Effects of Different Initial Conditions on Combustion Process of Ammonium Dinitramide-Based Energetic Propellant in Straight Nozzle
Abstract
1. Introduction
2. Numerical Modeling
3. Results and Discussion
3.1. Analysis of the Combustion Process of a Gaseous ADN-Based Propellant
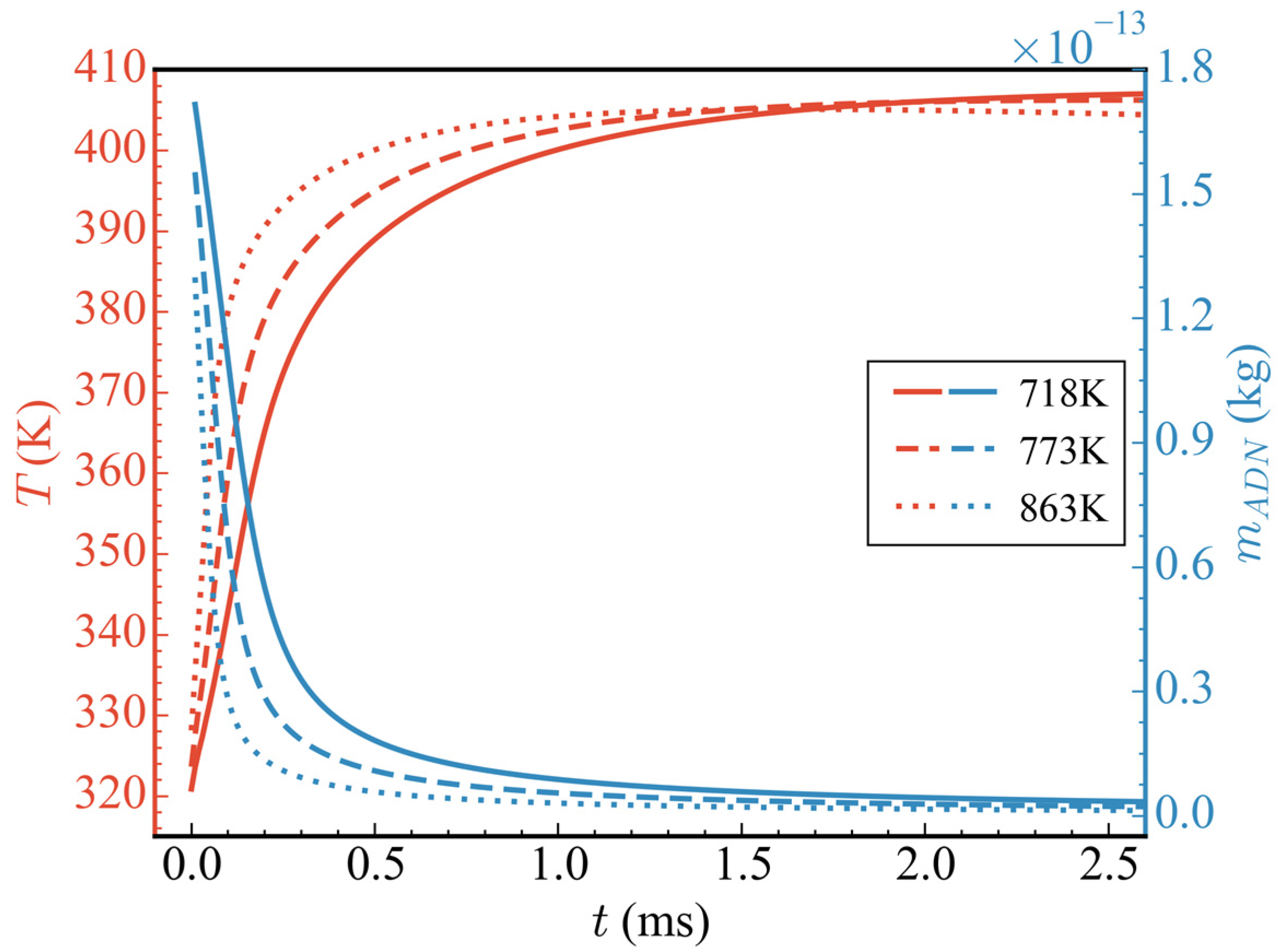
3.2. Effects of Different Initial Temperatures on the Combustion Process of an ADN-Based Propellant
3.3. Effects of Different Initial Pressures on the Combustion Process of an ADN-Based Propellant
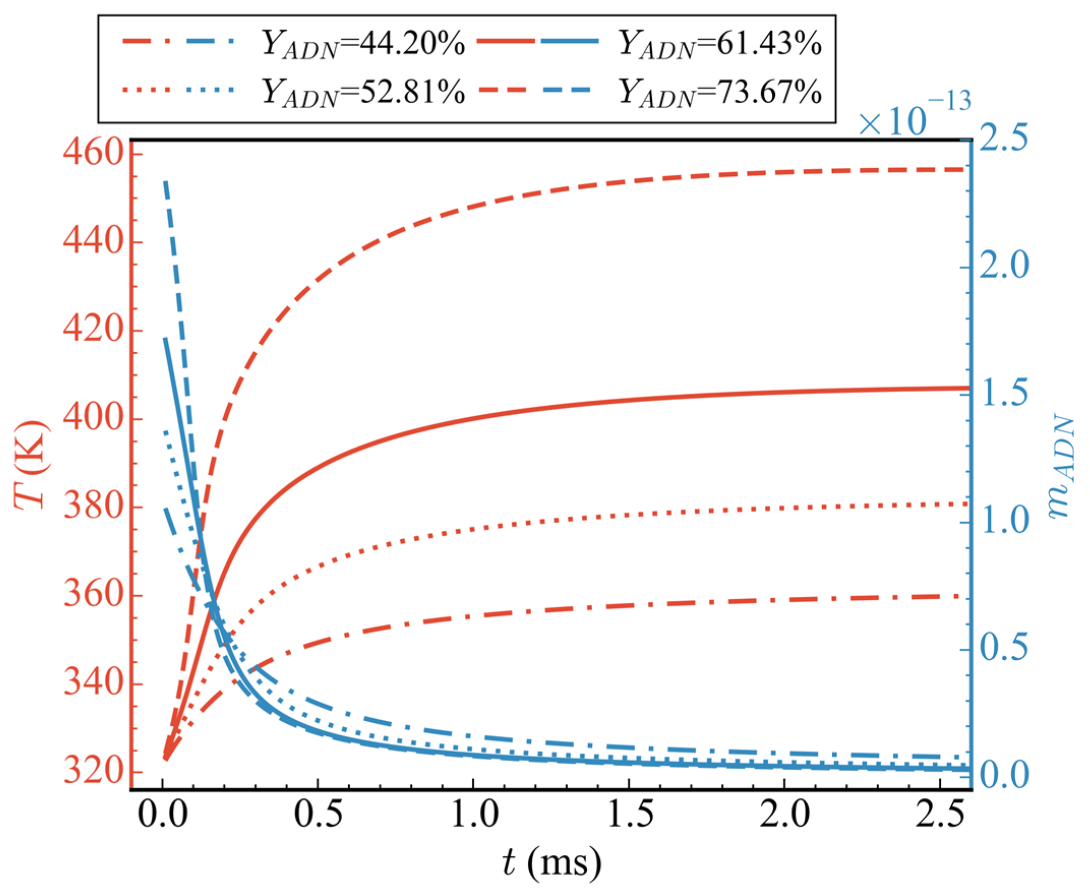
3.4. Effects of Different Initial Component Ratios on the Combustion Process of an ADN-Based Propellant
4. Conclusions
- Both the increase in initial temperature and the increase in the ADN component ratio had a positive effect on the pyrolysis of ADN, which led to the increase in average temperature in the nozzle, but the elevation in initial temperature had a negative effect on the overall rise amplitude of average temperature.
- The initial pressure of propellant was an important factor affecting whether CH3OH reacted. When the initial pressure was 1 atm, CH3OH did not react. When the initial pressure was 5 atm, part of CH3OH reacted, but there was no intense oxidation or heat release. When the initial pressure was 10 atm and 20 atm, CH3OH reacted violently, producing CO2 with a large amount of heat release, resulting in an average temperature of approximately 2650 K, which increased by 558.89% compared with that at 1 atm.
