Numerical Simulation of Self-Sustained Roll Oscillations of an 80-Degree Delta Wing Caused by Leading-Edge Vortices †
Abstract
1. Introduction
2. Computational Framework
2.1. Geometry and Grid Generation
2.2. Numerical Solver Setup
2.3. Mesh Independence Study at
2.4. Dynamic Fluid–Body Interaction Framework
3. Predicting the Onset of Self-Oscillations of a Delta Wing
3.1. Computational Analysis of the Stability of Free-to-Roll Wing Motion
3.2. Static Tests
3.3. Forced Oscillation and Conical Rotation Tests
4. Coupled Fluid–Rigid Body Simulation of Wing-Rock Motion
Wing-Rock Simulations at Various Angles of Attack
5. Conclusions
- To accurately predict the unsteady and nonlinear aerodynamic loads acting on the wing during free-rolling oscillations, a higher-resolution mesh is required due to the existence of intense conical vortices at low and medium angles of attack and due to vortex breakdown at high angles of attack. Mesh refinement is especially needed for vortex cores and vortex breakdown regions.
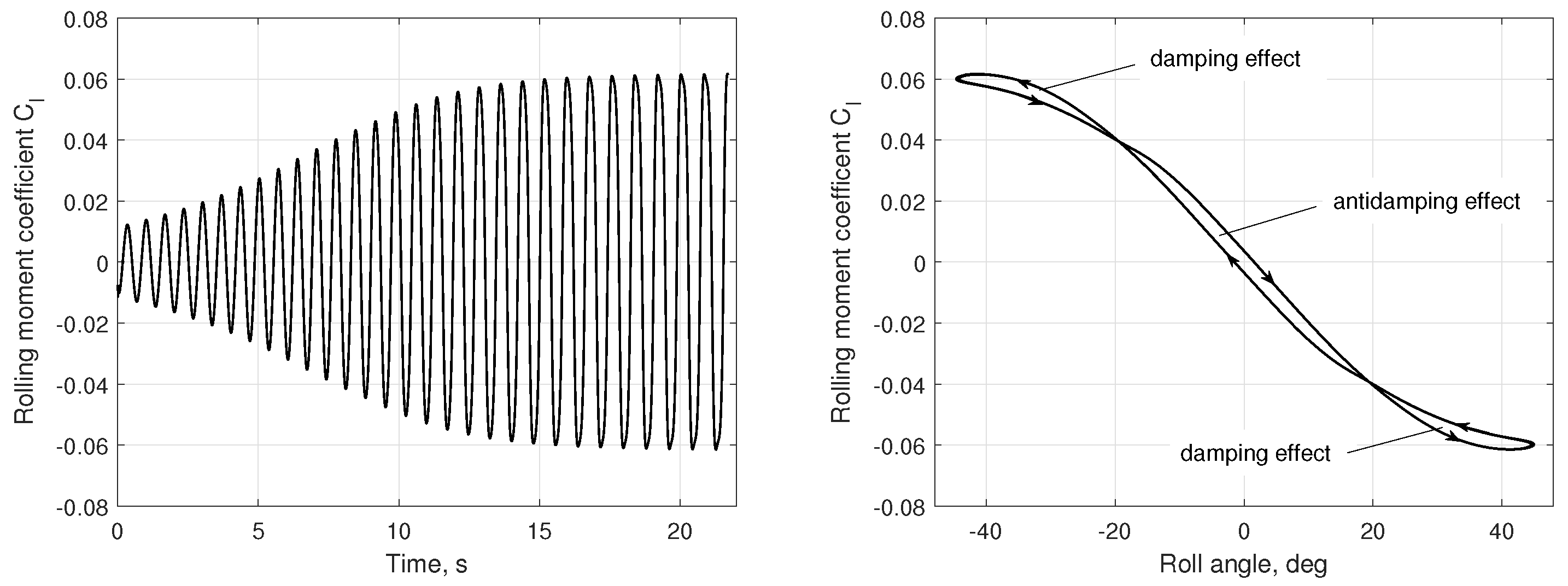
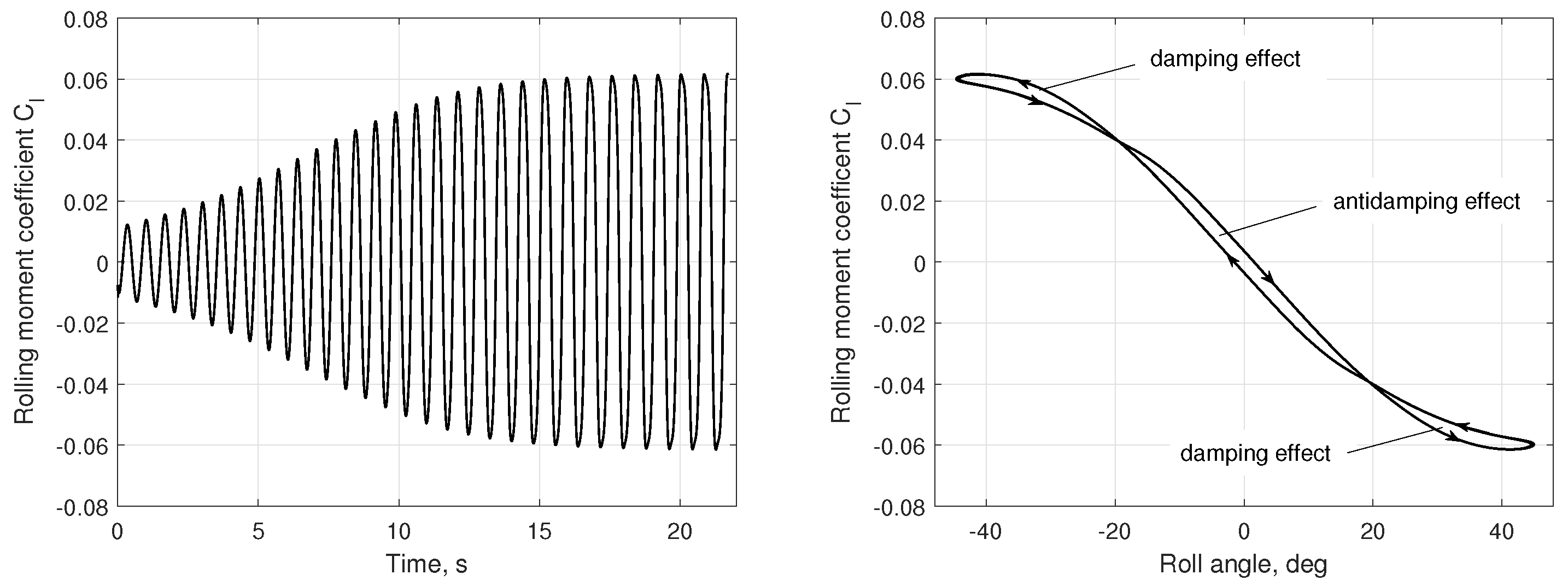
- Numerical static tests and tests with forced oscillations, similar to those used in a wind tunnel, made it possible to minimize the computer time costs for simulation of coupled wing–vortex oscillations and revealed the nature of the observed chaotic self-oscillations. The obtained aerodynamic derivative with respect to the roll rate, , indicates the onset of self-oscillations of the wing in roll through a change in sign from negative to positive. The vortex breakdown is reflected in a change in the sign of the static aerodynamic derivative from negative to positive and the simultaneous occurrence of two non-zero equilibrium points of the wing.
- The experimental and numerical simulation results, which are in good qualitative and quantitative agreement, both show that the observed two modes of wing self-oscillations in roll at have separate regions of attraction in the space of the wing motion parameters [10]. The chaotic small-amplitude self-oscillations of the wing are closely related to the non-stationary nature of flow due to the lags in vortex breakdown leading to oscillatory instability of two non-zero equilibrium states so that the origin of these self-oscillations is similar to the onset of the strange attractor in the Lorenz system [24]. Along with this, regular oscillations of large amplitude continue to exist at due to the rapid transition through the region with small sideslip angles, which blocks the phenomenon of vortex breakdown.
- The results obtained allow us to conclude that the adopted computational framework of fluid dynamics using the URANS equations and overset mesh generation is capable of adequately modeling complex wing self-oscillations in roll caused by strong wing–vortex interaction.
