A FMBD-DEM Coupled Modeling for Semi-Active Controlled Lunar Lander
Abstract
1. Introduction
2. Dynamic Modeling of the MR-Damper Lander
2.1. Rigid-Flexible Coupling Model for the Lunar Lander
2.1.1. Rigid Body Formulation
2.1.2. Flexible Body Formulation
2.2. Modeling of Damper Force
2.2.1. Damping Force of the Magnetorheological (MR) Damper
2.2.2. Design of the Fuzzy Controller for the Lander
2.3. Dynamic Model of the Rigid-Flexible Coupling System
3. Discrete Element Method
3.1. Equations of Particles
3.2. Hertz-Mindlin Contact Model
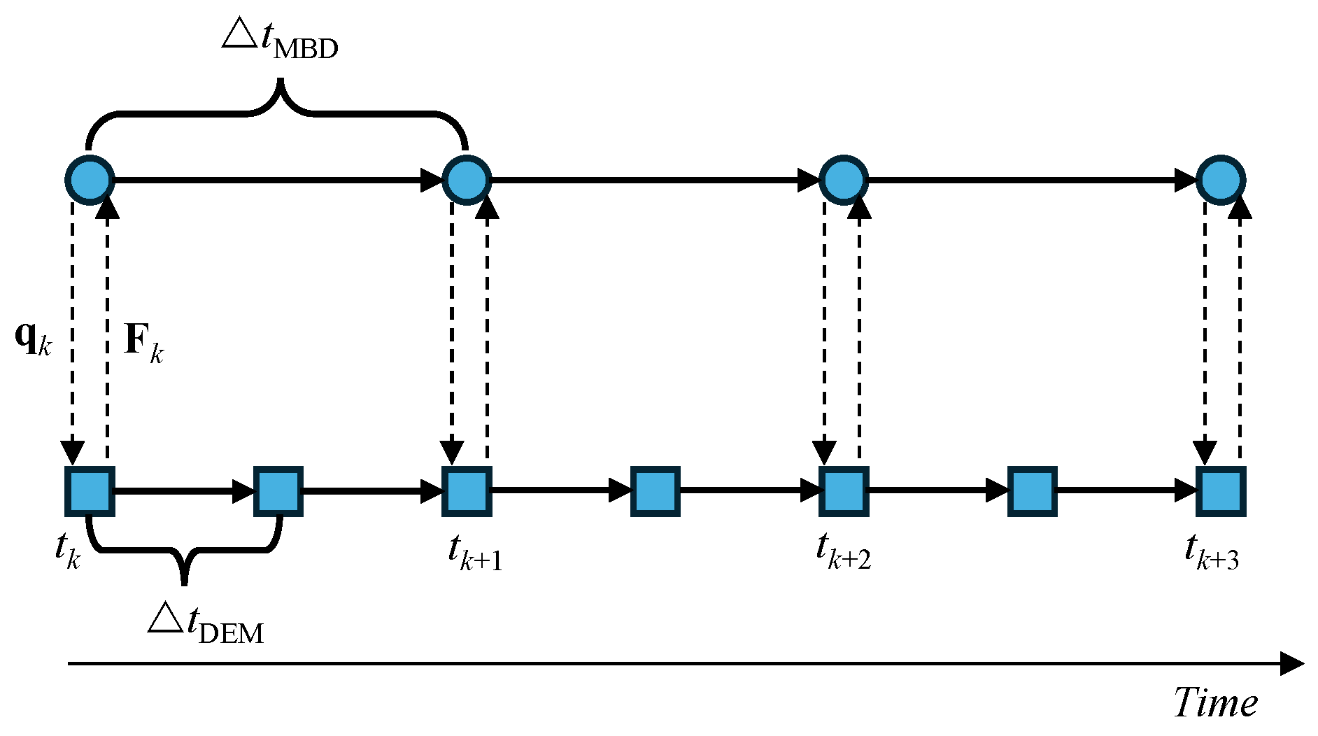
4. Coupling Model for the Lander and Lunar Soil
4.1. Contact Detection
4.1.1. Sphere-Beam Contact Detection
4.1.2. Sphere-Plate Contact Detection
4.2. Coupling Model for the Semi-Control Lander and Lunar Soil
5. Validation
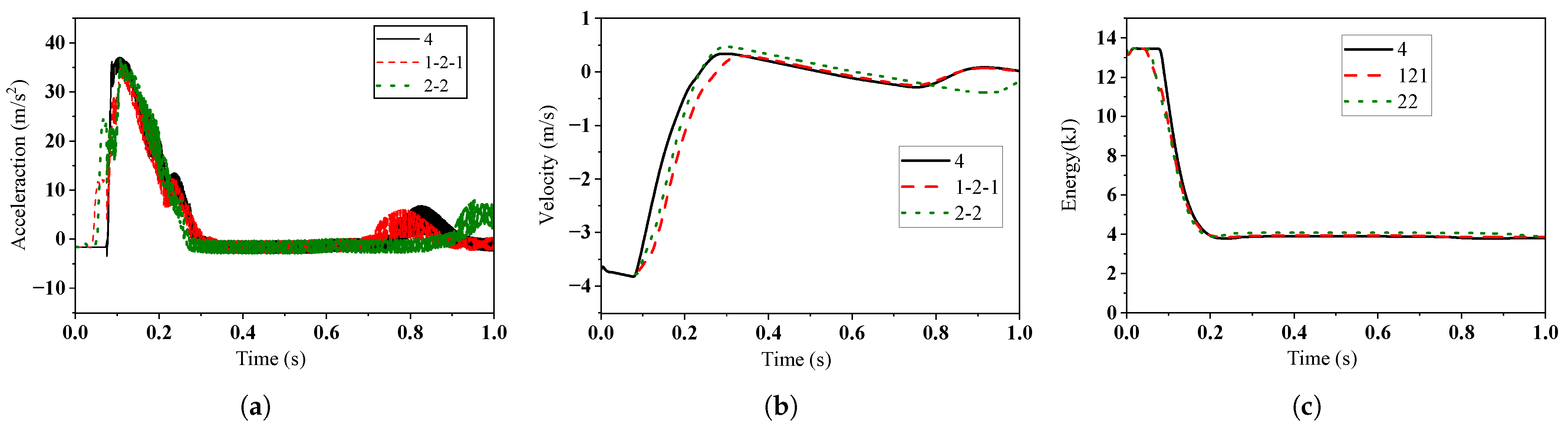
6. Simulation and Analysis for MR-Damper Lander-Lunar Soil Interaction
6.1. Coupling Simulation of an MR-Damper Lunar Impacting Lunar Soil
6.2. Parameter Analysis
6.2.1. Landing Performance Under Different Attitudes
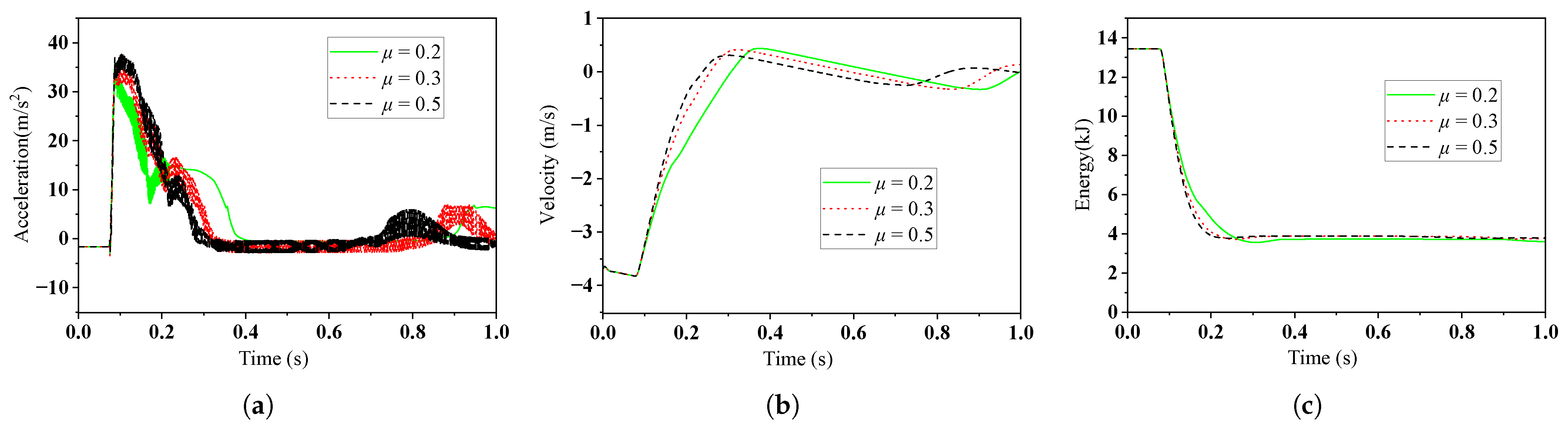
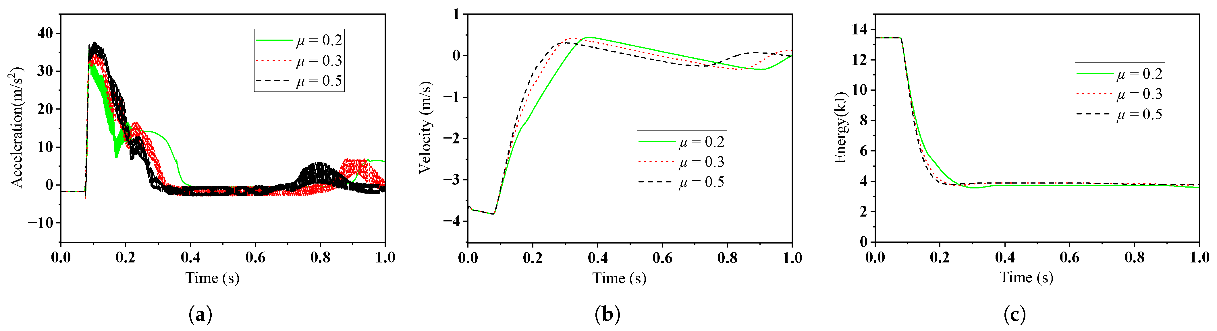
6.2.2. Landing Performance Under Different Friction Coefficients
6.2.3. Landing Performance Under Different Velocities
7. Conclusions
Author Contributions
Funding
Data Availability Statement
Conflicts of Interest
References
- Godwin, R. Surveyor: Lunar Exploration Program; Apogee Books: Burlington, ON, Canada, 2006. [Google Scholar]
- Bennett, F.V. Apollo Experience Report: Mission Planning for Lunar Module Descent and Ascent; Technical report; NASA Lyndon B. Johnson Space Center: Houston, TX, USA, 1972. [Google Scholar]
- Ye, P.; Sun, Z.; Zhang, H.; Li, F. An overview of the mission and technical characteristics of Change’4 Lunar Probe. Sci. China Technol. Sci. 2017, 60, 658–667. [Google Scholar] [CrossRef]
- ispace. ispace Announces Series 3 Lander Achieves Significant Testing Milestone for Mission 4. 2025. Available online: https://ispace-inc.com/news-en/?p=7963 (accessed on 2 October 2025).
- Ji, S.; Liang, S. DEM-FEM-MBD coupling analysis of landing process of lunar lander considering landing mode and buffering mechanism. Adv. Space Res. 2021, 68, 1627–1643. [Google Scholar] [CrossRef]
