Next Article in Journal
Cost-Effective Satellite Ground Stations in Real-World Development for Space Classrooms
Previous Article in Journal
Residual Stress Distribution and Its Effect on Fatigue Crack Path of Laser Powder Bed Fusion Ti6Al4V Alloy
 
 
Font Type:
Arial Georgia Verdana
Font Size:
Aa Aa Aa
Line Spacing:
Column Width:
Background:
Article

Desired Impact Time Range Analysis Using a Deep Neural Network

1
School of Aerospace Engineering, Beijing Institute of Technology, Beijing 100081, China
2
Northwest Industries Group Company Ltd., Xi’an 710043, China
*
Author to whom correspondence should be addressed.
Aerospace 2025, 12(2), 104; https://doi.org/10.3390/aerospace12020104
Submission received: 10 January 2025 / Revised: 28 January 2025 / Accepted: 28 January 2025 / Published: 30 January 2025
(This article belongs to the Section Aeronautics)

Abstract

This paper proposes a desired impact time feasible region estimation model based on a deep neural network. First, a specific multi-constraint guidance law is derived, and the terminal command deviations caused by conventional calculation methods are analyzed. Second, a binary search method is employed to determine the desired impact time range, and samples are collected under various conditions. Next, parameters related to the desired impact time range are analyzed for their sensitivity to identify their influence, thereby improving computational accuracy and reducing sample size. Finally, the accuracy of the proposed method is validated through simulations. Compared with conventional approaches, the DNN-based model demonstrates higher accuracy and provides robust support for simultaneous multi-target engagement.

1. Introduction

High-value battleships equipped with advanced self-defense systems pose significant challenges for single aircrafts in one-on-one engagements [1,2,3]. To overcome these challenges, technologies for simultaneous attacks on stationary targets have rapidly evolved [4,5,6,7,8,9,10]. These developments emphasize the need for advanced methodologies capable of addressing multiple operational constraints effectively.
Impact time control guidance (ITCG) for simultaneous attacks on stationary targets by anti-ship aircrafts has been developed using a linearized aircraft-target relative motion model and the optimal control theory outlined in [11]. A cooperative guidance law with a variable navigation coefficient was proposed by modifying the navigation coefficient of the proportional navigation law to ensure consistent impact times across multiple aircrafts in [5]. In ITCG, the foundation for simultaneous attacks lies in the predetermined desired impact time. Under minimal constraint conditions, the traditional method of dividing distance by speed to calculate the minimum desired impact time is sufficient to meet the operational requirements. However, during flight, aircrafts often face constraints, such as limited field of view (FOV) and maneuverability, which are inadequately addressed by the previous methods. Consequently, earlier studies incorporated additional constraints, including impact time, to achieve cooperative aircraft guidance under multiple operational conditions [12,13,14]. Despite these advancements, the increasing complexity of these models due to added constraints has made it challenging to develop precise methods for accurately determining the desired impact time range. This underscores the need for efficient approaches to manage such complexities.
The impact of time-to-go errors on the performance of the optimal guidance law was analyzed in [15], highlighting several key parameters that significantly influence terminal errors during simultaneous attacks on stationary targets. These parameters include guidance gain, flight time, the magnitude of time-to-go estimation errors, and initial homing conditions. Simulations further revealed that the desired impact time range is influenced by these key parameters and that a mapping relationship exists among them. The mapping problem refers to establishing a functional relationship between the input data and output outcomes—a task in which deep neural networks [16,17,18,19] (DNNs) excel by adaptively learning such mappings through parameter optimization. Leveraging DNNs offers a robust means to address the challenges posed by complex models, providing accurate and reliable predictions for a desired impact time range.
Articulating the mapping relationship among multiple input parameters presents significant challenges due to the increase in the computational demand and training volume caused by numerous input dimensions. Dimensionality reduction becomes essential to maintain computational efficiency. Traditional data collection methods [20] often exacerbate computational burden while reducing overall efficiency. Furthermore, neglecting an input parameter impact analysis can lead to overfitting. To address these challenges, this paper proposes a DNN-based approach to efficiently calculate the desired impact time range while accounting for key influencing parameters. A sensitivity analysis is conducted to evaluate the impact of each parameter, ensuring that critical factors are prioritized during sample construction. If a parameter is found to have a significant influence, larger intervals can be utilized during sample construction, reducing the sample size and simplifying network training without compromising the precision. Additionally, a binary search method is employed to streamline the sample collection process, enhancing the computational efficiency and reducing the training time. The subsequent sections provide a comprehensive analysis of critical parameters, sample collection strategies, DNN training procedures, and the benefits of the proposed approach, followed by simulation results and conclusions.
The main contributions of this paper are twofold:
(1)
The proposed DNN-based method enables the precise determination of the desired impact time range for each aircraft before simultaneous engagement, based on initial conditions. This allows the feasibility assessment of the given impact time prior to launch and provides rational alternatives if the original impact time is infeasible, ensuring mission success. This approach also introduces a flexible framework that can be easily adapted to different dynamic environments and mission parameters, enhancing its practical applicability.
(2)
To efficiently determine the desired impact time range, a binary search algorithm is employed, which significantly reduces the computational complexity and processing time compared to traditional fixed-step methods. A sensitivity analysis is also conducted to maintain accuracy while reducing the data volume, accelerating training, and lowering costs. Additionally, the method’s ability to perform real-time predictions with minimal computational resources makes it ideal for onboard deployment in dynamic systems.
The remainder of this paper is organized as follows: The next section provides a detailed analysis of the key parameters influencing the impact time range. Section 3 introduces the process of obtaining samples through a binary search and analyzes the sensitivity of each parameter. Section 4 outlines the detailed DNN training process. Section 5 discusses the advantages of the proposed method, validates it through simulations, and presents the conclusions.

2. Problem Formulation

This paper addresses the problem of guiding an aircraft to intercept a target within a specified impact time. The problem involves several constraints, including the initial state of the aircraft, maneuvering capabilities, and desired engagement conditions. The objective is to develop a guidance law that satisfies these requirements while minimizing the miss distance and ensuring effective interception. Specifically, the desired impact time must be achievable under the presented physical and operational constraints, such as acceleration limits and initial positioning. This section introduces the nonlinear dynamics model of aircraft engagement and the impact time guidance law in three-dimensional (3D) space.