Supplementary Materials
Author Contributions
Funding
Data Availability Statement
Conflicts of Interest
References
- Goman, M.; Zagainov, G.I.; Khramtsovsky, A.V. Application of bifurcation methods to nonlinear flight dynamics problems. Prog. Aerosp. Sci. 1997, 33, 539–586. [Google Scholar] [CrossRef]
- Nguyen, L.; Yip, L.; Chambers, J. Self-Induced Wing Rock of Slender Delta Wings. In Proceedings of the AIAA Atmospheric Flight Mechanics Conference, Albuquerque, NM, USA, 19–21 August 1981. AIAA Paper 81-1883. [Google Scholar]
- Ericsson, L. Wing rock analysis of slender delta wings, review and extension. J. Aircr. 1995, 32, 1221–1226. [Google Scholar] [CrossRef]
- Levin, D.; Katz, J. Self-induced roll oscillations of low-aspect-ratio rectangular wings. J. Aircr. 1992, 29, 698–702. [Google Scholar] [CrossRef]
- Katz, J. Wing/vortex interactions and wing rock. Prog. Aerosp. Sci. 1999, 35, 727–750. [Google Scholar] [CrossRef]
- Arena, A. An Experimental and Computational Investigation of Slender Wings Undergoing Wing Rock. Ph.D. Thesis, University of Notre Dame, Notre Dame, IN, USA, 1992. [Google Scholar]
- Arena, A.; Nelson, R. Experimental investigations on limit cycle wing rock of slender wings. J. Aircr. 1994, 31, 1148–1155. [Google Scholar] [CrossRef]
- Gursul, I. Unsteady flow phenomena over delta wings at high angle of attack. AIAA 1994, 32, 225–231. [Google Scholar] [CrossRef]
- Lambert, C.; Gursul, I. Characteristics of fin buffeting over delta wings. J. Fluids Struct. 2004, 19, 307–319. [Google Scholar] [CrossRef]
- Khrabrov, A.N.; Stoljarov, G.I.; Zhuk, A.N. Various regimes of wing rock oscillations for slender delta wing. TsAGI Sci. Notes 1993, 24, 4. (In Russian) [Google Scholar]
- Lee-Rausch, E.M.; Batina, J.T. Conical Euler Analysis and Active Roll Suppression for Unsteady Vortical Flows About Rolling Delta Wings; NASA Technical Paper 3259; NASA: Washington, DC, USA, 1993. [Google Scholar]
- Badcock, K.; Allan, M. Fast Prediction of Wing Rock Onset Based on Computational Fluid Dynamics. In Proceedings of the International Forum on Aeroelasticity and Structural Dynamics, Munich, Germany, 28 June–1 July 2005; pp. 1–19. Available online: http://www.cfd4aircraft.com/pub_files/IFASD-2005-KB.pdf (accessed on 5 December 2024).
- Chaderjian, N.M.; Schiff, L.B. Numercial Simulation of Forced and Free-to-Roll Delta-Wing Motions. J. Aircr. 1996, 33, 93–99. [Google Scholar] [CrossRef]
- Goman, M.; Zakharov, S.; Khrabrov, A. Aerodynamic hysteresis at stationary separated flow past slender bodies. Dokl. Akad. Nauk SSSR 1985, 282, 28–31. [Google Scholar]
- Arthur, M.; Allan, M.; Ceresola, N.; Kompenhans, J.; Fritz, W.; Boelens, O.; Prananta, B. Exploration of the Free Rolling Motion of a Delta Wing Configuration in Vortical Flow; Paper MP-AVT-123-14, NATO RTO; QinetiQ Ltd.: Farnborough, UK, 2004; pp. 1–16. [Google Scholar]
- Sereez, M.; Lambert, C.; Abramov, N.; Goman, M. Wing Rock Prediction in Free-to-Roll Motion Using CFD Simulations. In Proceedings of the 10th Aerospace Europe Conference: Joint 10th EUCASS–9th CEAS Conference, Lausanne, Switzerland, 9–13 July 2023. [Google Scholar]
- Da Ronch, A. Computation and Evaluation of Dynamic Derivatives using CFD. In Proceedings of the 28th AIAA Applied Aerodynamics Conference, Chicago, IL, USA, 28 June–1 July 2010. [Google Scholar]
- Ma, B.; Wang, Z.; Gursul, I. Symmetry breaking and instabilities of conical vortex pairs over slender delta wings. J. Fluid Mech. 2017, 832, 41–72. [Google Scholar] [CrossRef]
- Gursul, I. Recent developments in delta wing aerodynamics. Aeronaut. J. 2004, 108, 437–452. [Google Scholar] [CrossRef]
- Brown, C.; Michael, W. On Slender Delta Wings with Leading-Edge Separation; TN 3430; NACA, 1955. Available online: https://ntrs.nasa.gov/citations/19930084288 (accessed on 5 December 2024).
