Characteristics. Aerospace 2025, 12, 236. https://doi.org/10.3390/aerospace12030236

AMA Style

Shen R, Zhang J, Dong L, Zheng Z, Hu H. Analysis of Observation Modes for Space-Based Inverse Synthetic Aperture Lidar Based on Target Characteristics. Aerospace. 2025; 12(3):236. https://doi.org/10.3390/aerospace12030236

Chicago/Turabian Style

Shen, Ruimin, Jingpeng Zhang, Lei Dong, Zhenzhen Zheng, and Haiying Hu. 2025. "Analysis of Observation Modes for Space-Based Inverse Synthetic Aperture Lidar Based on Target Characteristics" Aerospace 12, no. 3: 236. https://doi.org/10.3390/aerospace12030236

APA Style

Shen, R., Zhang, J., Dong, L., Zheng, Z., & Hu, H. (2025). Analysis of Observation Modes for Space-Based Inverse Synthetic Aperture Lidar Based on Target Characteristics. Aerospace, 12(3), 236. https://doi.org/10.3390/aerospace12030236

Note that from the first issue of 2016, this journal uses article numbers instead of page numbers. See further details here.

Article Metrics

Back to TopTop