2.1. Prerequisites and Background

The interaction geometry in 3D space is illustrated in Figure 1. In this diagram, (X, Y, Z) represents the inertial reference frame, which is used to define the positions of the surface-launched aircraft and the surface target. The parameters θ M and ϕ M denote the velocity lead angles of the anti-ship missile, where θ M corresponds to the pitch direction and ϕ M refers to the yaw direction, as shown in Figure 1. The parameters θ L and ϕ L represent the Line of Sight (LOS) angles between the aircraft (denoted as M) and the target (denoted as T) in the inertial reference frame. This paper assumes a stationary target, and the effects of relative disturbances between the aircraft and the target are not considered. The focus is on estimating the feasible region under these simplified conditions to establish a foundational model. Specifically, θ L corresponds to the LOS angle in the azimuth direction, while ϕ L represents the LOS angle in the elevation direction. Additionally, the parameter V indicates the velocity, and the range between M and T is denoted as R.
Figure 1 illustrates the 3D nonlinear engagement kinematics by depicting the relationship between aircraft positioning, velocity vectors, and the Line of Sight (LOS). The nonlinear characteristics arise from the interaction of these vectors in 3D space, where variations in the LOS angle, combined with aircraft maneuverability constraints, lead to complex dynamic behavior. The equations derived from Figure 1 can be utilized to represent the 3D nonlinear engagement kinematics as described [21]
R ˙ = V cos ϕ M cos θ M
θ ˙ L = V sin θ M R
ϕ ˙ L = V sin ϕ M cos θ M R cos θ L
θ ˙ M = a z V + V cos θ M tan θ L sin 2 ϕ M R + V cos ϕ M sin θ M R
ϕ ˙ M = a y V cos θ M V sin θ M tan θ L cos ϕ M sin ϕ M R + V sin ϕ M R cos θ M × sin 2 θ M + V sin ϕ M cos θ M R
where a y and a z denote the acceleration components of M in the yaw and pitch directions, respectively.
The objective of guidance is to determine maneuvering commands that ensure the convergence of the zero-effort miss, enabling the aircraft to intercept the desired target. This requires that the seeker’s look angle, σ , remains within its maximum allowable value, σ max . The terminal seeker’s look angle can be expressed as σ t f = 0 , where the notation tf represents the final time. For simultaneous attacks on stationary targets, it is essential to consider the impact time constraint in addition to other factors. Thus, the final time tf is equal to the desired impact time td
The 3D guidance law was widely utilized in [21]. Therefore, this guidance law is selected as the subject of study in this paper. Moreover, the method proposed in this paper is generalizable and can be applied to other impact time guidance laws, a
a = N V 2 R sin σ + K ρ σ / σ max ( 2 N 1 ) V 2 R t go sin σ ε t i a
where t g o represents the time to go. N denotes the navigation gain and K represents a positive guidance gain that governs the convergence pattern of ε. Additionally, ε is an error threshold used to ensure convergence at the terminal phase of the trajectory. ρ ( x ) is a user-defined function to shape the velocity angle and satisfies the following condition. i a represents the unit vector that indicates the commanded acceleration direction in the velocity frame and can be written as
i a = 0 , sin ϕ M / sin σ , sin θ M cos ϕ M / sin σ T
The proposed method can be generalized to other impact time guidance laws due to its flexibility in accommodating various forms of impact time adjustments. The nonlinear control scheme for the objective parameters (0, a y , a z ) is based on a dynamic feedback mechanism that incorporates real-time adjustments to the control inputs. Specifically, a y , a z represent the lateral and vertical accelerations, ensuring stability and robustness against external disturbances. Moreover, the scheme dynamically adjusts the trajectory to minimize the impact time error while maintaining the guidance constraints. The parameter 0 serves as the baseline for initialization in the dynamic model, providing consistent reference values throughout the guidance process. Whether using linear or nonlinear guidance laws, the adaptability of the proposed DNN-based method allows for its application across various scenarios, ensuring robustness in achieving coordinated impacts. Equation (6) is critical for defining the multi-constraint guidance law utilized in this study. Among them, ρ ( x ) and t g o can be described as [9]
ρ x = cos π x n 2
t g o = R V 1 + sin 2 σ 2 ( 2 N 1 )
Importantly, t d cannot be arbitrarily large due to the limited FOV of the seeker. Consequently, the feasible range of the achievable impact time is typically expressed as a range over velocity, as shown in [5,6]:
t d R 0 V , R 0 V cos σ max
where R0 represents the initial distance between M and T.
In Equation (10), the relationship involves only R0, V, and σ max , representing a simple mapping. However, it is evident that the size of the initial lead angle determines the range, and the acceleration capacity cannot be neglected. To verify the accuracy of this study, a mathematical experiment was performed, and the initial conditions are presented in Table 1.
The positive guidance gain, K, was chosen based on the condition K − 1 > 2N, as suggested in [21]. With N = 3, K = 8 was selected to satisfy the zero final guidance command criterion. For subsequent simulations, the positive guidance gain was set to 8, and further explanations regarding this choice will not be provided. The permissible lead angle was set to σ max = 40 ° , ensuring that the aircraft could perform necessary maneuvers without imposing excessive stress on the airframe, which could compromise safety or structural integrity. As calculated by Equation (10), t d [33.9411 s, 44.3069 s]. In the simulations, t d = 43 s was chosen. The simulation results are presented in Figure 2.
The oscillations observed in Figure 2b during the 41–43 s interval are caused by the high navigation gain in the guidance law, which induces transient instabilities in the acceleration command. However, these oscillations do not significantly impact the trajectory, as illustrated in Figure 2a. While Figure 2a demonstrates that the aircraft successfully hits the target, Figure 2b shows oscillations in the acceleration command. These oscillations primarily stem from the nonlinear dynamics inherent in the guidance law described by Equation (6). Specifically, the combination of a high navigation gain N and rapid changes in control inputs tends to introduce overshooting behavior, resulting in oscillations in the acceleration command. This is a well-known phenomenon in nonlinear control systems, where high responsiveness can lead to unstable or oscillatory control signals if not adequately damped. The nonlinear feedback loop characteristics arise from the interaction of high navigation gain, rapid control input changes, and system constraints, such as limited maneuverability and maximum allowable acceleration ( a y max , a z max ). These factors collectively result in the observed oscillatory behavior in the acceleration command. In this case, the structure of the guidance law, combined with system constraints, leads to the oscillatory behavior. It should be emphasized that these oscillations are not a result of computational inaccuracies but are intrinsic to the characteristics of the nonlinear feedback loop.
Chattering refers to high-frequency oscillations in the control input, characterized by rapid switching between maximum acceleration commands. This phenomenon arises from high navigation gain and insufficient damping in the nonlinear feedback loop, which can lead to instability in control signals and negatively impact system performance. In the context of the proposed guidance system, chattering occurs due to high gains in the control loop or insufficient damping, resulting in instability in the control signal. It is typically manifested as repeated alternation between maximum acceleration commands, indicating that the system struggles to maintain a stable trajectory toward the desired impact time. To address this issue, a first-order inertial element is introduced based on the simulation conditions. The time constant was set to Ts = 0.3 s. The simulation results are presented in Figure 3.
Figure 3 demonstrates that the guidance law is impractical when considering the dynamics of the aircraft, and its performance deteriorates significantly. Figure 3b shows that while the acceleration command is non-oscillatory, the aircraft fails to hit the target accurately. Additionally, Figure 3a indicates a miss distance of 75 m. This situation suggests that the aircraft would miss the target in practical scenarios, highlighting that the results calculated using Equation (10) are inaccurate.