- Nelson, R.C.; Pelletier, A. The unsteady aerodynamics of slender wings and aircraft undergoing large amplitude maneuvers. Prog. Aerosp. Sci. 2003, 39, 185–248. [Google Scholar] [CrossRef]
- Hirano, M.; Miyaji, K. Numerical analysis of the free-to-roll wing rock motion by the fluid dynamics-flight dynamics coupling. In Proceedings of the 24th Internation Congress of the Aeronautical Sciences, Yokohama, Japan, 29 August–3 September 2004. [Google Scholar]
- Ghoreyshi, M.; Kim, A.D.H.; Jirasek, A.; Lofthouse, A.J.; Cummings, R.M. Validation of CFD simulations for X-31 wind-tunnel models. Aeronaut. J. 2015, 119, 479–500. [Google Scholar] [CrossRef]
- Arnold, V.I. Catastrophe Theory, 3rd ed.; Springer: Berlin/Heidelberg, Germany, 1992. [Google Scholar]
- Siemens Digital Industries Software. Simcenter STAR-CCM+, version 2021.1; Siemens Digital Industries Software: Plano, TX, USA, 2021.
- Sereez, M.; Abramov, N.; Goman, M. Investigation of Aerodynamic Characteristics of a Generic Transport Aircraft in Ground Effect Using URANS Simulations. In Proceedings of the RAeS Applied Aerodynamics Conference, London, UK, 13–15 September 2022. [Google Scholar]
- Sereez, M.; Goman, M.; Lambert, C. RANS Prediction of Aerodynamic Characteristics of CRM-HL Configuration Using OpenFOAM for the HLPW-5. In Proceedings of the AIAA SCITECH 2025 Forum, Orlando, FL, USA, 6–10 January 2025. [Google Scholar]
- Venkatakrishnan, V. On the Accuracy of Limiters and Convergence to Steady-State Solutions. In Proceedings of the 31st Aerospace Sciences Meeting, AIAA, Reno, NV, USA, 11–14 January 1993. [Google Scholar] [CrossRef]
- Menter, F.R. Two-equation eddy-viscosity turbulence models for engineering applications. AIAA J. 1994, 32, 1598–1605. [Google Scholar] [CrossRef]
- Goman, M.; Khrabrov, A.; Khramtsovsky, A. Chaotic Dynamics in a Simple Aeromechanical System. In Fractal Geometry. Mathematical Methods, Algorithms, Applications; Horwood Publishing Ltd.: Chichester, UK, 2002. [Google Scholar]



















| Density of duralumin, | 2780 kg/m3 |
| Wing span, b | m |
| Root chord length, | m |
| Reference area, | m2 |
| Moment reference center, (m) | |
| Moment of inertia I (kg m2) | , |
Disclaimer/Publisher’s Note: The statements, opinions and data contained in all publications are solely those of the individual author(s) and contributor(s) and not of MDPI and/or the editor(s). MDPI and/or the editor(s) disclaim responsibility for any injury to people or property resulting from any ideas, methods, instructions or products referred to in the content. |
© 2025 by the authors. Licensee MDPI, Basel, Switzerland. This article is an open access article distributed under the terms and conditions of the Creative Commons Attribution (CC BY) license (https://creativecommons.org/licenses/by/4.0/).
Share and Cite
Sereez, M.; Goman, M.; Abramov, N.; Lambert, C. Numerical Simulation of Self-Sustained Roll Oscillations of an 80-Degree Delta Wing Caused by Leading-Edge Vortices. Aerospace 2025, 12, 197. https://doi.org/10.3390/aerospace12030197
Sereez M, Goman M, Abramov N, Lambert C. Numerical Simulation of Self-Sustained Roll Oscillations of an 80-Degree Delta Wing Caused by Leading-Edge Vortices. Aerospace. 2025; 12(3):197. https://doi.org/10.3390/aerospace12030197
Chicago/Turabian StyleSereez, Mohamed, Mikhail Goman, Nikolay Abramov, and Caroline Lambert. 2025. "Numerical Simulation of Self-Sustained Roll Oscillations of an 80-Degree Delta Wing Caused by Leading-Edge Vortices" Aerospace 12, no. 3: 197. https://doi.org/10.3390/aerospace12030197
APA StyleSereez, M., Goman, M., Abramov, N., & Lambert, C. (2025). Numerical Simulation of Self-Sustained Roll Oscillations of an 80-Degree Delta Wing Caused by Leading-Edge Vortices. Aerospace, 12(3), 197. https://doi.org/10.3390/aerospace12030197