- In the cases of this study, setting a higher initial pressure of the propellant did not necessarily result in faster reaction rates of ADN and CH3OH. In the cases where CH3OH was completely consumed, the reaction time at an initial pressure of 10 atm was shorter than at 20 atm. For situations with higher pressures, the influence of shock waves needs to be taken into consideration.
Author Contributions
Funding
Data Availability Statement
Conflicts of Interest
References
- Li, Y.; Xie, W.; Wang, H.; Yang, H.; Huang, H.; Liu, Y.; Fan, X. Investigation on the Thermal Behavior of Ammonium Dinitramide with Different Copper-Based Catalysts. Prop. Explos. Pyrotech. 2020, 45, 1607–1613. [Google Scholar] [CrossRef]
- Badgujar, D.M.; Bulakh, N.R.; Wagh, R.M.; Talawar, M.B. Synthesis, Characterization and Purity Determination of Ammonium Dinitramide (ADN) and its Precursors. Sci. Technol. Energetic Mater. 2016, 77, 59–64. [Google Scholar]
- Golden, D.M.; McMillen, D.F.; Rossi, M.J. Low Pressure Thermal Decomposition Studies Selected Nitramine and Dinitramine Energetic Materials; ADA247972; SRI International: Menlo Park, CA, USA, 1992. [Google Scholar]
- Tartakovsky, V.A.; Lukyanov, O.A. Synthesis of Dinitramide Salts. In Proceedings of the 25th International Annual Conference of ICT, Karlsruhe, Germany, 28 June–1 July 1994; p. 13. [Google Scholar]
- Bottaro, J.C.; Penwell, P.E.; Schmitt, R.J. 1,1,3,3-Tetraoxo-1,2,3-triazapropene Anion, a New Oxy Anion of Nitrogen: The Dinitramide Anion and Its Salts. J. Am. Chem. Soc. 1997, 119, 9405–9410. [Google Scholar] [CrossRef]
- Christe, K.O.; Wilson, W.W.; Petrie, M.A.; Michels, H.H.; Bottaro, J.C.; Gilardi, R. The Dinitramide Anion, N(NO2)2−. Inorg. Chem. 1996, 35, 5068–5071. [Google Scholar] [CrossRef] [PubMed]
- Östmark, H.; Bemm, U.; Langlet, A.; Sandén, R.; Wingborg, N. The Properties of Ammonium Dinitramide (ADN): Part 1, Basic Properties and Spectroscopic Data. J. Energetic Mater. 2000, 18, 123–138. [Google Scholar] [CrossRef]
- Wingborg, N. Ammonium Dinitramide−Water: Interaction and Properties. J. Chem. Eng. Data 2006, 51, 1582–1586. [Google Scholar] [CrossRef]
- Wingborg, N.; Eldsater, C.; Skifs, H. Formulation and Characterization of ADN-Based Liquid Monopropellants. In Proceedings of the 2nd International Conference on Green Propellants for Space Propulsion, Sardinia, Italy, 7–8 June 2004. [Google Scholar]
- Ide, Y.; Takahashi, T.; Iwai, K.; Nozoe, K.; Habu, H.; Tokudome, S. Potential of ADN-based Ionic Liquid Propellant for Spacecraft Propulsion. Procedia Eng. 2015, 99, 332–337. [Google Scholar] [CrossRef]
- Jing, L.; Huo, J.; Yao, Z.; You, X.; Zhu, M. Numerical Investigation of an Aerospace Thruster with ADN-Based Liquid Propellant. J. Tsinghua Univ. 2016, 56, 1085–1090. [Google Scholar] [CrossRef]
- Zhang, T.; Li, G.; Yu, Y.; Sun, Z.; Wang, M.; Chen, J. Numerical Simulation of Ammonium Dinitramide (ADN)-Based Non-Toxic Aerospace Propellant Decomposition and Combustion in a Monopropellant Thruster. Energy Conv. Manag. 2014, 87, 965–974. [Google Scholar] [CrossRef]
- Li, L.; Li, G.-X.; Li, H.-M.; Yao, Z.-P. Effect of Voltage and Droplet Size on Electrical Ignition Characteristics of ADN-Based Liquid Propellant Droplet. Aerosp. Sci. Technol. 2019, 93, 105314. [Google Scholar] [CrossRef]