2.2. Characteristics of the Range of the Desired Impact Time

The proposed guidance law is developed under the following key assumptions: (1) Ideal Control System: Actuators and control surfaces are assumed to operate without significant mechanical failures or degradation, ensuring that the aircraft can respond promptly to guidance commands. (2) Minimal Sensor Delay: Sensor data are assumed to be available with negligible delay, enabling real-time corrections and ensuring effective operation of the feedback control loop. (3) Moderate External Disturbances: The environment is assumed to impose only moderate disturbances, such as mild wind effects, which can be managed without significantly compromising the guidance accuracy. Based on the nonlinear engagement kinematics in Equations (1)–(5) and the guidance law in Equation (6), it was found that determining the range of the desired impact time is a complex, nonlinear problem with various initial conditions and no analytical solution. The complexity and nonlinearity of the desired impact time range arise from the interaction of multiple factors, including aircraft speed, maneuver constraints, and varying engagement angles. These factors interact in a nonlinear manner, making the prediction and synchronization of impact times a challenging task. Specifically, aircraft maneuverability directly affects the rate at which the desired impact time can be adjusted, while varying engagement angles introduce additional complexity. Consequently, it is not feasible to directly compute the desired impact time range using Equation (10). However, it is observed that different initial states (The initial conditions for each variable, namely x 0 , y 0 , z 0 , θ M , 0 , ϕ M , 0 ) correspond to different ranges, indicating a mapping relationship between the initial state and the desired impact time range, which will be demonstrated further.
t d r a n g e = f ( x 0 , y 0 , z 0 , θ M , 0 , ϕ M , 0 , a y max , a z max , σ max )
Equation (11) is utilized to determine the desired impact time range prior to the launch. The desired impact time range also can represent the infimum value (inf (td)) and supreme (sup (td)) value of feasible td. The inputs to this equation include the initial state of the aircraft, acceleration capacity, and other mission-specific constraints. These calculations are designed to guide the planning phase before flight initiation, ensuring that the desired parameters are feasible within the system’s capabilities. Unlike the equations used in real-time control systems, Equation (11) is not part of the continuous feedback process during flight. Instead, it provides a preliminary estimation of feasible impact times based on the static conditions available at launch. Consequently, there is no requirement for an update rate, as this calculation is performed once, prior to the flight, and remains fixed. However, increasing the number of input dimensions necessitates more data and greater training volume, making the dimensionality reduction of inputs essential. This not only reduces the computational burden, but also lowers costs. σ M , 0 can be represented by θ M , 0 and ϕ M , 0 . In relative motion, the absolute position (x0, y0) is replaced by the relative position, and the circle radius is expressed as r = x 2 + y 2 .
Then, the mapping of Equation (11) is modified to
t d r a n g e = f ( r , z 0 , σ M , 0 , a y max , a z max , σ max )
Compared to Equation (11), Equation (12) offers several advantages, including reducing the input variable vector dimensions from 8 to 6. This reduction decreases the computational load required for building the database. Consequently, relative motion mapping (Equation (12)) is adopted in this study instead of absolute mapping (Equation (11)). During the mission planning stage, Equation (12) is used to calculate the desired impact time range based on pre-launch data. Once the aircraft is in flight, real-time control laws rely on other dynamic feedback mechanisms that continuously adapt to changing conditions. This distinction ensures that pre-launch calculations, such as those provided by Equation (12), remain fixed, offering a stable reference. Meanwhile, in-flight controls adapt to the real-time data to ensure successful target engagement.

3. Desired Impact Time Range Model

The motivation for introducing Equation (12) is to explicitly link the feasibility of achieving a specific impact time to the physical constraints imposed by the aircraft’s maneuverability. The acceleration capacity, defined as the maximum allowable acceleration, directly limits the feasible range of control inputs, which subsequently determines the possible trajectories the aircraft can follow to achieve the desired impact time. This underscores the critical role of acceleration capacity in ensuring that the aircraft can reach the target within a specified time frame while adhering to physical limitations.
By reformulating the explanation, the aim is to provide a clearer understanding of why Equation (12) is essential for predicting the desired impact time range and how it directly stems from the physical and operational constraints on aircraft control. The FOV plays a critical role in the ITCG law.

3.1. Binary Search

(1)
Monotonicity description
From Equations (1)–(5) and Equation (6), it can be concluded that the feasibility of achieving a desired impact time is influenced by several key parameters, such as the acceleration command curve and the miss distance. To properly formulate this engagement problem, an approach similar to that described in [22] is adopted, where the dynamic behavior of the aircraft, combined with control constraints, is thoroughly analyzed to determine the feasibility of specific impact times. By analyzing these equations, it can be assessed whether the desired impact time aligns with the physical constraints of the system. However, it is not possible to directly determine the feasible range of the desired impact time, and an accurate determination of this range is crucial for ensuring sample quality. The traditional method involves using a fixed step size when the desired impact time is known. A constant step size is incrementally added to or subtracted from the desired impact time in a cyclic manner until the desired impact time becomes infeasible, thus determining the feasible range. While a larger step size reduces computation time, it compromises the precision of the feasible range. Conversely, a smaller step size increases the precision but significantly extends the computation time. As a result, the fixed-step-size method is not suitable for determining the feasible range of the desired impact time.
Clearly, this problem exhibits monotonicity, for which the binary search algorithm offers significant advantages. To address the feasible range problem of the desired impact time, the binary search algorithm can be employed as a solution. The monotonicity of the problem is explained below. The method developed is the control variate method. Using this method, one variable can be selected while the other parameters are fixed. To verify this hypothesis, numerical simulations were conducted across a range of initial conditions. A simulation demonstration was performed for this problem, with σ max selected as the variable. The other parameters were fixed, and their values are presented in Table 2.
For σ max , the interval range is selected as [40°, 50°], with values chosen every 2°. For σ 0 , the interval range is selected as [10°, 20°], with values chosen every 2°. Taking sup( t d ) as an example, the trend is illustrated in Figure 4.
Figure 4 illustrates the variation in td with respect to the changes in the initial conditions. The results indicate that td decreases in a near-linear manner as σ max and σ 0 increase, supporting the argument for a monotonic relationship. The consistency of this trend across multiple scenarios further highlights the robustness of the proposed guidance strategy.
(2)
Binary search solution
According to Figure 2, when the selected impact time falls outside a reasonable range, a divergence phenomenon occurs in the later stages of the acceleration command curve, while this phenomenon does not occur within the boundaries. Based on this observation, sup( t d ) and inf( t d ) can be determined. Although traditional methods, such as fixed-step approaches, can also obtain boundary values, they involve significant computational workloads and long processing times. The binary search technique was selected for its simplicity and robust convergence properties. For this problem, where the objective is to determine a feasible impact time within a bounded and potentially unimodal solution space, the binary search provides an efficient method with logarithmic complexity to narrow down the solution range. This approach ensures a balanced trade-off between precision and computational cost, making it highly suitable for our application.
Compared to traditional fixed-step methods, the binary search algorithm reduces the computational complexity and accelerates convergence. It is particularly effective in identifying the desired impact time range within a predefined interval, as it systematically narrows down possible values through successive halving, leading to efficient and accurate results. The primary difficulty in applying the binary search lies in determining the starting point, the ending point, and the search direction. The acceleration command curve indicates that when the desired impact time is inappropriate, a divergence phenomenon occurs in the later stage of the curve, characterized by oscillations between maximum acceleration commands. Due to the nature of the guidance law, this phenomenon does not occur at other times. Thus, determining whether the acceleration command reaches its maximum value provides a basis for judging feasibility.
Taking the upper limit of the feasible range as an example, if divergence occurs around the median value, it indicates that the upper limit is less than the median value, and the search must continue to the left. Conversely, if no divergence occurs around the median value, it indicates that the upper limit is greater than the median value, and the search must continue to the right. This process continues until the upper limit is identified. Regarding the selection of the starting and ending points, the starting point can be any feasible desired impact time, while the ending point can be set to a larger value. However, the choice of the ending point affects the search time to some extent. The flow chart of the binary search algorithm is shown in Figure 5.