- Wei, X.; Lin, Q.; Nie, H.; Zhang, M.; Ren, J. Investigation on soft-landing dynamics of four-legged lunar lander. Acta Astronaut. 2014, 101, 55–66. [Google Scholar] [CrossRef]
- Ahure’, L.; Wereley, N.M. Behavior of Magnetorheological Fluids Employing Carrier Fluids Certified for Landing Gear Use. In Proceedings of the Smart Materials, Adaptive Structures and Intelligent Systems, Ellicott City, MD, USA, 28–30 October 2008; Volume 43314, pp. 849–857. [Google Scholar]
- Lee, J.; Oh, K. Hybrid Damping Mode MR Damper: Development and Experimental Validation with Semi-Active Control. Machines 2025, 13, 435. [Google Scholar] [CrossRef]
- Maeda, T.; Otsuki, M.; Hashimoto, T.; Hara, S. Attitude Stabilization for Lunar and Planetary Lander with Variable Damper. J. Guid. Control Dyn. 2016, 39, 1790–1804. [Google Scholar] [CrossRef]
- Wang, C.; Nie, H.; Chen, J.; Lee, H.P. The design and dynamic analysis of a lunar lander with semi-active control. Acta Astronaut. 2019, 157, 145–156. [Google Scholar] [CrossRef]
- Wang, C.; Chen, J.; Li, X.; Chen, H.; Nie, H.; Lin, F. Design, dynamic analysis, and experiments of MRF dampers for lunar landers. Adv. Space Res. 2021, 68, 3012–3025. [Google Scholar] [CrossRef]
- Choi, Y.T.; Wereley, N.M. Vibration Control of a Landing Gear System Featuring Electrorheological/Magnetorheological Fluids. J. Aircr. 2003, 40, 432–439. [Google Scholar] [CrossRef]
- Han, C.; Kang, B.H.; Choi, S.B.; Tak, J.M.; Hwang, J.H. Control of Landing Efficiency of an Aircraft Landing Gear System with Magnetorheological Dampers. J. Aircr. 2019, 56, 1980–1986. [Google Scholar] [CrossRef]
- Jo, B.H.; Jang, D.S.; Hwang, J.H.; Choi, Y.H. Experimental Validation for the Performance of MR Damper Aircraft Landing Gear. Aerospace 2021, 8, 272. [Google Scholar] [CrossRef]
- Zhu, J.; Ma, J.; Chen, J.; Wang, C.; Li, Y.; Fan, Z.; Lu, C. Improving landing stability and terrain adaptability in Lunar exploration with biomimetic lander design and control. Acta Astronaut. 2025, 226, 860–875. [Google Scholar] [CrossRef]
