Sequential Convex Programming for Reentry Trajectory Optimization Utilizing Modified hp-Adaptive Mesh Refinement and Variable Quadratic Penalty
Abstract
1. Introduction
- (1)
- The function of the reentry path constraint is nonlinear; the maximum point may be located between two adjacent mesh points. When the local mesh points are few, the fitting precision of the nonlinear function is insufficient. This means that even if the path constraint is satisfied at all mesh points, it will still exceed the limits within a certain time interval in the vicinity of the maximum point. However, most of the existing methods for reentry trajectory optimization lack consideration for such situations.
- (2)
- After achieving the desired mesh precision, the convergent fixed mesh is commonly used in the subsequent optimization process. However, for the reentry problems with strong nonlinear aerodynamic effects, the number of mesh intervals and points after mesh convergence may be very large, which results in a decrease in computational efficiency and even infeasibility. Therefore, it is necessary to perform mesh reduction to improve optimization efficiency.
- (3)
- Many studies add fixed penalty functions into the objective function to improve convergence. Our numerical simulation shows that the weight coefficient of the additional penalty item has a significant impact on the SCP solution process. An excessive coefficient value can lead to premature convergence and a decrease in optimality, while a small coefficient value can cause a slow convergence rate and even an oscillation phenomenon. Hence, how to select coefficient values reasonably needs to be further studied.
- (1)
- Under the hp-adaptive PS discretization framework, a local mesh refinement algorithm is designed. The violation points of path constraints are accurately detected, and additional mesh points are added in the vicinity of these violation points. With the consideration of path constraint extreme points in mesh refinement, the satisfaction of the non-convex constraints is improved;
- (2)
- A mesh reduction method based on a sliding window algorithm is proposed. The state error within each mesh interval is evaluated explicitly and rapidly via the Birkhoff polynomial. The mesh intervals within the sliding window are judged as to whether they can be merged according to the solution error. Thus, the scale of the discrete problem is reduced without loss of precision;
- (3)