3.2. Sensitivity Analysis

Sensitivity analysis is frequently employed to examine the stability of the optimal solution when the original data are inaccurate or when model parameters or system input constraints change. Specifically, sensitivity analysis helps assess how the optimal solution responds to variations in input parameters, such as changes in the boundary conditions, initial states, or acceleration capacity. In this paper, sensitivity analysis is conducted to evaluate how the variations in input parameters influence the impact time range. This analysis ensures that the model prioritizes the most critical parameters, thereby improving the efficiency and reducing the computational costs.
In the previous section, it was determined that the problem exhibits monotonicity, but the impact of individual parameters on the impact time range was not specified. Therefore, this section primarily focuses on analyzing how parameter changes in Equation (12) affect the impact time range. According to the derivation above, it is not difficult to derive an analytical solution for the impact time range. To analyze the sensitivity of each parameter, the influence of variations in each parameter on the impact time range can be evaluated through simulation verification.
Before conducting the simulation verification, the boundary of each dimension is first specified. Parameters that are excessively large or small may deviate from actual conditions and only increase the number of simulations without significantly impacting the results. Second, the parameters are categorized as follows: r , z 0 is a distance parameter, a y max , a z max is a control capability parameter, σ M , 0 is a parameter related to the initial angle, and σ max is a parameter related to the FOV constraint. The advantage of parameter categorization is that only one parameter from each category needs to be examined in the sensitivity analysis, as similar parameters have comparable influence levels. Finally, the database is established. The ranges of the parameters are as follows: r , z 0 ( 5400 , 7200 ) m , σ M , 0 ( 10 , 20 ) deg, σ max ( 40 , 50 ) deg, and a y max , a z max (70, 160) m/s2.
First, the sensitivity of r , z 0 is analyzed. Taking r as an example, the remaining dimensions are divided into three levels, labeled as ISV1, ISV2, and ISV3. The corresponding parameter values are as follows: (10°, 10°, 40°, 70 m/s2, 70 m/s2), (14°, 14°, 44°, 110 m/s2, 110 m/s2), and (20°, 20°, 50°, 160 m/s2, 160 m/s2). These three groups of parameters represent the lower limits, medians, and upper limits. Taking inf( t d ) as an example, simulations are performed for these three cases, and the results are shown in Figure 6.
As shown in Figure 6, regardless of the value, changes in r have a relatively significant impact on inf( t d ), indicating high sensitivity. Since the change trend is relatively smooth, the sample selection interval should be small.
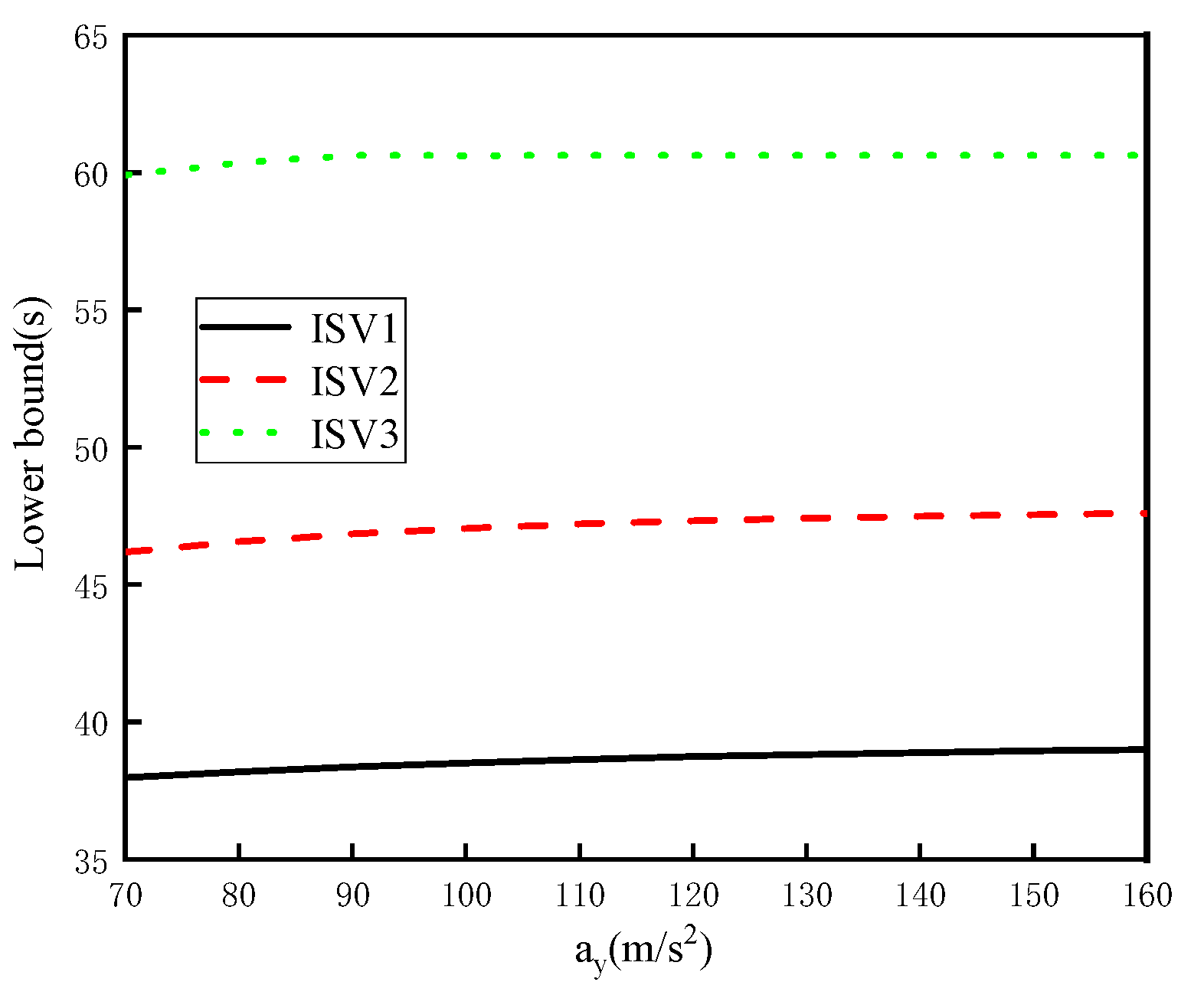
Second, the sensitivity of a y max , a z max is analyzed. Taking a y max as an example, the remaining dimensions are divided into three levels, labeled as ISV1, ISV2, and ISV3. The corresponding parameter values are as follows: (5400 m, 5400 m, 10°, 40°, 40°), (6200 m, 6200 m, 14°, 44°, 44°), and (7200 m, 7200 m, 20°, 50°, 50°). These three groups of parameters represent the lower limits, medians, and upper limits. Taking inf( t d ) as an example, simulations are performed for these three cases, and the results are shown in Figure 7.
As shown in Figure 7, regardless of whether it is the lower limit, median, or upper limit, the influence of changes in a y max on inf ( t d ) is relatively small, indicating low sensitivity. Since the change trend is relatively smooth, the sample selection interval should be large.
Third, the sensitivity of σ M , 0 is analyzed. The remaining dimensions are divided into three levels, labeled as ISV1, ISV2, and ISV3. The corresponding parameter values are as follows: (5400 m, 5400 m, 40°, 70 m/s2, 70 m/s2), (6200 m, 6200 m, 44°, 110 m/s2, 110 m/s2), and (7200 m, 7200 m, 50°, 160 m/s2, 160 m/s2). These three groups of parameters represent the lower limits, medians, and upper limits. Taking inf( t d ) as an example, simulations are performed for these three cases, and the results are shown in Figure 8.
As shown in Figure 8, regardless of whether it is the lower limit, median, or upper limit, the influence of changes in σ M , 0 on inf( t d ) is relatively small, indicating low sensitivity. Since the change trend is relatively smooth, the sample selection interval should be large.
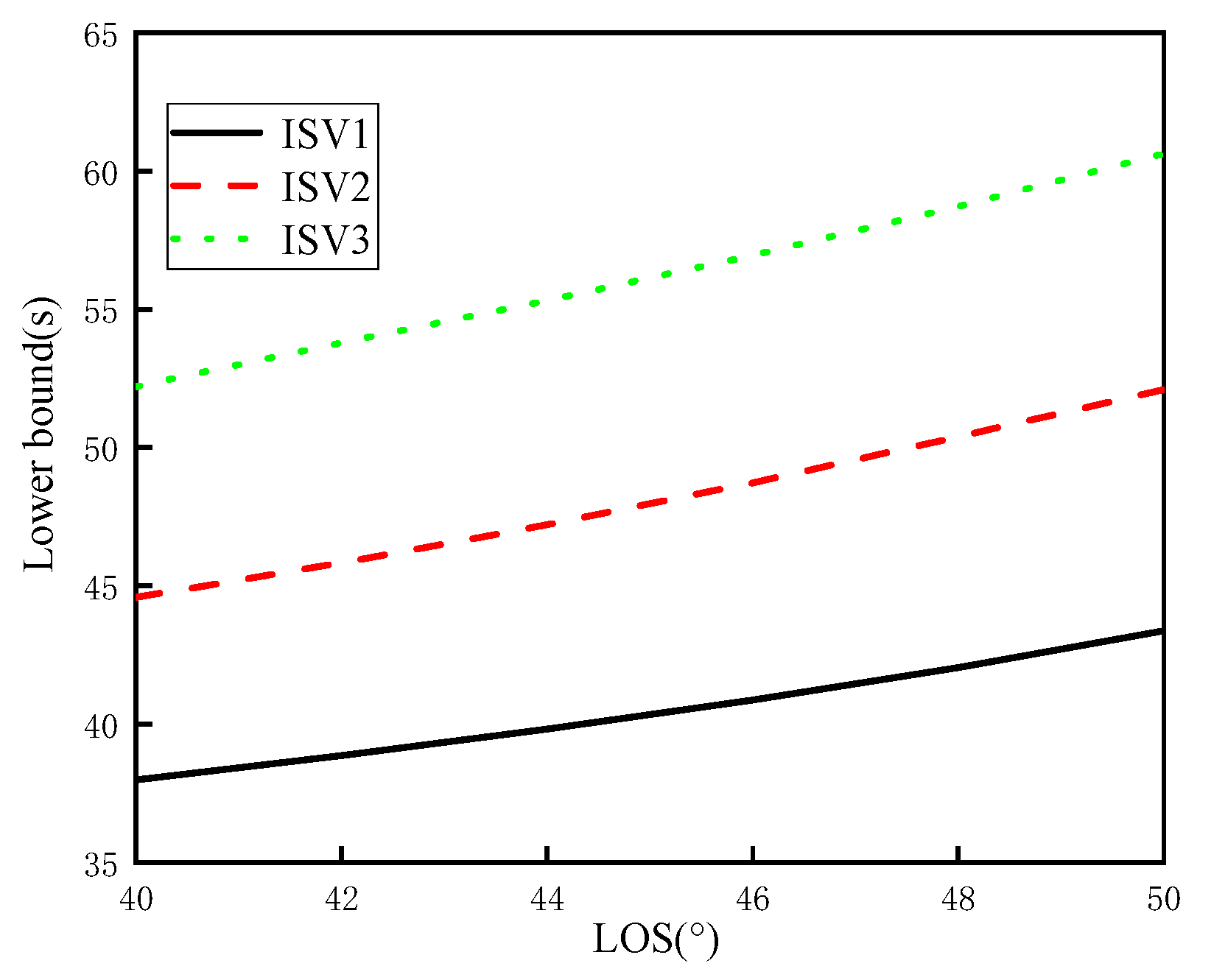
Finally, the sensitivity of σ max is analyzed. The remaining dimensions are divided into three levels, labeled as ISV1, ISV2, and ISV3. The corresponding parameter values are as follows: (5400 m, 5400 m, 10°, 70 m/s2, 70 m/s2), (6200 m, 6200 m, 14°, 110 m/s2, 110 m/s2), and (7200 m, 7200 m, 20°, 160 m/s2, 160 m/s2). These three groups of parameters represent the lower limit, median value, and upper limit of the value. Taking inf( t d ) as an example, simulations are performed for these three cases, and the results are shown in Figure 9.
As shown in Figure 9, regardless of whether it is the lower limit, median, or upper limit, changes in σ max have a relatively significant impact on inf( t d ), indicating high sensitivity. Since the change trend is relatively smooth, the sample selection interval should be small.
In conclusion, the sensitivities of σ M , 0 , a y max , and a z max are low, whereas those of σ max , r, and z 0 are high. The analysis above provides the basis for establishing sample distribution equilibrium analysis. Based on the analysis results, representative data can be selected as inputs. This approach ensures accuracy while reducing the sample size, thereby saving training time. Therefore, in this paper, r , z 0 are sampled every 100 m, σ M , 0 every 1°, a y max , a z max every 10 m/s2, and σ max every 0.5°.

