Stubborn Composite Disturbance Observer-Based MPC for Spacecraft Systems: An Event-Triggered Approach
Abstract
1. Introduction
- (1)
- An event-triggered stubborn composite disturbance observer (ESCDO) is proposed to estimate the system state and multi-source disturbances in the presence of outliers.
- (2)
- A composite anti-disturbance controller based on a tube-based MPC scheme is introduced to accommodate input constraints and suppress the effects of multi-source uncertainties.
- (3)
- Easy-to-check conditions are established to guarantee uniform bounded stability for both the ESCDO and the closed-loop system.
2. Problem Formulation and Preliminaries
System Model
3. The Estimation of System State and Multi-Uncertainties
3.1. Design of the RBFNNs
3.2. ESCDO Design
- (1) ;
- (2) ;
- (3) .
3.3. Convergence Analysis of the ESCDO
3.4. Analysis of Zeno Behavior
4. Design of the Composite Anti-Disturbance Controller
4.1. The MPC Scheme
4.2. Recursive Feasibility
4.3. Stability Analysis of the Closed-Loop System
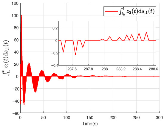
5. Results and Discussions
6. Conclusions
Author Contributions
Funding
Data Availability Statement
Conflicts of Interest
Abbreviations
| ESCDO | Event-triggered-based stubborn composite disturbance observer |
| RBFNN | Radial basis function neural network |
| MPC | Model predictive control |
| MIMO | Multiple input multiple output |
| DO | Disturbance observer |
| ESO | Extended state observer |
| RBFNNs | radial basis function neural networks |
References
- Chen, X.Q.; Yu, J. Optimal mission planning of GEO on-orbit refueling in mixed strategy. Acta Astronaut. 2017, 133, 63–72. [Google Scholar] [CrossRef]
- Oshima, K. Regularizing fuel-optimal multi-impulse trajectories. Astrodynamics 2024, 8, 97–119. [Google Scholar] [CrossRef]
- Nishida, S.I.; Kawamoto, S.; Okawa, Y.; Terui, F.; Kitamura, S. Space debris removal system using a small satellite. Acta Astronaut. 2009, 65, 95–102. [Google Scholar] [CrossRef]
- Wijayatunga, M.C.; Armellin, R.; Holt, H.; Pirovano, L.; Lidtke, A.A. Design and guidance of a multi-active debris removal mission. Astrodynamics 2023, 7, 383–399. [Google Scholar] [CrossRef]
- Li, D.; Li, Z.H.; He, Y.L.; Chu, J.J.; Jiang, Y. Debris falling forecast method for spacecraft disintegrating separation. Astrodynamics 2023, 7, 455–463. [Google Scholar] [CrossRef]
- Kosuge, K.; Kojima, H. Prediction and experimental verification of tether net entanglement for space debris capture. Astrodynamics 2024, 8, 223–236. [Google Scholar] [CrossRef]
- Pirovano, L.; Armellin, R. Detection and estimation of spacecraft maneuvers for catalog maintenance. Acta Astronaut. 2024, 215, 387–397. [Google Scholar] [CrossRef]
- Yin, W.; Shi, Y.; Shu, L.; Gao, Y. Autonomous navigation of an asteroid orbiter enhanced by a beacon satellite in a high-altitude orbit. Astrodynamics 2024, 8, 375–400. [Google Scholar] [CrossRef]
- Zhang, P.; Wu, D.; Baoyin, H. Real-time hybrid method for maneuver detection and estimation of non-cooperative space targets. Astrodynamics 2024, 8, 437–453. [Google Scholar] [CrossRef]
- Liang, J.; Liu, X.; Wang, R.; Yang, L.; Li, X.; Tang, C.; Zhao, K. LTP for Reliable Data Delivery From Space Station to Ground Station in the Presence of Link Disruption. IEEE Aerosp. Electron. Syst. Mag. 2023, 38, 24–33. [Google Scholar] [CrossRef]
- Du, R.; Liao, W.; Zhang, X. Feasibility analysis of angles-only navigation algorithm with multisensor data fusion for spacecraft noncooperative rendezvous. Astrodynamics 2023, 7, 179–196. [Google Scholar]
- Xu, C.; Wu, B.; Wang, D.; Han, F. Distributed prescribed-time attitude consensus for multiple spacecraft via quantized communication. Adv. Space Res. 2023, 71, 4302–4314. [Google Scholar] [CrossRef]
- Cinelli, M.; Ortore, E.; Mengali, G.; Quarta, A.A.; Circi, C. Lunar orbits for telecommunication and navigation services. Astrodynamics 2024, 8, 209–220. [Google Scholar] [CrossRef]
- Sajjad, N.; Mirshams, M.; Hein, A.M. Spaceborne and ground-based sensor collaboration: Advancing resident space objects’ orbit determination for space sustainability. Astrodynamics 2024, 8, 325–347. [Google Scholar] [CrossRef]
