Next Article in Journal
Velocity Observer Design for Tether Deployment in Hamiltonian Framework
Next Article in Special Issue
Orbital Transfers in a Binary Asteroid System Considering Flattening of the Bodies and Solar Radiation Pressure
Previous Article in Journal
Analysis of Static Aeroelastic Characteristics of Distributed Propulsion Wing
Previous Article in Special Issue
Space Environment Monitoring Unit on Wentian Laboratory Cabin Module of China Space Station
 
 
Font Type:
Arial Georgia Verdana
Font Size:
Aa Aa Aa
Line Spacing:
Column Width:
Background:
Article

Nonlinear Orbit Acquisition and Maintenance of a Lunar Navigation Constellation Using Low-Thrust Propulsion

by
Edoardo Maria Leonardi
*,
Giulio De Angelis
and
Mauro Pontani
Department of Astronautical, Electrical, and Energy Engineering, Sapienza University of Rome, Via Salaria 851, 00138 Rome, Italy
*
Author to whom correspondence should be addressed.
Aerospace 2024, 11(12), 1046; https://doi.org/10.3390/aerospace11121046
Submission received: 18 November 2024 / Revised: 10 December 2024 / Accepted: 16 December 2024 / Published: 20 December 2024
(This article belongs to the Special Issue Deep Space Exploration)

Abstract

In this research, a feedback nonlinear control law was designed and tested to perform acquisition and station-keeping maneuvers for a lunar navigation constellation. Each satellite flies an Elliptical Lunar Frozen Orbit (ELFO) and is equipped with a steerable and throttleable low-thrust propulsion system. Lyapunov stability theory was employed to design a real-time feedback control law, capable of tracking all orbital elements (including the true anomaly), expressed in terms of modified equinoctial elements (MEEs). Unlike previous research, control synthesis was developed in the complete nonlinear dynamical model, and allows for driving the spacecraft toward a time-varying desired state, which includes correct phasing. Orbit propagation was performed in a high-fidelity framework, which incorporated several relevant harmonics of the selenopotential, as well as third-body effects due to the gravitational pull of the Earth and Sun. The control strategy at hand was successfully tested through two Monte Carlo campaigns in the presence of nonnominal flight conditions related to estimation errors of orbit perturbations, accompanied by the temporary unavailability and misalignment of the propulsive thrust.

1. Introduction

In recent years, a major effort has emerged among space agencies and industry players worldwide to establish a lasting presence on and around the Moon. Programs such as NASA’s Artemis highlight the need for advanced solutions in scientific research, infrastructure development, and other areas that will lay the foundation for future lunar bases and human exploration [1]. A reliable communication and navigation framework is critical to support these expanded operations, yet no global lunar infrastructure currently exists [2,3]. Instead, each mission relies on custom-built communication solutions and Earth-based tracking systems [4]. The European Space Agency (ESA), for example, has launched the Moonlight initiative [5], which aims to establish scalable, reliable communication and navigation services for lunar exploration. A constellation of satellites in Elliptical Lunar Frozen Orbits (ELFOs), specifically selected for their stability and reduced station-keeping requirements over the long term [4], is at the heart of the ESA’s planned missions. These orbits provide dependable coverage, particularly over the Moon’s South Pole—a region of strategic interest due to its valuable water ice deposits and potentially useful as a future site for human settlement [6].
From a guidance and control perspective, supporting such a lunar infrastructure poses significant challenges in terms of acquisition and maintenance tasks. These require the development of autonomous, efficient algorithms capable of facing a nonlinear and highly perturbed dynamical environment with a low computational cost. Traditional Keplerian-based methods and optimization approaches are infeasible, as they are either computationally expensive or ill suited for real-time control [7]. While optimal control has proven effective for low-thrust orbit transfer and phasing [8,9], it still relies on algorithms that demand significant computational resources, making them unsuitable for real-time applications. On the other hand, feedback control laws offer a promising approach for autonomous guidance, navigation, and control architectures. In particular, nonlinear control methods can be implemented without requiring predefined reference trajectories. For instance, Lyapunov-based approaches have been successfully employed to design low-thrust feedback controllers that enjoy quasi-global asymptotic stability, even in the presence of perturbations and thrust saturation [10,11]. In this field, a previous study extended the applicability of nonlinear orbit control to track time-varying orbital elements, except for the true anomaly [12]. However, the development of nonlinear feedback control laws capable of achieving both orbit and phase control remains an unresolved challenge and represents a field of significant research interest. Indeed, traditional phasing schemes are usually based on a multi-impulse strategy, with fuel consumption dependent on the maneuver’s timeframe [13]. Despite their effectiveness, these open-loop methods require additional technological complexity, especially if both high- and low-thrust engines are needed onboard the spacecraft. To this aim, Leomanni et al. [14] proposed two state feedback controllers capable of handling wide inter-satellite separations, employing curvilinear coordinates to describe the relative motion between the chaser and the target. The resulting regulators can compensate for arbitrary initial phase errors but still rely on the linearization of the relative dynamics with respect to a specified reference path. Recent advances in machine learning have shown great promise in real-time autonomous guidance applications such as proximity operations, orbital rendezvous, and low-thrust transfers [15,16,17,18,19]. Supervised learning methods are computationally efficient while using inference, enabling fast real-time decisions, but they heavily rely on extensive ground-based training, which limits their adaptability to unpredictable conditions. On the other hand, reinforcement learning requires carefully designed reward structures, complicating decision-making in complex environments. These limitations highlight the potential of hybrid approaches that integrate machine learning with classic control techniques to improve adaptability, robustness, and interpretability, while addressing challenges such as data scarcity, behavior modeling, and generalization to different dynamical contexts [20]. In contrast, nonlinear control requires no offline data aside from gains, which, when properly tuned, can produce solutions comparable to those achieved with optimization techniques [21,22].
The aim of this research is to investigate the feasibility of using low-thrust nonlinear control for orbit acquisition and maintenance tasks within a lunar navigation constellation operating in ELFOs. To do this, based on previous investigations [12], a new nonlinear feedback law is proposed, aimed at both (i) driving the navigation satellites toward the nominal ELFO and (ii) tracking the desired orbit elements (including the true anomaly), while enjoying quasi-global stability. Differently from [14], the control law was designed in a high-fidelity dynamical model, which was developed with modified equinoctial elements (MEEs) to avoid the singularities encountered with Classical Orbital Elements (COEs) [23]. The control synthesis does not require the linearization of orbit dynamics, which include several harmonics of the selenopotential and third-body effects from the Sun and Earth, with positions and velocities provided by NASA ephemerides [24]. The spacecraft in the constellation are assumed to use low-thrust propulsion systems, offering reduced propellant consumption compared to chemical engines, at the cost of longer maneuver durations.
In short, the present research has the following objectives: (i) develop a nonlinear feedback control law in the full nonlinear dynamical framework, capable of tracking all orbital elements despite orbit perturbations and control saturation due to the maximum available thrust magnitude; and (ii) evaluate the performance of the feedback control law through a Monte Carlo simulation campaign in the high-fidelity dynamical framework and in the presence of nonnominal conditions associated with thrust misalignment and temporary unavailability, together with estimation errors of the perturbing acceleration.

2. Orbit Dynamics

This section introduces a high-fidelity model for accurately describing the orbital dynamics of the spacecraft, modeled as a point mass. First, the Moon-Centered Inertial (MCI) frame is defined, identified by the unit vectors ( c ^ 1 M , c ^ 2 M , c ^ 3 M ) , as described in [12]. Non-Keplerian accelerations are expressed in the Local Vertical Local Horizontal (LVLH) frame, which corresponds to the unit vectors ( r ^ , θ ^ , h ^ ) : r ^ points from the Moon’s center to the spacecraft’s instantaneous position, h ^ is aligned with the orbital angular momentum vector of the spacecraft relative to the Moon, and θ ^ completes the right-handed set. If R k ( ξ ) ( k = 1 , 2 , 3 ) denotes an elementary rotation by an angle of ξ about the k-axis, then the LVLH frame can be related to the MCI frame through a sequence of three successive elementary rotations:
r ^ θ ^ h ^ = R 3 ( ω + θ ) R 1 ( i ) R 3 ( Ω ) c ^ 1 M c ^ 2 M c ^ 3 M ,
where i, Ω , ω , and θ denote the inclination, the Right Ascension of the Ascending Node (RAAN), the argument of the periselenium, and the true anomaly, respectively. Gravitational acceleration components are computed in the Local Horizontal (LH) frame, which is defined by the unit vectors ( r ^ , E ^ , N ^ ) , with E ^ and N ^ representing the local (lunar) east and north directions. The LH frame is related to the LVLH frame through a single rotation:
r ^ θ ^ h ^ = R 1 ( ζ ) r ^ E ^ N ^ ,
where ζ denotes the heading angle.

