Experimental Parameter Identification and an Evaluation of the Impact of Tire Models on the Dynamics of Fixed-Wing Unmanned Aerial Vehicles
Abstract
1. Introduction
2. Tire Model
2.1. Tire Coordinate System
2.2. Conventional Tire Models
3. Experiment
3.1. Experimental Method
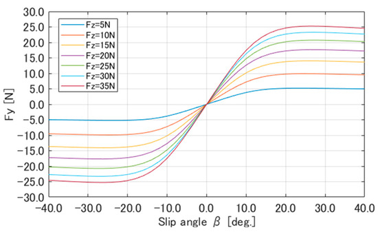
3.2. Experimental Results
4. Parameter Identification
4.1. Method for Longitudinal Force
4.1.1. Linear Longitudinal Force Model
4.1.2. Nonlinear Longitudinal Force Model
4.2. Method for Lateral Force (
4.2.1. Linear Lateral Force Model
4.2.2. Magic Formula (MF) Tire Model
- : stiffness factor (i.e., the product represents the slope at the graph’s origin, indicating the stiffness);
- : shape factor (i.e., determines the overall shape of the graph);
- : peak factor (i.e., specifies the peak value of the graph);
- : curvature factor (i.e., describes the curvature of the graph leading up to the maximum value).
4.2.3. Rankin et al.’s Tire Model
4.3. Results of Identification
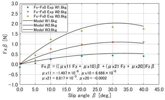
4.3.1. Longitudinal Force
Linear Longitudinal Force
Nonlinear Longitudinal Force
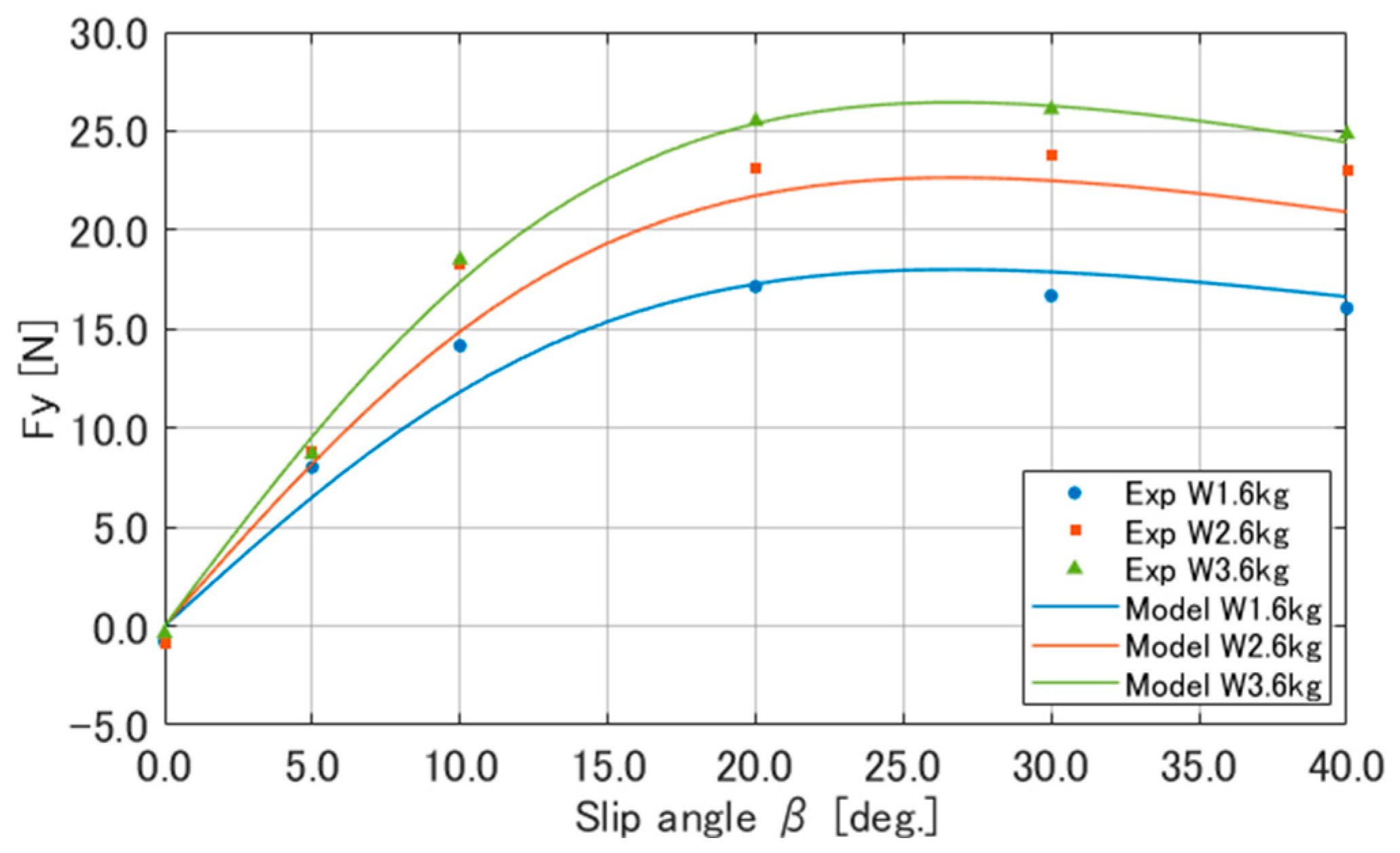
4.3.2. Lateral Force Model
Linear Lateral Force Model
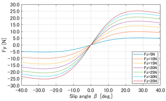
Magic Formula (MF) Tire Model
Rankin et al.’s Tire Model
5. Simulation
5.1. Simulation Model
5.2. Simulation Method
5.3. Results and Discussion
5.3.1. Case 1.1: Comparing the Linear Tire Model (LT) with the Nonlinear Tire Model 1 (NT1)
5.3.2. Case 1.2: Comparing MF (NT1) with Rankin et al.’s Tire Model (NT2)
5.3.3. Case 2.1: Considering Aerodynamics
6. Conclusions
Supplementary Materials
Author Contributions
Funding
Data Availability Statement
Conflicts of Interest
Abbreviations
| Mass | |
| Moment of inertia | |
| Gravity | |
| Gravity force in ground-fixed coordinates | |
| Force | |
| UAV engine thrust | |
| Peak value of lateral force | |
| Torque | |
| Velocity | |
| Angular velocity | |
| Distance between two points on the xy-plane | |
| Euler angle around the axis | |
| Euler angle around the axis | |
| Euler angle around the axis | |
| , , | Ground-fixed coordinates |
| , , | UAV body coordinates |
| , , | Tire-fixed coordinates |
| Center of gravity height | |
| Length between nose wheel and center of gravity | |
| Length between main wheel and center of gravity | |
| Main wheel tread width | |
| Tire load | |
| Steering angle | |
| Slip angle | |
| Slip angle at | |
| Stiffness factor of Magic Formula tire model | |
| Shape factor of Magic Formula tire model | |
| Peak factor of Magic Formula tire model | |
| Curvature factor of Magic Formula tire model | |
