Numerical Study of Supersonic Cavity Flows with Different Turbulent Models
Abstract
1. Introduction
2. Governing Equations and Turbulent Models
2.1. Governing Equations
2.2. Turbulent Models
2.2.1. RANS Model
2.2.2. LES Model
2.2.3. DES Models Based on k-ω SST Model
Original DES Model
DDES Model
IDDES Model
3. Numerical Simulation of a Supersonic Cavity-Ramp Flow
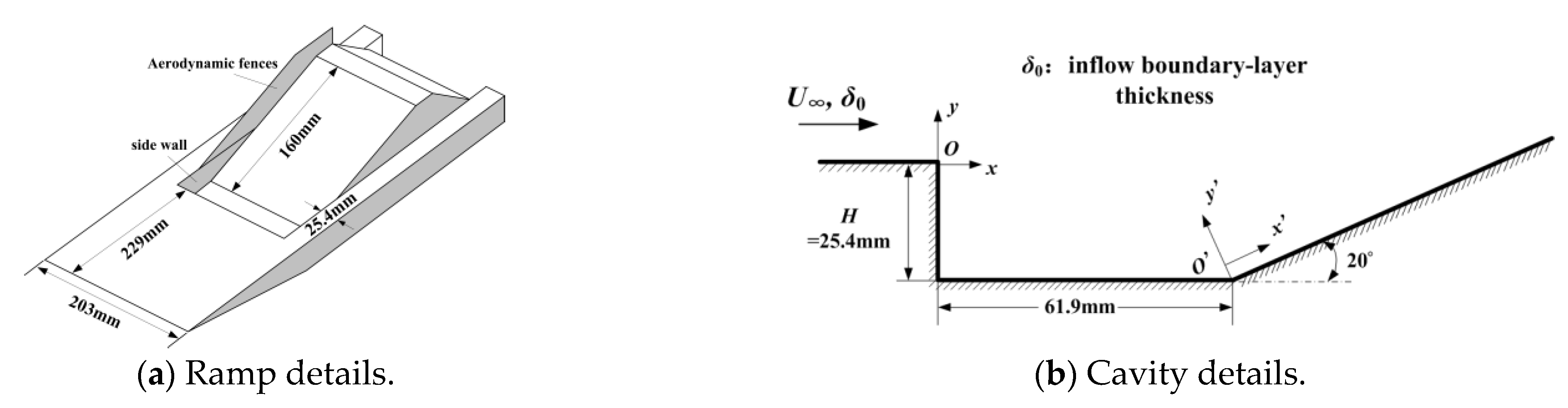
3.1. Description of Experiment
3.2. Grid Generation
3.3. Computational Procedure and Numerical Scheme
3.4. Results and Discussion
3.4.1. Instantaneous and Statistically Averaged Flow Field
3.4.2. Shear-Layer and Boundary-Layer Profiles
3.4.3. Mean Profiles Along Ramp
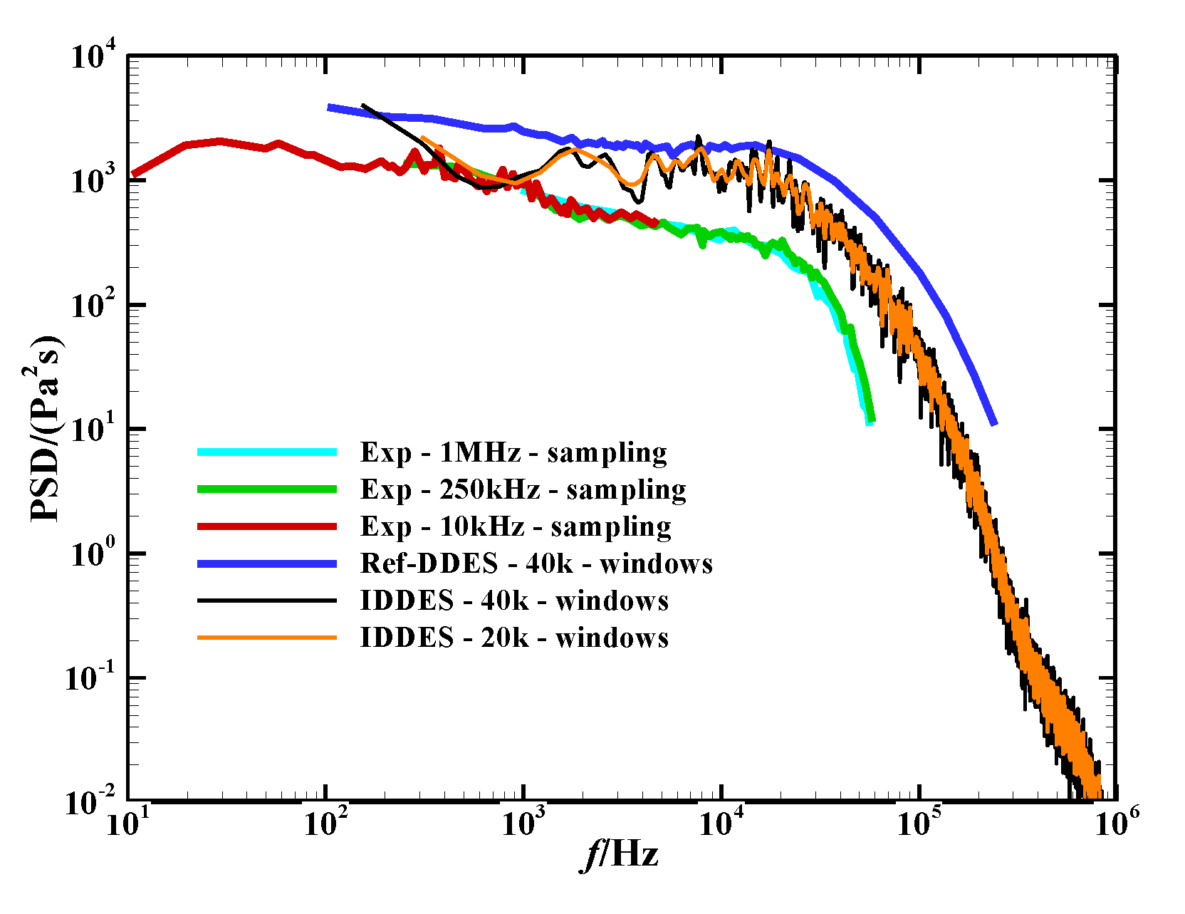
3.4.4. Pressure Fluctuations on the Ramp
4. Study of Effect of Aft-Wall Angle on Supersonic Cavity Flows
4.1. Instantaneous and Statistically Averaged Flow Field
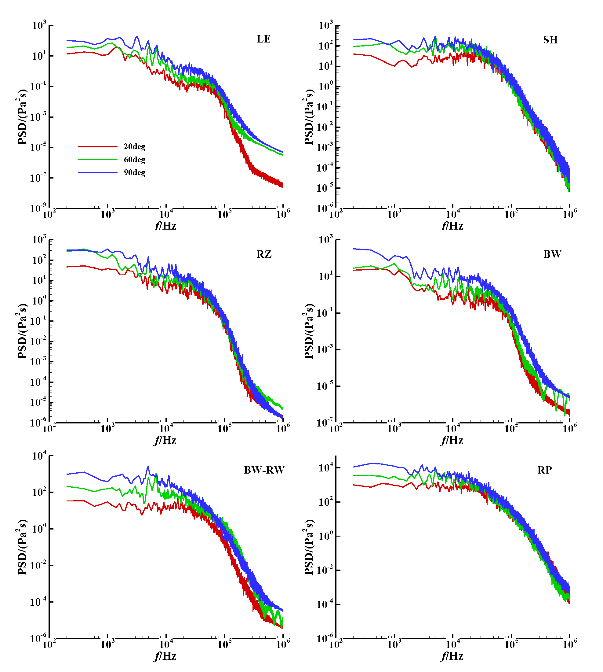
4.2. Fluctuation Characteristics
4.3. Cavity Drag
5. Conclusions
Author Contributions
Funding
Data Availability Statement
Conflicts of Interest
References
- Lawson, S.J.; Barakos, G.N. Review of numerical simulations for high-speed, turbulent cavity flows. Prog. Aerosp. Sci. 2011, 47, 186–216. [Google Scholar] [CrossRef]
- Ben-Yakar, A.; Hanson, R.K. Cavity flame-holders for ignition and flame stabilization in scramjets: An overview. J. Propuls. Power 2001, 17, 869–877. [Google Scholar] [CrossRef]
- Barnes, F.W.; Segal, C. Cavity-based flameholding for chemically-reacting supersonic flows. Prog. Aerosp. Sci. 2015, 76, 24–41. [Google Scholar] [CrossRef]
- Ma, G.W.; Sun, M.B.; Zhao, G.Y.; Liang, C.H.; Wang, H.B.; Yu, J.F. Effect of injection scheme on asymmetric phenomenon in rectangular and circular scramjets. Chin. J. Aeronaut. 2023, 36, 216–230. [Google Scholar] [CrossRef]
- Slotnick, J.; Khodadoust, A.; Alonso, J.; Darmofal, D.; Gropp, W.; Lurie, E.; Mavriplis, D. CFD Vision 2030 Study: A Path to Revolutionary Computational Aerosciences; NASA/CR-2014-218178; National Aeronautics and Space Administration, Langley Research Center: Hampton, VA, USA, 2014. [Google Scholar]
- Piomelli, U. Wall-layer models for large eddy simulations. Prog. Aerosp. Sci. 2008, 44, 437–446. [Google Scholar] [CrossRef]