2.1. Orbit Perturbations

This high-fidelity model includes perturbing effects from the Earth and Sun’s gravitation, as well as the relevant harmonics of the Moon’s gravitational potential. As a preliminary step, we introduce the following quantities:
  • r is the vector from the Moon’s center to the spacecraft;
  • r 3 represents the position vector of the third body (Earth or Sun) relative to the Moon;
  • q 3 : = r · r 2 r · r 3 r 3 · r 3 .
The third-body gravitational acceleration a 3 is expressed as follows [25]:
a 3 = μ 3 r 3 3 ( q 3 + 1 ) 3 / 2 r + r 3 q 3 q 3 2 + 3 q 3 + 3 ( q 3 + 1 ) 3 / 2 + 1 ,
where μ 3 is the gravitational parameter of the generic third body. Equation (1) enables the conversion of this acceleration into the LVLH frame, using a planetary ephemeris for r 3 .
For the lunar gravitational field perturbation, the selenopotential U is expanded using Legendre polynomials, P l m :
U = μ m r μ m r l = 2 R m r l J l P l 0 ( sin ϕ ) + μ m r l = 2 m = 1 l R m r l J l m P l m ( sin ϕ ) cos [ m ( λ g λ l m ) ] ,
where R m is the lunar equatorial radius, ϕ is the latitude, and λ g is the geographical longitude, calculated from the lunar reference meridian. This study used the Lunar Prospector LP100K model for the Moon’s gravitational field [26], retaining only harmonics such that | J l m | > 5   ·   10 6 [12]. All gravitational data are collected in Table A1Table A3 in Appendix A. The gravitational acceleration a h due to these harmonics is initially obtained in the LH frame:
a h = U r + μ m r 2 r ^ + U λ g E ^ r cos ϕ + U ϕ N ^ r .
Finally, the acceleration a h is converted into the LVLH frame via Equation (2).

2.2. Equations of Motion

The spacecraft’s orbital dynamics are conveniently formulated using the MEEs, denoted by x i for i = 1 , , 6 , which avoid singularities except in retrograde equatorial orbits:
x 1 = a ( 1 e 2 ) ,
x 2 = e cos ( Ω + ω ) ,
x 3 = e sin ( Ω + ω ) ,
x 4 = tan i 2 cos Ω ,
x 5 = tan i 2 sin Ω ,
x 6 = Ω + ω + θ .
Given the non-Keplerian acceleration vector a NK = a r a θ a h in the LVLH frame, which includes both perturbing and thrust components, and defining x : = x 1 x 2 x 3 x 4 x 5 x 6 , the dynamics of the system are governed by
x ˙ = G ( x ) a NK + f ,
where
G = x 1 μ m 0 2 x 1 η 0 sin x 6 ( 1 + η ) cos x 6 + x 2 η x 4 sin x 6 x 5 cos x 6 η x 3 cos x 6 ( 1 + η ) sin x 6 + x 3 η x 4 sin x 6 x 5 cos x 6 η x 2 0 0 1 + x 4 2 + x 5 2 2 η cos x 6 0 0 1 + x 4 2 + x 5 2 2 η sin x 6 0 0 x 4 sin x 6 x 5 cos x 6 η , f = 0 0 0 0 0 μ m x 1 3 η 2 ,
and η   : =   1 + x 2 cos x 6 + x 3 sin x 6 . The spacecraft operates with a low-thrust propulsion system, characterized by an effective exhaust velocity c and a maximum thrust T max . Denoting x 7 as the vehicle’s mass ratio, its rate of change is governed by the propulsion parameters as follows:
x ˙ 7 = u T c ,
where u T , the thrust per unit (initial) mass, is given by
u T = T m 0 , 0 u T u T max = T max / m 0 .
Here, T represents the instantaneous thrust magnitude, and m 0 is the initial mass of the spacecraft.

3. Configuration of the Lunar Navigation Constellation

This study assesses low-thrust nonlinear control as a viable approach for the acquisition and maintenance of a lunar navigation constellation. Prior studies have explored a variety of orbital configurations, including Halo orbits, Distant Retrograde Orbits (DROs), and hybrid constellations that combine both of them [27], with the aim of improving the positioning accuracy by minimizing the dilution of precision (DOP), which quantifies the impact of satellite geometry on the navigation performance. Among these, ELFOs have been selected for use in the Moonlight mission, due to their capability of ensuring precise positioning over the lunar South Pole. The ELFO constellation considered in this study, derived from the work by Zanotti et al. [28], was obtained through multi-objective optimization to achieve specific DOP performance criteria. It consists of six satellites evenly distributed across two distinct orbital planes, with different initial RAAN values, as outlined in Table 1.
The semimajor axis was chosen to achieve a 24 h orbital period, and the argument of the periselenium was set to maximize the satellite’s coverage over the southern lunar hemisphere. The eccentricity, RAAN, and true anomaly are determined through the optimization process. The inclination is then calculated as a function of the semimajor axis, eccentricity, and the argument of the periselenium to attain a frozen orbit.

4. Nonlinear Orbit Control

This section introduces a nonlinear feedback control law designed to pursue two objectives: the initial orbital acquisition of a spacecraft belonging to the constellation and the maintenance of its position along a specified orbit with desired phasing.

4.1. Problem Formulation

The objective of the feedback control law is to stabilize the semimajor axis, eccentricity, and inclination about constant target values, while actively tracking the time evolution of Ω , ω , and θ . Due to the J 2 perturbation, Ω and ω exhibit secular variations instead of remaining fixed, as would occur in Keplerian motion, as well as for θ , which, however, also naturally evolves. Therefore, nonlinear control was applied to guide the spacecraft toward a “virtual” spacecraft defined by desired orbital parameters ( a d , e d , i d , Ω d ( t ) , ω d ( t ) , θ d ( t ) ) . Using Gauss’ planetary equations [29], the time derivatives of these orbital elements can be expressed as follows:
Ω ˙ d = r d h d sin ( ω d + θ d ) sin i d a h J 2 ,
ω ˙ d = cos θ d e d p d μ m a r J 2 + sin θ d 2 + e d cos θ d e d ( 1 + e d cos θ d ) p d μ m a θ J 2 r d h d sin ( ω d + θ d ) tan i d a h J 2 ,
θ ˙ d = μ m p d 3 ( 1 + e d cos θ d ) 2 + cos θ d e d p d μ m a r J 2 sin θ d 2 + e d cos θ d e d ( 1 + e d cos θ d ) p d μ m a θ J 2 ,
while the desired time derivatives of the remaining elements are set to zero. In Equations (16)–(18), p d = a d ( 1 e d 2 ) is the semilatus rectum and h d = μ m p d represents the specific angular momentum. The components of the perturbing acceleration due to the J 2 harmonic in the LVLH frame are given by [29]
a r J 2 = 3 μ m r 4 R m 2 J 2 1 3 sin 2 i sin 2 ( ω + θ ) 2 ,
a θ J 2 = 3 μ m r 4 R m 2 J 2 sin 2 i sin ( ω + θ ) cos ( ω + θ ) ,
a h J 2 = 3 μ m r 4 R m 2 J 2 sin i cos i sin ( ω + θ ) .
To describe the time evolution of the virtual spacecraft’s MEEs, we analytically differentiated them with respect to time, based on their definitions in Equations (6)–(11):
x ˙ 1 d = a ˙ d ( 1 e d 2 ) 2 e d e ˙ d a d ,
x ˙ 2 d = e ˙ d cos ( Ω d + ω d ) ( Ω ˙ d + ω ˙ d ) e d sin ( Ω d + ω d ) ,
x ˙ 3 d = e ˙ d sin ( Ω d + ω d ) + ( Ω ˙ d + ω ˙ d ) e d cos ( Ω d + ω d ) ,
x ˙ 4 d = tan i d 2 Ω ˙ d sin Ω d + 1 2 cos 2 i d i ˙ d cos Ω d ,
x ˙ 5 d = tan i d 2 Ω ˙ d cos Ω d + 1 2 cos 2 i d i ˙ d sin Ω d ,
x ˙ 6 d = Ω ˙ d + ω ˙ d + θ ˙ d .
By substituting Equations (16)–(18) into these expressions, we obtained the time derivatives of the desired modified equinoctial elements. The numerical integration of these equations allows for continuously tracking the time evolution of the virtual spacecraft’s orbital state.