- A variable quadratic penalty-based SCP method is proposed. When the objective function oscillation phenomenon occurs, the quadratic penalty is introduced into the original objective function, and the penalty coefficient is adaptively adjusted according to the iteration histories. Numerical simulation reveals that the proposed method can overcome the oscillation and improve convergence.
2. Problem Formulation and Multi-Stage SCP Framework
2.1. Problem Formulation
- RLV reentry dynamics
- 2.
- Objective function
- 3.
- Control variable constraints
- 4.
- Path constraints
- 5.
- Boundary constraints
2.2. Solving Framework Based on SCP Method
3. Modified hp-Adaptive Mesh Refinement Method Based on PS Discretization
3.1. Hp Pseudospectral Discretization
| Algorithm 1. Hp pseudospectral discretization algorithm | |
| Input: | F, Ni and . |
| Output: | The discretized trajectory optimization problem P2. |
| 1: | while do |
| 2: | Calculate to convert the time-domain to . |
| 3: | Obtain and at Ni mesh points. |
| 4: | Construct the differential matrix , convert the dynamic constraint to discrete form using Equation (15). Calculate the elements in via Equation (16). |
| 5: | Set . |
| 6: | end while |
| 7: | Organize the , , and within each interval into a vector, respectively. The vector form can be denoted as ; ; . |
| 8: | Construct the discrete dynamic constraint via Equations (17)–(20). |
| 9: | Convert the continuous constraints in Equation (11) into constraints at mesh points to obtain the discretization problem P2. |
| 10: | return P2; |
3.2. Local Mesh Refinement in Advance Based on the Violation of Path Constraints
3.3. Evaluation of Solution Error via Birkhoff Interpolation Polynomial
3.4. Hp-Adaptive Strategy with Mesh Reduction
| Algorithm 2. Hp-adaptive mesh refinement algorithm | |
| Input: | Initial mesh and reference solution X, the initial total number of mesh intervals F and mesh points N, preset constant parameter rmax, H1, H2 and εe, phase conversion flag for mesh refinement and mesh reduction. |
| Output: | The converged solution X(k). |
| 11: | while 1 do |
| 12: | Construct a discretized problem based on Algorithm 1 and solve the corresponding convex optimization problem via SCP. |
| 13: | if , then |
| 14: | Break; |
| 15: | end if |
| 16: | Refine the mesh in the vicinity of the maximum violation points of path constraints using Equation (23). |
| 17: | if , then |
| 18: | for i = 1: F |
| 19: | Calculate of the i-th mesh interval using Birkhoff polynomial. |
| 20: | Calculate and using Equations (38) and (39), Update F and N. |
| 21: | end for |
| 22: | If the mesh remain unchanged, set . |
