Dynamic Adaptive UAV Path Planning Based on Three-Dimensional Environments
Abstract
1. Introduction
- (1)
- We propose dynamically adjusting the sampling space before expansion. Compared with using the global space, this dynamic adjustment narrows the sampling domain and reduces invalid samples and futile expansions. Guided by search progress and the urban modeling context, we shrink or re-define the sampling region so that samples concentrate in areas more likely to yield feasible paths, thereby reducing low-value points.
- (2)
- We replace purely random sequences with a Halton–Bridge hybrid sequence that is more uniform, comprehensive, and better aligned with urban models, thereby generating more reasonable samples in 3D space. This fundamentally addresses the inherent under-sampling and over-sampling issues of traditional RRT. As the cornerstone of sampling-based planning, producing well-distributed samples is key to RRT efficiency. Although prior work tackles this indirectly via surrogate strategies, our approach fuses low-discrepancy Halton sequences with Bridge sampling to place samples within gaps between obstacles—enabling entry into narrow corridors—and thus fundamentally resolves the “narrow passage” challenge in urban environments, demonstrating superiority over pseudo-random sampling.
- (3)
- We introduce a complete, dynamically switchable multi-expansion scheme. Building on RRT*, we coordinate three strategies—goal-biased straight-to-goal extension, frustum-cone (cross-sectional cone) extension, and random extension—and switch among them based on probabilities and conditions. This balanced policy markedly improves rapid convergence, obstacle-avoidance capability, and global solvability for UAV planning in urban environments.
- (4)
- We propose a path-smoothing strategy that performs multi-objective optimization on the generated path, considering path length, collision cost, safety distance, and smoothness. Using PSO-based path optimization, we globally adjust the route to reduce its length. On this basis, we then apply interpolation-based smoothing to connect piecewise linear waypoints into a smooth curve, making the trajectory more suitable for UAV flight in urban models. The combination ensures both global optimality of the path and practical operability for UAVs in urban environments.
2. Related Work
3. Dynamic Adaptive RRT* Algorithm
3.1. Environmental Modeling
3.2. Dynamic Adaptive RRT* Algorithm Framework
3.3. Dynamic Adjustment of Sampling Space
- (1)
- Start-side advancing window: Using the current frontier node of the start tree as a reference, the window center moves forward along the start-to-goal direction; its size scales proportionally with the ‘remaining distance from the start tree to the goal’—the smaller the distance, the tighter the window, guiding forward expansion from the start side.
- (2)
- Goal-side advancing window: Defined symmetrically with the above, using the current frontier of the goal tree as a reference. The window center advances backward along the start-to-goal direction; its size scales proportionally with the ‘remaining distance from the goal tree to the start point’ and is used for backward expansion from the goal side.
3.4. Hybrid Sampling
3.4.1. Halton Sampling
3.4.2. Bridge Sampling
3.4.3. Multi-Objective Cost Ranking
3.5. Target Bias Expansion Strategy
3.5.1. Adaptive Target Bias Model
3.5.2. Direct Pointing Extension
3.5.3. Cross-Sectional Conical Sampling Extension
3.6. Multi-Objective Path Optimization
3.6.1. Multi-Objective Path Optimization Modeling
3.6.2. PSO Optimization Path
- In the standard PSO, the individual learning factor, social learning factor, and inertia weight are fixed. In this work, success rate and population diversity are introduced as feedback to adaptively adjust the solving speed of the PSO algorithm online.
- When stagnation in the search for the optimal solution is detected, a subset of particles is randomly selected and redirected to continue exploring for the optimum.
- During the particle search process, once an obstacle is encountered, it is immediately marked to prevent repeated searches in the same region.
3.6.3. Interpolation Optimization Path
- (1)
- Apply linear interpolation with a distance threshold to densify long segments (gap-filling), thereby improving geometric resolution and the reliability of safety evaluation.
