Next Article in Journal
Effects of the Fuel Species on the Combustion Pressure in a Two Staged Fueled Scramjet Combustor
Previous Article in Journal
Neural Network-Based Parameter Estimation and Compensation Control for Time-Delay Servo System of Aeroengine
Previous Article in Special Issue
Numerical Modeling, Trim, and Linearization of a Side-by-Side Helicopter in Hovering Conditions
 
 
Font Type:
Arial Georgia Verdana
Font Size:
Aa Aa Aa
Line Spacing:
Column Width:
Background:
Article

Adaptive Controller Design for Improving Helicopter Flying Qualities

by
Wei Wu
Department of Helicopters, College of Aerospace Engineering, Nanjing University of Aeronautics and Astronautics, Nanjing 210016, China
Aerospace 2025, 12(1), 65; https://doi.org/10.3390/aerospace12010065
Submission received: 27 November 2024 / Revised: 31 December 2024 / Accepted: 15 January 2025 / Published: 17 January 2025
(This article belongs to the Special Issue Vertical Lift: Rotary- and Flapping-Wing Flight)

Abstract

A comprehensive flight control law design method based on adaptive control is presented in this paper. The proposed method consists of three basic modules—model decoupling, online system identification and adaptive pole placement. The model decoupling module decouples the helicopter flight dynamics model based on dynamic inversion technique. This procedure helps to reduce the difficulties in online system identification and adaptive controller design. In online system identification module, a recursive extended least squares algorithm is established to identify the augmented linear flight dynamics model which is composed of helicopter model and unideal noise model. The helicopter model parameters and the noise parameters are identified simultaneously which improves the identification accuracy as well as robustness. Pole placement is implemented in the last module, and an optimization method is developed to help selecting ideal poles. The adaptive rule in this step is designed based on eigenvalue analysis of the model to remove all unnecessary oscillations of the control parameters. An adaptive controller is designed according to the developed method for the UH-60A helicopter based on a nonlinear simulation program. Typical response types are also implemented. The simulation results show that the designed adaptive controller has high performance as well as robustness in both hover and forward flight.

1. Introduction

The rotorcraft is a special aircraft which can perform hovering, vertical takeoff and landing as well as low speed maneuvers, and it has already been widely used in civil and military domain. However, the flying quality of a helicopter is poor due to many reasons, such as a helicopter is highly coupled, it is quite unstable and the vibration and noise levels are very high. The poor flying quality brings many problems in actual flight, for example, the pilot needs to make compensation controls to eliminate undesirable cross coupling responses at any time during flight which means the workload is very high. Moreover, in some severe condition, such as during aggressive maneuver procedure, the poor flying quality will cause safety problems. Therefore, the operational capability and the mission effectiveness of a helicopter are limited for these reasons. In order to solve these problems, the flying quality of a helicopter must be improved. A proper flying quality specification is required for flying quality design. However, since the dynamic characteristics of a helicopter are very complex, the helicopter flying quality specification is also experienced a long time of evolution [1]. In the first helicopter flying quality specification, the MIL-H-8501 and its revised version (the MIL-H-8501A), the primary requirements only consisted of simple time domain parameters. However, in the current specification, the ADS-33E-PRF [2], the coverage of design requirements is expanded significantly. When we have the specification on hand, the rest problem is how to improve the flying quality of a helicopter based on certain specification. Basically, there are two different ways to deal with this problem. The first way is to optimize some of the design parameters of a helicopter such as rotor diameter, rotor height, rotor flapping hinge offset, position and area of vertical tail or horizontal tail etc. However, since the helicopter is highly coupled and the dynamic behavior of a helicopter is very complex, adjusts one certain design parameter may increase the flying quality level of some requirements defined in the specification but decrease the others. Therefore, the optimization results of all design parameters will always be a compromised solution. The second way is to design a proper flight control system with high performance, and it has already been proven that this kind of approach is much more efficient and effective than the first way.
However, the complexity of a helicopter also brings many difficulties in flight control system design [3,4]. Although most of the current controllers used in helicopters are designed based on classical PID (Proportional-Integral-Derivative) control method, the disadvantages of PID controllers in helicopter flight control are also very obvious. For example, a helicopter has strong nonlinearities, which means the dynamic characteristics of a helicopter have large differences in different flight states. If a PID controller is designed in one flight state (such as hover), the performance of the controller will be decreased considerably in other flight states (forward flight for instance). Although different values of PID coefficients are usually used in different flight states, the nonlinear control ability in moderate to aggressive maneuvers is still not satisfactory. On the other hand, a PID controller is usually sensitive to disturbances. Therefore, the overall performance of a PID controller is limited. In order to overcome the shortages of PID controllers, there are lots of research concentrated on development of advanced flight control design tools based on modern control theory. Optimal control and model-following control method have already been used to design the flight control laws for helicopters that are equipped with fly-by-wire or flight-by-light control system for decades [5,6,7]. Flight test results indicate the performance of such controllers is increased significantly compared with PID controllers. Robust control is another advanced tool for helicopter flight control law design [8,9]. In this kind of method, the influences of model uncertainties caused by nonlinearity, measurement noise and environment disturbances etc. are considered during the design process, so the controllers designed by this approach will be much more robust than PID controllers. Adaptive control, which can modify its behavior in response to changes in dynamics and the character of the disturbances, is a perfect tool for flight control law design of complex aircraft including helicopters. There are plenty of papers addressed their achievements in adaptive control research, and these studies proposed many excellent ideas in neural adaptive control and model reference adaptive control for fixed wings and helicopters [10,11,12,13,14,15,16]. New theoretical achievements for adaptive control design were also well developed [17]. However, there still remain difficulties in designing an adaptive controller for helicopters. It is difficult to obtain accurate flight dynamics models by online system identification due to the complicated model structure and the existence of high level of measurement noise. The unstable and high nonlinear characteristics of helicopters cause the coefficients of the feedback matrix in an adaptive controller change at very high frequency. Therefore, the stability and efficiency of the controller are reduced.
In order to solve the above problems, a hybrid adaptive control design method which is composed of dynamic inversion and adaptive pole placement is developed in this paper for improving flying qualities of a helicopter. An improved online system identification algorithm is also established which is able to consider the influence of measurement noise. An optimization method is developed to help selecting idea poles for pole placement controller design. The adaptive strategy is selected to ensure the controller keeps high performance from hover to high-speed forward flight state while the feedback coefficients have minimum changing frequency. Application of the developed method to a UH-60A helicopter shows the proposed adaptive control design method is effective, efficient and robust.