| 23: | else if , then |
| 24: | while do |
| 25: | Select CGL points within a sliding window, evaluate the solution error after mesh intervals merging. |
| 26: | If , update F and N; otherwise, abandon the mesh merge. Adjust the . |
| 27: | end while |
| 28: | end if |
| 29: | end while |
| 30: | return X(k); |
4. Variable Quadratic Penalty Based SCP Method
4.1. Convexification of the Original Trajectory Optimization Model
- Convexification of the objective function
- 2.
- Convexification of path constraints
- 3.
- Convexification of dynamic constraint
4.2. Convex Optimization Model Based on hp Adaptive Mesh Refinement
4.3. Variable Quadratic Penalty SCP Algorithm
5. Simulation and Analysis
5.1. Simulation Setting
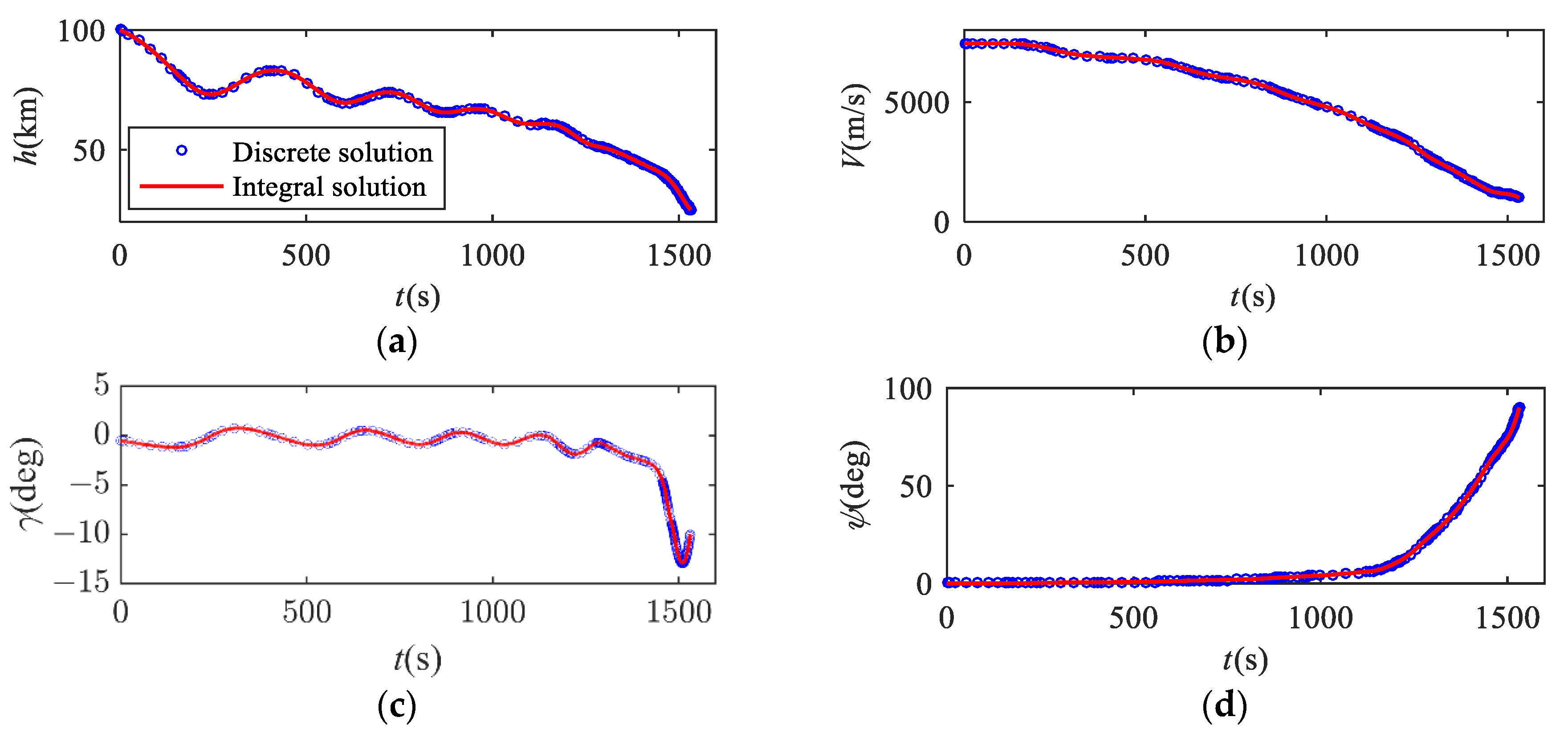
5.2. Simulation Analysis of Algorithm Precision
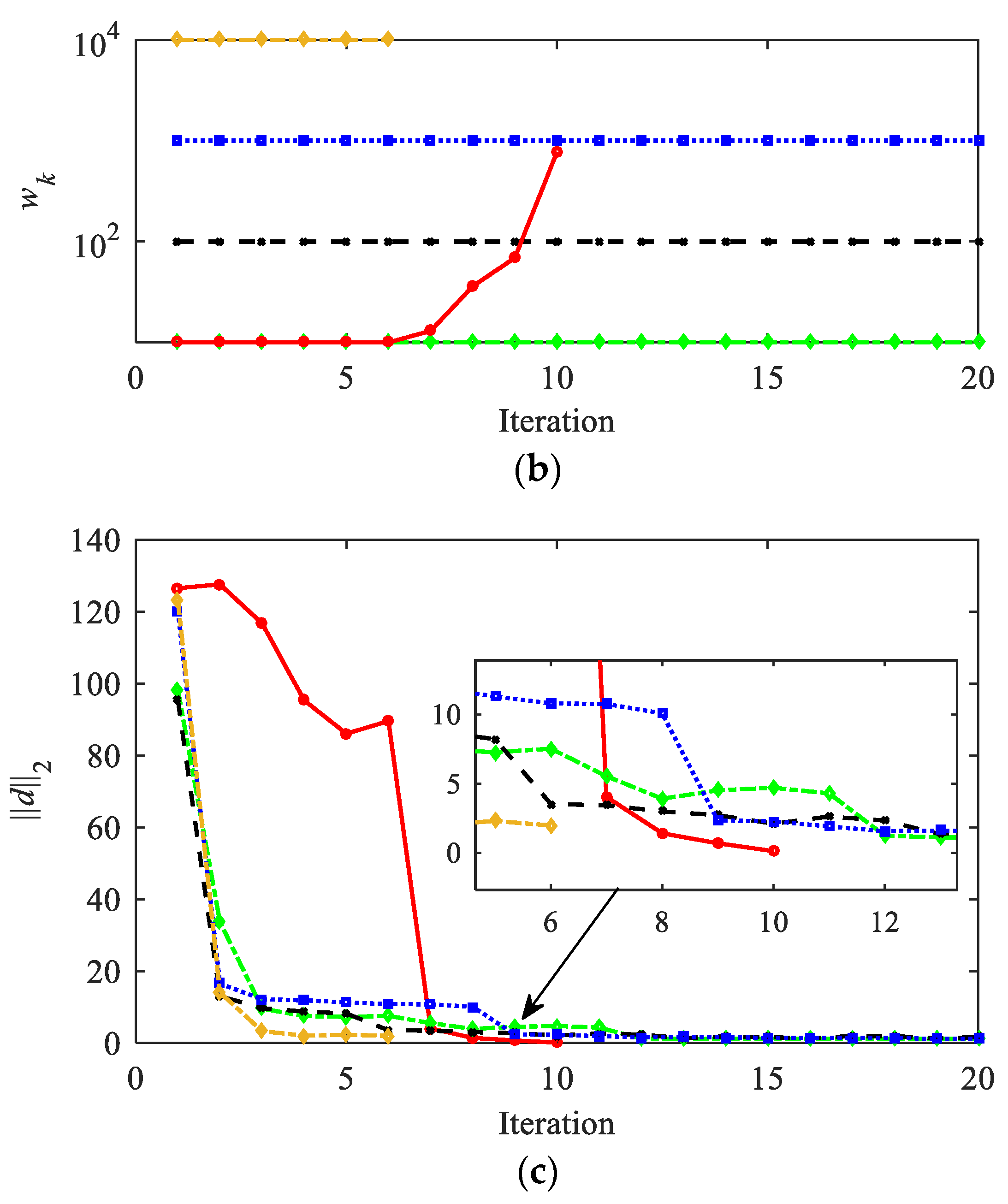
5.3. Simulation Analysis of Algorithm Convergence Process
6. Conclusions
- (1)
- The modified hp-adaptive PS discretization method for reentry trajectory optimization is proposed. By accurately detecting the violation points of path constraints, additional mesh points are added in the vicinity of these violation points, which improves the satisfaction of non-convex constraints;
- (2)
- The mesh reduction phase is introduced into the hp-adaptive framework. The mesh intervals within a sliding window are merged according to discrete state error, which is evaluated by the Birkhoff polynomial explicitly. The required mesh points are reduced under certain precision;
- (3)
- The variable quadratic penalty-based SCP algorithm is proposed for improving convergence. The quadratic penalty coefficient is adjusted to avoid premature or slow convergence, which is beneficial for balancing the solution optimality and convergence;
- (4)
- Numerical simulation shows that the scale of convex optimization subproblems can be significantly reduced while meeting accuracy requirements. The total solving time has been reduced compared to the conventional hp-adaptive SCP method. In addition, the variable quadratic penalty can effectively overcome the oscillation phenomenon of the objective function. The computational efficiency and convergence of the SCP algorithm have been improved.
Author Contributions
Funding
Data Availability Statement
Conflicts of Interest
References
- Hui, X.; Cai, G.; Zhang, S.; Yang, X.; Hou, M. Hypersonic reentry trajectory optimization by using improved sparrow search algorithm and control parametrization method. Adv. Space Res. 2022, 69, 2512–2524. [Google Scholar] [CrossRef]