| Coefficient of MF parameter function | |
| Friction coefficient of longitudinal force | |
| Friction function of longitudinal force | |
| Friction coefficient of lateral force | |
| Friction function of lateral force | |
| Coefficient of tire lateral force | |
| Spring coefficient of vertical force | |
| Damping coefficient of vertical force | |
| , , | Polynomial coefficient of vertical force |
| Displacement in z axis | |
| Tire slip ratio | |
| Main wing area | |
| Main wingspan | |
| Main wing mean aerodynamic chord | |
| Aerodynamic drag coefficient | |
| Aerodynamic lateral force coefficient | |
| Aerodynamic rolling moment coefficient | |
| Aerodynamic yawing moment coefficient | |
| Atmospheric density | |
| Side-slip angle | |
| Subscripts | |
| , , | Direction of body coordinate or tire coordinate |
| Nose tire | |
| Main tire | |
| Right tire | |
| Left tire | |
Appendix A
References
- Mohsan, S.A.H.; Othman, N.Q.H.; Li, Y.; Alsharif, M.H.; Khan, M.A. Unmanned aerial vehicles (UAVs): Practical aspects, applications, open challenges, security issues, and future trends. Intell. Serv. Robot. 2023, 16, 109–137. [Google Scholar] [CrossRef] [PubMed]
- Rau, J.Y.; Jhan, J.P.; Lo, C.F.; Lin, Y.S. Landslide mapping using imagery acquired by a fixed-wing UAV. In Proceedings of the International Archives of the Photogrammetry, Remote Sensing and Spatial Information Sciences, Zurich, Switzerland, 14–16 September 2011. [Google Scholar] [CrossRef]
- Cobar, M.; Montalvo, C.; Buckner, C. Disaster Response Fixed Wing UAV for Gulf of Mexico Field Campaign. In Proceedings of the AIAA Scitech 2021 Forum, Virtual Event, 11–15 and 19–21 January 2021. [Google Scholar] [CrossRef]
- Boon, M.A.; Drijfhout, A.P.; Tesfamichael, S. Comparison of a fixed-wing and multi-rotor UAV for environmental mapping applications: A case study. Int. Arch. Photogramm. Remote Sens. Spatial Inf. Sci. 2017, XLII-2/W6, 47–54. [Google Scholar] [CrossRef]
- Deng, C.; Wang, S.; Huang, Z.; Tan, Z.; Liu, J. Unmanned aerial vehicles for power line inspection: A cooperative way in platforms and communications. J. Commun. 2014, 9, 687–692. [Google Scholar] [CrossRef]
- BOEING. Statistical Summary of Commercial Jet Airplane Accidents. Available online: https://www.boeing.com/content/dam/boeing/boeingdotcom/company/about_bca/pdf/statsum.pdf (accessed on 5 April 2024).
- Flight Safety Foundation. 2023 SAFETY REPORT. Available online: https://flightsafety.org/foundations-annual-report-highlights-threat-to-aviation-safety-from-eroding-safety-culture/ (accessed on 5 April 2024).
