Next Article in Journal
A Fully Autonomous On-Board GNC Methodology for Small-Body Environments Based on CNN Image Processing and MPCs
Previous Article in Journal
Pilot Fatigue Coefficient Based on Biomathematical Fatigue Model
 
 
Font Type:
Arial Georgia Verdana
Font Size:
Aa Aa Aa
Line Spacing:
Column Width:
Background:
Article

Adaptive Fast Smooth Second-Order Sliding Mode Fault-Tolerant Control for Hypersonic Vehicles

1
School of Computing Science and Engineering, Sichuan University of Science & Engineering, Yibin 644000, China
2
Artificial Intelligence Key Laboratory of Sichuan Province, Yibin 644000, China
3
Key Laboratory of Higher Education of Sichuan Province for Enterprise Informationalization and Internet of Things, Yibin 644000, China
4
School of Automation & Information Engineering, Sichuan University of Science & Engineering, Yibin 644000, China
5
Sichuan Tengden Technology Co., Ltd., Chengdu 610037, China
*
Author to whom correspondence should be addressed.
Aerospace 2024, 11(11), 951; https://doi.org/10.3390/aerospace11110951
Submission received: 15 October 2024 / Revised: 8 November 2024 / Accepted: 15 November 2024 / Published: 18 November 2024
(This article belongs to the Section Aeronautics)

Abstract

In response to control issues in hypersonic vehicles under external disturbances, model uncertainties, and actuator failures, this paper proposes an adaptive fast smooth second-order sliding mode fault-tolerant control scheme. First, a system separation approach is adopted, dividing the hypersonic vehicle model into fast and slow loops for independent design. This ensures that the airflow angle tracking error and sliding mode variables converge to the vicinity of the origin within a finite time. A fixed-time disturbance observer is then designed to estimate and compensate for the effects of model uncertainties, external disturbances, and actuator failures. The controller parameters are dynamically adjusted through an adaptive term to enhance robustness. Furthermore, first-order differentiation is used to estimate differential terms, effectively avoiding the issue of complexity explosion. Finally, the convergence of the controller within a finite time is rigorously proven using the Lyapunov method, and the perturbation of aerodynamic parameters is tested using the Monte Carlo method. Simulation results under various scenarios show that compared with the terminal sliding mode method, the proposed method outperforms control accuracy and convergence speed. The root mean square errors for the angle of attack, sideslip angle, and roll angle are reduced by 65.11%, 86.71%, and 45.51%, respectively, while the standard deviation is reduced by 81.78%, 86.80%, and 45.51%, demonstrating that the proposed controller has faster convergence, higher control accuracy, and smoother output than the terminal sliding mode controller.

1. Introduction

Hypersonic vehicles (HSVs) fly at speeds exceeding 5 Mach, characterized by significant speed variations and extensive flight ranges [1,2]. HSVs are crucial in multiple nations’ military, political, and economic domains. However, the integrated structure of the HSV’s body and engine, coupled with the complex flight environment, results in the dynamic model of HSVs exhibiting characteristics such as uncertainty, strong coupling, rapid time variation, and intense nonlinearity [3,4,5]. Simultaneously, the complex flight conditions make HSVs susceptible to external disturbances. Non-lethal failures in the actuator can induce abrupt changes in HSV state variables, leading to a decrease in controller performance in mild cases and a complete loss of control in severe cases [6].
Therefore, designing effective control methods for external disturbances, model uncertainties, and actuator failures to endow HSVs with robustness and fault-tolerant control performance has become a crucial issue in the current research domain [7]. In recent years, nonlinear methods such as sliding mode control [8,9], performance-preserving control [10,11,12], intelligent control [13,14], etc., have been widely applied in the research of attitude control systems for HSVs.
To address external disturbances and modeling uncertainties in HSVs, academics have designed an adaptive controller based on the backstepping method, utilizing a sliding mode disturbance observer to estimate lumped disturbances precisely. However, this approach only considers the longitudinal model [15]. Guo et al. proposed a continuous nonsingular terminal sliding mode controller, employing a novel adaptive rate and utilizing the super-twisting sliding mode algorithm for disturbance estimation. Numerical simulations validated the method’s effectiveness, but actuator faults were not considered [16]. Cheng et al. proposed a predictive sliding mode control method based on feedback linearization, which mitigated the chattering phenomenon of sliding mode through a minimization approach to performance indices [17]. However, due to the intense nonlinearity characteristics of HSV, linearization often leads to significant modeling errors, making it challenging for the designed controller to ensure its performance across a wide range of operating conditions. Zhong et al. proposed an adaptive backstepping control method based on a super-twisting disturbance observer, incorporating a fixed-time anti-saturation compensator to mitigate the effects of actuator saturation, yet without addressing actuator faults [18]. Hu et al. considered the dynamic characteristics of the actuator, designing adaptive backstepping controllers and dynamic inverse controllers for the velocity and altitude subsystems, respectively, ensuring the convergence of the HSV’s attitude angles in the presence of aerodynamic uncertainties. However, this approach only considered the longitudinal model and did not address attitude control [19]. Cheng et al. addressed the longitudinal model of an HSV and designed a composite learning controller. It utilized a radial basis neural network to approximate lumped disturbances, constructed modeling errors to evaluate the quality of system learning, and validated the effectiveness of the control strategy through simulation, but similarly only considered the longitudinal model [20]. These studies also accounted for external disturbances and model uncertainties in their controller designs [21,22,23,24].
While the studies mentioned above have made some progress in controlling HSVs with external disturbances and modeling uncertainties, they have generally not considered the scenario of actuator failures. Further consideration is given to non-critical failures in the actuator system. Academics proposed an adaptive fault-tolerant approach based on output redefinition, confirming the non-minimum phase characteristics of the HSV, effectively compensating for the impact of actuator failures. However, this only considers the control of speed and altitude [25]. Shen et al. introduced a fault-tolerant control method based on Takagi-Sugeno fuzzy systems, compensating for the effects of actuator failures, but did not fully consider external disturbances [26]. Guo et al. considered additive and multiplicative faults in the actuators, proposing a fault-tolerant control method based on integral sliding mode [27]. Yuan et al. addressed the faults in deformation mechanisms in morphing aircraft and proposed an adaptive fault-tolerant control based on neural networks and L2 gain techniques. It utilized radial basis neural networks to compensate for system uncertainties [28]. Hu et al. proposed a novel adaptive fault-tolerant method, considering unknown time-varying faults in the elevators and throttle. They introduced a model with a smoothing function, estimating and compensating for the fault effects. However, the article focused solely on controlling the altitude and velocity of the HSV [29]. Lv et al. employed a feedback linearization approach to decouple the nonlinear model of HSVs into a linear model. They utilized a neural network observer to compensate for observed disturbances, including actuator failures, and designed an adaptive fixed-time nonsingular sliding mode fault-tolerant controller. However, the linear model is limited in accurately capturing the full dynamics of the aircraft [30]. These studies also addressed the fault-tolerant control issue in the presence of actuator failures [31,32,33].
However, in current research on hypersonic vehicle controllers, some studies have only focused on controllers for longitudinal models, overlooking the coupling effects of lateral motion. Additionally, there has been limited research on actuator faults under high-altitude and high-speed flight conditions, and the issues of actuator output smoothing and fast controller convergence have not been sufficiently considered. Since second-order sliding mode controllers offer faster dynamic responses than first-order controllers, they can effectively deal with external disturbances and system uncertainties, significantly reducing output chattering and smoother outputs. Therefore, we have considered modeling uncertainties, aerodynamic parameter uncertainties, external disturbances, and actuator faults and designed an adaptive fast smooth second-order sliding mode fault-tolerant controller (AFSSOSMFTC).
The main contributions of this work are outlined below:
(1)
Considering the coupling model between lateral and longitudinal dynamics of HSVs, we divide the model into fast and slow loop systems. Controllers and observers are designed for each loop to achieve control objectives.
(2)
The article proposed an AFSSOSMFTC method. It involves designing a fixed-time disturbance observer to estimate and compensate for aggregated disturbances and non-catastrophic faults in actuators. A first-order differentiator is also introduced to avoid the explosion of complexity. The controller parameters are dynamically adjusted through an adaptive term, enhancing the robustness of the controller.
This study validates the designed controller’s fast convergence and smooth output characteristics through numerical simulations. Nonlinear external disturbances and actuator faults are introduced to demonstrate the robustness and effectiveness of the fault-tolerant controller.