4.2. Feedback Control Law

The feedback control employs low thrust to drive the spacecraft’s state toward that of the virtual target, represented as
x d = x 1 d x 2 d x 3 d x 4 d x 5 d x 6 d .
To achieve this, the following nonlinear condition must be enforced:
Ψ x ( t ) , x d ( t ) = Ψ 1 Ψ 2 Ψ 3 Ψ 4 = 0 ,
where the constraint components are
Ψ 1 = ( 1 cos ( x 6 x 6 d ) ) x 1 ,
Ψ 2 = ( x 2 x 2 d ) 2 + ( x 3 x 3 d ) 2 ,
Ψ 3 = ( x 4 x 4 d ) 2 + ( x 5 x 5 d ) 2 ,
Ψ 4 = ( x 1 x 1 d ) 2 ( 1 + x 2 sin x 6 x 3 cos x 6 ) .
These components serve distinct control objectives: Ψ 2 constrains the desired orbital eccentricity and the argument of the pericenter, while Ψ 3 regulates the orientation of the orbital plane [12]. The term Ψ 1 aligns the phase angle, provided that x 1 0 , and Ψ 4 enforces the semilatus rectum. Indeed,
1 + x 2 sin x 6 x 3 cos x 6 = 1 + e sin θ > 0 , because e < 1 .
Thus, under the condition x 1 0 , the relationship
Ψ ( x ( t ) , x d ( t ) ) = 0 x = x d
holds. To guide the system state toward this target set defined by Equations (29)–(32), we employed nonlinear feedback control. We defined a Lyapunov candidate function:
V = 1 2 Ψ K Ψ ,
where K is symmetric and positive definite, ensuring that V > 0 whenever Ψ 0 . By construction, V = 0 if and only if the target set is reached. The objective is to drive V to zero.
As a preliminary step, the following auxiliary terms for control formulation are defined:
A   : =   Ψ x G ,
b   : =   A K Ψ ,
d   : =   a P + A A A 1 Ψ x f + Ψ x d x ˙ d ,
where a P represents the total perturbing acceleration. The following nonlinear control law
u T = u T b + d | b + d | ,
with u T = x 7 | b + d | , if x 7 | b + d | u T max , 0 , if x 7 | b + d | > u T max and b b + b d < 0 , u T max , if x 7 | b + d | > u T max and b b + b d 0 ,
guarantees the convergence of the system to the target state under certain conditions. Specifically, the control law achieves convergence if Ψ and its partial derivatives Ψ x are continuous, the expression A A 1 Ψ t + Ψ x f remains bounded, | b | > 0 unless Ψ = 0 , and u T max > x 7 | d | . The proof of this convergence result, based on the approach in [10], leverages the Lyapunov function candidate V defined in Equation (35). The function V is positive definite, as V > 0 Ψ 0 . Additionally, since Ψ and Ψ x are continuous, V has continuous partial derivatives, making it a valid Lyapunov function. Considering that Ψ = Ψ ( x ( t ) , x d ( t ) ) (cf. from Equations (22)–(32)), the time derivative of V is given by
V ˙ = Ψ K Ψ ˙ = Ψ K Ψ x x ˙ + Ψ x d x ˙ d .
By applying Equations (12) and (36), where a NK = a P + a T , we obtain
V ˙ = Ψ K A ( a P + a T ) + Ψ x f + Ψ x d x ˙ d .
Substituting Equation (39) into V ˙ and using the relationship a T = u T / x 7 , then applying (37) and (38), we derive
V ˙ = Ψ K A a P u T x 7 b + d | b + d | + Ψ x f + Ψ x d x ˙ d = b a P u T x 7 b ( b + d ) | b + d | + Ψ K Ψ x f + Ψ x d x ˙ d ( by   ( 37 ) ) = b a P u T x 7 b ( b + d ) | b + d | + Ψ K A d A a P = b a P u T x 7 b ( b + d ) | b + d | + b d a P ( by   ( 37 ) ) = u T x 7 b ( b + d ) | b + d | + b d .
Equation (41) guarantees the asymptotic stability of the dynamical system toward the final condition Ψ = 0 , as demonstrated in [10]. To fully understand the system’s behavior, it is crucial to examine the attracting set, comprising all states where V ˙ = 0 . This is significant since V may converge to a non-zero value while converging to a stationary state. We specifically evaluated b = 0 since this condition leads to V ˙ = 0 . The gain matrix K was chosen to be diagonal with the components k 1 , k 2 , k 3 , and k 4 . Consequently, the components of the vector b were derived analytically:
b 1 = x 1 μ m 2 ( x 2 x 2 d ) sin x 6 ( x 3 x 3 d ) cos x 6 k 2 Ψ 2 + ( x 1 x 1 d ) 2 k 4 Ψ 4 ,
b 2 = x 1 μ m [ 2 x 1 η 1 cos ( x 6 x 6 d ) k 1 Ψ 1 + 2 ( x 1 x 1 d ) ( 1 + x 2 sin x 6 x 3 cos x 6 ) k 4 Ψ 4 + ( 1 + η ) cos x 6 + x 2 η 2 ( x 2 x 2 d ) k 2 Ψ 2 + ( x 1 x 1 d ) 2 sin x 6 k 4 Ψ 4 + ( 1 + η ) sin x 6 + x 3 η 2 ( x 3 x 3 d ) k 2 Ψ 2 ( x 1 x 1 d ) 2 cos x 6 k 4 Ψ 4 ] ,
b 3 = x 1 μ m [ x 4 sin x 6 x 5 cos x 6 η ( x 3 2 ( x 2 x 2 d ) k 2 Ψ 2 + ( x 1 x 1 d ) 2 sin x 6 k 4 Ψ 4 + x 2 2 ( x 3 x 3 d ) k 2 Ψ 2 ( x 1 x 1 d ) 2 cos x 6 k 4 Ψ 4 ) + 1 + x 4 2 + x 5 2 η k 3 Ψ 3 ( x 4 x 4 d ) cos x 6 + ( x 5 x 5 d ) sin x 6 + x 4 sin x 6 x 5 cos x 6 η x 1 sin ( x 6 x 6 d ) k 1 Ψ 1 + ( x 1 x 1 d ) 2 ( x 2 cos x 6 + x 3 sin x 6 ) k 4 Ψ 4 ] .
First, b 1 = b 2 = b 3 = 0 if x 1 = 0 , which corresponds to rectilinear trajectories. If x 1 0 , then b 1 = 0 holds if one of the following conditions is satisfied:
  • Ψ 2 = Ψ 4 = 0 ;
  • ( x 2 x 2 d ) sin x 6 ( x 3 x 3 d ) cos x 6 = 0 and Ψ 4 = 0 .
Since x 6 varies over time even along the desired trajectory, the second condition is satisfied independently of x 6 only if x 2 = x 2 d and x 3 = x 3 d , which is equivalent to Ψ 2 = 0 . Thus, the condition b 1 = 0 is equivalent to Ψ 2 = Ψ 4 = 0 , provided x 1 0 . Consequently, b 2 = b 1 = 0 if and only if x 6 = x 6 d + 2 k π ( k Z ) . Finally, b 3 = b 2 = b 1 = 0 , regardless of x 6 , if either Ψ 3 = 0 or x 4 = x 4 d and x 5 = x 5 d . However, the last two equalities are equivalent to Ψ 3 = 0 . Therefore, the attracting set includes the following subsets:
  • x 1 = 0 (rectilinear trajectories);
  • Ψ 1 = Ψ 2 = Ψ 3 = Ψ 4 = 0 (target set).
Yet, the subset associated with rectilinear trajectories can be excluded by evaluating the time derivative of b [10]. Indeed, we have
b ˙ = b x x ˙ + b x d x ˙ d .
If a NK = 0 , this simplifies to
b ˙ = b x 6 μ m x 1 3 η 2 + b x d x ˙ d .
From the inspection of Equation (46), it is evident that the subset associated with rectilinear trajectories can be ruled out, as the time derivative b ˙ diverges. Conversely, it can be readily verified that when the target set is achieved, i.e.,
x 1 = x 1 d , x 2 = x 2 d , x 3 = x 3 d , x 4 = x 4 d , x 5 = x 5 d , x 6 = x 6 d ,
then b ˙ = 0 as well. Consequently, the asymptotic stability is quasi-global, as the invariant set (a set of system states that, once reached, cannot be left) contains no subsets other than the target set.

5. Numerical Simulations

This section presents the numerical simulations used to evaluate the performance of the feedback control law. We conducted a Monte Carlo campaign with 100 simulations. The setup and initial conditions for these simulations are detailed below; first, we introduce a strategy to avoid singularity issues for the feedback control law.

5.1. Singularity Robust Inversion Algorithm

As detailed in Section 4.2, the feedback control law in Equation (39) guarantees convergence, provided the term A A 1 Ψ t + Ψ x f remains bounded. To handle potential singularities in the term A A , which may not always be invertible, a robust inversion strategy was applied by substituting A A with the following matrix:
A   : =   ( A A + χ I 4 x 4 ) ,
where I 4 × 4 is the 4 × 4 identity matrix. The parameter χ is defined as
χ   : =   0 , if m m 0 , χ 0 1 m m 0 , if m < m 0 ,
with m   : =   det ( A A ) , χ 0 = 1 , and m 0 = 10 35 . This heuristic correction ensures stability in near-singular conditions when m is less than m 0 .