4. Training Desired Impact Time Range Model

A neural network is a powerful mathematical tool with strong nonlinear fitting capabilities. In this study, a DNN is utilized to learn the relationship between t d r a n g e and the current state.

4.1. DNN Architecture

A DNN architecture with varying layers and a different number of neurons in each layer is considered [23,24], as shown in Figure 10.
Figure 10 illustrates that the designed DNN consists of an input layer, a hidden layer, and an output layer. The transmission of data between two adjacent layers is achieved through weighted connections, which can be expressed as shown in [16].
σ = f i = 1 n d i ω i + δ
The rectified linear unit (ReLU) is adopted as the activation function for both the input and hidden layers. This choice offers several advantages, including the simplification of the calculation process, prevention of gradient vanishing, and faster network training. The mathematical expression is as follows:
f ( d ) = max ( 0 , d )
and the loss function is
E σ , σ ^ = i = 1 n σ σ ^ 2 n

4.2. Offline Training

All network training was continued until convergence using the stochastic gradient descent. If the error exceeds the preset threshold, error backpropagation needs to be performed, as shown in [22].
Δ ω h j = η E k ω h j
According to the chain rule, Equation (16) is
E k ω h j = E k σ ^ j k σ ^ j k β j β j ω h j
where β j is i = 1 q x h ω h j and q is the number of neurons in the hidden layer. Using the formula above, ω h j can be updated as follows:
ω h j + 1 = ω h j η × E k ω h j
The training process of the DNN is essentially a continuous optimization of the network parameters using the backpropagation and gradient descent algorithms above to minimize the sum of squared errors. During DNN training, the Adam optimizer adaptively adjusts these parameters.
In addition to the DNN, other machine learning models, such as Support Vector Machines (SVMs), Decision Trees, and Random Forests have been applied to similar impact time prediction tasks. Each of these models possesses its own advantages and limitations when applied to complex, multi-constraint environments.
SVMs are well-known for their robust performance in binary classification problems. However, their scalability is a significant drawback, particularly for large, high-dimensional datasets like those used in this study. In our experiments, the SVMs required substantial computational resources and struggled to capture the intricate nonlinear relationships present in the dataset, resulting in lower accuracy compared to DNNs. Decision Trees are simple and interpretable, which makes them appealing for various applications. However, they tend to overfit the training data, especially in scenarios with multiple interacting constraints. In our context, Decision Trees provided reasonably fast predictions but lacked the precision needed for accurate impact time estimation under diverse initial conditions. Random Forests, an ensemble method based on Decision Trees, offer improved accuracy and generalization. However, they are computationally intensive when handling the volume and complexity of our data, which adversely affects their efficiency. Additionally, they are less effective than DNNs in capturing complex nonlinear dependencies, leading to reduced performance in predicting precise impact times.
Based on these comparisons, the DNN was validated as the most suitable model for impact time prediction in the context of this study, offering a balance between accuracy and computational feasibility that other methods could not achieve. The technical architecture of this study is illustrated in Figure 11.
Figure 11 presents the overall technical architecture of this study, outlining the workflow from data preprocessing, sensitivity analysis, and binary search sampling to DNN training and testing. The offline training phase involves data collection and model training, while the deployment phase refers to applying the trained model in practical scenarios. This architecture was designed to optimize data representation and improve model performance. Its modularity allows for future extensions to other guidance scenarios.