- Cao, P.; Hou, X.; Wang, Y.; Li, M.; Rao, X.; Shi, Y. Flexible airbag cushioning for Martian landing based on discrete element method. Adv. Space Res. 2019, 63, 2566–2583. [Google Scholar] [CrossRef]
- Yue, S.; Nie, H.; Zhang, M.; Huang, M.; Xu, D. Optimization and Performance Analysis of Oleo-Honeycomb Damper Used in Vertical Landing Reusable Launch Vehicle. J. Aerosp. Eng. 2018, 31, 04018002. [Google Scholar] [CrossRef]
- Shi, T.; Yang, Y.; Zhang, Z.; Liu, C.; Liu, C.; Ma, D. Soft-landing dynamics of a type of four-legged space lander. Aerosp. Sci. Technol. 2024, 150, 109217. [Google Scholar] [CrossRef]
- Pucker, T. Numerical study on modeling the soil footpad interaction of lunar soft landers at touchdown. Comput. Geotech. 2024, 171, 106341. [Google Scholar] [CrossRef]
- Liang, D.; Chai, H.; Chen, T. Landing dynamic analysis for landing leg of lunar lander using Abaqus/Explicit. In Proceedings of the 2011 International Conference on Electronic and Mechanical Engineering and Information Technology, Harbin, China, 12–14 August 2011; Volume 8, pp. 4364–4367. [Google Scholar]
- Zhang, K.; Zhang, Y.; Wu, J.; Shi, J. Three-dimensional MFBD-DEM coupling simulation of flexible wire mesh wheel–soil over lunar rough terrain. Comput. Part. Mech. 2024, 12, 1349–1370. [Google Scholar] [CrossRef]
- Cundall, P.; Strack, O. A discrete numerical model for granular assemblies. Geotechnique 1979, 29, 47–65. [Google Scholar] [CrossRef]
- Liu, T.; Zhou, J.; Liang, L.; Zhao, Y.; Cao, D. A novel torque analysis method for drilling deep lunar soil by DEM. J. Terramech. 2021, 94, 23–37. [Google Scholar] [CrossRef]
- Zhu, J.; Zou, M.; Shen, Y.; Cao, H.; Chen, Z.; Qi, Y. 3D DEM-FEM simulation of the flexible metal wheel–soil interaction in low gravity environments. Proc. Inst. Mech. Eng. Part C J. Mech. Eng. Sci. 2023, 237, 1267–1278. [Google Scholar] [CrossRef]
- Lei, B.; Xu, H.; Tang, L.; Liu, J.; Liu, C. Modeling and analysis for landing airbag–lunar soil interaction using a CPU–GPU-based FMBD-DEM computational framework. Mech. Mach. Theory 2024, 198, 105668. [Google Scholar] [CrossRef]
- Coetzee, C. Review: Calibration of the discrete element method. Powder Technol. 2017, 310, 104–142. [Google Scholar] [CrossRef]