2. General Description of the Design Method

A general controller structure based on the developed design method can be found in Figure 1. Basically, there are two control loops in the controller. The inner loop is used to decouple the helicopter, and the outer loop is designed to make the helicopter reach required flying quality level according to the ADS-33E-PRF. Since the identification of full coupled flight dynamics model is a difficult task especially in real time, the helicopter is decoupled before the identification module to simplify the identification problem by a dynamic inversion controller. Then in the system identification module, only several decoupled or weak coupled models are need to be identified. In the pole placement controller module, ideal poles in each control channel are designed for different purpose according to the ADS-33E-PRF, and a pole placement algorithm is applied to the identified flight dynamics model to ensure the poles of final closed-loop model are identical to ideal poles. Because the sampling frequency of airborne sensors is high, so the differences among each identified model in contiguous sampling points are very small. In some cases, such as in steady hover or steady forward flight, the identified real time models are nearly identical. Therefore, there is no need to do pole placement at each sampling points. The adaptive rule is set then based on model analysis to avoid unnecessary calculation of feedback matrix. As a consequence, the efficiency and the stability of the controller are increased.
Details of the three basic modules, i.e., inner loop decoupling controller, online system identification and adaptive pole placement will be discussed in the following sections. A nonlinear model of the UH-60A helicopter which can be found in Ref. [18] is used in this paper to do numerical simulation and validation of the designed adaptive controller. The data used for flight dynamics modeling of UH-60A helicopter can be found in Ref. [19].

3. Inner Loop Decoupling Controller

In order to decouple a helicopter, an inner loop controller is designed based on dynamic inversion technique. Because the poles of a helicopter will be used to design outer loop controller, and these poles can be represented by the eigenvalues of stability matrix in linear state space model. Therefore, a linear dynamic inversion solver is applied in this paper, while a linear state space flight dynamics model is used in dynamic inversion calculation.
Figure 2 shows the basic principle of dynamic inversion controller. A linear state space flight dynamics model of a helicopter is represented as Equation (1). The feedback matrix Kinv and feedforward matrix Linv can be determined according to current stability matrix A and control matrix B of a helicopter.
x ˙ = A x + B u
A closed-loop model is easily obtained according to Figure 2, which can be written as Equation (2). It is obviously that the closed-loop model can be decoupled by selecting proper Kinv and Linv matrix. In order to obtain the solution, matrix inverse calculation is required. However, the control matrix B is not a square matrix, which means the normal inverse matrix does not exist.
x ˙ = ( A B K i n v ) x + B L i n v ν
Considering there are both fast and slow state variables in x, the whole system will be stable if the fast state is stabilized. Therefore, Equation (2) can be replaced by Equation (3) for solving the dynamic inversion problem.
x ˙ i n v = ( A i n v B i n v K i n v ) x + B i n v L i n v ν
in which, x i n v = [ w , p , q , r ] T , x = [ u , v , w , p , q , r , ϕ , θ , ψ ] T , ν = δ l o n g , δ l a t , δ c o l , δ p e d T , A i n v is a 4 × 9 matrix, B i n v is a 4 × 4matrix.
The next step is to define ideal decoupled model structure. Weak decoupled stability matrix Aexp and control matrix Bexp are shown in Equations (4) and (5), respectively. The reason for not using fully decoupled model is to keep lateral-directional oscillation modes in the model. In the ADS-33E-PRF, special requirements are defined for these modes such as Dutch roll. Therefore, these modes should be maintained and optimized in the pole placement module.
A i n v B i n v K i n v = A exp = 0 0 Z w 0 0 0 0 0 0 0 0 0 L p 0 L r 0 0 0 0 0 0 0 M q 0 0 0 0 0 0 0 N p 0 N r 0 0 0
B i n v L i n v = B exp = 0 0 Z δ c o l 0 0 L δ l a t 0 L δ p e d M δ l o n g 0 0 0 0 N δ l a t 0 N δ p e d
The solution for the Kinv and Linv matrix can be easily obtained by combining Equations (3)–(5), as shown in Equations (6) and (7).
L i n v = B i n v 1 B exp
K i n v = B i n v 1 ( A i n v A exp )
A decoupling controller is designed for a UH-60A helicopter in the hover condition, based on the preceding method. The solutions, which can be found in Equations (8) and (9), are obtained by using Equations (6) and (7); the stability matrix Ainv and control matrix Binv are determined based on the theoretical flight dynamics model of the UH-60A helicopter [18] in the hover condition.
L i n v = 0.9993 0.0106 0.0218 0.0443 0.0337 0.997 0.0422 0.0046 0.0172 0 0.9919 0.0733 0.0015 0 0.1055 0.9922
K i n v = 0.0105 0.0394 0.0062 0.9375 0.0014 0.0092 0.0036 0.0078 0 0.0073 0.0214 0.0015 0.0315 2.0038 0.0019 0.0070 0.0151 0 0.0028 0.0017 0 0.0149 0.0804 0.0377 0.1638 0.3542 0 0.0035 0.0169 0.0033 0.0012 0.4632 0.0040 0.0174 0.0377 0
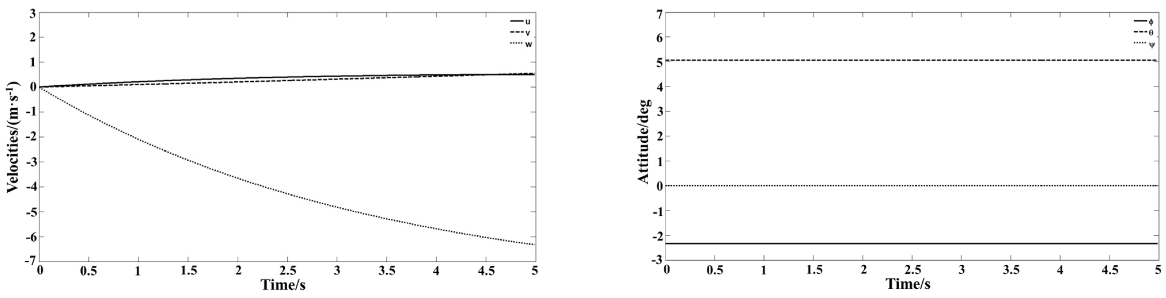
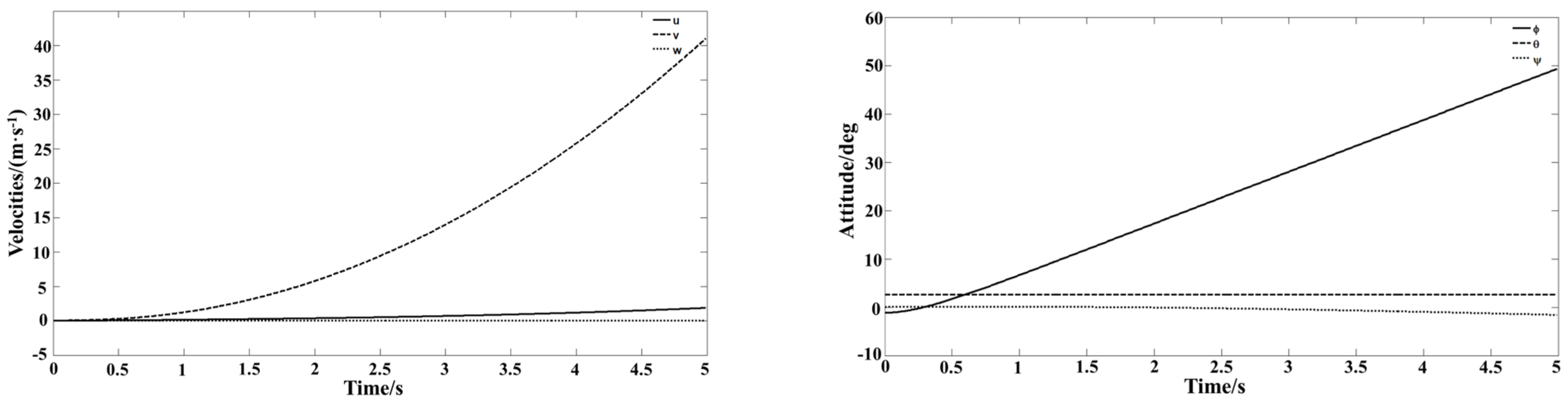
Starting from the stable hover condition, step inputs with an amplitude of 5% for the longitudinal cyclic, lateral cyclic, collective, and pedal are applied to the decoupled model, respectively. The simulation results are shown in Figure 3, Figure 4, Figure 5 and Figure 6. It is obvious that the longitudinal channel and vertical channel are fully decoupled, while the lateral channel and directional channel are weakly coupled. Moreover, the performance of the controller is maintained well in different flight speeds.