5.2. Simulation Setup and Initial Conditions

The numerical setup is outlined in Table 2, which lists the key parameters used in the simulations, including the values for the maximum thrust acceleration and the tuning gains for the control law.
The control gains k 1 , k 2 , k 3 , and k 4 were tuned after extensive trial and error to achieve balanced steady-state errors across orbital elements. Furthermore, canonical units were used throughout for numerical convenience: the distance unit (DU) was set to 10,000 km, and the time unit (TU) was defined to yield a unit gravitational parameter:
TU = DU 3 μ m .
The initial conditions for the Monte Carlo simulations are reported in Table 3, which lists the mean values and standard deviations for the inclination, RAAN, and argument of the periselenium.
The initial semimajor axis and eccentricity were initialized by assigning random values for the radii at the periselenium ( r P 0 ) and aposelenium ( r A 0 ), which were uniformly distributed in the intervals of
r P 0 [ 4932.61 , 5032.61 ] km , r A 0 [ 14 , 468.79 , 14 , 568.79 ] km .
Dispersions in the initial conditions were aimed at modeling injection errors.

5.3. Monte Carlo Campaign with Dispersed Initial Conditions

A Monte Carlo campaign was performed to evaluate the feedback control law. The performance of the control law was assessed by tracking the deviation of each orbital element ξ from its desired value:
ξ ¯ = t s t f ( ξ ( t ) ξ d ( t ) ) d t , ξ { a , e , i , Ω , ω , θ } ,
where t s = 100 days, chosen conventionally as the initial time of the analysis, following acquisition, and t f represents the final simulation time. Each simulation took approximately 180 s on an Apple M2 Pro processor (Apple, Cupertino, CA, USA) (32 GB RAM, ten cores: four high-efficiency + six high-performance). The mean and standard deviation values of each performance metric in Equation (49) were calculated. The Monte Carlo results are summarized in Table 4, while Figure 1, Figure 2, Figure 3, Figure 4, Figure 5, Figure 6 and Figure 7 show the time histories of each orbital element and mass ratio. A zoomed-in representation of the last 10 days is also highlighted in the insets to show the time histories of the orbital elements in the last 10 days, after they had converged to values very close to the desired ones.

5.4. Monte Carlo Campaign with Nonnominal Flight Conditions

To evaluate the effect of actuation errors on the feedback control law and its sensitivity to perturbation estimation errors, we conducted an additional Monte Carlo simulation campaign. The following nonnominal conditions were introduced:
  • temporary thrust unavailability;
  • thrust misalignment from the nominal direction;
  • estimation errors of the perturbation acceleration.
The temporary thrust unavailability began at a randomly selected epoch, uniformly distributed between 10 and 30 days after the initial time, and persisted for a duration of 5 days.
The actual thrust vector deviated from its nominal direction (as instantaneously determined by the feedback control law) due to the azimuthal and elevation angles, β and γ , respectively. These deviations are shown in Figure 8, where a T represents the misaligned thrust.
These angles were treated as time-varying, updated randomly at discrete intervals of t s = 5 min, such that t k + 1 = t k + t s . At each sampling time t k , β k was sampled from a uniform distribution over [ 0 , 2 π ] , while γ k followed a truncated normal distribution with a mean of 0 , a standard deviation of σ = 1 , and a cut-off at 3 σ . Between t k and t k + 1 , the angles β ( t ) and γ ( t ) were interpolated as sinusoidal functions to ensure smooth transitions [30]:
γ ( t ) = γ k + 1 γ k 2 sin π t s t t k + t k + 1 2 + γ k + γ k + 1 2 ,
β ( t ) = β k + 1 β k 2 sin π t s t t k + t k + 1 2 + β k + β k + 1 2 ,
with the boundary conditions
γ ( t k ) = γ k , γ ( t k + 1 ) = γ k + 1 , β ( t k ) = β k , β ( t k + 1 ) = β k + 1 .
The nominal thrust acceleration unit vector a ^ T in the LVLH frame is expressed as
a ^ T = a T a T = cos δ cos α cos δ sin α sin δ r ^ θ ^ h ^ ,
where δ and α are the elevation and azimuth angles of the thrust vector, respectively. To model the misalignment, we defined an auxiliary right-handed frame ( i ^ , j ^ , a ^ T ) , where
i ^ = a ^ T × h ^ a ^ T × h ^ = sin α r ^ cos α θ ^ ,
j ^ = a ^ T × i ^ = cos α sin δ r ^ + sin α sin δ θ ^ cos δ h ^ .
The relationship between this frame and the LVLH frame is
i ^ j ^ a T ^ = sin α cos α 0 cos α sin δ sin α sin δ cos δ cos δ cos α cos δ sin α sin δ r ^ θ ^ h ^ .
The misaligned thrust vector a T is expressed as
a T = sin γ ( t ) cos β ( t ) i ^ + sin γ ( t ) sin β ( t ) j ^ + cos γ ( t ) a ^ T ,
as shown in Figure 8. To account for estimation errors, the perturbing acceleration a P in the feedback control law includes oscillating deviations from its nominal value. Each perturbed component a P , k ( t ) is modeled as [31]
a P , q ( t ) = a P , q ( t ) 1 + ε q sin 2 π T t + ρ q , q = r , θ , h ,
where
  • ε q are uniformly distributed random variables in [ 0 , 0.05 ] ;
  • ρ q are uniformly distributed random phases in [ 0 , 2 π ] ;
  • T is the orbital period of the osculating orbit.
A new Monte Carlo campaign with 100 simulations was performed using the same numerical setup from Section 5.2. The results are presented in Table 5, with the time evolution of orbital elements illustrated in Figure 9, Figure 10, Figure 11, Figure 12, Figure 13 and Figure 14.