- Lei, B.; Xu, H.; Sun, Q.; Zhang, N.; Zhao, Z.; Liu, J. A CPU parallelized coupling framework for constrained flexible multibody system and granular matter based on contact-graph. Powder Technol. 2023, 430, 118973. [Google Scholar] [CrossRef]
- Likins, P.W. Modal method for analysis of free rotations of spacecraft. AIAA J. 1967, 5, 1304–1308. [Google Scholar] [CrossRef]
- Hong, J. Computational Dynamics of Multibody Sustem; Higher Education Press: Beijing, China, 1999. (In Chinese) [Google Scholar]
- Arabyan, A.; Wu, F. An improved formulation for constrained mechanical systems. Multibody Syst. Dyn. 1998, 2, 49–69. [Google Scholar] [CrossRef]
- Baumgarte, J.W. A New Method of Stabilization for Holonomic Constraints. J. Appl. Mech. 1983, 50, 869–870. [Google Scholar] [CrossRef]
- Jiang, M.; Yu, H.S.; Harris, D. A novel discrete model for granular material incorporating rolling resistance. Comput. Geotech. 2005, 32, 340–357. [Google Scholar] [CrossRef]
- Mindlin, R.D.; Deresiewicz, H. Elastic Spheres in Contact Under Varying Oblique Forces. J. Appl. Mech. 2021, 20, 327–344. [Google Scholar] [CrossRef]
- Rojek, J. Contact Modeling in the Discrete Element Method. In Contact Modeling for Solids and Particles; Springer International Publishing: Cham, Switzerland, 2018; pp. 177–228. [Google Scholar]
- Zhou, Y.; Wright, B.; Yang, R.; Xu, B.; Yu, A. Rolling friction in the dynamic simulation of sandpile formation. Phys. A Stat. Mech. Its Appl. 1999, 269, 536–553. [Google Scholar] [CrossRef]
- Shen, Y.; Liu, C.; Zhou, D.; Wang, Z.; Zhou, L.; Ma, H.; Zhao, Y. A parallel coupling framework for DEM-MBD: Model verification and application. Powder Technol. 2024, 448, 120257. [Google Scholar] [CrossRef]
- Xuyan, H.; Pingping, X.; Wang, Y.; Cao, P.; Tang, T. Theoretical and discrete element simulation studies of aircraft landing impact. J. Braz. Soc. Mech. Sci. Eng. 2018, 40, 115. [Google Scholar] [CrossRef]















| Parameter | Value |
|---|---|
| Density | 2600 kg/m3 |
| Young’s modulus | 35 MPa |
| Frictional coefficient between particles | 0.44 |
| Restitution coefficient between particles | 0.1 |