- (2)
- Use a cubic B-spline to smooth and re-parameterize the densified polyline, producing a -continuous executable trajectory, followed by a secondary safety check along the spline.
3.7. Theoretical Properties and Analytical Discussion
- (1)
- Probabilistic completeness.
- (2)
- Asymptotic optimality.
- (3)
- Convergence characteristics.
4. Analysis and Verification of the Dynamic Adaptive RRT* Algorithm
4.1. Parameter Settings and Fairness of Comparison
4.2. Computational Complexity Analysis
4.3. Experimental Results Analysis
5. Summary and Outlook
Author Contributions
Funding
Data Availability Statement
Acknowledgments
Conflicts of Interest
References
- Gao, Y.; Wang, X.; Zheng, D. Research on method for predicting risk of aircraft flight conflict in airport terminal. China Saf. Sci. J. 2017, 27, 157. [Google Scholar]
- Zhang, C.; Liu, H.; Tang, Y. Quantitative evaluation of Voronoi graph search algorithm in UAV path planning. In Proceedings of the 2018 IEEE 9th International Conference on Software Engineering and Service Science (ICSESS), Beijing, China, 23–25 November 2018; IEEE: New York, NY, USA, 2018; pp. 563–567. [Google Scholar]
- Yang, F.; Fang, X.; Gao, F.; Zhou, X.; Li, H.; Jin, H.; Song, Y. Obstacle avoidance path planning for UAV based on improved RRT algorithm. Discret. Dyn. Nat. Soc. 2022, 2022, 4544499. [Google Scholar] [CrossRef]
- Li, W.; Wang, L.; Zou, A.; Cai, J.; He, H.; Tan, T. Path planning for UAV based on improved PRM. Energies 2022, 15, 7267. [Google Scholar] [CrossRef]
- Silva Arantes, J.D.; Silva Arantes, M.D.; Motta Toledo, C.F.; Júnior, O.T.; Williams, B.C. Heuristic and genetic algorithm approaches for UAV path planning under critical situation. Int. J. Artif. Intell. Tools 2017, 26, 1760008. [Google Scholar] [CrossRef]
- Konatowski, S.; Pawłowski, P. Ant colony optimization algorithm for UAV path planning. In Proceedings of the 2018 14th International Conference on Advanced Trends in Radioelecrtronics, Telecommunications and Computer Engineering (TCSET), Lviv-Slavske, Ukraine, 20–24 February 2018; IEEE: New York, NY, USA, 2018; pp. 177–182. [Google Scholar]
- Roberge, V.; Tarbouchi, M.; Labonté, G. Comparison of parallel genetic algorithm and particle swarm optimization for real-time UAV path planning. IEEE Trans. Ind. Inform. 2012, 9, 132–141. [Google Scholar] [CrossRef]