- Mishra, D.; Gangireddy, S. A novel re-entry trajectory design strategy enforcing inequality and terminal constraints in height-velocity plane. Adv. Space Res. 2024, 73, 2515–2531. [Google Scholar] [CrossRef]
- Zhang, W.; Chen, W.; Yu, W. Analytical solutions to three-dimensional hypersonic gliding trajectory over rotating Earth. Acta Astronaut. 2021, 179, 702–716. [Google Scholar] [CrossRef]
- Mall, K.; Taheri, E. Three-Degree-of-Freedom Hypersonic Reentry Trajectory Optimization Using an Advanced Indirect Method. J. Spacecr. Rockets 2022, 59, 1463–1474. [Google Scholar] [CrossRef]
- Zhang, R.; Xie, Z.; Wei, C.; Cui, N. An enlarged polygon method without binary variables for obstacle avoidance trajectory optimization. Chin. J. Aeronaut. 2023, 36, 284–297. [Google Scholar] [CrossRef]
- Zhao, D.; Song, Z. Reentry trajectory optimization with waypoint and no-fly zone constraints using multiphase convex programming. Acta Astronaut. 2017, 137, 60–69. [Google Scholar] [CrossRef]
- Jansson, O.; Harris, M. Convex optimization-based techniques for trajectory design and control of nonlinear systems with polytopic range. Aerospace 2023, 10, 71. [Google Scholar] [CrossRef]
- Li, W.; Li, W.; Cheng, L.; Gong, S. Trajectory optimization with complex obstacle avoidance constraints via homotopy network sequential convex programming. Aerospace 2022, 9, 720. [Google Scholar] [CrossRef]
- Shen, Z.; Zhou, G.; Huang, H.; Huang, C.; Wang, Y.; Wang, F. Convex optimization-based trajectory planning for quadrotors landing on aerial vehicle carriers. IEEE Trans. Intell. Veh. 2024, 9, 138–150. [Google Scholar] [CrossRef]
- Kumagai, N.; Kenshiro, O. Adaptive-mesh sequential convex programming for space trajectory optimization. J. Guid. Contr. Dyn. 2024, 1–8. [Google Scholar] [CrossRef]
- Dai, P.; Feng, D.; Feng, W.; Cui, J.; Zhang, L. Entry trajectory optimization for hypersonic vehicles based on convex programming and neural network. Aerosp. Sci. Technol. 2023, 137, 108259. [Google Scholar] [CrossRef]
- Liu, C.; Zhang, C.; Xiong, F.; Wang, J. Multi-stage trajectory planning of dual-pulse missiles considering range safety based on sequential convex programming and artificial neural network. Part. G J. Aerosp. Eng. 2022, 237, 1449–1463. [Google Scholar] [CrossRef]
- Açıkmeşe, B.; Blackmore, L. Lossless convexification of a class of optimal control problems with non-convex control constraints. Automatica 2011, 47, 341–347. [Google Scholar] [CrossRef]