4. Online System Identification

Online system identification is a very important module in an adaptive controller, since the accuracy of the identified model has large influences on controller’s performance. However, the identification problem of a helicopter is very complex. Nearly five decades have passed since the first attempt to apply system identification into helicopter flight dynamics modeling, and plenty of methods have been developed both in the time domain and frequency domain [20,21,22,23,24]. However, most of these methods are used for offline identification purposes, and it is not possible to integrate these comprehensive methods into an adaptive controller. The most frequently used identification algorithm in an adaptive controller is currently the recursive least squares (RLS) method. This kind of method is easy to implement and efficient, but it is not robust to noise. A helicopter has high levels of vibration and measurement noise during flight, which means that the measured responses are contaminated. Although there are low-pass filters in flight control systems, the influence of measurement noise on measured data still exists. Theoretically speaking, the least squares estimator is unbiased and consistent only when there is white noise or no noise in the measured data. Therefore, in most of the current online identification methods, measurement noise is neglected or simplified to white noise. Unfortunately, the measurement noise of a helicopter will always be colored, and the white noise assumption brings additional identification errors.
In this paper, a recursive extended least squares algorithm is established. Because the helicopter is decoupled before identification, the full-coupled flight dynamics model identification problem can be replaced by identifying three decoupled and weakly coupled models, as shown in Equations (10)–(12).
u ˙ q ˙ θ ˙ = X u X q g cos θ 0 M u M q 0 0 1 0 u q θ + X δ l o n g M δ l o n g 0 δ l o n g
w ˙ = Z w w + Z δ c o l δ c o l
v ˙ p ˙ r ˙ ϕ ˙ ψ ˙ = Y v Y p + w 0 Y r u 0 g cos θ 0 c o s ϕ 0 0 L v L p L r 0 0 N v N p N r 0 0 0 1 tan θ 0 0 0 0 0 1 / cos θ 0 0 0 v p r ϕ ψ + Y δ l a t Y δ p e d L δ l a t L δ p e d N δ l a t N δ p e d 0 0 0 0 δ l a t δ p e d
In order to consider the influences of unideal measurement noise, a second-order noise model is established, as shown in Equation (13).
e ( t ) = ξ ( t ) + d 1 ξ ( t Δ t ) + d 2 ξ ( t 2 Δ t )
In which e is the unideal noise vector, t is the time variable, Δt is the sampling time interval, d1 and d2 are the noise model parameter vectors, and ξ is the noise description vector which can be approximated by the model prediction error.
Substituting Equation (13) into Equations (10)–(12), and after some mathematical manipulation, a standard discrete least squares identification model can be obtained, as shown in Equation (14). The detailed structure of each component in Equation (14) can be found in Equations (15)–(17) for the different models.
y ( k ) = h T ( k ) θ + e ¯ ( k )
Longitudinal model:
y l o n g ( k ) = a x ( k ) , q ˙ ( k ) T θ l o n g = X u , X q , X δ l o n g , d 1 l o n g 1 , d 2 l o n g 1 , M u , M q , M δ e , d 1 l o n g 2 , d 2 l o n g 2 T h l o n g ( k ) = u ( k ) q ( k ) δ l o n g ( k ) ξ 1 l o n g ( k 1 ) ξ 1 l o n g ( k 2 ) 0 0 0 0 0 0 0 0 0 0 u ( k ) q ( k ) δ l o n g ( k ) ξ 2 l o n g ( k 1 ) ξ 2 l o n g ( k 2 ) T e ¯ l o n g ( k ) = ξ 1 l o n g ( k ) , ξ 2 l o n g ( k ) T
Vertical model:
y v e r ( k ) = a z ( k ) T θ v e r = Z w , Z δ c o l , d 1 v e r , d 2 v e r T h v e r ( k ) = w ( k ) δ c o l ( k ) ξ 1 v e r ( k 1 ) ξ 1 v e r ( k 2 ) T e ¯ v e r ( k ) = ξ 1 v e r ( k )
Lateral-directional model:
y l a t y a w ( k ) = a y ( k ) , p ˙ ( k ) , r ˙ ( k ) T θ l a t y a w = Y v , Y p , Y r , Y δ l a t , Y δ p e d , d 1 l a t y a w 1 , d 2 l a t y a w 1 , L v , L p , L r , L δ l a t , L δ p e d , d 1 l a t y a w 2 , d 2 l a t y a w 2 , N v , N p , N r , N δ l a t , N δ p e d , d 1 l a t y a w 3 , d 2 l a t y a w 3 T h l a t y a w = v ( k ) p ( k ) r ( k ) δ l a t ( k ) δ p e d ( k ) ξ 1 l a t y a w ( k 1 ) ξ 1 l a t y a w ( k 2 ) 0 0 0 0 0 0 0 0 0 0 0 0 0 0 v ( k ) p ( k ) r ( k ) δ l a t ( k ) δ p e d ( k ) ξ 2 l a t y a w ( k 1 ) ξ 2 l a t y a w ( k 2 ) 0 0 0 0 0 0 0 0 0 0 0 0 0 0       0 0 0 0 0 0 0 0 0 0 0 0 0 0 v ( k ) p ( k ) r ( k ) δ l a t ( k ) δ p e d ( k ) ξ 3 l a t y a w ( k 1 ) ξ 3 l a t y a w ( k 2 ) T e ¯ l a t y a w ( k ) = ξ 1 l a t y a w ( k ) , ξ 2 l a t y a w ( k ) , ξ 3 l a t y a w ( k ) T
A numeric iteration algorithm, as shown in Equation (18), can be applied directly to the above extended models. Q is the model structure weighting matrix. Matrix Q is a diagonal matrix, and the values of the diagonal elements in Q can be determined by Equations (19)–(21).
θ ^ ( t ) = θ ^ ( t Δ t ) + Q ( t ) K ( t ) [ y ( t ) h T ( t ) θ ^ ( t Δ t ) ] K ( t ) = P ( t Δ t ) h ( t ) h T ( t ) P ( t Δ t ) h ( t ) + I 1 P ( t ) = I K ( t ) h T ( t ) P ( t Δ t )
Q i i ( t ) = 1 , i f J i ( t ) > 0 , i = 1 , 2 , , n 0 , i f J i ( t ) 0 , i = 1 , 2 , , n
J i = C R c r i t i c a l C R i C R c r i t i c a l
In Equation (20), CR is the Cramer–Rao bound of the identified parameters, and the critical value of the Cramer–Rao bound can be set according to the guidelines provided by Ref. [23]. The online calculation of the Cramer–Rao bound can be implemented by using Equation (21).
C R i = ( H 1 ) i i H i j t = υ t θ i t T R 1 υ t θ j t R t 1 = L L 1 R t 1 1 R t 1 1 υ t c ( υ t c ) T R t 1 1 L 1 + ( υ t c ) T R t 1 1 υ t c
In which v is the model prediction error, and the data saturation problem in Equation (21) is avoided by adding a window with length L in the identification process; when the number of data used in identification reaches L, the covariance matrix P will be reset according to current states.
The identification results of a UH-60A helicopter in the hover condition are shown in Table 1, Table 2 and Table 3 and Figure 7 and Figure 8, while a comparative study between the developed method in this paper with the standard RLS algorithm was also conducted. A 3–2–1–1 input signal, which is different to the sweep excitation used in the identification procedure, was applied to verify the identified models. The verification results are shown in Figure 9, Figure 10, Figure 11 and Figure 12. The true values of all the derivatives in Table 1, Table 2 and Table 3 were calculated based on the theoretical model used in this paper. It is apparent that the identification accuracy of the developed method is increased significantly compared to the standard RLS method, and this is especially true when the signal to noise ratio is low (Figure 11 and Figure 12). This is because in the standard RLS algorithm, noise is treated as white random signal, which has zero mean value and constant variance. However, real noise is colored, and it has a non-zero mean value and time variant variance. So there exists a bias term between the ideal noise and the real noise, and a biased estimation of the model parameters is obtained. In the method developed in this paper, the bias term is represented as a colored noise model. Therefore, the bias in the helicopter model parameter identification is eliminated. Figure 13 shows the noise prediction error, and the good prediction capability of the noise model is also proven.