2. Establishment of the HSV Model

This article employs the generic conical HSV model (winged-cone) published by NASA Langley Research Center as the research subject. The geometric parameters of the model are illustrated in Figure 1 [34].
The establishment of the HSV attitude control model in the aerodynamic coordinate system is as follows:
p ˙ = I y I z I x r q + 1 I x l q ˙ = I z I x I y p r + 1 I y m r ˙ = I x I y I z p q + 1 I z n α ˙ = q p cos α tan β r sin α tan β β ˙ = p sin α r cos α χ ˙ = p cos α cos β q sin β r sin α cos β
where p , q , r are the angular velocities about the three axes, and α , β , χ represent the angle of attack, sideslip angle, and angle of bank, respectively. l , m , n denote the rotational torques, and I x , I y , I z represent moment of inertia.
l = b S C l ρ V 2 / 2 = b S C l q ¯ m = c ¯ S C m ρ V 2 / 2 = c ¯ S C m q ¯ n = b S C n ρ V 2 / 2 = b S C n q ¯
where b , c ¯ are the aerodynamic chord lengths, q ¯ is the dynamic pressure, and C l , C m , C n are the aerodynamic coefficients, defined as follows:
C l = C l β β + C l δ a δ a + C l δ e δ e + C l δ r δ r + C l p p b 2 V + C l r r b 2 V + Δ C l C m = C m α + C m δ a δ a + C m δ e δ e + C m δ r δ r + C m q q c ¯ 2 V + Δ C m C n = C n β β + C n δ a δ a + C n δ e δ e + C n δ r δ r + C n p p b 2 V + C n r r b 2 V + Δ C n
where Δ C l , Δ C m , and Δ C n represent the aerodynamic perturbation terms, and the attitude changes in HSV are influenced by the rotation of the actuator. The control distribution model is as follows:
C = υ + ς δ c
where
C = C l C m C n , υ = C l β β + C l p p b 2 V + C l r r b 2 V C m α + C m q q c ¯ 2 V C n β β + C n p p b 2 V + C n r r b 2 V , ς = C l δ a C l δ e C l δ r C m δ a C m δ e C m δ r C n δ a C n δ e C n δ r , δ c = δ a δ e δ r
where C i δ j and C i k respectively represent the aerodynamic derivatives corresponding to the control surface and partial state variables about the three axes, and i l , m , n , j a , e , r , k α , β , p , q , r ; δ a , δ e , δ r respectively represent the deflection of the pitch, roll, and yaw control surfaces.
The partial parameter information in the previous text is shown in Table 1, and the remaining parameters can be referred to in the literature [34].

3. Control-Oriented HSV Model

Considering the uncertainties in the system and the presence of external disturbances, Equation (1) can be reformulated as follows:
Ω ˙ = η ω + Δ Ω + d ω ˙ = I 1 ζ I ω + M + Δ ω
where Ω = χ α β T , ω = p q r T , and Μ = l m n T , with Δ Ω , Δ ω R 3 × 1 representing the uncertainties in the system; d R 3 × 1 represents external disturbances, and the rest of the state matrices are expressed as follows:
η = cos α cos β sin β sin α cos β cos α tan β 1 sin α tan β sin α 0 cos α , ζ = 0 r q r 0 p q p 0 , I = I x 0 0 0 I y 0 0 0 I z
Substituting Equation (4) into Equation (5) yields the control model oriented to the control surfaces.
Ω ˙ = η ω + Δ Ω + d ω ˙ = I 1 ζ I ω + ϑ υ + ς δ c + Δ ω
where ϑ = d i a g b S q ¯ , c ¯ S q ¯ , b S q ¯ .
Considering unfavorable factors such as the complex and unpredictable actual flight environment of the aircraft, which can lead to failures in the HSV’s actuator, the following actuator fault model is established:
u c = 1 3 × 1 κ δ c + u c 0
The above equation, κ R 3 × 1 , represents the actuator efficiency fault, with a range of [0, 1]. When κ = 0 3 × 1 , it indicates no actuator efficiency fault, and when κ = 1 3 × 1 , it signifies complete actuator failure. δ c represents the desired command signal given by the controller, u c 0 R 3 × 1 denotes the control surface floating fault, and u c R 3 × 1 is the actual control surface output command.
Further expansion yields:
Ω ˙ = η ω + Δ Ω + d ω ˙ = I 1 ζ I ω + ϑ υ + ς δ c + ς u c 0 κ δ c + Δ ω

4. Controller Design

This study aims to address the attitude control problem of HSVs in the presence of external disturbances and actuator faults. The control goals are as follows:
(1)
The controller should ensure the stability of the HSV in the presence of external disturbances and actuator faults.
(2)
Throughout the flight, the controller should effectively achieve continuous and stable tracking of target commands by the HSV.
By employing the concept of system separation, we can decompose the attitude control model of HSV into fast-loop and slow-loop subsystems for separate design. The fixed-time state observer estimates uncertainty, external disturbances, actuator faults, and other incalculable factors in the HSV model. The AFSSOSMFTC method is designed to achieve the aforementioned control objectives. Additionally, a first-order differentiator is employed to solve the derivatives of intermediate virtual control quantities, preventing the potential explosion of complexity.