- Acikmese, B.; Ploen, S. Convex Programming Approach to Powered Descent Guidance for Mars Landing. J. Guid. Contr. Dyn. 2007, 30, 1353–1366. [Google Scholar] [CrossRef]
- Wang, Z.; Grant, M. Constrained Trajectory Optimization for Planetary Entry via Sequential Convex Programming. J. Guid. Contr. Dyn. 2017, 40, 2603–2615. [Google Scholar] [CrossRef]
- Cheng, X.; Li, H.; Zhang, R. Autonomous trajectory planning for space vehicles with a Newton–Kantorovich/convex programming approach. Nonlinear Dyn. 2017, 89, 2795–2814. [Google Scholar] [CrossRef]
- Zhang, T.; Su, H.; Gong, C. A three-stage sequential convex programming approach for trajectory optimization. Aerosp. Sci. Technol. 2024, 149, 109128. [Google Scholar] [CrossRef]
- Zhao, J.; Li, S. Modified Multiresolution Technique for Mesh Refinement in Numerical Optimal Control. J. Guid. Contr. Dyn. 2017, 40, 3328–3338. [Google Scholar] [CrossRef]
- Zhao, J.; Li, S. Mars atmospheric entry trajectory optimization with maximum parachute deployment altitude using adaptive mesh refinement. Acta Astronaut. 2019, 160, 401–413. [Google Scholar] [CrossRef]
- Liu, F.; Hager, W.; Rao, A. Adaptive mesh refinement method for optimal control using non smoothness detection and mesh size reduction. J. Franklin. Inst. 2015, 352, 4081–4106. [Google Scholar] [CrossRef]
- Zhou, X.; He, R.; Zhang, H.; Tang, G.; Bao, W. Sequential convex programming method using adaptive mesh refinement for entry trajectory planning problem. Aerosp. Sci. Technol. 2021, 109, 106374. [Google Scholar] [CrossRef]
- Benson, D.; Huntington, G.; Thorvaldsen, T.; Rao, A. Direct Trajectory Optimization and Costate Estimation via an Orthogonal Collocation Method. J. Guid. Contr. Dyn. 2006, 29, 1435–1440. [Google Scholar] [CrossRef]
- Koeppen, N.; Ross, I.; Wilcox, L.; Proulx, R. Fast Mesh Refinement in Pseudospectral Optimal Control. J. Guid. Contr. Dyn. 2019, 42, 711–722. [Google Scholar] [CrossRef]
- Zhang, Z.; Zhao, D.; Li, X.; Kong, C.; Su, M. Convex Optimization for Rendezvous and Proximity Operation via Birkhoff Pseudospectral Method. Aerospace 2022, 9, 505. [Google Scholar] [CrossRef]
- Darby, C.; Hager, W.; Rao, A. Direct Trajectory Optimization Using a Variable Low-Order Adaptive Pseudospectral Method. J. Spacecr. Rockets 2011, 48, 433–445. [Google Scholar] [CrossRef]
- Han, P.; Shan, J.; Meng, X. Re-entry trajectory optimization using an hp-adaptive Radau pseudospectral method. P. I. Mech. Eng. Part. G. J. Aerosp. Eng. 2012, 227, 1623–1636. [Google Scholar] [CrossRef]