- Germano, M.; Piomelli, U.; Moin, P.; Cabot, W.H. A dynamic subgrid-scale eddy viscosity model. Phys. Fluids A 1991, 3, 1760–1765. [Google Scholar] [CrossRef]
- Moin, P.; Squires, K.; Cabot, W.; Lee, S. A dynamic subgrid-scale model for compressible turbulence and scalar transport. Phys. Fluids A 1991, 3, 2746–2757. [Google Scholar] [CrossRef]
- Spalart, P.E.; Jou, W.H.; Strelets, M.; Allmaras, S.R. Comments on the feasibility of LES for wings, and on a hybrid RANS/LES approach. In Proceedings of the First AFOSR International Conference on DNS/LES, Ruston, LA, USA, 4–8 August 1997. [Google Scholar]
- Strelets, M. Detached eddy simulation of massively separated flows. In Proceedings of the 39th Aerospace Sciences Meeting and Exhibit, Reno, NV, USA, 8–11 January 2001. AIAA-2001-0897. [Google Scholar]
- Spalart, P.R.; Deck, S.; Shur, M.L.; Squires, K.D.; Strelet, M.K.; Travin, A. A new version of detached-eddy simulation, resistant to ambiguous grid densities. Theor. Comput. Fluid Dyn. 2006, 20, 181–195. [Google Scholar] [CrossRef]
- Gritskevich, M.S.; Garbaruk, A.V.; Jochen, S.; Menter, F.R. Development of DDES and IDDES formulations for the k–ω shear stress transport model. Flow Turbul. Combust. 2012, 88, 431–449. [Google Scholar] [CrossRef]
- Shur, M.L.; Spalart, P.R.; Strelets MKh Travin, A. A hybrid RANS-LES model with delayed DES and wall-modeled LES capabilities. Int. J. Heat Fluid Flow 2008, 29, 1638–1649. [Google Scholar] [CrossRef]
- Settles, G.S.; Williams, D.R.; Baca, B.K.; Bogdonoff, S.M. Reattachment of a compressible turbulent free shear layer. AIAA J. 1982, 20, 60–67. [Google Scholar] [CrossRef]
- Gao, Z.X.; Jiang, C.W.; Lee, C.H. Improvement and application of wall function boundary condition for high-speed compressible flows. Sci. China Technol. Sci. 2013, 56, 2501–2515. [Google Scholar] [CrossRef]
- Zhao, R.; Yan, C.; Yu, J.; Li, X.L. Improvement of Baldwin–Lomax turbulence model for supersonic complex flows. Chin. J. Aeronaut. 2013, 26, 529–534. [Google Scholar] [CrossRef]
- Fan, C.C.; Xiao, X.D.; Edwards, J.R.; Hassan, A.H.; Robert, A.B. Hybrid Large-eddy/Reynolds-averaged Navier-Stokes simulations of shock-separated flows. J. Spacecr. Rocket. 2004, 41, 897–906. [Google Scholar] [CrossRef]