4.1. Fixed-Time Disturbance Observer Design

A fixed-time disturbance observer is designed to address the parameter uncertainties and external aggregated disturbance terms Δ Ω , Δ ω , and d in the system presented in Equation (8). The design is as follows:
z ˙ 1 = a 1 s i g m 1 e + b 1 s i g n 1 e + u + z 2 z ˙ 2 = a 2 s i g m 2 e + b 2 s i g n 2 e + r tanh e
where a 1 , a 2 , b 1 , b 2 and r are the positive constants to be designed, m 1 , m 2 0 , 1 , n 1 , n 2 > 1 , and m 2 = 2 m 1 1 , n 2 = 2 n 1 1 . s i g n i e = e n i s i g n e , i = 1 , 2 , and s i g m i e is the same as s i g n i e . s i g n is the sign function, defined as follows:
s i g n = 1 i f   > 0 0 i f   = 0 1 i f   < 0

4.1.1. Controller Design Steps

In this section, controllers are separately designed for the slow loop and fast loop. The control system structure diagram is illustrated in Figure 2.

4.1.2. Integral Sliding Surface

Define the tracking errors for airflow angle and angular velocity as follows:
e Ω = Ω Ω c e ω = ω ω c
where Ω c = χ c α c β c is the airflow angle command signal, and ω c = p c q c r c is the intermediate virtual control variable for the slow-loop controller-produced angular velocity.
Choose the integral sliding surface as follows:
S = s 1 s 2 = e Ω + c 1 0 t e Ω τ d τ e ω + c 2 0 t e ω τ d τ
where s 1 and s 2 are the sliding surfaces for the slow loop and fast loop, and c 1 , c 2 R are the sliding mode gains to be designed.

4.1.3. Controller Structure

The design of the AFSSOSMFTC is as follows:
ξ ˙ = k 1 ξ j 1 j s i g n ξ k 2 ξ + ε ε ˙ = k 3 ξ j 2 j s i g n ξ k 4 ξ
where j > 2 is a constant, k i is the adaptive gain, and the adaptation rate is as follows:
k ˙ 1 = w 1 e μ 1 2 k ˙ 2 = w 2 e μ 2 2 k ˙ 3 = w 3 e μ 3 2 k ˙ 4 = w 4 e μ 4 2
where w i > 0 , i = 1 , 2 , 3 , 4 are the gains of the adaptive terms, and μ i > 0 are the constant terms to be designed. The value of k 4 is generally more prominent than k 1 , k 2 , and k 3 , typically chosen to be above 10. The value of k 1 is usually less than or equal to k 2 and k 3 and generally kept within 10. The remaining parameters can be selected based on the saturation conditions.
In Equation (13), when the system’s sliding mode surface position is far from ξ = 0 , the convergence speed is mainly determined by the linear terms corresponding to k 2 and k 4 . When the position is close to ξ = 0 , the convergence speed is primarily determined by the nonlinear terms corresponding to k 1 and k 3 . Therefore, regardless of whether the system’s position ξ is far from the equilibrium point, this method can converge to the equilibrium point at a relatively fast speed.
(1)
Design of the slow loop controller
Choosing s 1 as the slow loop sliding mode surface in Equation (12), differentiating it, and substituting it into Equations (8) and (11) yields the following:
s ˙ 1 = e ˙ Ω + c 1 e Ω = η ω + Δ Ω + d Ω ˙ c + c 1 e Ω = F Ω + d Ω + η ω
where d Ω = Δ Ω + d represents the aggregated disturbance term in the slow loop, and F Ω = c 1 e Ω Ω ˙ c .
Utilizing the fixed-time disturbance observer from Equation (9) to estimate the aggregated disturbance term d Ω , the design takes the following form:
Ω ^ ˙ = a 11 s i g m 11 Ω ^ Ω + b 11 s i g n 11 Ω ^ Ω + η ω c + d ^ Ω d ^ ˙ Ω = a 12 s i g m 12 Ω ^ Ω + b 12 s i g n 12 Ω ^ Ω + r 1 t a n h Ω ^ Ω
where Ω ^ and d ^ Ω respectively represent the estimated values of the airflow angle Ω and the aggregated disturbance term d Ω in the slow loop system.
Defining the estimation error Ω ˜ = Ω ^ Ω and d ˜ Ω = d ^ Ω d Ω , its dynamic error is given by the following expression:
Ω ˜ ˙ = a 11 s i g m 11 Ω ˜ + b 11 s i g n 11 Ω ˜ + d ˜ Ω d ˜ ˙ Ω = a 21 s i g m 11 Ω ˜ + b 21 s i g n 11 Ω ˜ + r tanh Ω ˜ d ˙ Ω
Combining the control method in Equation (13), the slow loop sliding mode surface in Equation (15), and the disturbance observer in Equation (16), the design of the slow loop controller is as follows:
ω c = η 1 k 1 s 1 j 1 1 j 1 s i g n s 1 k 2 s 1 F Ω + d ^ Ω + ε ε ˙ = k 3 s 1 j 1 2 j 1 s i g n s 1 k 4 s 1
To avoid the potential explosion of complexity, the design incorporates a first-order filter to estimate the derivative term Ω ˙ c in the slow loop controller. The design takes the following form [3]:
Ω ^ ˙ c = y Ω ν Ω l 1 Ω y Ω y Ω 1 2 + l 2 Ω
where ν Ω , l 1 Ω , l 2 Ω > 0 are the parameters to be designed, and y Ω = Ω ^ c Ω c represents the filtering error.
(2)
Design of the fast loop controller
Choosing s 2 as the fast loop sliding mode surface in Equation (12), differentiating it, and substituting it into Equations (8) and (11) yields the following:
s ˙ 2 = e ˙ ω + c 2 e ω = I 1 ζ I ω + ϑ υ + ς δ c + ς u c 0 κ δ c + Δ ω ω ˙ c + c 2 e ω = F ω + d ω + I 1 ζ I ω + ϑ υ + ς δ c
where d ω = I 1 ϑ ς κ δ c + u c 0 + Δ ω represents the aggregated disturbance term due to rudder faults and uncertainties in the fast loop system, and F ω = c 2 e ω ω ˙ c .
Designing a disturbance observer to estimate the aggregated disturbance term d ω in the fast loop system provides the following:
ω ^ ˙ = a 21 s i g m 21 ω ^ ω + b 21 s i g n 21 ω ^ ω + I 1 ζ I ω + ϑ υ + ς δ c + d ^ ω d ^ ˙ ω = a 22 s i g m 22 ω ^ ω + b 22 s i g n 22 ω ^ ω + r 2 tanh ω ^ ω
where ω ^ and d ^ ω respectively represent the estimated values of the angle speed ω and the aggregated disturbance term d ω in the fast loop system.
Defining the estimation error ω ˜ = ω ^ ω and d ˜ ω = d ^ ω d ω , its dynamic error is given by the following expression:
ω ˜ ˙ = a 21 s i g m 21 ω ˜ + b 21 s i g n 21 ω ˜ + d ˜ ω d ˜ ˙ ω = a 21 s i g m 22 ω ˜ + b 21 s i g n 22 ω ˜ + r 2 tanh ω ˜ d ˙ ω
The design of the fast loop controller is as follows:
δ c = ς 1 ϑ 1 I ( k 1 s 2 j 2 1 j 2 s i g n s 2 k 2 s 2 F ω + d ^ ω + ε ) ς 1 ϑ 1 ζ I ω ς 1 υ d d ε ˙ = k 3 s 2 j 2 2 j 2 s i g n s 2 k 4 s 2
Because the slow loop controller generates the fast loop’s virtual command signal ω c in Equation (18), to prevent the potential explosion of complexity, a first-order filter is employed to estimate the derivative of the virtual command signal. The design takes a form similar to Equation (19):
ω ^ ˙ c = y ω ν ω l 1 ω y ω y ω 1 2 + l 2 ω
where ν ω , l 1 ω , l 2 ω > 0 are the parameters to be designed, and y ω = ω ^ c ω c represents the filtering error.