- Zhao, J.; Li, J.; Li, S. Low-Thrust Transfer Orbit Optimization Using Sequential Convex Programming and Adaptive Mesh Refinement. J. Spacecr. Rockets. 2023, 61, 1–18. [Google Scholar] [CrossRef]
- Zhang, T.; Su, H.; Gong, C. hp-Adaptive RPD based sequential convex programming for reentry trajectory optimization. Aerosp. Sci. Technol. 2022, 130, 107887. [Google Scholar] [CrossRef]
- Liu, X.; Shen, Z.; Lu, P. Solving the maximum-crossrange problem via successive second-order cone programming with a line search. Aerosp. Sci. Technol. 2015, 47, 10–20. [Google Scholar] [CrossRef]
- Wang, Z.; McDonald, S. Convex relaxation for optimal rendezvous of unmanned aerial and ground vehicles. Aerosp. Sci. Technol. 2020, 99, 105756. [Google Scholar] [CrossRef]
- Wang, Z. Optimal trajectories and normal load analysis of hypersonic glide vehicles via convex optimization. Aerosp. Sci. Technol. 2019, 87, 357–368. [Google Scholar] [CrossRef]
- Wang, Z.; Lu, Y. Improved Sequential Convex Programming Algorithms for Entry Trajectory Optimization. J. Spacecr. Rockets 2020, 57, 1373–1386. [Google Scholar] [CrossRef]
- Gao, Y.; Shao, Z.; Song, Z. Enhanced Successive Convexification Based on Error-Feedback Index and Line Search Filter. J. Guid. Contr. Dyn. 2022, 45, 2243–2257. [Google Scholar] [CrossRef]
- Reynolds, T.; Mehran, M. The Crawling Phenomenon in Sequential Convex Programming. In Proceedings of the American Control Conference, Denver, CO, USA, 1–3 July 2020. [Google Scholar]
- Lu, P. Convex–Concave Decomposition of Nonlinear Equality Constraints in Optimal Control. J. Guid. Contr. Dyn. 2021, 44, 4–14. [Google Scholar] [CrossRef]
- Xie, L.; He, R.; Zhang, H.; Tang, G. Oscillation Phenomenon in Trust-Region-Based Sequential Convex Programming for the Nonlinear Trajectory Planning Problem. IEEE Trans. Aerosp. Electron. Syst. 2022, 58, 3337–3352. [Google Scholar] [CrossRef]
- Xie, L.; Zhou, X.; Zhang, H.; Tang, G. Higher-Order Soft-Trust-Region-Based Sequential Convex Programming. J. Guid. Contr. Dyn. 2023, 46, 2199–2206. [Google Scholar] [CrossRef]
- Xie, L.; Zhou, X.; Zhang, H.; Tang, G. Hybrid-order soft trust region-based sequential convex programming for reentry trajectory optimization. Adv. Space. Res. 2024, 73, 3195–3208. [Google Scholar] [CrossRef]
- Lu, P. Entry guidance: A unified method. J. Guid. Contr. Dyn. 2014, 37, 713–728. [Google Scholar] [CrossRef]
- Fahroo, F.; Ross, I. Direct trajectory optimization by a Chebyshev pseudospectral method. J. Guid. Contr. Dyn. 2002, 25, 160–166. [Google Scholar] [CrossRef]