| Rolling resistance coefficient between particles | 0.2 |
| Frictional coefficient between lander and particles | 0.3 |
| Restitution coefficient between lander and particles | 0.4 |
| Rolling resistance coefficient between lander and particles | 0.1 |
| Parameter | Experiment [37] | EDEM [37] | DEM-FEM-MBD [5] | Proposed Model |
|---|---|---|---|---|
| Depth | 90 mm | 145 mm | 88 mm | 93 mm |
| Maximum Force | 80 kN | 132 kN | 94 kN | 86 kN |
| Parameter | Symbol | Value |
|---|---|---|
| Lander mass | 1250 kg | |
| Vertical velocity | −3.8 m/s | |
| Young’s modulus | 207 GPa | |
| Poisson’s ratio | 0.1 | |
| Gravitational acceleration | −1.63 m/s2 | |
| Adjustable damping force | 8278.72 N | |
| Non-adjustable damping force | 3651.19v N | |
| Initial pressure | 1.0 MPa | |
| Initial volume | 5.53 × 10−4 m3 |
Disclaimer/Publisher’s Note: The statements, opinions and data contained in all publications are solely those of the individual author(s) and contributor(s) and not of MDPI and/or the editor(s). MDPI and/or the editor(s) disclaim responsibility for any injury to people or property resulting from any ideas, methods, instructions or products referred to in the content. |
© 2025 by the authors. Licensee MDPI, Basel, Switzerland. This article is an open access article distributed under the terms and conditions of the Creative Commons Attribution (CC BY) license (https://creativecommons.org/licenses/by/4.0/).
Share and Cite
Lin, H.; Lei, B.; Yao, W. A FMBD-DEM Coupled Modeling for Semi-Active Controlled Lunar Lander. Aerospace 2025, 12, 935. https://doi.org/10.3390/aerospace12100935
Lin H, Lei B, Yao W. A FMBD-DEM Coupled Modeling for Semi-Active Controlled Lunar Lander. Aerospace. 2025; 12(10):935. https://doi.org/10.3390/aerospace12100935
Chicago/Turabian StyleLin, Hanyu, Bo Lei, and Weixing Yao. 2025. "A FMBD-DEM Coupled Modeling for Semi-Active Controlled Lunar Lander" Aerospace 12, no. 10: 935. https://doi.org/10.3390/aerospace12100935
APA StyleLin, H., Lei, B., & Yao, W. (2025). A FMBD-DEM Coupled Modeling for Semi-Active Controlled Lunar Lander. Aerospace, 12(10), 935. https://doi.org/10.3390/aerospace12100935