4.2. Stability Analysis

As the fast and slow loop controllers and observers share similar forms with only differing parameters, the stability analysis in this section is presented using the slow loop controller as an example. The stability analysis for the fast loop controller follows a similar rationale and is omitted for brevity.
(1)
Proof of Convergence for the Fixed-Time Disturbance Observer
Theorem 1.
Under the conditions that meet the parameter above design requirements, the observer in Equation (9) can achieve an estimation of partial state variables and aggregated disturbances, converging within a finite time T.
Taking the slow loop observer as an example, the observation error is provided in Equation (17). First, we demonstrate the convergence of the following expression:
Ω ˜ ˙ = a 11 s i g m 11 Ω ˜ + b 11 s i g n 11 Ω ˜ + d ˜ Ω d ˜ ˙ Ω = a 21 s i g m 11 Ω ˜ + b 21 s i g n 11 Ω ˜ d ˙ Ω
According to theorem 2 in reference [35], it is known that the above expression converges within a finite time T 1 . Based on the characteristics of fixed-time convergence, once the system converges within the finite time, it will remain in a convergent state for the subsequent time. Therefore, when t T 1 , Ω ˜ = 0 , and d ˜ Ω = 0 , the following equation holds:
Ω ˜ ˙ = 0 d ˜ ˙ Ω = r tanh Ω ˜
Since Ω ˜ = 0 , the condition d ˜ ˙ Ω = 0 holds, indicating that the observer in Equation (16) converges within the finite time T 1 . The proof of Theorem 1 is complete.
(2)
Proof of Convergence for the Controller
The aggregated disturbance term will be compensated after the transient stabilization time T 1 . Let σ = ξ j 1 1 j 1 s i g n ξ ξ ε T , and define a symmetric positive definite matrix as follows:
Q = 1 2 2 j 1 j 1 1 k 3 + k 1 2 k 1 k 2 k 1 k 1 k 2 2 k 4 + k 2 2 k 2 k 1 k 2 2
The following assumption is made: there exists an unknown upper bound for the disturbance d Ω . Define the Lyapunov function as follows:
V = σ T Q σ V 1 + 1 2 y Ω 2 V 2 + 1 2 i = 1 4 k i k ¯ i 2 V 3
where k ¯ i is the upper bound of the adaptive term k i .
If the matrix Q is positive definite, then the function V 1 is continuously positive definite, and the following equation holds:
λ min Q σ 2 V 1 λ max Q σ 2
where represents the Euclidean norm, σ 2 = ξ 2 j 1 1 j 1 + ξ 2 + ε 2 . λ min Q and λ min Q denote the minimum and maximum eigenvalues of the matrix, respectively. Further derivation from Equation (19) is as follows:
ξ 1 j 1 V 1 1 2 j 1 1 λ min 1 2 j 1 1 Q
Taking the first derivative of V 1 ,
V ˙ 1 = ξ 1 j 1 σ T A σ σ T Β σ
where
A = k 1 j 1 k 3 j 1 + k 1 2 j 1 1 0 k 1 j 1 1 0 k 4 j 1 + k 2 2 3 j 1 1 k 2 2 j 1 1 k 1 j 1 1 k 2 2 j 1 1 j 1 1 B = k 2 k 3 + k 1 2 3 j 1 2 j 1 0 0 0 k 4 + k 2 2 k 2 0 k 2 1
If matrices A and B are positive definite, then V ˙ 1 0 . Combining Equations (29) and (30), Equation (31) can be rewritten in the following form:
V ˙ 1 ξ 1 j 1 λ min A σ 2 λ min Β σ 2 λ min 1 2 j 1 1 Q V 1 1 2 j 1 1 λ min A V 1 λ max Q λ min Β V 1 λ max Q = λ min A λ min 1 2 j 1 1 Q λ max Q V 1 2 j 1 3 2 j 1 2 λ min Β λ max Q V 1 = l 1 V 1 2 j 1 3 2 j 1 2 l 2 V 1
where l 1 = λ min A λ min 1 2 j 1 1 Q λ max Q , l 2 = λ min Β λ max Q .
Since matrices A and B need to be positive definite, they must satisfy the following conditions:
j 1 2 k 3 k 4 > j 1 3 k 3 j 1 1 + 4 j 1 2 k 1 2 4 j 1 k 1 2 + k 1 2 k 2 2
Taking the first derivative of V 2 ,
V ˙ 2 = y Ω y ˙ Ω = y Ω 2 ν Ω l 1 Ω y Ω 2 y Ω 1 2 + l 2 Ω 0
Taking the first derivative of V 3 ,
V ˙ 3 = i = 1 4 k i k ¯ i k ˙ i i = 1 4 k i k ¯ i k ˙ i + w i e μ i 2 i = 1 4 k i k ¯ = i = 1 4 k i k ¯ k ˙ i + w i e μ i 2 i = 1 4 k i k ¯ = k ˙ i w i e μ i 2 i = 1 4 k i k ¯
Due to the condition k i k ¯ i always holding, when the adaptation rate is satisfied k ˙ i = w i e μ i 2 , it follows that V ˙ 3 0 .
In summary, the following equation holds:
V = V 1 + V 2 + V 3 > 0 V ˙ = V ˙ 1 + V ˙ 2 + V ˙ 3 l 1 V 1 2 j 1 3 2 j 1 2 l 2 V 1
Since j 1 2 , the condition 0 < 2 j 1 3 2 j 1 2 < 1 holds.
Lemma 1
[36]. Consider the following nonlinear system:
x ˙ = f x
where f 0 = 0 , x R , f : D R is a continuous function within an open neighborhood D containing the origin.
If there exists the following Lyapunov function:
V ˙ x c V x g h V x x D 0 \ { 0 }
where c , h > 0 , g 0 , 1 , D 0 D is an open neighborhood containing the origin, then the origin of the system in Equation (37) is finite-time stable, and the convergence time satisfies the following expression:
T 2 2 j 1 2 ln 1 + 1 l 1 V t 0 1 2 j 1 2 l 2
The slow loop system will converge within a finite time T s :
T s T 1 + T 2
The convergence proof for the fast loop is consistent with that of the slow loop, which gives the convergence time T f for the fast loop, defined as follows:
T f T 3 + T 4
where T 3 represents the maximum convergence time of the observer in the fast loop, and T 4 represents the maximum convergence time of the controller in the fast loop.
T t o t a l T s + T f T 1 + T 2 + T 3 + T 4
Proof complete.