5. Adaptive Pole Placement

Pole placement is a powerful tool in modern control theory, and it is very suitable for flying quality design. This is because in ADS-33E-PRF, many of the flying quality requirements can be represented by poles or eigenvalues. It is very convenient to use ideal poles or eigenvalues to implement flying quality design. If the closed loop model of a helicopter has the designed poles or eigenvalues, then this helicopter will reach the expected flying quality level. Since different requirements are defined for hover/low-speed flight and forward flight in ADS-33E-PRF, the ideal poles should also be designed separately in different flight states. In this paper, the ideal poles in hover and low-speed flight states are designed based on small-amplitude attitude change (short-term and mid-term responses to control inputs) and the response to collective controller. In a forward flight state, besides the above requirements, the lateral-directional stability is also used in ideal poles design.
The flight dynamics model used in adaptive pole placement is the 6-degrees-of-freedom state space model, the same as in Equation (1). However, since the model is decoupled, stability matrix A and control matrix B in Equation (1) now have very simple structures, as shown in Equations (22) and (23).
A = X u 0 0 0 X q 0 0 g cos θ 0 0 0 Y v 0 Y p 0 Y r g cos θ 0 cos ϕ 0 0 0 0 0 Z w 0 0 0 0 0 0 0 L v 0 L p 0 L r 0 0 0 M u 0 0 0 M q 0 0 0 0 0 N v 0 N p 0 N r 0 0 0 0 0 0 1 0 tan θ 0 0 0 0 0 0 0 0 1 0 0 0 0 0 0 0 0 0 1 / cos θ 0 0 0 0
B = X δ l o n g 0 0 0 0 Y δ l a t 0 Y δ p e d 0 0 Z δ c o l 0 0 L δ l a t 0 L δ p e d M δ l o n g 0 0 0 0 N δ l a t 0 N δ p e d 0 0 0 0 0 0 0 0 0 0 0 0
Since Equations (22) and (23) are nearly decoupled, the inter-axis coupling of a helicopter may now reach flying quality Level 1, and this can be proven by using Figure 3, Figure 4, Figure 5 and Figure 6. However, the other flying quality requirements such as stability and control bandwidth are still not improved. Therefore, the ideal poles should be designed according to these flying quality requirements. In this paper, the ideal poles in hover and low-speed flight states are designed based on small-amplitude attitude change (short-term and mid-term responses to control inputs) and the response to the collective controller. In the forward flight state, besides the above requirements, lateral-directional stability is also considered in the ideal poles’ design.
The designed ideal poles in longitudinal channel include 1 negative real pole and 2 conjugate complex poles. The negative real pole represents longitudinal damping, and the complex poles represent the longitudinal dynamic mode of a helicopter, such as hover oscillation or phugoid in forward flight. The values of ideal poles can be determined by the numeric optimization method. The original longitudinal damping of a helicopter can be used as the initial value of the negative real pole, and an initial guess of the complex poles can be determined easily according to Figure 14 [2] by selecting an arbitrary point in the Level 1 area. Then these poles can be optimized according to the cost function defined in Equation (24).
J = f p h a ( T f h ( s ) T f A c ( s ) ) f b a n d ( T f h ( s ) T f A c ( s ) )
where Tfh(s) is the helicopter longitudinal transfer function, which has a form as shown in Equation (25); TfAc(s) is the actuator transfer function, which is known for a certain type of helicopter (the actuator model for the UH-60A helicopter used in this paper can be found in reference [19]); fpha(·) is a function to calculate the phase delay of longitudinal control, while fband(·) is a function to calculate the control bandwidth in the longitudinal channel.
T f h ( s ) = Z ( s ) ( T s + 1 ) ( s 2 + 2 ζ ω s + ω 2 )
Z(s) in Equation (25) is the numerator polynomial of a real longitudinal transfer function of a certain type of helicopter, which can be obtained from theoretical model or offline system identification in advance. Therefore, Z(s) will remain unchanged during the optimization procedure, and the optimization problem can be defined as follows:
  • Problem 1:
Optimize T, ζ,ω in Equation (25) to minimize J in Equation (24)
s.t. all poles in Equation (25) still drop in Level 1 area in Figure 14
The above constrained optimization can be replaced by a non-constrained problem:
  • Problem 2:
Optimize T, ζ,ω in Equation (25) to minimize J1 in Equation (26)
J 1 = f p h a ( T f h ( s ) T f A c ( s ) ) f b a n d ( T f h ( s ) T f A c ( s ) ) + g ( T , ζ , ω )