- Li, L.; Li, G.; Li, H.; Yao, Z. Experimental Study on Electrical Ignition Characteristics of Ammonium Dinitramide based Propellant under Different Environmental Pressures. Prop. Explos. Pyrotech. 2020, 45, 1056–1065. [Google Scholar] [CrossRef]
- Li, L.; Li, G.-X.; Li, H.-M.; Yao, Z.-P.; Zhang, T. Study on Electrical Ignition Characteristics of Ammonium Dinitramide (ADN)-Based Liquid Propellant Droplet in Nitrous Oxide Environment. Sci. Technol. Energetic Mater. 2023, 84, 72–79. [Google Scholar] [CrossRef]
- Hou, Y.; Yu, Y.; Li, Y.; Liu, X.; Wang, X. Experimental Study on Microwave-Induced Puffing, Micro-Explosion, and Combustion Characteristics of Ammonium Dinitramide-Based Liquid Propellant Droplets. Phys. Fluids 2023, 35, 117122. [Google Scholar] [CrossRef]
- Negri, M.; Hendrich, C.; Wilhelm, M.; Freudenmann, D.; Ciezki, H.K.; Gediminas, L.; Adelöw, L. Thermal Ignition of ADN-based Propellants. In Proceedings of the Space Propulsion 2016, Rome, Italy, 2–6 May 2016; p. SP2016_3125004. [Google Scholar]
- Negri, M.; Wilhelm, M.; Ciezki, H.K. Thermal Ignition of ADN-Based Propellants. Propellants Explos. Pyrotech. 2019, 44, 1096–1106. [Google Scholar] [CrossRef]
- Du, B.; Zheng, Y.; Mao, C.; Cui, H.; Han, J.; Jiang, L.; Ye, J.; Hong, Y. Transmissive Mode Laser Micro-Ablation Performance of Ammonium Dinitramide-Based Liquid Propellant for Laser Micro-Thruster. Micromachines 2023, 14, 1219. [Google Scholar] [CrossRef] [PubMed]
- Velardez, G.F.; Alavi, S.; Thompson, D.L. Molecular Dynamics Studies of Melting and Liquid Properties of Ammonium Dinitramide. J. Chem. Phys. 2003, 119, 6698–6708. [Google Scholar] [CrossRef]
- Zhu, W.; Wei, T.; Zhu, W.; Xiao, H. Comparative DFT Study of Crystalline Ammonium Perchlorate and Ammonium Dinitramide. J. Phys. Chem. A 2008, 112, 4688–4693. [Google Scholar] [CrossRef] [PubMed]
- Yu, Y.-S.; Li, G.-X.; Zhang, T.; Chen, J.; Wang, M. Effects of Catalyst-Bed’s Structure Parameters on Decomposition and Combustion Characteristics of an Ammonium Dinitramide (ADN)-Based Thruster. Energy Conv. Manag. 2015, 106, 566–575. [Google Scholar] [CrossRef]
- Jing, L.; Huo, J.; Wang, H.; You, X.; Zhu, M.; Yang, Y.; Yao, Z. Experimental Investigation on the Evaporation and Combustion Processes of Ammonium-Dinitramide-Based Liquid Propellant. J. Propul. Power 2017, 33, 343–349. [Google Scholar] [CrossRef]
- Jing, L.; You, X.; Huo, J.; Zhu, M.; Yao, Z. Experimental and Numerical Studies of Ammonium Dinitramide Based Liquid Propellant Combustion in Space Thruster. Aerosp. Sci. Technol. 2017, 69, 161–170. [Google Scholar] [CrossRef]
- Liu, X.; Su, G.; Yao, Z.; Yan, Z.; Yu, Y. Numerical Study of Flow Boiling of ADN-Based Liquid Propellant in a Capillary. Materials 2023, 16, 1858. [Google Scholar] [CrossRef] [PubMed]
- Dasgupta, A.; Gonzalez-Juez, E.; Haworth, D.C. Flame Simulations with an Open-source Code. Comput. Phys. Commun. 2019, 237, 219–229. [Google Scholar] [CrossRef]
- Gutiérrez Marcantoni, L.F.; Tamagno, J.; Elaskar, S. Rhocentralrffoam: An Openfoam Solver for High Speed Chemically Active Flows—Simulation of Planar Detonations. Comput. Phys. Commun. 2017, 219, 209–222. [Google Scholar] [CrossRef]