5.5. Discussion of Results

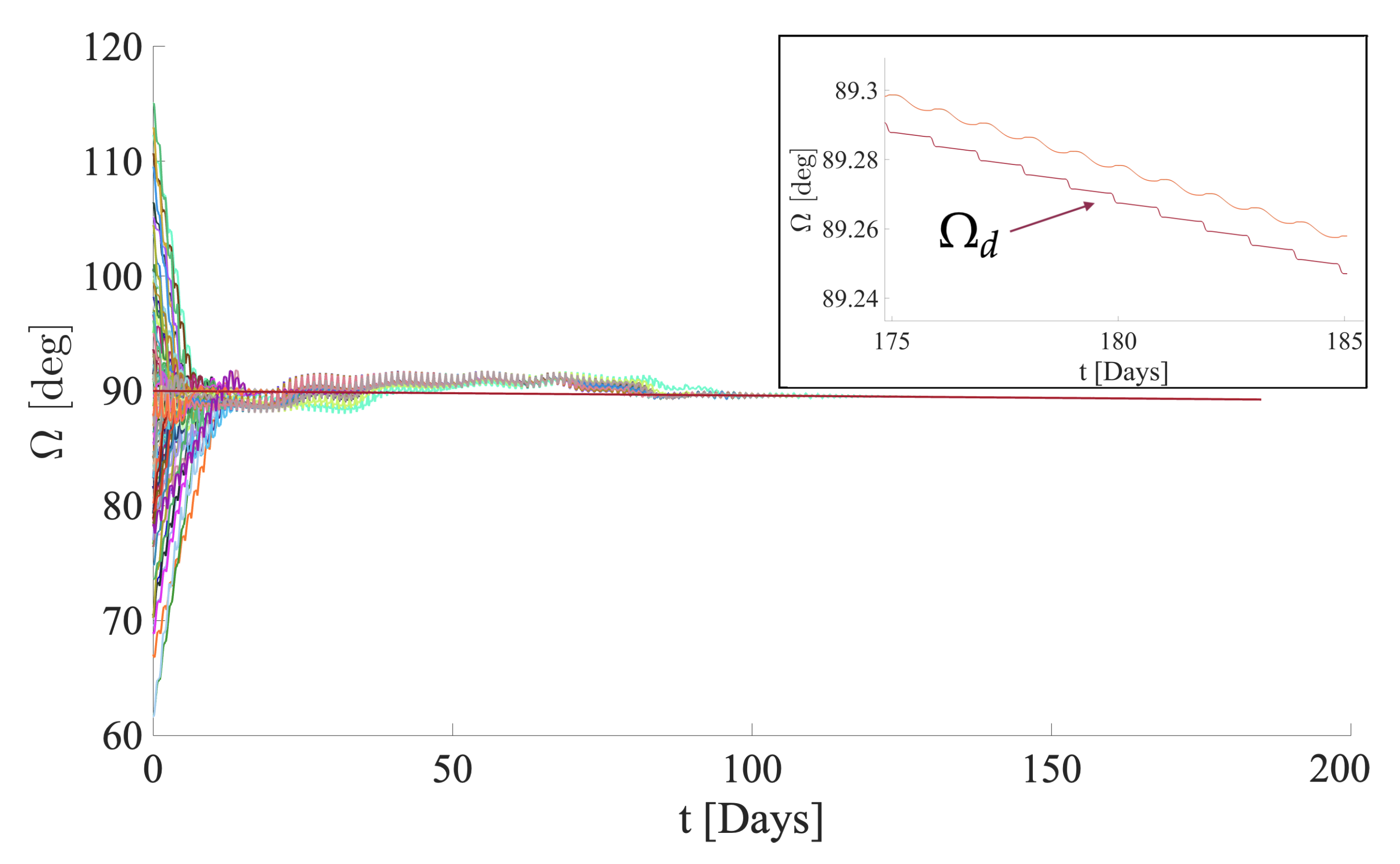
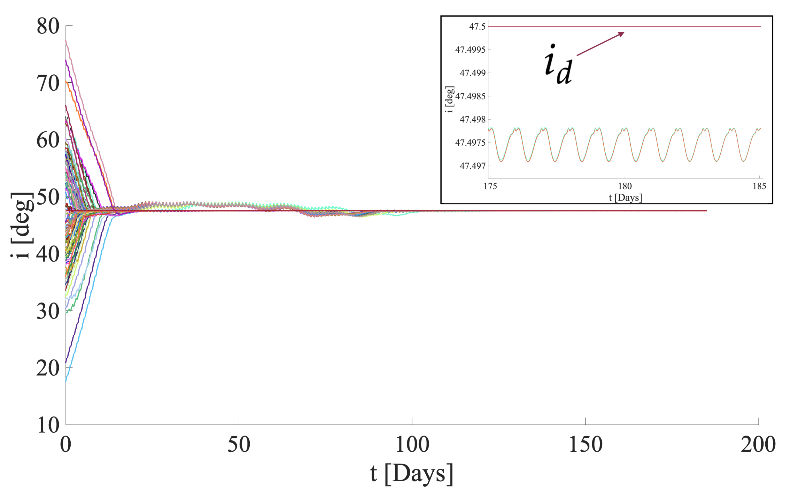
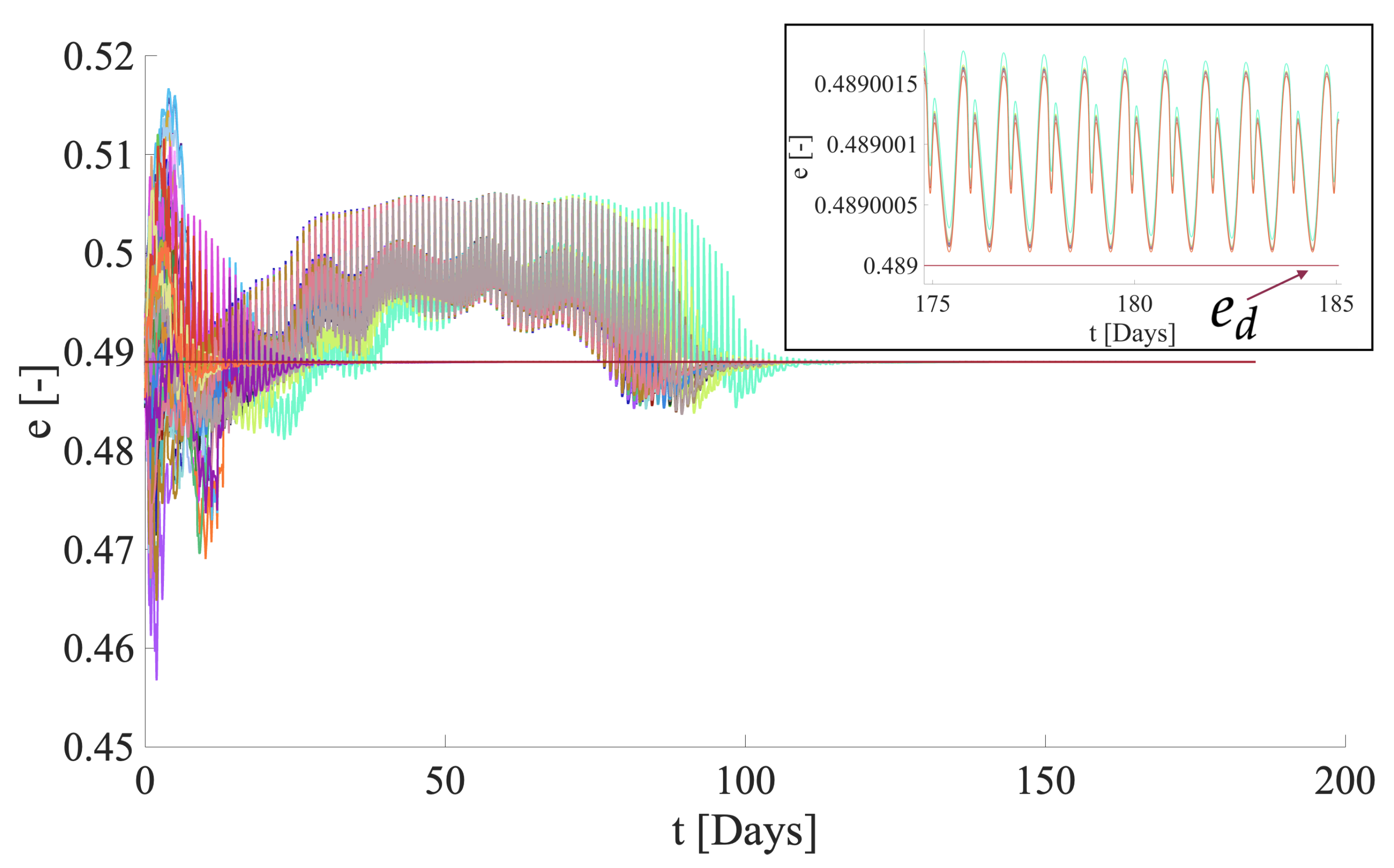
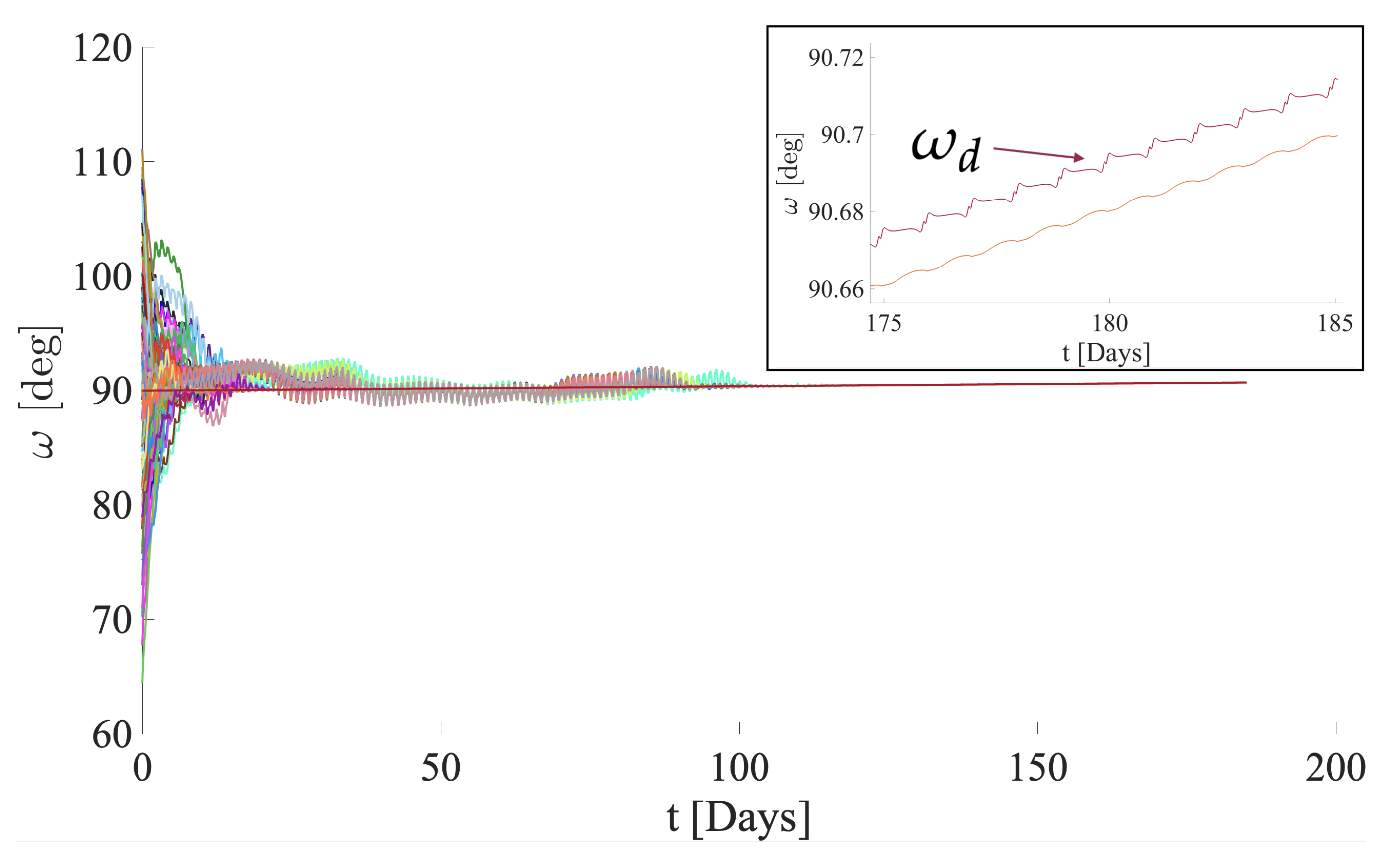
The inspection of the first set of Monte Carlo simulations reveals that the feedback control law effectively adjusts the injection errors and keeps the spacecraft in the desired state and phase, despite the action of perturbations. In particular, Table 4 shows that the average values of all orbital elements remain very close to the desired state, including the true anomaly. Figure 4 and Figure 5 highlight the control law’s capability to accurately track the desired RAAN and the argument of the periselenium, despite their drifts due to the J 2 harmonic. A closer inspection of Figure 6 reveals that the oscillations around the desired true anomaly are lower than 1 deg, with peaks located at each passing of the periselenium, where the spacecraft’s dynamics are more sensitive to the Moon’s gravitational field, as already pointed out in [14]. Finally, the analysis of the time histories of the mass ratio in Figure 7 provides some interesting insights: first, for each simulation, the acquisition and maintenance phases can be clearly distinguished, as the propellant consumption rate is significantly reduced once the satellite is driven toward the desired state. Furthermore, two sets of simulations are identified: in the first one, the spacecraft and the virtual target travel the same number of orbits around the Moon, with a considerable fuel saving; in the second set of simulations, the chaser instead achieves phasing by completing a different number of revolutions with respect to the target. Thus, the acquisition phase requires more time, with an increase in the propellant usage.
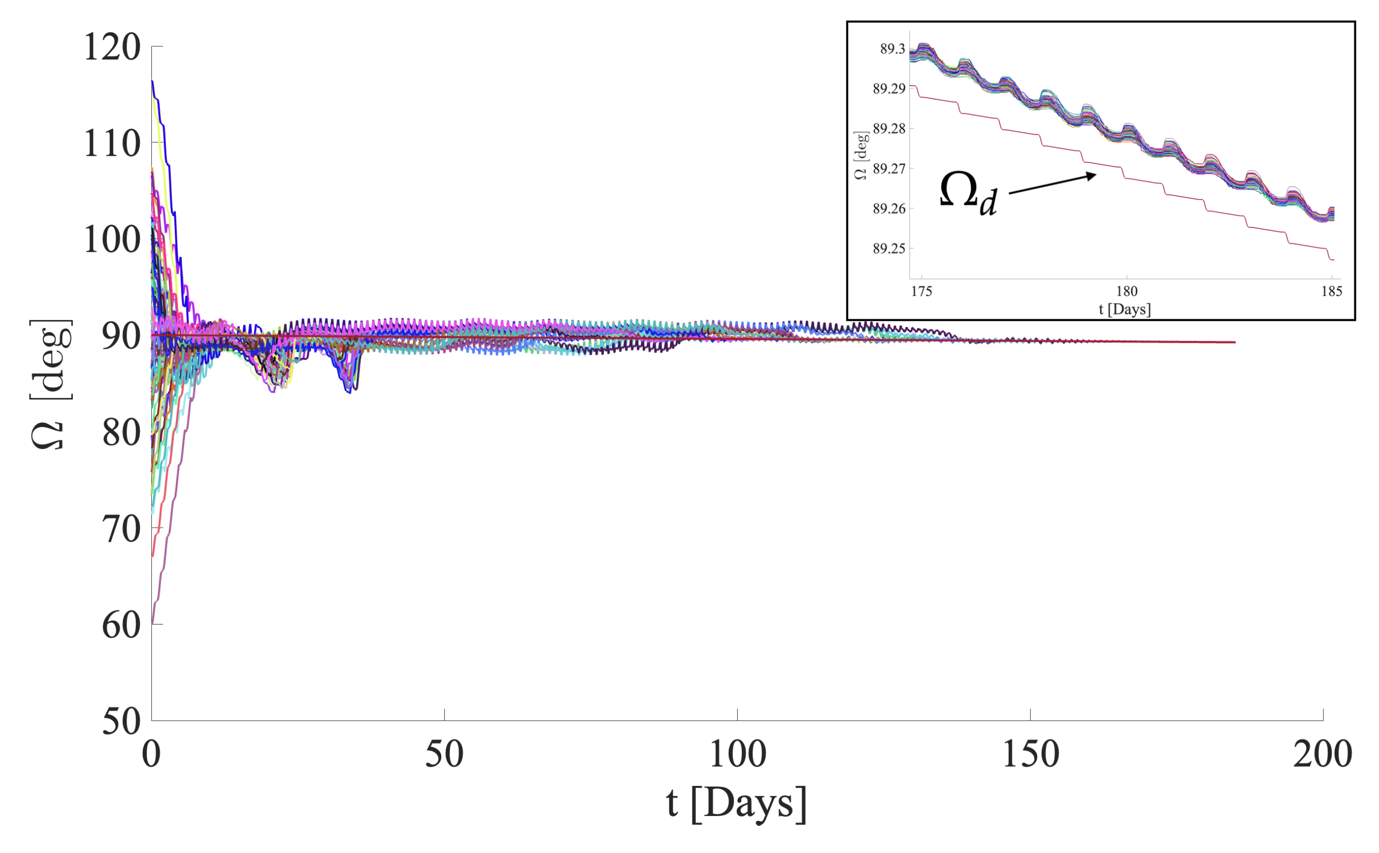
The results of the Monte Carlo campaign under nonnominal conditions (cfr. Table 5) show that thrust misalignment and estimation errors have marginal effects on the overall accuracy. Remarkably, from a comparison between Figure 1, Figure 2, Figure 3, Figure 4, Figure 5 and Figure 6 and Figure 9, Figure 10, Figure 11, Figure 12, Figure 13 and Figure 14, the introduction of random perturbing effects results in more erratic oscillations, which appear evident from the inspection of the insets. Nonetheless, the time histories of the true anomaly still maintain regular oscillations, as they are associated with the dominating gravitational action. Furthermore, Figure 15 highlights the presence of coasting arcs caused by temporary thrust unavailability, resulting in a longer acquisition phase and, consequently, a reduced final mass ratio.