- Flight Safety Foundation, Reducing the Risk of Runway Excursions. Available online: https://flightsafety.org/files/RERR/fsf-runway-excursions-report.pdf (accessed on 5 April 2024).
- Brott, H. A Study of Aircraft Lateral Dynamics & Ground Stability. Master’s Thesis, Rochester Institute of Technology, Rochester, NY, USA, 1998. [Google Scholar]
- Khapane, P.D. Simulation of asymmetric landing and typical ground maneuvers for large transport aircraft. Aerosp. Sci. Technol. 2003, 7, 611–619. [Google Scholar] [CrossRef]
- Rankin, J.; Coetzee, E.; Krauskopf, B.; Lowenberg, M. Nonlinear ground dynamics of aircraft: Bifurcation analysis of turning solutions. In Proceedings of the AIAA Modeling and Simulation Technologies Conference and Exhibit, Honolulu, HI, USA, 18–21 August 2008. [Google Scholar] [CrossRef]
- Rankin, J.; Krauskopf, B.; Lowenberg, M.; Coetzee, E. Operational Parameter study of aircraft dynamics on the ground. J. Comput. Nonlinear Dyn. 2010, 5, 1–11. [Google Scholar] [CrossRef]
- Turbuk, M.C.; Paglione, P. Aircraft ground dynamics modeling, VI National congress of mechanical engineering. In Proceedings of the Campina Grande, Paraiba, Brazil, 18–21 August 2010. [Google Scholar]
- Georgieva, K.; Serbezov, V. Mathematical model of aircraft ground dynamics. In Proceedings of the ICMT 2017—6th International Conference on Military Technologies, Brno, Czech Republic, 31 May–2 June 2017. [Google Scholar] [CrossRef]
- Song, L.; Yang, H.; Yan, X.; Ma, C.; Huang, J. A study of instability in a miniature flying-wing aircraft in high-speed taxi. Chin. J. Aeronaut. 2015, 28, 749–756. [Google Scholar] [CrossRef][Green Version]
- Hou, Y.X.; Guan, Y.; Jia, H. Research on motion characteristics for UAV ground maneuvers. In Proceedings of the 2015 IEEE International Conference on Mechatronics and Automation, Beijing, China, 2–5 August 2015. [Google Scholar] [CrossRef]
- Yin, Q.; Nie, H.; Wei, X. Dynamics and directional stability of high-speed unmanned aerial vehicle ground taxiing process. J. Aircr. 2020, 57, 689–701. [Google Scholar] [CrossRef]
- Yin, Q.; Wei, X.; Nie, H.; Deng, J. Parameter effects on high-speed UAV ground directional stability using bifurcation analysis. Chin. J. Aeronaut. 2021, 34, 1–14. [Google Scholar] [CrossRef]
- Bakker, E.; Nyborg, L.; Pacejka, H.B. Tyre Modelling for Use in Vehicle Dynamics Studies; SAE Technical Paper 870421; Wiley-Intersciece: New York, NY, USA, 1987. [Google Scholar] [CrossRef]
- Wong, J.Y. Theory of Ground Vehicles, 3rd ed.; John Wiley & Sons, Inc.: Hoboken, NJ, USA, 2001. [Google Scholar]