where g(·) is a punishment function. If the poles in Equation (25) drop in the Level 1 area in Figure 14, the value of this function will be 0, otherwise, the function will have a positive value. In this paper, the positive value of the punishment function is calculated using the normalized distances of the poles to the Level 1 boundary. If Equation (26) is minimized, the obtained ideal poles will ensure that the dynamic system has the minimum phase delay and maximum bandwidth. The above non-constrained optimization problem can be solved by a quasi-Newton method. The partial derivatives in the Newton iteration can also be calculated numerically.
The ideal poles in the lateral-directional channel include 3 negative real poles and 2 conjugate complex poles. The negative real poles represent lateral damping, yaw damping, and spiral mode, and the complex poles represent lateral hover oscillation or Dutch roll mode in forward flight. The values of the lateral ideal poles can be determined using the same method as in the longitudinal channel. An initial guess of complex poles can be determined according to Figure 14 in hover/low-speed flight and according to Figure 15 [2] in forward flight state.
A vertical idea pole can be set based on the height response characteristics requirement. In ADS-33E-PRF, this requirement only needs vertical rate response have a qualitative first-order appearance for at least 5 s following a step collective input. Therefore, vertical ideal pole can be set as a proper negative real number directly.
When all the ideal poles are determined, the next step is to solve the pole placement problem, as defined in Equation (27). Fully controllable of (A, B) is a sufficient and necessary condition to guarantee Equation (27) has a solution. It is obvious that all the state variables of a helicopter can be controlled by a pilot, i.e., (A, B) is fully controllable. There are many comprehensive solvers used to calculate the feedback control matrix Kpole. In this paper, the solution of Equation (27) is obtained according to the algorithm introduced in Ref. [25].
λ i ( A B K p o l e ) = λ i * ,   i = 1 , 2 , , n
The closed-loop poles in Equation (27) have exactly the same value as the desired ideal poles. Moreover, if the open-loop poles of the A matrix in Equation (27) show small changes, the closed-loop poles will be very close to the desired ideal poles when using the same feedback matrix Kpole. This indicates that the performance of the controller will maintain well when using one constant Kpole matrix in a reasonable flight state range. Therefore, there is no need to perform pole placement calculation at each sampling time. In this paper, an adaptive strategy for pole placement is developed, as is illustrated in Figure 16.
The cost function J in Figure 16 can be determined by Equations (28) and (29).
J = 1 i f J i 0 i = 1 , 2 , , 9 1 i f J i > 0   f o r   a t   l e a s t   1 i i = 1 , 2 , , 9
J i = 1 2 λ i c u r r e n t λ i b a s e l i n e λ i b a s e l i n e + arctan Im ( λ i c u r r e n t ) Re ( λ i c u r r e n t ) arctan Im ( λ i b a s e l i n e ) Re ( λ i b a s e l i n e ) arctan Im ( λ i b a s e l i n e ) Re ( λ i b a s e l i n e ) W , i f λ i c u r r e n t i s c o m p l e x i = 1 , 2 , , 9 λ i c u r r e n t λ i b a s e l i n e λ i b a s e l i n e W , i f λ i c u r r e n t i s r e a l i = 1 , 2 , , 9
In which λcurrent indicates the current eigenvalue, λbaseline indicates the baseline eigenvalue, Im(·) is the imaginary part of complex number while Re(·) is the real part of complex number, and W is a weighting coefficient. In this paper, if the eigenvalue is real, the value of this coefficient will be 0.1, otherwise, the value will be 0.2. If the pole placement is carried out, then the baseline eigenvalues will be updated by the current open loop eigenvalues of the A matrix.
Based on the developed adaptive pole placement controller, the Attitude Command Attitude Hold (ACAH), Height Hold (HH) and Translational Rate Command (TRC) response types defined in ADS-33E-PRF were implemented for a UH-60A helicopter. All simulations were started from a stable hover condition. In the ACAH simulation, 0°, −3°, and −6° pitch angle commands were applied in sequence. In the HH simulation, an altitude command of 100 m was applied while the helicopter accelerated from hover to 60 m/s. In the TRC simulation, 30 m/s, 50 m/s, and 70 m/s flight speed commands were applied in sequence. Figure 17 shows the basic controller structure for implementing ACAH/HH/TRC response types. In the simulation, the primary actuator of a UH-60A helicopter [19] was used, and the rate limit of the actuator was set to be 20%/s. Figure 18, Figure 19 and Figure 20 show the verification of these three response types. It can be found that all three response types meet the requirements in the flying quality specification. Moreover, the performance of the controller was maintained well from the hover to high-speed forward flight state. This indicates that the adaptive control law designed in this paper is effective.