- Quinlan, J.R.; McDaniel, J.C.; Baurle, R.A. Simulation of a wall-bounded flow using a hybrid LES/RAS approach with turbulence recycling. In Proceedings of the 42nd AIAA Fluid Dynamics Conference and Exhibit, New Orleans, LA, USA, 25–28 June 2012. [Google Scholar]
- Leger, T.; Bisek, N.; Poggie, J. Detached-eddy simulation of a supersonic reattaching shear layer. AIAA J. 2017, 55, 3722–3733. [Google Scholar] [CrossRef]
- Zhou, L.; Zhao, R.; Yuan, W. An investigation of interface conditions inherent in detached-eddy simulation methods. Aerosp. Sci. Technol. 2018, 74, 46–55. [Google Scholar] [CrossRef]
- Wu, Z.Y.; Gao, Z.X.; Jiang, C.W.; Lee, C.H. An in-depth numerical investigation of a supersonic cavity-ramp flow with DDES method. Aerosp. Sci. Technol. 2019, 89, 253–263. [Google Scholar] [CrossRef]
- Rowley, C.; Williams, D. Dynamics and control of high Reynolds number flow over open cavities. Annu. Rev. Fluid Mech. 2006, 38, 251–276. [Google Scholar] [CrossRef]
- Cattafesta, I.I.I.L.N.; Song, Q.; Williams, D.; Rowley, C.W.; Alvi, F.S. Active control of flow- induced cavity oscillations. Prog. Aerosp. Sci. 2008, 44, 479–502. [Google Scholar] [CrossRef]
- Vikramaditya, N.S.; Kurian, J. Effect of aft wall slope on cavity pressure oscillations in supersonic flows. Aeronaut. J. 2009, 113, 291–300. [Google Scholar] [CrossRef]
- Vikramaditya, N.S.; Kurian, J. Experimental study of influence of trailing wall geometry on cavity oscillations in supersonic flow. Exp. Therm. Fluid Sci. 2014, 54, 102–109. [Google Scholar] [CrossRef]
- Zhang, X.; Edwards, J.A. An investigation of supersonic oscillatory cavity flows driven by thick shear layers. Aeronaut. J. 1990, 94, 355–364. [Google Scholar] [CrossRef]
- Zhang, X.; Rona, A.; Edwards, J.A. The effect of trailing edge geometry on cavity flow oscillation driven by a supersonic shear layer. Aeronaut. J. 1998, 102, 129–136. [Google Scholar] [CrossRef]
- Gruber, M.R.; Baurle, R.A.; Mathur, T.; Mathur, T.; Hsu, K.Y. Fundamental studies of cavity-based flameholder concepts for supersonic combustors. J. Propuls. Power 2001, 17, 146–153. [Google Scholar] [CrossRef]
- Ding, M.; Wang, Z.G. Experimental investigation on drag of cavity flame holder. Acta Aeronaut. Astronaut. Sin. 2006, 27, 556–560. (In Chinese) [Google Scholar]
- Menter, F.R. Two-equation eddy-viscosity turbulence models for engineering applications. AIAA J. 1994, 32, 1598–1605. [Google Scholar] [CrossRef]