5. Simulation Verification

In this section, numerical simulations are conducted to demonstrate the effectiveness of the proposed control strategy. The aerodynamic uncertainty is set to +30% for simulation. To validate the tracking performance of the controller to time-varying commands, the aircraft is considered to fly in a bank-to-turn (BTT) manner, and the following smoothly varying command signal is set:
χ c = 5 + 4 1 + e 0.5 t 14 4 1 + e 1.2 t 30 5 1 + e 1.2 t 20 α c = 3 6 1 + e t 20 + 3 1 + e t 45 β c = 0
The simulation time is set to 60 s, and the initial state of the aircraft is as follows: initial altitude h = 20 , 000   m , initial speed V = 1475   m / s   ( M a c h   5 ) , initial angular velocity p = q = r = 0 ° / s , and initial airflow angle χ = α = β = 0 ° .
To better demonstrate the effectiveness of the proposed control method in this paper, a terminal sliding mode controller is added for comparative analysis.
(1)
Terminal Sliding Mode Fault-Tolerant Controller
The selection of sliding mode surfaces for the fast and slow loops are as follows:
γ = γ 1 γ 2 = e Ω + 0 t ο 1 e Ω q 1 p 1 d t e ω + 0 t ο 2 e ω q 2 p 2 d t
where ο 1 and ο 2 are the gains to be designed, and q 1 , q 2 , p 1 , and p 2 are the positive odd numbers satisfying q 1 < p 1 < 2 q 1 , q 2 < p 2 < 2 q 2 .
Applying the design method of reaching law controllers, the design is as follows:
γ ˙ = γ ˙ 1 γ ˙ 2 = ϖ 11 tanh γ 1 ϖ 12 γ 1 ϖ 21 tanh γ 2 ϖ 22 γ 2
Where ϖ 11 , ϖ 12 , ϖ 21 , and ϖ 22 are the constants to be designed. tanh represents the hyperbolic tangent function.
The comparison of controller designs is as follows:
ω d = η 1 Ω ˙ c ϖ 11 tanh γ 1 ϖ 12 γ 1 ο 1 e Ω q 1 / p 1 + d ^ Ω
δ d = ς 1 ϑ 1 I ω ˙ c ϖ 21 tanh γ 2 ϖ 22 γ 2 ο 2 e ω q 2 / p 2 + d ^ ω ς 1 ϑ 1 ζ I ω ς 1 υ
where d ^ Ω and d ^ ω are the estimated values of the aggregated disturbance, and the disturbance observer is consistent with Equations (16) and (21). The first-order filter aligns with Equations (19) and (24). Other parameter settings are specified in Table 2 and Table 3.
Subsequent analysis will be divided into three scenarios to evaluate the control performance of the controller and the comparison controller.
Scenario 1: Only aggregated disturbance is present, and the disturbance observer is not compensating.
Scenario 2: Building upon scenario 1, compensation is applied to the aggregated disturbance, and Monte Carlo experiments on aerodynamic uncertainty are performed in this scenario.
Scenario 3: Building upon scenario 2, actuator faults are introduced, and fault compensation is performed.

5.1. Scenario 1

To demonstrate the robustness of the proposed controller in this paper, consider the following nonlinear time-varying disturbance r a d / s :
d Ω = d χ , α , β = 0.005 sin 0.5 t + 0.1 + 0.003 sin 0.55 t + 0.2 + 0.007 sin 1.1 t + 0.6
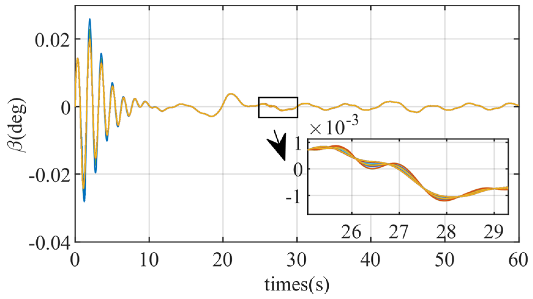
Observe the variations in the airflow angle χ , α , β , the errors in airflow angle e χ , e α , e β , and the actual control surface positions u a , u e , u r , as depicted in Figure 3, Figure 4, Figure 5, Figure 6, Figure 7, Figure 8, Figure 9 and Figure 10.
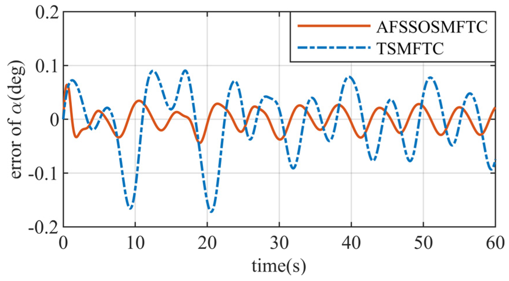
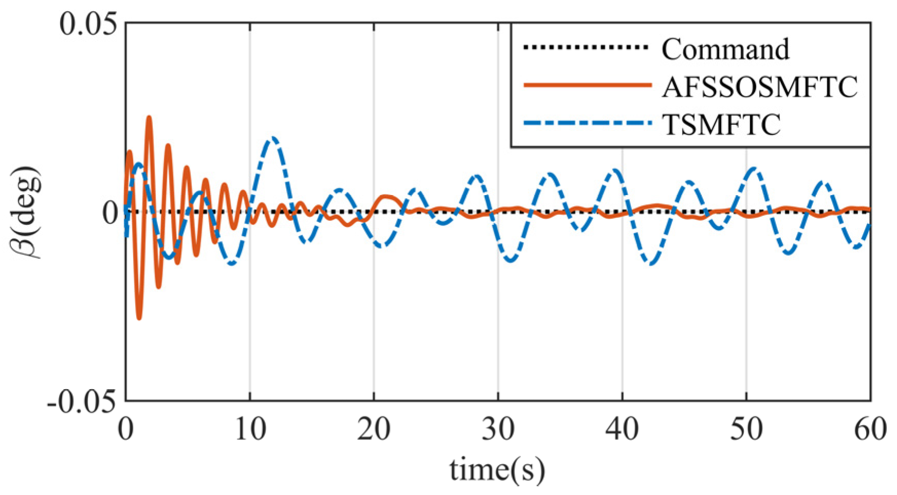
The above figures illustrate the comparison between the AFSSOSMFTC and the terminal sliding mode fault-tolerant controller (TSMFTC). In the presence of disturbances, both methods effectively track the command signal. For roll and pitch angles, the error of the proposed method converges to within 0.04 ° , while the maximum error of the TSMFTC exceeds 0.1 ° . Since the command for the sideslip angle is 0 ° , Figure 5 can simultaneously reflect tracking response and error.
For the control surfaces, the responses of the two methods are similar. Still, the control surface response of the TSMFTC is abrupt at the initial moment, which is not conducive to practical control of the control surfaces. Moreover, small oscillations occur multiple times during the simulation process, as shown in the response in Figure 8. These oscillations are also reflected in the u r response. The control surface response of the proposed method is smoother and more continuous than that of the TSMFTC. In Figure 9, when the angle of attack command is large, the proposed controller provides more considerable control surface deflections than the TSMFTC. This indicates that the proposed controller is more sensitive to changes in the command.
The results of using the root mean square error method for data analysis are shown in Table 4. Compared to the comparison method, the airflow angle error for the proposed method is reduced by 65.56%, 66.53%, and 63.24%, respectively.
Table 5 shows the results of the standard deviation analysis. Compared to the comparison method, the airflow angle error for the proposed method is reduced by 65.53%, 66.50%, and 63.23%, respectively.