6. Conclusions

A comprehensive adaptive flight controller design method for improving helicopter flying qualities is developed in this paper. Main achievements and improvements can be summarized as follows:
  • A novel adaptive flight controller design strategy for helicopters is proposed, which combines inner-loop decoupling, robust online system identification, and efficient online pole placement together.
  • An inner-loop decoupling controller based on a dynamic inversion technique is very useful to reduce the difficulties in designing an outer-loop adaptive controller. Weak coupled model has a very simple model structure, which is very helpful to increase the efficiency in online system identification and pole placement calculation.
  • An improved online system identification method is developed. The novelty work performed in this procedure comprises an introduction of the noise model, which helps to solve the biased estimation problem due to colored measurement noise so that the overall identification accuracy is increased. The established recursive extended least squares algorithm with online model structure optimization is proven to be very effective and efficient in the real-time system identification of a helicopter flight dynamics model.
  • An optimization method is developed to reduce the difficulties in ideal poles design. An adaptive pole placement controller is designed, which is very suitable for flying quality improvement. The developed adaptive strategy based on eigenvalue analysis eliminates all unnecessary adjustments of the feedback control matrix, which helps to increase the stability and efficiency of the adaptive controller.

Funding

This research was funded by National Natural Science Foundation of China, grant number 61503183, Foundation of the Key Laboratory of Helicopter Aeromechanics, grant number 2024-CXPT-GFJJ-093-01.

Data Availability Statement

The data presented in this study are available on request from Wei Wu.

Acknowledgments

The author would like to thank all colleagues who provide useful advice to this research.

Conflicts of Interest

The author declares no conflicts of interest.

Nomenclature

Astability matrix
Bcontrol matrix
Ainvstability matrix for dynamic inversion
Binvcontrol matrix for dynamic inversion
CRCramer–Rao bound
HHessian matrix
L, M, Nroll, pitch and yaw moment respectively
Rcovariance matrix
Ttime constant of first order system
X, Y, Zaerodynamic forces in body coordinate system along x, y and z axis
p, q, rangular velocities of roll, pitch and yaw
u, v, wlinear velocities in body coordinate system along x, y and z axis
φ, θ, ψroll, pitch and yaw angle respectively
ξmeasurement noise vector
δlonglongitudinal cyclic
δlatlateral cyclic
δcolcollective
δpedpedal
X(·), Y(·), Z(·)partial derivatives of aerodynamic forces
L(·), M(·), N(·)partial derivatives of aerodynamic moments