6. Concluding Remarks

This research addresses the application of a Lyapunov-based feedback controller to perform the acquisition and maintenance maneuvers of a spacecraft flying an Elliptical Lunar Frozen Orbit constellation. The space vehicle is assumed to be equipped with a steerable and throttleable low-thrust engine. Unlike previous research, the nonlinear feedback control law was designed in the full nonlinear model to track time-varying orbit elements in the presence of orbit perturbations. A major novelty of this work with respect to previous research is in the capability of addressing orbit phasing through low-thrust nonlinear feedback control of all the orbit elements, including the true anomaly, in a high-fidelity dynamical framework. Furthermore, nonlinear constraints were properly formulated in order to guarantee quasi-global asymptotic stability toward the target set. The performance of the feedback control law was assessed through Monte Carlo campaigns in the presence of third-body and Moon gravitational perturbations. The numerical simulations demonstrate the capability of the strategy at hand to achieve orbit acquisition and maintenance using a limited propellant amount, while accurately keeping the average orbital elements close to the desired values. An additional Monte Carlo campaign was run to assess the impact of thrust misalignment and temporary unavailability, as well as errors in the estimation of the perturbing acceleration. In fact, the feedback control law at hand proves to be capable of handling nonnominal conditions, with only modest effects on the overall accuracy and performance in terms of the final mass ratio. In summary, this study presents a significant advancement in the state-of-the-art application of low-thrust nonlinear control to track all orbital elements in a high-fidelity dynamical framework.

Author Contributions

Conceptualization, M.P., E.M.L.; methodology, M.P., E.M.L.; validation, M.P., E.M.L., G.D.A.; formal analysis, M.P., E.M.L.; investigation, E.M.L.; resources, M.P., E.M.L., G.D.A.; data curation, E.M.L.; writing—original draft preparation, E.M.L., G.D.A.; writing—review and editing, M.P., G.D.A.; supervision, M.P.; project administration, M.P., E.M.L., G.D.A. All authors have read and agreed to the published version of the manuscript.

Funding

This research received no external funding.

Data Availability Statement

This paper contains all the data needed for reproducing the numerical results.

Conflicts of Interest

The authors declare no conflicts of interest.