- Mizobata, K.; Minato, R.; Higuchi, K.; Ueba, M.; Takagi, S.; Nakata, D.; Higashino, K.; Tanatsugu, N. Development of a Small-scale Supersonic Flight Experiment Vehicle as a Flying Test Bed for Future Space Transportation Research. Trans. JSASS Aerosp. Technol. Jpn. 2014, 12, Po_3_1–Po_3_10. [Google Scholar] [CrossRef] [PubMed]

























| Equation | Linear or Nonlinear? | Source(s) | ||
|---|---|---|---|---|
| (1) | [14]) (Fixed-wing UAV [15]) | Linear | Georgieva and Serbezov [14] Song et al. [15] Hou et al. [16] | |
| (2) | [10]) : Tire slip ratio | Nonlinear | Khapane [10] | |
| (3) | Nonlinear | Rankin et al. [11] | ||
| (4) | Nonlinear | Rankin et al. [12] |
| Equation | Linear or Nonlinear? | Source(s) | ||
|---|---|---|---|---|
| (5) | (Fixed-wing UAV [15]) | Linear | Song et al. [15] | |
| (6) | [kN/deg.] (Aircraft [14]) | Linear | Georgieva and Serbezov [14] Hou et al. [16] | |
| (7) | Nonlinear | Turbuk and Paglione [13] | ||
| (8) | Nonlinear | Brott [9] | ||
| (9) | peak value, | Nonlinear | Rankin et al. [11,12] Yin et al. [18] |
| Equation | Linear or Nonlinear? | Source(s) | |
|---|---|---|---|
| (10) | Linear | Rankin et al. [12] Yin et al. [18] | |
| (11) | Nonlinear | Khapane [10] |
| Equipment and Part | Parameters | Unit | Value |
|---|---|---|---|
| Electronic linear motion system (Oriental motor, Tokyo, Japan: Ezlimo) | Length | M | 1 |
| Maximum velocity | m/s | 1 | |
| Load cell (Leptrino, Nagano, Japan: SFS060F201M5R0A6) | Fx, Fy, and Fz | N | ±200 (R.C.) |
| Data logger (Graphtech, Kanagawa, Japan: GL-840) | Sampling rate | ms | 100 |
| Tire and wheel (Kyosho, Kanagawa, Japan: Calmato alpha 40 sponge tire) | Diameter | mm | 60 |
| Width | mm | 21 | |
| Weight | g | 12 |
| Item | Unit | Value (s) |
|---|---|---|
| Tire load (W) | kg | 1.6, 2.6, 3.6 |
| Slip angle (β) | deg. | 0, 5, 10, 20, 30, 40 |
| Tire velocity | m/s | 0.05 |
| Sampling rate | ms | 100 |
| Item | Value |
|---|---|
| 0.0485 |
| Item | Value |
|---|---|
| 10−6 | |
| 10−6 | |
| 0.0002 | |
| 10−5 |
| Item | Value | Unit |
|---|---|---|
| 1.7657 | N/deg. |
| 1.3901 | 0.0107 | 1.0969 | 1.9172 | 27.2324 | 0.0016 | 0.0035 | 0.1564 | 2.6017 |
| Tire Model | Equation | Equation No. |
|---|---|---|
| LT: Linear tire model | (1) | |
| (6) | ||
| NT1: Nonlinear tire model (Magic Formula tire model) | (12) | |
| (8) | ||
| NT2: Nonlinear tire model (Rankin et al.’s tire model) | (12) | |
| (9) |
| Item | Symbol | Value | Unit |
|---|---|---|---|
| Aerodynamic drag coefficient | 0.02 | ||
| Aerodynamic lateral force coefficient | 0.018 | ||
| Aerodynamic rolling moment coefficient | 0.17 | ||
| Aerodynamic yawing moment coefficient | 0.40 | ||
| Atmospheric density | 1.293 | kg/m3 | |