5. Simulation Results

In this section, the advantages of the method proposed in this paper are demonstrated through four scenarios. First, the accuracy of the DNN is validated. Second, by applying the trained model to the problem of obtaining the desired impact time range, it is shown that the DNN model achieves high accuracy, further substantiated through Monte Carlo simulations. Third, comparative simulations demonstrate that the DNN model outperforms traditional methods in terms of accuracy. Finally, a detailed substantiation of its application to simultaneous multi-target engagement is provided.

5.1. Fitting Accuracy of the DNN

The network incorporates three hidden layers, each consisting of 50 neurons, with a learning rate of 0.001. The simulation results are divided into a training set and a test set, both normalized. To verify the effectiveness of the results following sensitivity analysis, the training outcomes under two different scenarios are presented first, as shown in Figure 12.
Training stops when the loss function reaches 0.00001 or after 5000 iterations. According to Figure 12, with sensitivity analysis, the loss significantly reduces by the 45th generation, indicating earlier convergence compared to the 172nd generation without sensitivity analysis. Training concludes at the 315th generation with sensitivity analysis, whereas without it, training extends to the 1136th generation due to overfitting. The similar loss values of approximately 0.01 in both the training and testing sets confirm that sensitivity analysis not only ensures accuracy, but also accelerates training, reducing both the data volume and cost. The simulation results of the verification set are shown in Figure 13.
A total of 700 samples were selected for analysis. Figure 13a depicts the desired and predicted values, while Figure 13b shows the errors between these values. Figure 13 illustrates that the predicted values align closely with the desired values, with a mean square error of approximately 0.001. The high fitting accuracy of the neural network demonstrates its suitability as a model for predicting desired impact times. To further substantiate this choice, additional experiments were conducted to compare the performance of the SVM, Decision Trees, Random Forests, and DNNs using the same dataset. The comparison results are shown in Figure 14 and Table 3.
Figure 14 and Table 3 indicate that the DNN achieved the highest prediction accuracy with the lowest error rates. Figure 14 illustrates the learning curves and prediction errors of these models, further highlighting the superior performance of the DNN in both training efficiency and predictive capability.

5.2. Performance Analysis of the Model

In this section, the accuracy of the trained model is verified. The aircraft is initially located at (9000 m, 9000 m, 0 m), and the target is located at (0 m, 0 m, 0 m). For simplicity, the initial condition is set to (x, y, 0) to focus on validating the proposed method in a 2D scenario. Extending this approach to a 3D flight trajectory (x, y, z) would require the additional consideration of vertical dynamics. However, the methodology, including sensitivity analysis, binary search, and DNN training, is inherently applicable to 3D scenarios and can handle the added dimensionality without significant limitations. ρ x = cos π x 5 / 2 demonstrates the model’s robustness against noise. Other initial conditions are shown in Table 4.
Through the trained model, t d is determined to be within the range [42.92 s, 64.01 s]. Therefore, t d = 44 s, 46 s, 48 s, or 50 s is selected. The simulation results are presented in Figure 15.
Selecting a point every two seconds provides a more comprehensive demonstration of the accuracy of the desired impact time range, the small miss distance, and the absence of divergence in the acceleration command within the desired range.

5.3. Monte Carlo Analysis of the Proposed Method

To comprehensively evaluate the performance of the proposed method under diverse conditions, Monte Carlo simulations were conducted with random initial conditions. The target was located at (0 m, 0 m, 0 m), and the aircraft’s velocity remained constant at 250 m/s. Other initial conditions are provided in Table 5.
Within the specified range, 100 Monte Carlo experiments were conducted. Using the error of sup( t d ) as an example, the Monte Carlo simulation results are shown in Figure 16.
Figure 16 shows that the maximum error is 0.5 s, with a variance of 0.208 s. Notably, the maximum relative error is less than 0.1%, indicating high guidance accuracy and supporting the application of simultaneous multi-target engagement. The Monte Carlo simulation validates the high accuracy of the trained model by evaluating the desired impact time range across various scenarios and parameter conditions. This demonstrates that the proposed approach can reliably handle diverse and complex inputs, ensuring precise predictions.

5.4. Comparison with Other Methods

Formula analysis is the most widely used method for determining the desired impact time. To demonstrate the superiority of the trained model, a comparative simulation between the proposed method and a typical formula-based method is conducted in this subsection. The initial conditions are provided in Table 6.
The remaining parameters align with those mentioned in the preceding section. Table 7 shows the intended impact periods for each of the two techniques. The ranges obtained by the two methods are obviously inconsistent, especially sup( t d ). Therefore, we selected t d = 65 s, 66 s, 67 s, 68 s, and 68 s. The simulation results are shown in Figure 17.
The remaining parameters align with those mentioned in the preceding section. Table 7 lists the intended impact periods for each of the two techniques. The ranges obtained by the two methods are clearly inconsistent, particularly sup( t d ). Therefore, t d = 65 s, 66 s, 67 s, and 68 s are selected. The simulation results are presented in Figure 17.
From Figure 17, it is evident that acceleration command divergence occurs, leading to a failure to hit the target. This simulation condition falls within the range calculated by the conventional method, highlighting its extremely poor accuracy and inability to determine the exact desired impact time. Even at the edges of its calculated range, successful hits cannot be achieved. In contrast, the method proposed in this paper demonstrates greater accuracy. Since the simulation results are similar to those in the previous section, they are not repeated here. This demonstrates that the proposed method achieves higher accuracy compared to the conventional method. An accurate range of the desired impact time is a prerequisite for achieving simultaneous multi-target engagement, which will be further validated in the next section of the simulation.

5.5. Simultaneous Multi-Target Demonstrations

Consider a scenario of simultaneous multi-target engagement. The initial conditions are provided in Table 8.
The remaining parameters align with those mentioned in the preceding section, and Table 9 presents the range.
As a result, intersections within this range can be handled. The range is determined to be [39.76 s, 45.66 s]. Consequently, the simulation time is set to 42 s, and the results are presented in Figure 18.
Although the three aircrafts in Figure 17 have different initial locations, they can all strike the target simultaneously if the appropriate impact time is met. The trained model’s ability to accurately calculate the desired impact time has been demonstrated. Furthermore, if an impact time selected before launch—for instance, 50 s—falls outside this range, the simulations indicate that none of the aircrafts can hit the target. This further illustrates that the proposed method can determine whether simultaneous multi-target engagement is feasible before launch, highlighting the advantages of the method. Next, we consider a scenario involving simultaneous multi-target engagements. The initial conditions are provided in Table 10.
The remaining parameters are consistent with those mentioned in the preceding section, and Table 11 presents the range.
Table 11 shows that the four aircrafts have different impact times. The primary advantage of the method proposed in this paper lies in its ability to determine, prior to launch, whether simultaneous multi-target engagements can be achieved. In this case, the four aircrafts cannot accomplish simultaneous engagements. Additionally, the method provides precise desired impact time ranges for each aircraft, enabling mission replanning. For instance, in this scenario where only aircraft 1 and aircraft 4 have different impact times, simultaneous engagement can be carried out either between pairs of aircrafts or among three aircrafts. Taking the example of a simultaneous engagement between pairs of aircrafts, the first two aircrafts can be launched at 37 s, while the last two can be launched at 42 s. The simulation results are presented in Figure 19.
The simulations above demonstrate that the advantage of the method proposed in this paper lies in its ability to evaluate the validity of the given impact time before launch and determine whether a salvo mission can be accomplished. If the impact time is deemed invalid, the method provides appropriate desired impact times, ensuring the successful implementation of simultaneous multi-target engagements. In scenarios where identical impact times are not available, the method outlined in this paper can supply the desired impact time for each aircraft, serving as a reference for achieving simultaneous engagement.