Abbreviations

The following abbreviations are used in this manuscript:
RAANRight Ascension of the Ascending Node
MCIMoon-Centered Inertial
LVLHLocal Vertical Local Horizontal
LHLocal Horizontal

Appendix A. Gravitational Data

Table A1 presents the gravitational parameters for the Sun, Earth, and Moon used in this study.
Table A1. Gravitational parameters ( μ ) in km 3 / s 2 .
Table A1. Gravitational parameters ( μ ) in km 3 / s 2 .
Body μ [ km 3 / s 2 ]
Sun132,712,440,018
Earth398,600.4418
Moon4902.7779
Table A2 lists the coefficients J l of the zonal harmonics used in the lunar gravitational model, as in Equation (4).
Table A2. Zonal harmonics of the selenopotential.
Table A2. Zonal harmonics of the selenopotential.
J l Value J l Value
J 2 0.000203256369305959 J 26 −2.2434487970911 × 10 6
J 3 8.59050334996568 × 10 6 J 27 4.61610568281654 × 10 6
J 4 −9.8522886746674 × 10 6 J 28 −6.7273906042203 × 10 6
J 6 −1.3293051175382 × 10 5 J 29 5.54940421259954 × 10 6
J 7 −2.2061158962342 × 10 5 J 31 −4.6246357265911 × 10 6
J 8 −9.4065451772204 × 10 6 J 33 −1.4141219096004 × 10 6
J 9 1.51243401890736 × 10 5 J 37 −1.6209625508441 × 10 6
J 10 3.89230799976237 × 10 6 J 39 1.29851648071154 × 10 6
J 11 5.14949783632897 × 10 6 J 42 −1.7804783918105 × 10 6
J 12 9.1117958405472 × 10 6 J 45 −1.4541586632206 × 10 6
J 16 −1.4596672751979 × 10 6 J 46 2.1351214383094 × 10 6
J 17 5.70913026297742 × 10 6 J 47 −1.9588420020059 × 10 6
J 20 −4.7874115985482 × 10 6 J 52 −1.3163362865652 × 10 6
J 22 2.97052872898108 × 10 6 J 54 1.26894455814441 × 10 6
J 23 1.75163995006724 × 10 6 J 66 −1.0675927011228 × 10 6
J 24 2.34692497584258 × 10 6 J 67 1.92342072984345 × 10 6
J 25 1.21874850482553 × 10 6 J 69 1.0580049555114 × 10 6
Table A3 collects the coefficients J l m and λ l m of the sectoral and tesseral selenopotential harmonics.
Table A3. The sectoral and tesseral harmonics of the selenopotential.
Table A3. The sectoral and tesseral harmonics of the selenopotential.
J l , m Value λ l , m Value
J 2 , 2 0.000203256369305959 λ 2 , 2 0.000415878398442979
J 3 , 1 8.59050334996568 × 10 6 λ 3 , 1 0.20642811107848
J 3 , 2 −9.8522886746674 × 10 6 λ 3 , 2 0.16771320834929
J 3 , 3 −1.3293051175382 × 10 5 λ 3 , 3 −0.0496398759987853
J 4 , 1 −2.2061158962342 × 10 5 λ 4 , 1 2.86012534158749
J 4 , 2 −9.4065451772204 × 10 6 λ 4 , 2 −1.18630809022817
J 5 , 1 1.51243401890736 × 10 5 λ 5 , 1 −1.83532311833521
J 6 , 1 3.89230799976237 × 6 λ 6 , 1 −1.01434986302375
J 7 , 1 5.14949783632897 × 10 6 λ 7 , 1 −0.0229903684710072
J 9 , 1 9.1117958405472 × 10 6 λ 9 , 1 0.11842818400149
J 12 , 1 −1.4596672751979 × 10 6 λ 12 , 1 1.89596195628963