| Side-slip angle | deg. |
| Item | Symbol | Value | Unit |
|---|---|---|---|
| Mass | m | 5.15 | kg |
| Moment of inertia | Ix | 0.018 | kgm2 |
| Iy | 4.18 | kgm2 | |
| Iz | 4.18 | kgm2 | |
| Center of gravity height | hcg | 0.17 | m |
| Main wing area | S | 0.40 | m2 |
| Main wingspan | b | 1.05 | m |
| Main wing mean aerodynamic chord | 0.52 | m | |
| Length between nose wheel and center of gravity | AN | 0.40 | m |
| Length between main wheel and center of gravity | ARL | 0.05 | m |
| Main wheel span | AW | 0.45 | m |
| Tire diameter | 0.06 | m | |
| Nose wheel weight ratio (static condition) | 0.1 | ||
| Main wheel weight ratio (static condition) | 0.9 | ||
| Thrust | FT | 45 | N |
| Spring coefficient of tire vertical force | k1 | 1000 | N/m |
| Damping coefficient of tire vertical force | k2 | 100 | Ns/m |
| Case | Tire Model | Aerodynamics | Steering Angle (deg.) |
|---|---|---|---|
| 1.1 | LT, NT1 | Not included | 5, 10, 20 |
| 1.2 | NT1, NT2 | Not included | 5, 10, 20 |
| 2.1 | LT, NT1 | Included | 5 |
Disclaimer/Publisher’s Note: The statements, opinions and data contained in all publications are solely those of the individual author(s) and contributor(s) and not of MDPI and/or the editor(s). MDPI and/or the editor(s) disclaim responsibility for any injury to people or property resulting from any ideas, methods, instructions or products referred to in the content. |
© 2024 by the authors. Licensee MDPI, Basel, Switzerland. This article is an open access article distributed under the terms and conditions of the Creative Commons Attribution (CC BY) license (https://creativecommons.org/licenses/by/4.0/).
Share and Cite
Eguchi, H.; Nakata, D. Experimental Parameter Identification and an Evaluation of the Impact of Tire Models on the Dynamics of Fixed-Wing Unmanned Aerial Vehicles. Aerospace 2024, 11, 620. https://doi.org/10.3390/aerospace11080620
Eguchi H, Nakata D. Experimental Parameter Identification and an Evaluation of the Impact of Tire Models on the Dynamics of Fixed-Wing Unmanned Aerial Vehicles. Aerospace. 2024; 11(8):620. https://doi.org/10.3390/aerospace11080620
Chicago/Turabian StyleEguchi, Hikaru, and Daisuke Nakata. 2024. "Experimental Parameter Identification and an Evaluation of the Impact of Tire Models on the Dynamics of Fixed-Wing Unmanned Aerial Vehicles" Aerospace 11, no. 8: 620. https://doi.org/10.3390/aerospace11080620
APA StyleEguchi, H., & Nakata, D. (2024). Experimental Parameter Identification and an Evaluation of the Impact of Tire Models on the Dynamics of Fixed-Wing Unmanned Aerial Vehicles. Aerospace, 11(8), 620. https://doi.org/10.3390/aerospace11080620