- Lu, P. Entry Guidance and Trajectory Control for Reusable Launch Vehicle. J. Guid. Contr. Dyn. 1997, 20, 143–149. [Google Scholar] [CrossRef]





















| h (km) | V (m/s) | (deg) | (deg) | (deg) | (deg) | |
|---|---|---|---|---|---|---|
| Initial state | 100 | 7450 | 0 | 0 | −0.5 | 0 |
| Terminal state | 25 | 1000 | 12 | 70 | −10 | 90 |
| Parameters | Proposed Method | Hp-Adaptive PS-SCP | Basic SCP Method | ||
|---|---|---|---|---|---|
| Objective function value | 199.41 | 196.10 | 215.96 | 204.60 | |
| Total number of discrete points | 258 | 548 | 258 | 548 | |
| Iteration number | 15 | 16 | 10 | 15 | |
| Average CPU time (s) | 0.71 | 1.22 | 0.23 | 0.48 | |
| Terminal state error | (m) | −27.75 | 29.78 | −78.74 | −30.73 |
| (m/s) | −6.22 | −2.97 | −4.01 | −1.73 | |
| (deg) | 0.003 | 0.004 | −0.02 | −0.02 | |
| (deg) | 0.007 | 0.003 | −0.02 | −0.008 | |
| (deg) | 0.01 | 0.004 | −0.05 | −0.01 | |
| (deg) | 0.03 | 0.005 | 0.22 | 0.09 | |
Disclaimer/Publisher’s Note: The statements, opinions and data contained in all publications are solely those of the individual author(s) and contributor(s) and not of MDPI and/or the editor(s). MDPI and/or the editor(s) disclaim responsibility for any injury to people or property resulting from any ideas, methods, instructions or products referred to in the content. |
© 2024 by the authors. Licensee MDPI, Basel, Switzerland. This article is an open access article distributed under the terms and conditions of the Creative Commons Attribution (CC BY) license (https://creativecommons.org/licenses/by/4.0/).
Share and Cite
Liu, Z.; Cui, N.; Du, L.; Pu, J. Sequential Convex Programming for Reentry Trajectory Optimization Utilizing Modified hp-Adaptive Mesh Refinement and Variable Quadratic Penalty. Aerospace 2024, 11, 785. https://doi.org/10.3390/aerospace11090785
Liu Z, Cui N, Du L, Pu J. Sequential Convex Programming for Reentry Trajectory Optimization Utilizing Modified hp-Adaptive Mesh Refinement and Variable Quadratic Penalty. Aerospace. 2024; 11(9):785. https://doi.org/10.3390/aerospace11090785
Chicago/Turabian StyleLiu, Zhe, Naigang Cui, Lifu Du, and Jialun Pu. 2024. "Sequential Convex Programming for Reentry Trajectory Optimization Utilizing Modified hp-Adaptive Mesh Refinement and Variable Quadratic Penalty" Aerospace 11, no. 9: 785. https://doi.org/10.3390/aerospace11090785
APA StyleLiu, Z., Cui, N., Du, L., & Pu, J. (2024). Sequential Convex Programming for Reentry Trajectory Optimization Utilizing Modified hp-Adaptive Mesh Refinement and Variable Quadratic Penalty. Aerospace, 11(9), 785. https://doi.org/10.3390/aerospace11090785