- Wilcox, D.C. Turbulence Modeling for CFD; DCW Industries: La Cañada, CA, USA, 2006. [Google Scholar]
- Liu, H.P.; Gao, Z.X.; Jiang, C.W.; Lee, C.H. Studies of combustion effects on near-wall turbulence in supersonic flows by large eddy simulation. Aerosp. Sci. Technol. 2020, 107, 106328. [Google Scholar] [CrossRef]
- Leger, T.; Poggie, J. Detached-eddy simulation of a reattaching shear layer in compressible turbulent flow. In Proceedings of the 7th AIAA Theoretical Fluid Mechanics Conference, Atlanta, GA, USA, 16–20 June 2014. AIAA-2014-3329. [Google Scholar]
- Roe, P.L. Approximate Riemann solvers, parameter vectors and difference schemes. J. Comput. Phys. 1981, 43, 357–372. [Google Scholar] [CrossRef]
- Balsara, D.S.; Shu, C.W. Monotonicity preserving weighted essentially non-oscillatory schemes with increasingly high order of accuracy. J. Comput. Phys. 2000, 160, 405–452. [Google Scholar] [CrossRef]
- Jameson, A. Time dependent calculations using multigrid, with applications to unsteady flows past airfoils and wings. In Proceedings of the AIAA 10th Computational Fluid Dynamics Conference, Honolulu, HI, USA, 24–26 June 1991. AIAA-91-1956. [Google Scholar]
- Zhang, L.P.; Wang, Z.J. A block LU-SGS implicit dual time-stepping algorithm for hybrid dynamic meshes. Comput. Fluids 2004, 33, 891–916. [Google Scholar] [CrossRef]
- Liu, H.P.; Gao, Z.X.; Jiang, C.W.; Lee, C.H. Numerical study of combustion effects on the development of supersonic turbulent mixing layer flows with WENO schemes. Comput. Fluids 2019, 189, 82–93. [Google Scholar] [CrossRef]
- Oliver, A.B.; Lillard, R.P.; Schwing, A.M.; Blaisdell, G.A.; Lyrintzis, A.S. Assessment of turbulent shock-boundary layer interaction computations using the OVERFLOW code. In Proceedings of the 45th AIAA Aerospace Sciences Meeting and Exhibit, Reno, NV, USA, 8–11 January 2007. AIAA Paper 2007-0104. [Google Scholar]
- Horstman, C.C.; Settles, G.S.; Williams, D.R.; Bogdonoff, S.M. A reattaching free shear layer in compressible turbulent flow. AIAA J. 1982, 20, 79–85. [Google Scholar] [CrossRef]
- Poggie, J.; Smits, A.J. Shock unsteadiness in a reattaching shear layer. J. Fluid Mech. 2001, 429, 155–185. [Google Scholar] [CrossRef]