- Shi, J.; Tan, L.; Zhang, H.; Lian, X.; Xu, T. Adaptive multi-UAV path planning method based on improved gray wolf algorithm. Comput. Electr. Eng. 2022, 104, 108377. [Google Scholar] [CrossRef]
- Phung, M.D.; Ha, Q.P. Safety-enhanced UAV path planning with spherical vector-based particle swarm optimization. Appl. Soft Comput. 2021, 107, 107376. [Google Scholar] [CrossRef]
- Qu, C.; Gai, W.; Zhang, J.; Zhong, M. A novel hybrid grey wolf optimizer algorithm for unmanned aerial vehicle (UAV) path planning. Knowl.-Based Syst. 2020, 194, 105530. [Google Scholar] [CrossRef]
- Jiang, W.; Lyu, Y.; Li, Y.; Guo, Y.; Zhang, W. UAV path planning and collision avoidance in 3D environments based on POMPD and improved grey wolf optimizer. Aerosp. Sci. Technol. 2022, 121, 107314. [Google Scholar] [CrossRef]
- Gu, T.; Zhang, Y.; Wang, L.; Zhang, Y.; Deveci, M.; Wen, X. A comprehensive analysis of multi-strategic RIME algorithm for UAV path planning in varied terrains. J. Ind. Inf. Integr. 2025, 43, 100742. [Google Scholar] [CrossRef]
- Yang, L.; Zhang, X.; Li, Z.; Li, L.; Shi, Y. A LODBO algorithm for multi-UAV search and rescue path planning in disaster areas. Chin. J. Aeronaut. 2025, 38, 103301. [Google Scholar] [CrossRef]
- Han, B.; Qu, T.; Tong, X.; Jiang, J.; Zlatanova, S.; Wang, H.; Cheng, C. Grid-optimized UAV indoor path planning algorithms in a complex environment. Int. J. Appl. Earth Obs. Geoinf. 2022, 111, 102857. [Google Scholar] [CrossRef]
- Yuan, M.S.; Zhou, T.L.; Chen, M. Improved lazy theta∗ algorithm based on octree map for path planning of UAV. Def. Technol. 2023, 23, 8–18. [Google Scholar] [CrossRef]
- Zhang, Z.; Jiang, J.; Wu, J.; Zhu, X. Efficient and optimal penetration path planning for stealth unmanned aerial vehicle using minimal radar cross-section tactics and modified A-Star algorithm. ISA Trans. 2023, 134, 42–57. [Google Scholar] [CrossRef] [PubMed]
- Rao, J.; Xiang, C.; Xi, J.; Chen, J.; Lei, J.; Giernacki, W.; Liu, M. Path planning for dual UAVs cooperative suspension transport based on artificial potential field-A* algorithm. Knowl.-Based Syst. 2023, 277, 110797. [Google Scholar] [CrossRef]
- Chen, J.; Li, M.; Yuan, Z.; Gu, Q. An improved A* algorithm for UAV path planning problems. In Proceedings of the 2020 IEEE 4th Information Technology, Networking, Electronic and Automation Control Conference (ITNEC), Chongqing, China, 12–14 June 2020; IEEE: New York, NY, USA, 2020; Volume 1, pp. 958–962. [Google Scholar]