5.2. Scenario 2

The state variable responses and error curves after introducing the disturbance observer are shown in Figure 11, Figure 12, Figure 13, Figure 14, Figure 15, Figure 16, Figure 17 and Figure 18.
After compensating for the aggregated disturbance by introducing the disturbance observer, the control performance of the proposed method is significantly improved. The steady-state error of the airflow angle converges to near 0 ° in a short time, demonstrating rapid convergence. The TSMFTC also performs well in roll and pitch angle responses, with errors mainly within the range of 0.05 ° compared to the uncompensated case. However, there is no significant improvement in the angle of attack response.
In the control surface response, the initial weak oscillations in the proposed method are improved, resulting in a smoother overall response. The terminal sliding mode method exhibits significant high-frequency oscillations around 30 s, and small-scale oscillations persist, showing no significant improvement. This indicates that the proposed controller is more robust.
Table 6 provides the results of the data analysis. Compared to the comparison method, the airflow angle error for the proposed method is reduced by 90.15%, 96.80%, and 37.82%, respectively. The standard deviation method used in Table 7 reflects a reduction of 90.15%, 96.80%, and 37.82% in airflow angle errors, respectively, which is almost consistent with the root mean square error method.
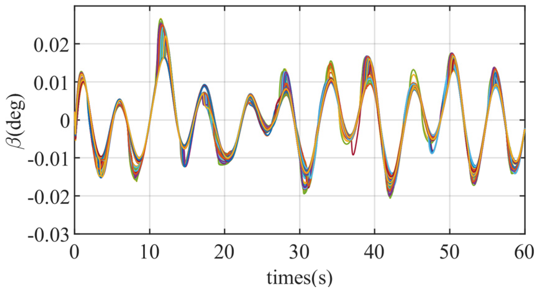
Monte Carlo simulations were performed 500 times, applying deviations to the tri-axial coefficients Δ C l , Δ C m , and Δ C n , each of which follows a normal distribution with a mean of 0 and a standard deviation of 0.15. The deviation scatter plot is shown in Figure 19.
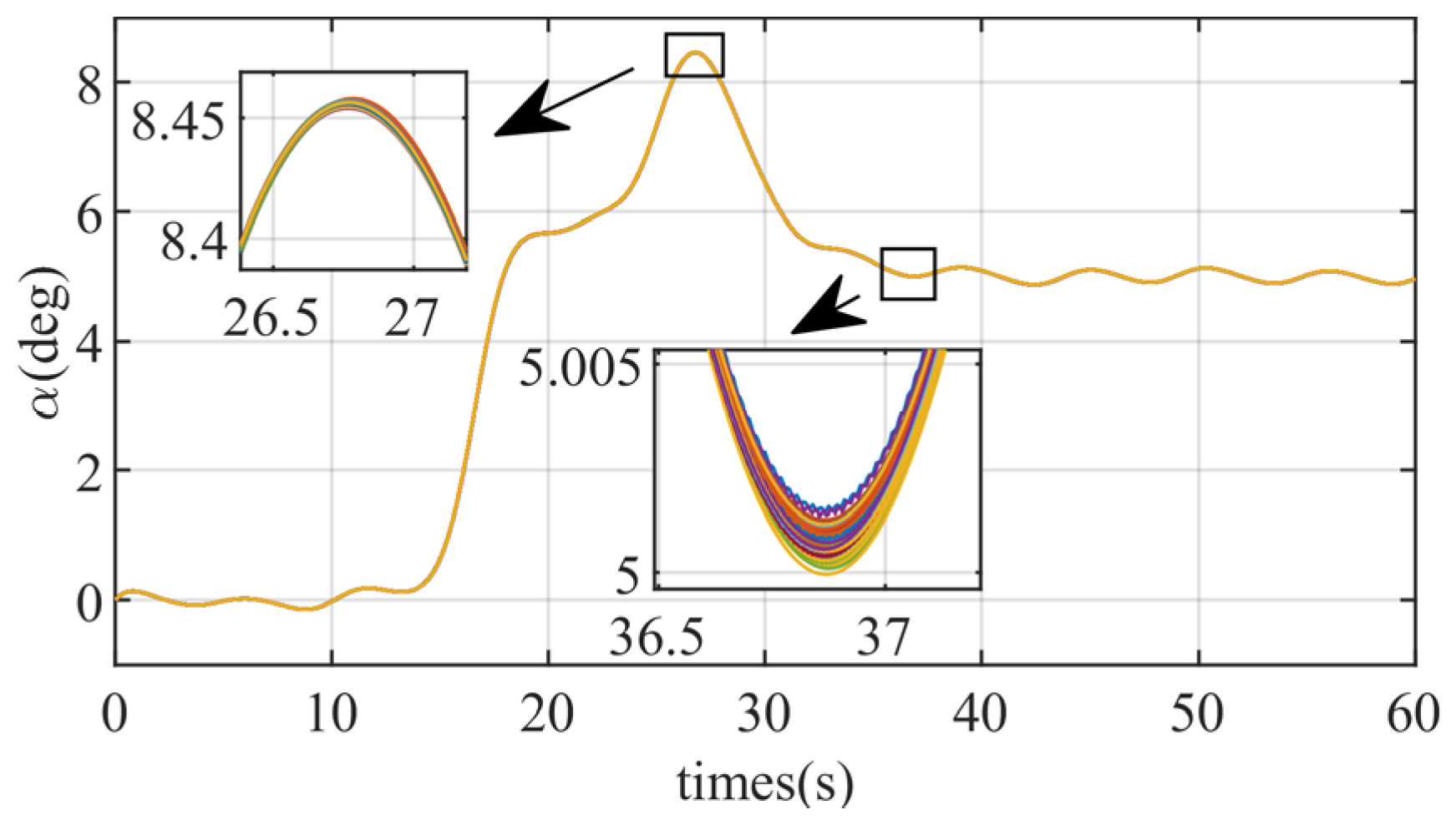
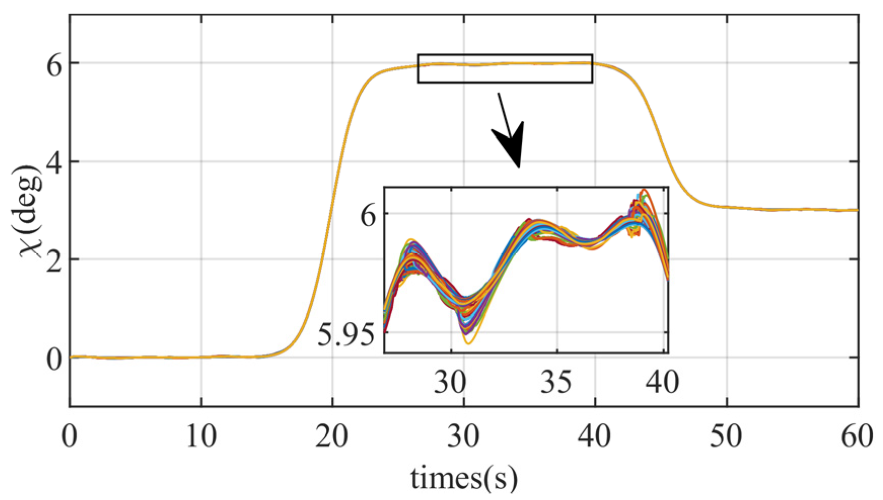
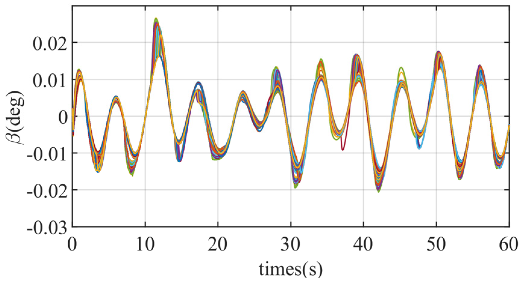
Monte Carlo simulations were conducted for both methods. Figure 20, Figure 21, Figure 22, Figure 23, Figure 24 and Figure 25 present the simulation results of the controller proposed in this paper and the comparison controller. Under the same aerodynamic deviations, both methods demonstrate good control performance. The state variables of the proposed method exhibit almost consistent behavior, with minimal errors across multiple trials. In contrast, the comparative method shows more significant errors in the state variables during repeated simulations, highlighting the stronger robustness of the proposed method against aerodynamic parameter uncertainties.