- Chen, J.; Qi, T.; Chen, J. Optimal networked state estimation in the presence of multi-channel correlated packet losses. Automatica 2023, 153, 110855. [Google Scholar] [CrossRef]
- Viadero-Monasterio, F.; Nguyen, A.T.; Lauber, J.; Boada, M.J.L.; Boada, B.L. Event-triggered robust path tracking control considering roll stability under network-induced delays for autonomous vehicles. IEEE Trans. Intell. Transp. Syst. 2023, 24, 14743–14756. [Google Scholar] [CrossRef]
- Khaleel, A.; Basar, E. Electromagnetic interference cancellation for RIS-assisted communications. IEEE Commun. Lett. 2023, 27, 2192–2196. [Google Scholar] [CrossRef]
- Li, J.; Wang, Z.; Dong, H.; Ghinea, G. Outlier-resistant remote state estimation for recurrent neural networks with mixed time-delays. IEEE Trans. Neural Netw. Learn. Syst. 2020, 32, 2266–2273. [Google Scholar] [CrossRef]
- Ma, W.; Zhang, B. Periodic time-triggered hybrid control for DC–DC converter based on switched affine system model. IEEE Trans. Ind. Electron. 2022, 70, 311–321. [Google Scholar] [CrossRef]
- Chen, J.; Chen, B.; Zeng, Z. Adaptive dynamic event-triggered fault-tolerant consensus for nonlinear multiagent systems with directed/undirected networks. IEEE Trans. Cybern. 2022, 53, 3901–3912. [Google Scholar] [CrossRef]
- Wang, Y.; Yuan, Y.; Yang, H. Stubborn observer for leader-following consensus of nonlinear multiagent systems with application to spacecraft. IEEE Trans. Cybern. 2022, 54, 2383–2395. [Google Scholar] [CrossRef]
- Xu, Y.; Yuan, Y.; Zhou, D. The composite-disturbance-observer based stochastic model predictive control for spacecrafts under multi-source disturbances. J. Frankl. Inst. 2021, 358, 7603–7627. [Google Scholar] [CrossRef]
- Li, W.; Song, Y.; Cheng, L.; Gong, S. Closed-loop deep neural network optimal control algorithm and error analysis for powered landing under uncertainties. Astrodynamics 2023, 7, 211–228. [Google Scholar] [CrossRef]
- Likins, P.W.; Fleischer, G.E. Results of flexible spacecraft attitude control studies utilizing hybrid coordinates. J. Spacecr. Rocket. 1971, 8, 264–273. [Google Scholar] [CrossRef]
- DeLorenzo, M. Sensor and actuator selection for large space structure control. J. Guid. Control Dyn. 1990, 13, 249–257. [Google Scholar] [CrossRef]
- Sidi, M.J. Spacecraft Dynamics and Control: A Practical Engineering Approach; Cambridge University Press: Cambridge, UK, 1997; Volume 7. [Google Scholar]
- Yuan, Y.; Xu, Y.; Wang, Z.; Yi, X.; Lu, G. Disturbance-observer-based model predictive control for discrete-time noncooperative game over undirected graph. IEEE Trans. Syst. Man Cybern. Syst. 2023, 53, 5970–5982. [Google Scholar] [CrossRef]
- Yu, Y.; Yuan, Y.; Liu, H. Backstepping control for a class of nonlinear discrete-time systems subject to multisource disturbances and actuator saturation. IEEE Trans. Cybern. 2021, 52, 10924–10936. [Google Scholar] [CrossRef]
- Wei, X.; Guo, L. Composite disturbance-observer-based control and H∞ control for complex continuous models. Int. J. Robust Nonlinear Control IFAC-Affil. J. 2010, 20, 106–118. [Google Scholar] [CrossRef]
- Guo, B.Z.; Wu, Z.H.; Zhou, H.C. Active disturbance rejection control approach to output-feedback stabilization of a class of uncertain nonlinear systems subject to stochastic disturbance. IEEE Trans. Autom. Control 2015, 61, 1613–1618. [Google Scholar] [CrossRef]
- Zhao, L.; Li, Z.; Li, H.; Liu, B. Backstepping integral sliding mode control for pneumatic manipulators via adaptive extended state observers. ISA Trans. 2024, 144, 374–384. [Google Scholar] [CrossRef]
- Wang, Q.; Yu, Y.; Zhang, F.; Huang, P. Neural-network-based backstepping control for the post-capture tethered space combination using HDO. Neurocomputing 2023, 521, 79–88. [Google Scholar] [CrossRef]
- Yuan, H.; Zhao, L.; Yuan, Y.; Xia, Y. Event-Triggered Mechanism-Based Discrete-Time Nash Equilibrium Seeking for Graphic Game With Outlier-Resistant ESO. IEEE Trans. Cybern. 2024, 54, 5178–5190. [Google Scholar] [CrossRef] [PubMed]