- Lin, Y.; Saripalli, S. Sampling-based path planning for UAV collision avoidance. IEEE Trans. Intell. Transp. Syst. 2017, 18, 3179–3192. [Google Scholar] [CrossRef]
- Obermeyer, K.J.; Oberlin, P.; Darbha, S. Sampling-based path planning for a visual reconnaissance unmanned air vehicle. J. Guid. Control Dyn. 2012, 35, 619–631. [Google Scholar] [CrossRef]
- Persson, S.M.; Sharf, I. Sampling-based A* algorithm for robot path-planning. Int. J. Robot. Res. 2014, 33, 1683–1708. [Google Scholar] [CrossRef]
- Ding, J.; Zhou, Y.; Huang, X.; Song, K.; Lu, S.; Wang, L. An improved RRT* algorithm for robot path planning based on path expansion heuristic sampling. J. Comput. Sci. 2023, 67, 101937. [Google Scholar] [CrossRef]
- Zhong, H.; Cong, M.; Wang, M.; Du, Y.; Liu, D. HB-RRT: A path planning algorithm for mobile robots using Halton sequence-based rapidly-exploring random tree. Eng. Appl. Artif. Intell. 2024, 133, 108362. [Google Scholar] [CrossRef]
- Wang, L.; Jones, D.E.; Meng, X.L. Warp bridge sampling: The next generation. J. Am. Stat. Assoc. 2022, 117, 835–851. [Google Scholar] [CrossRef]
- Xi, Y.; Shen, W.; Zhang, W.; Liu, J.; Liu, Q.; Shi, H. A real-time dynamic path planning method combining artificial potential field method and biased target RRT algorithm. J. Phys. Conf. Ser. 2021, 1905, 012015. [Google Scholar]
- Yang, L.; Zheng, N.; Yang, J.; Chen, M.; Chen, H. A biased sampling strategy for object categorization. In Proceedings of the 2009 IEEE 12th International Conference on Computer Vision, Kyoto, Japan, 29 September–2 October 2009; IEEE: New York, NY, USA, 2009; pp. 1141–1148. [Google Scholar]
- Karaman, S.; Frazzoli, E. Sampling-based algorithms for optimal motion planning. Int. J. Robot. Res. 2011, 30, 846–894. [Google Scholar] [CrossRef]



















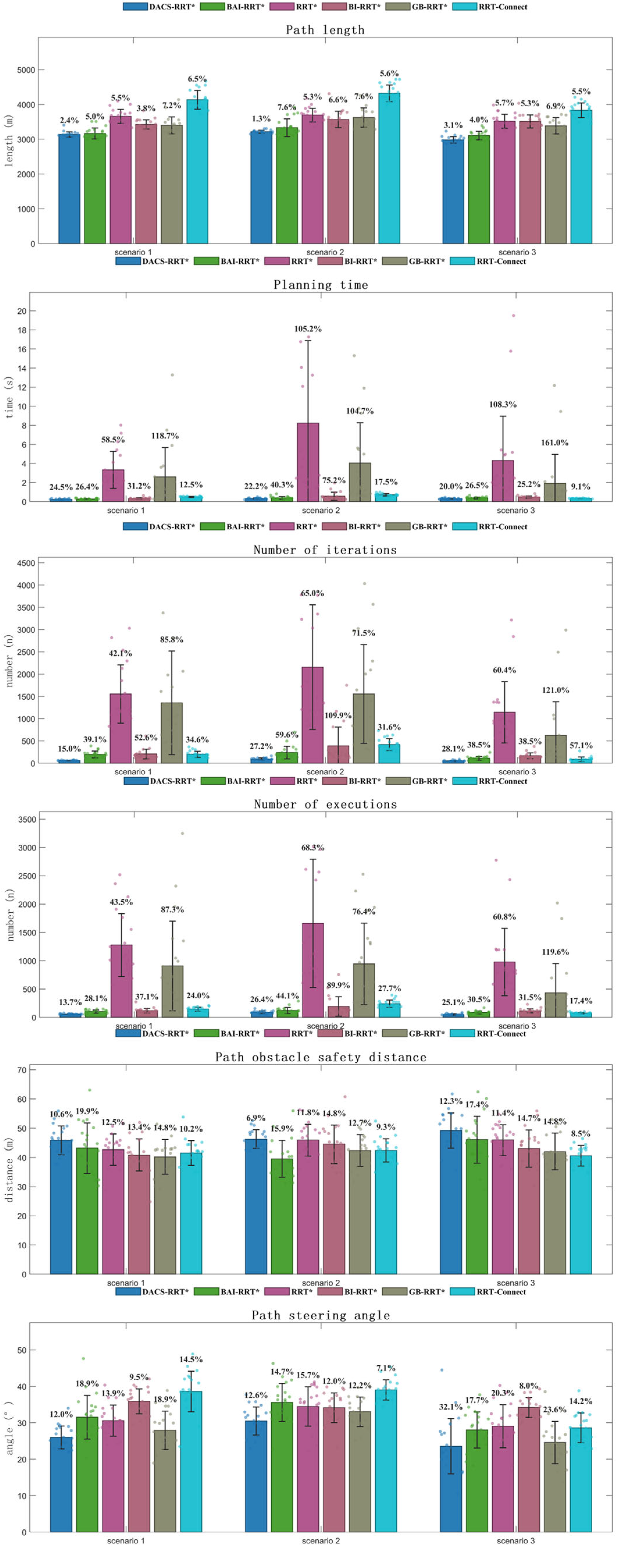
| Environment | Algorithm Type | Path Length/m | Node Count/n | Iterations/n | Time/s | Distance/m | |
|---|---|---|---|---|---|---|---|
| Scenario 1 | DACS-RRT* | 3136.86 | 55.75 | 56.75 | 0.22 | 45.84 | 25.96 |
| BAI-RRT* | 3164.25 | 101.70 | 195.85 | 0.26 | 43.15 | 31.51 | |
| RRT* | 3656.54 | 1276.60 | 1551.65 | 3.32 | 42.66 | 30.57 | |
| BI-RRT* | 3425.29 | 117.30 | 206.35 | 0.30 | 40.84 | 35.89 | |