References

  1. Mitchell, D.G.; Doman, D.B.; Key, D.L.; Klyde, D.H.; Leggett, D.B.; Moorhouse, D.J.; Mason, D.H.; Raney, D.L.; Schmidt, D.K. Evolution, Revolution, and Challenges of Handling Qualities. J. Guid. Control Dyn. 2004, 27, 12–28. [Google Scholar] [CrossRef]
  2. ADS-33E-PRF; Aeronautical Design Standard, Handling Qualities Requirements for Military Rotorcraft. U.S. Army Aviation and Missile Command: Redstone Arsenal, AL, USA, 2000.
  3. Chen, R.T.; Hindson, W.S. Analytical and Flight Investigation of the Influence of Rotor and Other High-Order Dynamics on Helicopter Flight-Control System Bandwidth; NASA-TM-86696; NASA: Washington, DC, USA, 1985. [Google Scholar]
  4. Fielding, C.; Flux, P.K. Non-linearities in flight control systems. Aeronaut. J. 2003, 107, 673–696. [Google Scholar] [CrossRef]
  5. Frost, C.; Hindson, W.; Moralez, E.; Tucker, G.; Dryfoos, J. Design and Testing of Flight Control Laws on The RASCAL Research Helicopter. In Proceedings of the AIAA Modeling and Simulation Technologies Conference and Exhibit, Monterey, CA, USA, 5–8 August 2002. [Google Scholar]
  6. Tischler, M.B.; Blanken, C.L.; Cheung, K.K.; Swei, S.S.; Sahasrabudhe, V.; Faynberg, A. Modernized Control Laws for UH-60 BLACK HAWK Optimization and Flight-Test Results. J. Guid. Control Dyn. 2005, 28, 964–978. [Google Scholar] [CrossRef]
  7. Theodore, C.R.; Malpica, C.A.; Blanken, C.L.; Tischler, M.B.; Lawrence, B.; Lindsey, J.E.; Berger, T. Effect of Control System Augmentation on Handling Qualities and Task Performance in Good and Degraded Visual Environments. J. Am. Helicopter Soc. 2020, 65, 1–14. [Google Scholar] [CrossRef]
  8. Gorder, P.; Hess, R. Robust Rotorcraft flight Control System Design Including Rotor Degrees of Freedom. In Proceedings of the AIAA Guidance, Navigation, and Control Conference, Scottsdale, AZ, USA, 1–3 August 1994. [Google Scholar]
  9. Gadewadikar, J.; Lewis, F.L.; Subbarao, K.; Peng, K.; Chen, B.M. H-Infinity Static Output-Feedback Control for Rotorcraft. In Proceedings of the AIAA Guidance, Navigation, and Control Conference and Exhibit, Keystone, CO, USA, 21–24 August 2006. [Google Scholar]
  10. Qu, Z.; Annaswamy, A.M. Adaptive Output-Feedback Control with Closed-Loop Reference Models for Very Flexible Aircraft. J. Guid. Control Dyn. 2016, 39, 873–888. [Google Scholar] [CrossRef]
  11. Suresh, S.; Sundararajan, N.; Saratchandran, P. Neural Adaptive Flight Controllers for Helicopters. In Proceedings of the 44th AIAA Aerospace Sciences Meeting and Exhibit, Reno, NV, USA, 9–12 January 2006. [Google Scholar]
  12. Richards, N.D.; Adams, R.J.; Klyde, D.H.; Cogan, B. Flight-Test Evaluation of an Adaptive Controller for Flying Qualities Specification and Protection. J. Guid. Control Dyn. 2015, 38, 2241–2256. [Google Scholar] [CrossRef]
  13. Lakshmikanth, G.S.; Padhi, R.; Watkins, J.M.; Steck, J.E. Adaptive Flight-Control Design Using Neural-Network-Aided Optimal Nonlinear Dynamic Inversion. J. Aerosp. Inf. Syst. 2014, 11, 785–806. [Google Scholar] [CrossRef]
  14. Stepanyan, V.; Krishnakumar, K. Adaptive Control with Reference Model Modification. J. Guid. Control Dyn. 2012, 35, 1370–1374. [Google Scholar] [CrossRef]
  15. Milz, D.M.; Looye, G. Design and Evaluation of Advanced Intelligent Flight Controllers. In Proceedings of the AIAA SciTech Forum, Orlando, FL, USA, 6–10 January 2020. [Google Scholar]
  16. Shen, S.; Xu, J. Adaptive Neural Network-based Active Disturbance Rejection Flight Control of an Unmanned Helicopter. Aerosp. Sci. Technol. 2021, 119, 1–12. [Google Scholar] [CrossRef]
  17. Hoecht, L.; Bierling, T.; Holzapfel, F. Ultimate Boundedness Theorem for Model Reference Adaptive Control Systems. J. Guid. Control Dyn. 2014, 37, 1595–1603. [Google Scholar] [CrossRef]
  18. Li, P. Rotor Unsteady Free-Vortex Wake Model and Investigation on High-Fidelity Modeling of Helicopter Flight Dynamics. Ph.D. Thesis, Nanjing University of Aeronautics and Astronautics, Nanjing, China, 2010. [Google Scholar]
  19. Howlett, J.J. UH-60A Black Hawk Engineering Simulation Program: Volume I—Mathematical Model; NASA-CR-166309; NASA: Washington, DC, USA, 1981. [Google Scholar]
  20. Berger, T.; Lopez, M.J.; Wagner, A.M.; Tischler, M.B. Guidelines for System Identification of Multirotor Vehicles with Highly Correlated Inputs. In Proceedings of the VFS 76th Annual Forum and Technology Display, Virtual, USA, 6–8 October 2020. [Google Scholar]
  21. Avcıoğlu, S.; Kutay, A.T.; Leblebicioğlu, K. Identification of Physical Helicopter Models Using Subspace Identification. J. Am. Helicopter Soc. 2020, 65, 1–14. [Google Scholar] [CrossRef]
  22. Meslem, N.; Hably, A. Robust Set-membership State Estimator Against Outliers in Data. IET Control Theory Appl. 2020, 14, 1752–1761. [Google Scholar] [CrossRef]
  23. Tischler, M.; Remple, R. Aircraft and Rotorcraft System Identification: Engineering Methods with Flight Test Examples, 2nd ed.; AIAA: Reston, FL, USA, 2012; pp. 1–20. [Google Scholar]
  24. Wu, W.; Chen, R. An Improved Online System Identification Method for Tiltrotor Aircraft. Aerosp. Sci. Technol. 2021, 110, 1–15. [Google Scholar] [CrossRef]
  25. Kautsky, J.; Nichols, N.K.; Van Dooren, P. Robust pole assignment in linear state feedback. Int. J. Control 1985, 41, 1129–1155. [Google Scholar] [CrossRef]
Figure 1. General structure of the adaptive controller.
Figure 1. General structure of the adaptive controller.
Aerospace 12 00065 g001
Figure 2. Basic scheme of dynamic inversion controller.
Figure 2. Basic scheme of dynamic inversion controller.
Aerospace 12 00065 g002
Figure 3. Decoupled helicopter responses with longitudinal cyclic step input.
Figure 3. Decoupled helicopter responses with longitudinal cyclic step input.
Aerospace 12 00065 g003
Figure 4. Decoupled helicopter responses with lateral cyclic step input.