- Shen, Z.H.; Smith, D.R.; Smits, A.J. Wall pressure fluctuations in the reattachment region of a supersonic free shear layer. Exp. Fluids 1993, 14, 10–16. [Google Scholar] [CrossRef]
- Bauer, R.C.; Dix, R.E. Engineering Model of Unsteady Flow in a Cavity; Arnold Engineering Development Center, Air Force Systems Command, United States Air Force: Arnold AFB, TN, USA, 1991. [Google Scholar]























| Ma∞ | ρ∞/[kg·m−3] | U∞/[m·s−1] | T∞/K | Tw/K |
|---|---|---|---|---|
| 2.92 | 0.77 | 572 | 95 | 266 |
| x′/H | 2.7 | 3.8 | 4.6 | 5.4 | 6.1 |
|---|---|---|---|---|---|
| δ/mm | 10.6 | 8.5 | 9.9 | 11.6 | 13.3 |
| Force on Fore Wall/N | Force on Bottom Wall/N | Force on Aft Wall/N | Pressure-Drag Coefficient | Viscous-Drag Coefficient | |
|---|---|---|---|---|---|
| θ = 20° | 462.2 | 1099.9 | 2125.3 | 8.32 × 10−2 | −8.67 × 10−5 |
| θ = 60° | 591.3 | 1984.2 | 820.8 | 3.76 × 10−2 | −8.14 × 10−4 |
| θ = 90° | 601.6 | 2140.4 | 733.0 | 4.13 × 10−2 | −6.54 × 10−4 |
Disclaimer/Publisher’s Note: The statements, opinions and data contained in all publications are solely those of the individual author(s) and contributor(s) and not of MDPI and/or the editor(s). MDPI and/or the editor(s) disclaim responsibility for any injury to people or property resulting from any ideas, methods, instructions or products referred to in the content. |
© 2024 by the authors. Licensee MDPI, Basel, Switzerland. This article is an open access article distributed under the terms and conditions of the Creative Commons Attribution (CC BY) license (https://creativecommons.org/licenses/by/4.0/).
Share and Cite
Liu, H.; Zou, S.; Shi, F.; Wang, S. Numerical Study of Supersonic Cavity Flows with Different Turbulent Models. Aerospace 2024, 11, 995. https://doi.org/10.3390/aerospace11120995
Liu H, Zou S, Shi F, Wang S. Numerical Study of Supersonic Cavity Flows with Different Turbulent Models. Aerospace. 2024; 11(12):995. https://doi.org/10.3390/aerospace11120995
Chicago/Turabian StyleLiu, Hongpeng, Shufan Zou, Fangcheng Shi, and Shengye Wang. 2024. "Numerical Study of Supersonic Cavity Flows with Different Turbulent Models" Aerospace 11, no. 12: 995. https://doi.org/10.3390/aerospace11120995
APA StyleLiu, H., Zou, S., Shi, F., & Wang, S. (2024). Numerical Study of Supersonic Cavity Flows with Different Turbulent Models. Aerospace, 11(12), 995. https://doi.org/10.3390/aerospace11120995