5.3. Scenario 3

This section considers the presence of control surface faults in the HSV and applies fault compensation. The analysis focuses on the variations in the airflow angle and the response of the control surfaces.
The model for reduced control surface effectiveness in the control surface fault model in Equation (7) is as follows:
κ = 0 ,   i f   t ( s ) < 20 0.4 0.2 0.1 T , i f   t ( s ) 20
The model for a control surface slack and floating fault is as follows:
u c 0 = 0 , i f   t ( s ) < 30 5 + sin 0.5 t 3 + sin 0.8 t + 1.1 5 + sin 0.3 t + 1.8 , i f   t ( s ) 30
Figure 26, Figure 27, Figure 28, Figure 29, Figure 30, Figure 31, Figure 32 and Figure 33 illustrate the variations in state variables.
After a control surface failure in the HSV, the AFSSOSMFTC and the TSMFTC can converge. The disturbance observer effectively compensates for the control surface fault between 20 and 30 s.
In Figure 26 and Figure 29, it can be observed that after the occurrence of a fault, there is a small oscillation in the airflow angle. The proposed method converges quickly within a short time, while the terminal sliding mode method still exhibits significant errors. However, there is no substantial change in the angle of attack and sideslip angle responses, indicating that the observer compensates well for the control surface fault.
Figure 31, Figure 32 and Figure 33 depict the changes in the control surfaces. Both control methods exhibit control surface oscillations at the initial moment and when the fault occurs. However, the oscillation amplitude of the AFSSOSMFTC is smaller than that of the terminal sliding mode controller. The TSMFTC experiences control surface oscillations at different times, while the proposed controller is smoother and more continuous. It also converges more quickly, validating the advantages of smoothness and speed offered in this paper.
As shown in Table 8, in scenario 3, compared to the comparison method, the airflow angle error for the proposed method is reduced by 89.67%, 96.80%, and 35.47%, respectively.
Table 9 shows the analysis results of the standard deviation method, where the airflow angle errors were reduced by 89.67%, 97.09%, and 35.47%, respectively, which is almost consistent with the root mean square error method.

6. Conclusions

In this article, an AFSSOSMFTC is proposed. A fixed-time disturbance observer is designed to estimate and compensate for external aggregated disturbances and actuator faults. On this basis, a first-order filter is used to calculate the derivatives, and it is compared with the terminal sliding mode controller. The analysis under three scenarios demonstrates that the proposed controller converges much faster than the terminal sliding mode controller, with an average reduction of at least 50% in errors. No significant chattering was observed, and the output signals were smooth. When considering external disturbances and actuator faults, the airflow angle error of the aircraft quickly converges to a very small value, highlighting the robustness and effectiveness of the proposed controller.
The future work will focus on controller design, considering actuator saturation and state constraints. We will also consider position control issues that are more challenging than attitude control and implement the controller in a semi-physical simulation setup for hardware-in-the-loop testing.

Author Contributions

Methodology, L.C. and L.L.; funding acquisition, C.G. and L.C.; data analysis, P.J.; writing, L.L. All authors have read and agreed to the published version of the manuscript.

Funding

This research was funded by the National Natural Science Foundation of China, grant number 62303484; Graduate Innovation Fund Project of Sichuan University of Science and Engineering, grant number Y2023281; Nature Science Foundation of Sichuan University of Science and Engineering, grant number 2024RC03; Sichuan Science and Technology Program, grant number 2024NSFSC2048; Key Laboratory of Higher Education of Sichuan Province for Enterprise Informationalization and Internet of Things, grant number 2024WZY01; and Scientific Research and Innovation Team Program of Sichuan University of Science and Engineering, grant number SUSE652A011.

Data Availability Statement

The data are available from the corresponding author on reasonable request.