6. Conclusions

This paper presents a methodology utilizing DNNs to determine the optimal impact time range for simultaneous multi-target engagements against stationary targets. A novel approach for sample generation through a binary search and sensitivity analysis is proposed. This method ensures accuracy while significantly reducing the sample size and computational load. With known ISVs, the DNN accurately determines the sup( t d ) and inf( t d ) of the desired impact time. The proposed DNN-based method effectively identifies the desired impact time range with high precision, achieving an average prediction error of less than 0.1% in Monte Carlo simulations. This demonstrates the method’s reliability and accuracy in handling complex, multi-constraint scenarios. By integrating sensitivity analysis, binary search sampling, and DNN training, the approach reduces computational complexity while maintaining accuracy. The testing results show a prediction accuracy of 92% and a MSE of 0.08. Compared to traditional methods, the proposed model not only improves the computational efficiency, but also provides robust solutions for real-time guidance systems where precision is critical. These findings highlight the potential for deploying this method in practical applications and future research. Further optimization efforts will focus on adapting the model to dynamic environments, incorporating disturbances, and expanding its applicability to other guidance scenarios.

Author Contributions

Conceptualization, C.L. and Z.L.; methodology, C.L.; software, P.H.; validation, C.L., Z.L. and J.W.; formal analysis, C.L.; investigation, Z.L.; resources, J.W.; data curation, J.W.; writing—original draft preparation, C.L. and P.H.; writing—review and editing, Z.L. and J.W.; visualization, P.H.; supervision, J.W.; project administration, J.W.; funding acquisition, J.W. All authors have read and agreed to the published version of the manuscript.

Funding

This work was supported in part by the National Natural Science Foundation of China (Grant No. 52272358).

Data Availability Statement

Data are contained within the article.

Conflicts of Interest

Author Peng Huang was employed by the Northwest Industries Group Company Ltd. The remaining authors declare that the research was conducted in the absence of any commercial or financial relationships that could be construed as a potential conflict of interest.