References

  1. Smith, M.; Craig, D.; Herrmann, N.; Mahoney, E.; Krezel, J.; McIntyre, N.; Goodliff, K. The Artemis Program: An Overview of NASA’s Activities to Return Humans to the Moon. In Proceedings of the 2020 IEEE Aerospace Conference, Big Sky, MT, USA, 7–14 March 2020; pp. 1–10. [Google Scholar] [CrossRef]
  2. Zhang, X.; Sun, Z.; Chen, X.; Pan, L.; Zhong, Y. Summary of Lunar Constellation Navigation and Orbit Determination Technology. Aerospace 2024, 11, 497. [Google Scholar] [CrossRef]
  3. Stallo, C.; Di Lauro, C.; Carosi, M.; De Leo, L.; Cappa, M.; Musacchio, D.; Cretoni, D.; Boomkamp, H.; Giordano, P.; Swinden, R.; et al. Lunar Navigation System ODTS Signal in Space Error Analysis. Eng. Proc. 2023, 54, 37. [Google Scholar] [CrossRef]
  4. Zanotti, G.; Ceresoli, M.; Lavagna, M. Exploiting Lunar Navigation Constellation for GNC Enhancement in Landing Missions. Aerospace 2023, 10, 850. [Google Scholar] [CrossRef]
  5. ESA. ESA Launches Moonlight to Establish Lunar Communications and Navigation Infrastructure. 2024. Available online: https://www.esa.int/Newsroom/Press_Releases/ESA_launches_Moonlight_to_establish_lunar_communications_and_navigation_infrastructure (accessed on 7 November 2024).
  6. Li, S.; Lucey, P.G.; Milliken, R.E.; Hayne, P.O.; Fisher, E.; Williams, J.P.; Hurley, D.M.; Elphic, R.C. Direct evidence of surface exposed water ice in the lunar polar regions. Proc. Natl. Acad. Sci. USA 2018, 115, 8907–8912. [Google Scholar] [CrossRef]
  7. LaFarge, N.B.; Miller, D.; Howell, K.C.; Linares, R. Guidance for closed-loop transfers using reinforcement learning with application to libration point orbits. In Proceedings of the AIAA Scitech 2020 Forum, Orlando, FL, USA, 6–10 January 2020; p. 0458. [Google Scholar]
  8. Conway, B.A. A survey of methods available for the numerical optimization of continuous dynamic systems. J. Optim. Theory Appl. 2012, 152, 271–306. [Google Scholar] [CrossRef]
  9. Wu, D.; Guo, X.; Jiang, F.; Baoyin, H. Atlas of Optimal Low-Thrust Rephasing Solutions in Circular Orbit. J. Guid. Control. Dyn. 2023, 46, 856–870. [Google Scholar] [CrossRef]
  10. Pontani, M.; Teofilatto, P. Deployment strategies of a satellite constellation for polar ice monitoring. Acta Astronaut. 2022, 193, 346–356. [Google Scholar] [CrossRef]
  11. Pontani, M.; Pustorino, M. Low-thrust lunar capture leveraging nonlinear orbit control. J. Astronaut. Sci. 2023, 70, 28. [Google Scholar] [CrossRef]
  12. Leonardi, E.M.; Pontani, M.; Carletta, S.; Teofilatto, P. Low-Thrust Nonlinear Orbit Control for Very Low Lunar Orbits. Appl. Sci. 2024, 14, 1924. [Google Scholar] [CrossRef]
  13. Santoro, R.; Pontani, M. Orbit acquisition, rendezvous, and docking with a noncooperative capsule in a Mars sample return mission. Acta Astronaut. 2023, 211, 950–962. [Google Scholar] [CrossRef]
  14. Leomanni, M.; Bianchini, G.; Garulli, A.; Giannitrapani, A. State feedback control in equinoctial variables for orbit phasing applications. J. Guid. Control. Dyn. 2018, 41, 1815–1822. [Google Scholar] [CrossRef]
  15. Habib, T.M.A. Artificial intelligence for spacecraft guidance, navigation, and control: A state-of-the-art. Aerosp. Syst. 2022, 5, 503–521. [Google Scholar] [CrossRef]
  16. Izzo, D.; Öztürk, E. Real-time guidance for low-thrust transfers using deep neural networks. J. Guid. Control. Dyn. 2021, 44, 315–327. [Google Scholar] [CrossRef]
  17. Capra, L.; Brandonisio, A.; Lavagna, M. Network architecture and action space analysis for deep reinforcement learning towards spacecraft autonomous guidance. Adv. Space Res. 2023, 71, 3787–3802. [Google Scholar] [CrossRef]
  18. Federici, L.; Benedikter, B.; Zavoli, A. Deep learning techniques for autonomous spacecraft guidance during proximity operations. J. Spacecr. Rocket. 2021, 58, 1774–1785. [Google Scholar] [CrossRef]
  19. Guffanti, T.; Gammelli, D.; D’Amico, S.; Pavone, M. Transformers for Trajectory Optimization with Application to Spacecraft Rendezvous. In Proceedings of the 2024 IEEE Aerospace Conference, Big Sky, MT, USA, 2–9 March 2024; pp. 1–13. [Google Scholar]
  20. Silvestrini, S.; Lavagna, M. Deep Learning and Artificial Neural Networks for Spacecraft Dynamics, Navigation and Control. Drones 2022, 6, 270. [Google Scholar] [CrossRef]
  21. Atmaca, D.; Pontani, M. Near-Optimal Feedback Guidance for Low-Thrust Earth Orbit Transfers. Aerotec. Missili Spaz. 2024, 103, 245–253. [Google Scholar] [CrossRef]
  22. Narayanaswamy, S.; Damaren, C.J. Equinoctial Lyapunov control law for low-thrust rendezvous. J. Guid. Control. Dyn. 2023, 46, 781–795. [Google Scholar] [CrossRef]
  23. Peterson, J.T.; Arya, V.; Junkins, J.L. Connecting the Equinoctial Elements and Rodrigues Parameters: A New Set of Elements. J. Guid. Control Dyn. 2023, 46, 1726–1744. [Google Scholar] [CrossRef]
  24. Lee, D.E.; Whitley, R.J.; Acton, C. Sample Deep Space Gateway Orbit. 2018. Available online: https://naif.jpl.nasa.gov/pub/naif/misc/MORE_PROJECTS/DSG/ (accessed on 7 July 2023).
  25. Battin, R.H. An Introduction to the Mathematics and Methods of Astrodynamics; AIAA: Reston, VA, USA, 1999. [Google Scholar]
  26. Konopliv, A.; Asmar, S.; Carranza, E.; Sjogren, W.; Yuan, D. Recent gravity models as a result of the Lunar Prospector mission. Icarus 2001, 150, 1–18. [Google Scholar] [CrossRef]
  27. Wang, K.; Li, K.; Lv, S.; Jiao, Y.; Shen, Y.; Yue, Z.; Xu, K. Multi-orbit lunar GNSS constellation design with distant retrograde orbit and Halo orbit combination. Sci. Rep. 2023, 13, 10158. [Google Scholar] [CrossRef] [PubMed]
  28. Zanotti, G.; Ceresoli, M.; Pasquale, A.; Prinetto, J.; Lavagna, M. High performance lunar constellation for navigation services to Moon orbiting users. Adv. Space Res. 2024, 73, 5665–5679. [Google Scholar] [CrossRef]
  29. Curtis, H. Orbital Mechanics for Engineering Students; Butterworth-Heinemann: Oxford, UK, 2013. [Google Scholar]
  30. Leonardi, E.M.; De Angelis, G.; Pontani, M. Guidance strategies to deploy a lunar satellite constellation from Gateway. In Proceedings of the 75th International Astronautical Congress, Milan, Italy, 14–18 October 2024. [Google Scholar]
  31. Santoro, R.; Pustorino, M.; Pontani, M. Low-Thrust Transfer to Quasi-Synchronous Martian Elliptic Orbit via Nonlinear Feedback Control. Aerospace 2023, 10, 670. [Google Scholar] [CrossRef]
Figure 1. Time histories of a across 100 Monte Carlo simulations.
Figure 1. Time histories of a across 100 Monte Carlo simulations.
Aerospace 11 01046 g001
Figure 2. Time histories of e across 100 Monte Carlo simulations.
Figure 2. Time histories of e across 100 Monte Carlo simulations.
Aerospace 11 01046 g002
Figure 3. Time histories of i across 100 Monte Carlo simulations.
Figure 3. Time histories of i across 100 Monte Carlo simulations.
Aerospace 11 01046 g003
Figure 4. Time histories of Ω across 100 Monte Carlo simulations.
Figure 4. Time histories of Ω across 100 Monte Carlo simulations.
Aerospace 11 01046 g004
Figure 5. Time histories of ω across 100 Monte Carlo simulations.
Figure 5. Time histories of ω across 100 Monte Carlo simulations.
Aerospace 11 01046 g005
Figure 6. Time histories of θ across 100 Monte Carlo simulations.
Figure 6. Time histories of θ across 100 Monte Carlo simulations.
Aerospace 11 01046 g006
Figure 7. Time histories of x 7 (mass ratio) across 100 Monte Carlo simulations.
Figure 7. Time histories of x 7 (mass ratio) across 100 Monte Carlo simulations.
Aerospace 11 01046 g007
Figure 8. Misaligned thrust vector with azimuthal ( β ) and elevation ( γ ) angles.
Figure 8. Misaligned thrust vector with azimuthal ( β ) and elevation ( γ ) angles.
Aerospace 11 01046 g008
Figure 9. Time histories of a across 100 Monte Carlo simulations with nonnominal conditions.
Figure 9. Time histories of a across 100 Monte Carlo simulations with nonnominal conditions.
Aerospace 11 01046 g009
Figure 10. Time histories of e across 100 Monte Carlo simulations with nonnominal conditions.
Figure 10. Time histories of e across 100 Monte Carlo simulations with nonnominal conditions.
Aerospace 11 01046 g010
Figure 11. Time histories of i across 100 Monte Carlo simulations with nonnominal conditions.
Figure 11. Time histories of i across 100 Monte Carlo simulations with nonnominal conditions.
Aerospace 11 01046 g011
Figure 12. Time histories of Ω across 100 Monte Carlo simulations with nonnominal conditions.
Figure 12. Time histories of Ω across 100 Monte Carlo simulations with nonnominal conditions.
Aerospace 11 01046 g012
Figure 13. Time histories of ω across 100 Monte Carlo simulations with nonnominal conditions.
Figure 13. Time histories of ω across 100 Monte Carlo simulations with nonnominal conditions.
Aerospace 11 01046 g013
Figure 14. Time histories of θ across 100 Monte Carlo simulations with nonnominal conditions.
Figure 14. Time histories of θ across 100 Monte Carlo simulations with nonnominal conditions.
Aerospace 11 01046 g014
Figure 15. Time histories of x 7 (mass ratio) across 100 Monte Carlo simulations with nonnominal conditions.
Figure 15. Time histories of x 7 (mass ratio) across 100 Monte Carlo simulations with nonnominal conditions.
Aerospace 11 01046 g015
Table 1. Orbital configuration parameters for the lunar navigation constellation.
Table 1. Orbital configuration parameters for the lunar navigation constellation.
Semimajor AxisEccentricityInclinationRAANArgument of
Periselenium
[km][-][deg][deg][deg]
9750.70.48947.5±9090
Table 2. Numerical simulation setup.
Table 2. Numerical simulation setup.
ParameterValue
c30 km/s
u T max 4.91 · 10 4 m/s 2
k 1 10 2
k 2 10 7
k 3 10 7
k 4 10 8
Initial reference epoch1 January 2025
Simulation time ( t f ) 185 days
Table 3. Initial orbital conditions for inclination, RAAN, and argument of periselenium.
Table 3. Initial orbital conditions for inclination, RAAN, and argument of periselenium.
Orbital ElementMean ValueStandard Deviation
i [deg]47.510
Ω [deg]9010
ω [deg]9010
Table 4. Results from the Monte Carlo campaign.
Table 4. Results from the Monte Carlo campaign.
ParameterMean ValueStandard Deviation
a ¯ [km]6.24 · 10 1 4.17 · 10 1
e ¯ [-]2.86 · 10 5 1.83 · 10 5
i ¯ [deg]6.27 · 10 3 6.16 · 10 5
Ω ¯ [deg]9.12 · 10 3 4.77 · 10 6
ω ¯ [deg]1.17 · 10 2 2.96 · 10 5
θ ¯ [deg]5.89 · 10 3 8.89 · 10 5
Final Mass Ratio0.9033.95 · 10 2
Table 5. Results from the Monte Carlo campaign with nonnominal conditions.
Table 5. Results from the Monte Carlo campaign with nonnominal conditions.
ParameterMean ValueStandard Deviation
a ¯ [km]1.83 · 10 0 2.15 · 10 0
e ¯ [-]1.76 · 10 4 6.45 · 10 4
i ¯ [deg]2.58 · 10 2 8.31 · 10 4
Ω ¯ [deg]3.76 · 10 2 1.46 · 10 3
ω ¯ [deg]6.22 · 10 3 4.69 · 10 4
θ ¯ [deg]9.17 · 10 2 3.86 · 10 3
Final Mass Ratio0.8754.44 · 10 2
Disclaimer/Publisher’s Note: The statements, opinions and data contained in all publications are solely those of the individual author(s) and contributor(s) and not of MDPI and/or the editor(s). MDPI and/or the editor(s) disclaim responsibility for any injury to people or property resulting from any ideas, methods, instructions or products referred to in the content.

Share and Cite

MDPI and ACS Style

Leonardi, E.M.; De Angelis, G.; Pontani, M. Nonlinear Orbit Acquisition and Maintenance of a Lunar Navigation Constellation Using Low-Thrust Propulsion. Aerospace 2024, 11, 1046. https://doi.org/10.3390/aerospace11121046

AMA Style

Leonardi EM, De Angelis G, Pontani M. Nonlinear Orbit Acquisition and Maintenance of a Lunar Navigation Constellation Using Low-Thrust Propulsion. Aerospace. 2024; 11(12):1046. https://doi.org/10.3390/aerospace11121046

Chicago/Turabian Style

Leonardi, Edoardo Maria, Giulio De Angelis, and Mauro Pontani. 2024. "Nonlinear Orbit Acquisition and Maintenance of a Lunar Navigation Constellation Using Low-Thrust Propulsion" Aerospace 11, no. 12: 1046. https://doi.org/10.3390/aerospace11121046

APA Style

Leonardi, E. M., De Angelis, G., & Pontani, M. (2024). Nonlinear Orbit Acquisition and Maintenance of a Lunar Navigation Constellation Using Low-Thrust Propulsion. Aerospace, 11(12), 1046. https://doi.org/10.3390/aerospace11121046

Note that from the first issue of 2016, this journal uses article numbers instead of page numbers. See further details here.

Article Metrics

Back to TopTop