- Yuan, Y.; Ma, C.; Guo, L.; Zhang, P. Event-triggered Nash equilibrium seeking for multiagent systems with stubborn ESO. IEEE Trans. Syst. Man Cybern. Syst. 2022, 53, 1347–1358. [Google Scholar] [CrossRef]
- Wang, Y.; Yan, X.; Ye, Z.; Xie, H.; Liu, S.; Xu, X.; Tong, X. Robust template feature matching method using motion-constrained DCF designed for visual navigation in asteroid landing. Astrodynamics 2023, 7, 83–99. [Google Scholar] [CrossRef]
- Xu, Y.; Yuan, Y.; Wang, Z.; Li, X. Noncooperative model predictive game with Markov jump graph. IEEE/CAA J. Autom. Sin. 2023, 10, 931–944. [Google Scholar] [CrossRef]
- Xie, H.; Dai, L.; Lu, Y.; Xia, Y. Disturbance rejection MPC framework for input-affine nonlinear systems. IEEE Trans. Autom. Control 2021, 67, 6595–6610. [Google Scholar] [CrossRef]
- Dai, L.; Cannon, M.; Yang, F.; Yan, S. Fast self-triggered MPC for constrained linear systems with additive disturbances. IEEE Trans. Autom. Control 2020, 66, 3624–3637. [Google Scholar] [CrossRef]
- Li, H.; Shi, Y. Robust distributed model predictive control of constrained continuous-time nonlinear systems: A robustness constraint approach. IEEE Trans. Autom. Control 2013, 59, 1673–1678. [Google Scholar] [CrossRef]
- Yang, H.; Li, B.; Zuo, Z.; Zhao, H. Tube-Based MPC for LPV systems with external disturbances using interval predictors. IEEE Trans. Ind. Inform. 2023, 20, 3060–3069. [Google Scholar] [CrossRef]
- Hogan, E.A.; Schaub, H. Relative motion control for two-spacecraft electrostatic orbit corrections. J. Guid. Control Dyn. 2013, 36, 240–249. [Google Scholar] [CrossRef]
- Xia, K.; Huo, W. Robust adaptive backstepping neural networks control for spacecraft rendezvous and docking with input saturation. ISA Trans. 2016, 62, 249–257. [Google Scholar] [CrossRef]
- Li, Y.; Lin, Z. Design of Saturation-Based Switching Anti-Windup Gains for the Enlargement of the Domain of Attraction. IEEE Trans. Autom. Control 2013, 58, 1810–1816. [Google Scholar] [CrossRef]
- Chiang, H.D.; Wang, T. On the number and types of unstable equilibria in nonlinear dynamical systems with uniformly-bounded stability regions. IEEE Trans. Autom. Control 2015, 61, 485–490. [Google Scholar] [CrossRef]
- Peuteman, J.; Aeyels, D.; Sepulchre, R. Boundedness properties for time-varying nonlinear systems. SIAM J. Control Optim. 2000, 39, 1408–1422. [Google Scholar] [CrossRef]


















| Parameters of the ESCDO | |||||||
|---|---|---|---|---|---|---|---|
| Value | 15 | 10 | |||||
| Parameters of the CDO | |||||||
| Value | |||||||
| Parameters of the ESO | |||||||
| Value |
| ESCDO | CDO | ESO | |
|---|---|---|---|
| RMSE of | |||
| RMSE of | |||
| RMSE of |
Disclaimer/Publisher’s Note: The statements, opinions and data contained in all publications are solely those of the individual author(s) and contributor(s) and not of MDPI and/or the editor(s). MDPI and/or the editor(s) disclaim responsibility for any injury to people or property resulting from any ideas, methods, instructions or products referred to in the content. |
© 2025 by the authors. Licensee MDPI, Basel, Switzerland. This article is an open access article distributed under the terms and conditions of the Creative Commons Attribution (CC BY) license (https://creativecommons.org/licenses/by/4.0/).
Share and Cite
Chen, J.; Liu, L.; Xu, Y.; Yu, Y. Stubborn Composite Disturbance Observer-Based MPC for Spacecraft Systems: An Event-Triggered Approach. Aerospace 2025, 12, 1010. https://doi.org/10.3390/aerospace12111010
Chen J, Liu L, Xu Y, Yu Y. Stubborn Composite Disturbance Observer-Based MPC for Spacecraft Systems: An Event-Triggered Approach. Aerospace. 2025; 12(11):1010. https://doi.org/10.3390/aerospace12111010
Chicago/Turabian StyleChen, Jianlin, Lei Liu, Yang Xu, and Yang Yu. 2025. "Stubborn Composite Disturbance Observer-Based MPC for Spacecraft Systems: An Event-Triggered Approach" Aerospace 12, no. 11: 1010. https://doi.org/10.3390/aerospace12111010
APA StyleChen, J., Liu, L., Xu, Y., & Yu, Y. (2025). Stubborn Composite Disturbance Observer-Based MPC for Spacecraft Systems: An Event-Triggered Approach. Aerospace, 12(11), 1010. https://doi.org/10.3390/aerospace12111010