| GB-RRT* | 3398.16 | 906.90 | 1354.25 | 2.59 | 40.19 | 27.93 | |
| RRT-Connect | 4133.55 | 144.00 | 198.65 | 0.48 | 41.51 | 38.58 | |
| Scenario 2 | DACS-RRT* | 3215.05 | 89.95 | 93.65 | 0.31 | 46.23 | 30.49 |
| BAI-RRT* | 3332.82 | 120.60 | 237.55 | 0.38 | 39.53 | 35.57 | |
| RRT* | 3692.09 | 1660.30 | 2155.70 | 8.22 | 45.90 | 34.45 | |
| BI-RRT* | 3567.19 | 191.40 | 386.65 | 0.56 | 44.47 | 34.12 | |
| GB-RRT* | 3623.24 | 942.95 | 1553.25 | 4.03 | 42.37 | 33.01 | |
| RRT-Connect | 4320.97 | 239.95 | 417.05 | 0.71 | 42.43 | 39.02 | |
| Scenario 3 | DACS-RRT* | 2980.14 | 49.40 | 50.55 | 0.29 | 49.15 | 23.56 |
| BAI-RRT* | 3105.15 | 85.90 | 109.30 | 0.38 | 46.04 | 27.99 | |
| RRT* | 3515.96 | 977.05 | 1141.55 | 4.30 | 45.93 | 29.04 | |
| BI-RRT* | 3511.71 | 113.30 | 166.35 | 0.46 | 43.00 | 34.20 | |
| GB-RRT* | 3406.80 | 584.05 | 837.80 | 3.42 | 41.93 | 24.94 | |
| RRT-Connect | 3831.91 | 74.80 | 88.05 | 0.31 | 40.58 | 28.61 |
Disclaimer/Publisher’s Note: The statements, opinions and data contained in all publications are solely those of the individual author(s) and contributor(s) and not of MDPI and/or the editor(s). MDPI and/or the editor(s) disclaim responsibility for any injury to people or property resulting from any ideas, methods, instructions or products referred to in the content. |
© 2025 by the authors. Licensee MDPI, Basel, Switzerland. This article is an open access article distributed under the terms and conditions of the Creative Commons Attribution (CC BY) license (https://creativecommons.org/licenses/by/4.0/).
Share and Cite
Dong, Z.; Hu, M.; Zhu, P.; Yin, J. Dynamic Adaptive UAV Path Planning Based on Three-Dimensional Environments. Aerospace 2025, 12, 1000. https://doi.org/10.3390/aerospace12111000
Dong Z, Hu M, Zhu P, Yin J. Dynamic Adaptive UAV Path Planning Based on Three-Dimensional Environments. Aerospace. 2025; 12(11):1000. https://doi.org/10.3390/aerospace12111000
Chicago/Turabian StyleDong, Zexi, Minghua Hu, Pengda Zhu, and Jianan Yin. 2025. "Dynamic Adaptive UAV Path Planning Based on Three-Dimensional Environments" Aerospace 12, no. 11: 1000. https://doi.org/10.3390/aerospace12111000
APA StyleDong, Z., Hu, M., Zhu, P., & Yin, J. (2025). Dynamic Adaptive UAV Path Planning Based on Three-Dimensional Environments. Aerospace, 12(11), 1000. https://doi.org/10.3390/aerospace12111000