- Huang, Z.; Zhao, M.; Xu, Y.; Li, G.; Zhang, H. Eulerian-Lagrangian Modelling of Detonative Combustion in Two-phase Gas-droplet Mixtures with OpenFOAM: Validations and Verifications. Fuel 2021, 286, 119402. [Google Scholar] [CrossRef]
- Rizvi, M.S. Detailed Numerical Comparison of Laminar Burning Speed of Stratified Hydrogen–Air and Methane–Air Mixture with Corresponding Homogeneous Mixture Using Open-Source Code. J. Energy Resour. Technol. 2021, 143, 102303. [Google Scholar] [CrossRef]
- Issa, R.I. Solution of the Implicitly Discretised Fluid Flow Equations by Operator-Splitting. J. Comput. Phys. 1986, 62, 40–65. [Google Scholar] [CrossRef]
- Poinsot, T.; Veynante, D. Theoretical and Numerical Combustion, 3rd ed.; R.T. Edwards, Inc.: Philadelphia, PA, USA, 2012. [Google Scholar]










| Number | T0 (K) | p0 (atm) | YADN:YCH3OH:YH2O (%) |
|---|---|---|---|
| 1 | 718 | 1 | 61.43:12.24:26.33 |
| 2 | 773 | 1 | 61.43:12.24:26.33 |
| 3 | 863 | 1 | 61.43:12.24:26.33 |
| 4 | 718 | 5 | 61.43:12.24:26.33 |
| 5 | 718 | 10 | 61.43:12.24:26.33 |
| 6 | 718 | 20 | 61.43:12.24:26.33 |
| 7 | 718 | 1 | 73.67:0:26.33 |
| 8 | 718 | 1 | 52.81:20.86:26.33 |
| 9 | 718 | 1 | 44.20:29.47:26.33 |
| Grid Number | 200 × 5 | 400 × 10 | 600 × 15 |
|---|---|---|---|
| yADNmax | 0.001151 | 0.001175 | 0.001175 |
| vxmax (m/s) | 0.012542 | 0.013955 | 0.013955 |
Disclaimer/Publisher’s Note: The statements, opinions and data contained in all publications are solely those of the individual author(s) and contributor(s) and not of MDPI and/or the editor(s). MDPI and/or the editor(s) disclaim responsibility for any injury to people or property resulting from any ideas, methods, instructions or products referred to in the content. |
© 2024 by the authors. Licensee MDPI, Basel, Switzerland. This article is an open access article distributed under the terms and conditions of the Creative Commons Attribution (CC BY) license (https://creativecommons.org/licenses/by/4.0/).
Share and Cite
Jiang, L.; Mao, C.; Han, J.; Cui, H.; Du, B.; Zheng, Y.; Ye, J.; Hong, Y. Effects of Different Initial Conditions on Combustion Process of Ammonium Dinitramide-Based Energetic Propellant in Straight Nozzle. Aerospace 2024, 11, 437. https://doi.org/10.3390/aerospace11060437
Jiang L, Mao C, Han J, Cui H, Du B, Zheng Y, Ye J, Hong Y. Effects of Different Initial Conditions on Combustion Process of Ammonium Dinitramide-Based Energetic Propellant in Straight Nozzle. Aerospace. 2024; 11(6):437. https://doi.org/10.3390/aerospace11060437
Chicago/Turabian StyleJiang, Luyun, Chentao Mao, Jianhui Han, Haichao Cui, Baosheng Du, Yongzan Zheng, Jifei Ye, and Yanji Hong. 2024. "Effects of Different Initial Conditions on Combustion Process of Ammonium Dinitramide-Based Energetic Propellant in Straight Nozzle" Aerospace 11, no. 6: 437. https://doi.org/10.3390/aerospace11060437
APA StyleJiang, L., Mao, C., Han, J., Cui, H., Du, B., Zheng, Y., Ye, J., & Hong, Y. (2024). Effects of Different Initial Conditions on Combustion Process of Ammonium Dinitramide-Based Energetic Propellant in Straight Nozzle. Aerospace, 11(6), 437. https://doi.org/10.3390/aerospace11060437