Figure 4. Decoupled helicopter responses with lateral cyclic step input.
Aerospace 12 00065 g004
Figure 5. Decoupled helicopter responses with collective step input.
Figure 5. Decoupled helicopter responses with collective step input.
Aerospace 12 00065 g005
Figure 6. Decoupled helicopter responses with pedal step input.
Figure 6. Decoupled helicopter responses with pedal step input.
Aerospace 12 00065 g006
Figure 7. Longitudinal decoupled model identification result.
Figure 7. Longitudinal decoupled model identification result.
Aerospace 12 00065 g007
Figure 8. Lateral-directional weak coupled model identification result.
Figure 8. Lateral-directional weak coupled model identification result.
Aerospace 12 00065 g008
Figure 9. Verification of longitudinal model without noise contamination. (a) Linear acceleration; (b) pitch acceleration.
Figure 9. Verification of longitudinal model without noise contamination. (a) Linear acceleration; (b) pitch acceleration.
Aerospace 12 00065 g009
Figure 10. Verification of lateral-directional model without noise contamination. (a) Linear acceleration; (b) pitch acceleration; (c) yaw acceleration.
Figure 10. Verification of lateral-directional model without noise contamination. (a) Linear acceleration; (b) pitch acceleration; (c) yaw acceleration.
Aerospace 12 00065 g010
Figure 11. Verification of longitudinal model with colored noise contamination.
Figure 11. Verification of longitudinal model with colored noise contamination.
Aerospace 12 00065 g011
Figure 12. Verification of lateral-directional model with colored noise contamination.
Figure 12. Verification of lateral-directional model with colored noise contamination.
Aerospace 12 00065 g012
Figure 13. Verification of colored noise model. (a) Longitudinal channel; (b) lateral-directional channel.
Figure 13. Verification of colored noise model. (a) Longitudinal channel; (b) lateral-directional channel.
Aerospace 12 00065 g013
Figure 14. Limits on pitch (roll) oscillations in hover and low speed [2].
Figure 14. Limits on pitch (roll) oscillations in hover and low speed [2].
Aerospace 12 00065 g014
Figure 15. Lateral-directional oscillatory requirements [2].
Figure 15. Lateral-directional oscillatory requirements [2].
Aerospace 12 00065 g015
Figure 16. Adaptive pole placement strategy.
Figure 16. Adaptive pole placement strategy.
Aerospace 12 00065 g016
Figure 17. Controller structure for ACAH/HH/TRC response types.
Figure 17. Controller structure for ACAH/HH/TRC response types.
Aerospace 12 00065 g017
Figure 18. Verification of ACAH response type. (a) Velocity; (b) attitude.
Figure 18. Verification of ACAH response type. (a) Velocity; (b) attitude.
Aerospace 12 00065 g018
Figure 19. Verification of HH response type. (a) Altitude; (b) velocity.
Figure 19. Verification of HH response type. (a) Altitude; (b) velocity.
Aerospace 12 00065 g019
Figure 20. Verification of TRC response type. (a) Velocity; (b) attitude.
Figure 20. Verification of TRC response type. (a) Velocity; (b) attitude.
Aerospace 12 00065 g020
Table 1. Identification results of longitudinal model.
Table 1. Identification results of longitudinal model.
Model ParameterIdentified in this PaperIdentified by Standard RLSTrue Value
X u −0.0235−0.0265−0.02349
X q 2.81962.88272.809
X δ l o n g −1.6589−1.6347−1.659
d 1 l o n g 1 0.4860-0.5
d 2 l o n g 1 0.1752-0.2
M u 0.00350.00380.003554
M q −0.8186−0.8996−0.8161
M δ l o n g 0.33500.32190.3346
d 1 l o n g 2 0.4998-0.5
d 2 l o n g 2 0.2216-0.2
Table 2. Identification results of vertical model.
Table 2. Identification results of vertical model.
Model ParameterIdentified in this PaperIdentified by Standard RLSTrue Value
Z w −0.2925−0.2804−0.2931
Z δ c o l −7.9220−7.8761−7.921
d 1 v e r 1 0.5216-0.5
d 2 v e r 1 0.1996-0.2
Table 3. Identification results of lateral-directional model.
Table 3. Identification results of lateral-directional model.
Model ParameterIdentified in this PaperIdentified by Standard RLSTrue Value
Y v −0.0475−0.0501−0.0473
Y p −1.7361−1.8916−1.723
Y r 0.64160.68060.6383
Y δ l a t 0.93860.78330.942
Y δ p e d −1.4863−1.4674−1.486
d 1 l a t y a w 1 0.5211-0.5
d 2 l a t y a w 1 0.2169-0.2
L v −0.0416−0.04874−0.04124
L p −3.5675−3.5992−3.551
L r 0.07960.05600.07467
L δ l a t 1.32651.23621.334
L δ p e d −0.8475−0.8043−0.8406
d 1 l a t y a w 2 0.5211-0.5
d 2 l a t y a w 2 0.2387-0.2
N v 0.00980.01000.00976
N p −0.0996−0.1295−0.1013
N r −0.3358−0.3596−0.3342
N δ l a t 0.02610.03710.02734
N δ p e d 0.60560.65070.604
d 1 l a t y a w 3 0.4989-0.5
d 2 l a t y a w 3 0.1921-0.2
Disclaimer/Publisher’s Note: The statements, opinions and data contained in all publications are solely those of the individual author(s) and contributor(s) and not of MDPI and/or the editor(s). MDPI and/or the editor(s) disclaim responsibility for any injury to people or property resulting from any ideas, methods, instructions or products referred to in the content.

Share and Cite

MDPI and ACS Style

Wu, W. Adaptive Controller Design for Improving Helicopter Flying Qualities. Aerospace 2025, 12, 65. https://doi.org/10.3390/aerospace12010065

AMA Style

Wu W. Adaptive Controller Design for Improving Helicopter Flying Qualities. Aerospace. 2025; 12(1):65. https://doi.org/10.3390/aerospace12010065

Chicago/Turabian Style

Wu, Wei. 2025. "Adaptive Controller Design for Improving Helicopter Flying Qualities" Aerospace 12, no. 1: 65. https://doi.org/10.3390/aerospace12010065

APA Style

Wu, W. (2025). Adaptive Controller Design for Improving Helicopter Flying Qualities. Aerospace, 12(1), 65. https://doi.org/10.3390/aerospace12010065

Note that from the first issue of 2016, this journal uses article numbers instead of page numbers. See further details here.

Article Metrics

Back to TopTop