References

  1. Cho, N.; Kim, Y. Modified pure proportional navigation guidance law for impact time control. J. Guid. Control. Dyn. 2016, 39, 852–872. [Google Scholar] [CrossRef]
  2. Zhang, Y.; Wang, X.; Wu, H. A distributed cooperative guidance law for salvo attack of multiple anti-ship missiles. Chin. J. Aeronaut. 2015, 28, 1438–1450. [Google Scholar] [CrossRef]
  3. Kim, H.G.; Shin, J. Lyapunov-Based Impact Time Control Guidance Law with Performance Prediction. Aerospace 2023, 10, 308. [Google Scholar] [CrossRef]
  4. Merkulov, G.; Weiss, M.; Shima, T. Minimum-Effort Impact-Time Control Guidance Using Quadratic Kinematics Approximation. J. Guid. Control. Dyn. 2022, 45, 348–361. [Google Scholar] [CrossRef]
  5. Guo, Y.; Li, X.; Zhang, H.; Cai, M.; He, F. Data-driven method for impact time control based on proportional navigation guidance. J. Guid. Control. Dyn. 2020, 43, 955–966. [Google Scholar] [CrossRef]
  6. Zhao, Y.; Sheng, Y.; Liu, X. Trajectory reshaping based guidance with impact time and angle constraints. Chin. J. Aeronaut. 2016, 29, 984–994. [Google Scholar] [CrossRef][Green Version]
  7. Dong, W.; Wang, C.; Wang, J.; Xin, M. Varying-Gain Proportional Navigation Guidance for Precise Impact Time Control. J. Guid. Control. Dyn. 2022, 46, 535–552. [Google Scholar] [CrossRef]
  8. He, S.; Lin, D. Three-dimensional optimal impact time guidance for antiship missiles. J. Guid. Control. Dyn. 2019, 42, 941–948. [Google Scholar] [CrossRef]
  9. Zheng, Y.; Zheng, C.; Xueming, S.; Zhao, W. Time-optimal guidance for intercepting moving targets with impact angle constraints. Chin. J. Aeronaut. 2022, 35, 157–167. [Google Scholar] [CrossRef]
  10. Wang, C.; Yu, H.; Dong, W.; Wang, J. Three-Dimensional impact angle and time control guidance law based on two-stage strategy. IEEE Trans. Aerosp. Electron. Syst. 2022, 58, 5361–5372. [Google Scholar] [CrossRef]
  11. Tang, Y.; Zhu, X.; Zhou, Z.; Yan, F. Two-phase guidance law for impact time control under physical constraints. Chin. J. Aeronaut. 2020, 33, 2946–2958. [Google Scholar] [CrossRef]
  12. Jeon, I.S.; Lee, J.I. Impact-time-control guidance law with constraints on seeker look angle. IEEE Trans. Aerosp. Electron. Syst. 2017, 53, 2621–2627. [Google Scholar] [CrossRef]
  13. Kim, H.G.; Kim, H.J. Backstepping-based impact time control guidance law for missiles with reduced seeker field-of-view. IEEE Trans.Aerosp.Electron. Syst. 2018, 55, 82–94. [Google Scholar] [CrossRef]
  14. Lee, S.; Cho, N.; Kim, Y. Impact-time-control guidance strategy with a composite structure considering the seeker’s field-of-view constraint. J. Guid. Control. Dyn. 2020, 43, 1566–1574. [Google Scholar] [CrossRef]
  15. Lee, C.H.; Kim, T.H.; Tahk, M.J. Effects of time-to-go errors on performance of optimal guidance laws. IEEE Trans. Aerosp. Electron. Syst. 2015, 51, 3270–3281. [Google Scholar] [CrossRef]
  16. Liu, Z.; Wang, J.; He, S.; Shin, H.-S.; Tsourdos, A. Learning prediction-correction guidance for impact time control. Aerosp. Sci. Technol. 2021, 119, 107187. [Google Scholar] [CrossRef]
  17. Cheng, L.; Jiang, F.; Wang, Z.; Li, J. Multi-constrained real-time entry guidance using deep neural networks. IEEE Trans. Aerosp. Electron. Syst. 2020, 57, 325–340. [Google Scholar] [CrossRef]
  18. Wang, J.; Wu, Y.; Liu, M.; Yang, M.; Liang, H. A real-time trajectory optimization method for hypersonic vehicles based on a deep neural network. Aerospace 2022, 9, 188. [Google Scholar] [CrossRef]
  19. Xu, X.-B.; Zhao, M.-H.; Yang, J.; Xiong, Y.-Y.; Pang, F.-L.; Tan, Z.-Y.; Luo, M.-Z. 3D laser scanning strategy based on cascaded deep neural network. Def. Technol. 2022, 18, 1727–1739. [Google Scholar] [CrossRef]
  20. Liu, C.; Fan, W.; Li, J.; Zhu, Z. Desired Impact Time Range Based on BP Neural Network. In China Conference on Command and Control; Springer: Singapore, 2023; pp. 171–181. [Google Scholar]
  21. He, S.M.; Chang-Hun, L.E.E.; Hyo-Sang, S.; Tsourdos, A. Optimal three-dimensional impact time guidance with seeker’s field-of-view constraint. Chin. J. Aeronaut. 2021, 34, 240–251. [Google Scholar] [CrossRef]
  22. Palumbo, N.F.; Blauwkamp, R.A.; Lloyd, J.M. Modern homing missile guidance theory and techniques. Johns Hopkins APL Technical Dig. 2010, 29, 42–59. [Google Scholar]
  23. He, S.; Shin, H.S.; Tsourdos, A. Computational missile guidance: A deep reinforcement learning approach. J. Aerosp. Inf. Syst. 2021, 18, 571–582. [Google Scholar] [CrossRef]
  24. Wu, M.; Parbhoo, S.; Hughes, M.; Kindle, R.; Celi, L.; Zazzi, M.; Roth, V.; Doshi-Velez, F. Regional tree regularization for interpretability in deep neural networks. Proc. AAAI Conf. Artifi. Intel. 2020, 34, 6413–6421. [Google Scholar] [CrossRef]
Figure 1. Relative motion model of projectile and target.
Figure 1. Relative motion model of projectile and target.
Aerospace 12 00104 g001
Figure 2. Simulation results of the proposed guidance law.
Figure 2. Simulation results of the proposed guidance law.
Aerospace 12 00104 g002
Figure 3. Simulation results with a first-order inertial element.
Figure 3. Simulation results with a first-order inertial element.
Aerospace 12 00104 g003
Figure 4. Trend of σ max and σ 0 .
Figure 4. Trend of σ max and σ 0 .
Aerospace 12 00104 g004
Figure 5. The flow chart of the binary search algorithm.
Figure 5. The flow chart of the binary search algorithm.
Aerospace 12 00104 g005
Figure 6. The influence exerted by r on inf ( t d ).
Figure 6. The influence exerted by r on inf ( t d ).
Aerospace 12 00104 g006
Figure 7. The influence exerted by a y max on inf ( t d ).
Figure 7. The influence exerted by a y max on inf ( t d ).
Aerospace 12 00104 g007
Figure 8. The influence exerted by σ M , 0 on inf ( t d ).
Figure 8. The influence exerted by σ M , 0 on inf ( t d ).
Aerospace 12 00104 g008
Figure 9. The influence exerted by σ max on inf ( t d ).
Figure 9. The influence exerted by σ max on inf ( t d ).
Aerospace 12 00104 g009
Figure 10. DNN’s structure.
Figure 10. DNN’s structure.
Aerospace 12 00104 g010
Figure 11. Technical architecture of this article.
Figure 11. Technical architecture of this article.
Aerospace 12 00104 g011
Figure 12. Comparison of the two cases.
Figure 12. Comparison of the two cases.
Aerospace 12 00104 g012
Figure 13. Sample set validation.
Figure 13. Sample set validation.
Aerospace 12 00104 g013
Figure 14. Comparison results.
Figure 14. Comparison results.
Aerospace 12 00104 g014
Figure 15. Simulation results of the model with various impact times.
Figure 15. Simulation results of the model with various impact times.
Aerospace 12 00104 g015
Figure 16. Monte Carlo simulation results.
Figure 16. Monte Carlo simulation results.
Aerospace 12 00104 g016
Figure 17. Simulation results with various impact times.
Figure 17. Simulation results with various impact times.
Aerospace 12 00104 g017
Figure 18. Simulation results for 42 s.
Figure 18. Simulation results for 42 s.
Aerospace 12 00104 g018
Figure 19. Simulation results with various impact times.
Figure 19. Simulation results with various impact times.
Aerospace 12 00104 g019
Table 1. Initial conditions.
Table 1. Initial conditions.
ParameterValue
Initial position/m(6000, 6000, 0)
Target position/m(0, 0, 0)
Flight velocity/(m/s)250
Initial velocity lead angle/°10, 10
Navigation gain3
Maximum magnitude of acceleration/(m/s2)100
Table 2. Initial conditions.
Table 2. Initial conditions.
ParameterValue
Initial position/m(6000, 6000, 0)
Target Position/m(0, 0, 0)
Flight velocity/(m/s)250
Maximum magnitude of acceleration/(m/s2)120
Table 3. Comparison results.
Table 3. Comparison results.
ModelAccuracyMSE
SVM0.820.18
Decision Tree0.780.22
Random Forest0.850.15
DNN0.920.08
Table 4. Initial conditions.
Table 4. Initial conditions.
ParameterValue
Maximum permissible lead angle/°55
Flight velocity/(m/s)300
Initial velocity lead angle/°12, 12
Navigation gain3
Maximum magnitude of acceleration/(m/s2)80
Table 5. Initial conditions.
Table 5. Initial conditions.
ParameterValue
Initial position/m(5000, 5000, 0)–(7000, 7000, 0)
Initial velocity lead angle/°(10, 10)–(20, 20)
Maximum permissible lead angle/°40–60
Maximum magnitude of acceleration/(m/s2)70–160
Table 6. Initial conditions.
Table 6. Initial conditions.
ParameterValue
Initial position/m(8000, 8000, 0)
Target position/m(0, 0, 0)
Initial velocity lead angle/°10, 10
Flight velocity/(m/s)250
Maximum permissible lead angle/°55
Maximum magnitude of acceleration/(m/s2)70
Table 7. Desired impact time range.
Table 7. Desired impact time range.
MethodValue
Trained model[45.94 s, 64.01 s]
Formula method [45.24 s, 78.87 s]
Table 8. Initial conditions.
Table 8. Initial conditions.
ParameterNo. 1No. 2No. 3
Initial position/m(5800, 5800, 0)(7000, 7000, 0)(6200, 6200, 0)
Target position/m(0, 0, 0)(0, 0, 0)(0, 0, 0)
Initial velocity lead angle/°18, n1816, 1616, 16
Maximum magnitude of acceleration/(m/s2)12070140
Maximum permissible lead angle/°464042
Table 9. Desired impact time range.
Table 9. Desired impact time range.
Serial NumberValue
No. 1[32.94 s, 45.66 s]
No. 2[39.76 s, 49.83 s]
No. 3[35.21 s, 46.11 s]
Table 10. Initial conditions.
Table 10. Initial conditions.
ParameterNo. 1No. 2No. 3No. 4
Initial position/m(5400, 5400, 0)(6000, 6000, 0)(6600, 6600, 0)(7200, 7200, 0)
Target position/m(0, 0, 0)(0, 0, 0)(0, 0, 0)(0, 0, 0)
Initial velocity lead angle/°10, 1010, 1014, 1416, 16
Maximum magnitude of acceleration/(m/s2)809010080
Maximum permissible lead angle/°40484840
Table 11. Desired impact time range.
Table 11. Desired impact time range.
Serial NumberValue
No. 1[32.05 s, 38.18 s]
No. 2[34.08 s, 48.18 s]
No. 3[37.47 s, 53.58 s]
No. 4[40.89 s, 58.17 s]
Disclaimer/Publisher’s Note: The statements, opinions and data contained in all publications are solely those of the individual author(s) and contributor(s) and not of MDPI and/or the editor(s). MDPI and/or the editor(s) disclaim responsibility for any injury to people or property resulting from any ideas, methods, instructions or products referred to in the content.

Share and Cite

MDPI and ACS Style

Wang, J.; Liu, C.; Liu, Z.; Huang, P. Desired Impact Time Range Analysis Using a Deep Neural Network. Aerospace 2025, 12, 104. https://doi.org/10.3390/aerospace12020104

AMA Style

Wang J, Liu C, Liu Z, Huang P. Desired Impact Time Range Analysis Using a Deep Neural Network. Aerospace. 2025; 12(2):104. https://doi.org/10.3390/aerospace12020104

Chicago/Turabian Style

Wang, Jiang, Chang Liu, Zichao Liu, and Peng Huang. 2025. "Desired Impact Time Range Analysis Using a Deep Neural Network" Aerospace 12, no. 2: 104. https://doi.org/10.3390/aerospace12020104

APA Style

Wang, J., Liu, C., Liu, Z., & Huang, P. (2025). Desired Impact Time Range Analysis Using a Deep Neural Network. Aerospace, 12(2), 104. https://doi.org/10.3390/aerospace12020104

Note that from the first issue of 2016, this journal uses article numbers instead of page numbers. See further details here.

Article Metrics

Back to TopTop