Acknowledgments

The author sincerely thanks the funders and institutions and gives thanks to the editor and all anonymous reviewers for their comments, which help to improve the quality of this article.

Conflicts of Interest

Author Pengfei Ji was employed by the company Sichuan Tengden Technology Co., Ltd. The remaining authors declare that the research was conducted in the absence of any commercial or financial relationships that could be construed as a potential conflict of interest.

References

  1. Wang, Z.; Wu, T.; Zhu, Z.; Ma, C. Reinforcement Learning–Based Adaptive Attitude Control Method for a Class of Hypersonic Flight Vehicles Subject to Nonaffine Structure and Unmatched Disturbances. J. Aerosp. Eng. 2024, 37, 4024003. [Google Scholar] [CrossRef]
  2. Chen, Z.; Zhao, Y. Active Disturbance Rejection Control for Hypersonic Flutter Suppression Based on Parametric ROM. J. Aerosp. Eng. 2020, 33, 4020083. [Google Scholar] [CrossRef]
  3. Li, Y.; Wang, F.; Zhou, C. Prescribed performance filter backstepping control of hypersonic vehicle with full state constraints. Acta Aeronaut. Astronaut. Sin. 2020, 41, 109–120. [Google Scholar]
  4. Wang, Z.S.; Liao, Y.X.; Wei, C.S.; Dai, T. Fault tolerant Control of Fast Terminal Sliding Mode Preserving Performance of Hypersonic Vehicle. Acta Aeronaut. Astronaut. Sin. 2023, 44, 328476. [Google Scholar] [CrossRef]
  5. Guo, J.; Peng, Q.; Zhou, J. Disturbance Observer–Based Nonlinear Model Predictive Control for Air-Breathing Hypersonic Vehicles. J. Aerosp. Eng. 2019, 32, 4018121. [Google Scholar] [CrossRef]
  6. Zhang, Y.; Huang, X.; Lu, K.; Bai, W.; Huang, W. Research Progress and Prospect of the Hypersonic Flight Vehicle Control Technology. J. Astronaut. 2022, 43, 866–879. [Google Scholar] [CrossRef]
  7. Xu, B.; Shi, Z. An overview on flight dynamics and control approaches for hypersonic vehicles. Sci. China Inf. Sci. 2015, 58, 1–19. [Google Scholar] [CrossRef]
  8. Wang, Y.; Chao, T.; Wang, S.; Yang, M. Byrnes-Isidori-based dynamic sliding-mode control for nonminimum phase hypersonic vehicles. Aerosp. Sci. Technol. 2019, 95, 105478. [Google Scholar] [CrossRef]
  9. Zhang, H.; Wang, P.; Tang, G.; Bao, W. Fixed-time sliding mode control for hypersonic morphing vehicles via event-triggering mechanism. Aerosp. Sci. Technol. 2023, 140, 108458. [Google Scholar] [CrossRef]
  10. Bu, X.; Jiang, B.; Feng, Y.A. Hypersonic tracking control under actuator saturations via readjusting prescribed performance functions. ISA Trans. 2023, 134, 74–85. [Google Scholar] [CrossRef]
  11. Huang, H.; Luo, C.; Han, B. Prescribed performance fuzzy back-stepping control of a flexible air-breathing hypersonic vehicle subject to input constraints. J. Intell. Manuf. 2022, 33, 853–866. [Google Scholar] [CrossRef]
  12. Zuo, R.; Li, Y.; Lv, M.; Liu, Z. Realization of trajectory precise tracking for hypersonic flight vehicles with prescribed performances. Aerosp. Sci. Technol. 2021, 111, 106554. [Google Scholar] [CrossRef]
  13. Wang, G.; Xia, H.W. A Learning-based Intelligent Control Method for Hypersonic Flight Vehicle. J. Astronaut. 2023, 44, 233–242. [Google Scholar] [CrossRef]
  14. Zhang, Y.; Shou, Y.; Zhang, P.; Han, W. Sliding mode based fault-tolerant control of hypersonic reentry vehicle using composite learning. Neurocomputing 2022, 484, 142–148. [Google Scholar] [CrossRef]
  15. An, H.; Wang, C.; Fidan, B. Sliding mode disturbance observer-enhanced adaptive control for the air-breathing hypersonic flight vehicle. Acta Astronaut. 2017, 139, 111–121. [Google Scholar] [CrossRef]
  16. Guo, R.; Ding, Y.; Yue, X. Active adaptive continuous nonsingular terminal sliding mode controller for hypersonic vehicle. Aerosp. Sci. Technol. 2023, 137, 108279. [Google Scholar] [CrossRef]
  17. Cheng, X.; Wang, P.; Liu, L.; Tang, G. Predictive Sliding Mode Control Using Feedback Linearization for Hypersonic Vehicle. Procedia Eng. 2015, 99, 1076–1081. [Google Scholar] [CrossRef]
  18. Zhong, Q.; Zhao, J.Q.; Liu, R.F.; Du, W.; Dai, P. Disturbance Observer–Based Backstepping Control for Hypersonic Vehicles with Input Constraints. J. Aerosp. Eng. 2024, 37, 4023092. [Google Scholar] [CrossRef]
  19. Hu, Q.; Meng, Y. Adaptive backstepping control for air-breathing hypersonic vehicle with actuator dynamics. Aerosp. Sci. Technol. 2017, 67, 412–421. [Google Scholar] [CrossRef]
  20. Cheng, Y.; Xu, B.; Wu, F.; Hu, X.; Hong, R. HOSM observer based robust adaptive hypersonic flight control using composite learning. Neurocomputing 2018, 295, 98–107. [Google Scholar] [CrossRef]
  21. An, H.; Wang, Y.; Wu, Q.; Wang, C. Dual-mode control of hypersonic vehicles. Control Eng. Pract. 2023, 131, 105392. [Google Scholar] [CrossRef]
  22. Xia, R.; Chen, M.; Wu, Q.; Wang, Y. Neural network based integral sliding mode optimal flight control of near space hypersonic vehicle. Neurocomputing 2020, 379, 41–52. [Google Scholar] [CrossRef]
  23. Zhang, H.; Wang, P.; He, R.; Tang, G.; Bao, W. Event-triggered attitude control for hypersonic morphing vehicles using fixed-time control technique. Aerosp. Sci. Technol. 2024, 144, 108773. [Google Scholar] [CrossRef]
  24. Zhang, X.; Hu, W.; Wei, C.; Xu, T. Nonlinear disturbance observer based adaptive super-twisting sliding mode control for generic hypersonic vehicles with coupled multisource disturbances. Eur. J. Control 2021, 57, 253–262. [Google Scholar] [CrossRef]
  25. Wang, L.; Qi, R.; Jiang, B. Adaptive actuator fault-tolerant control for non-minimum phase air-breathing hypersonic vehicle model. Isa Trans. 2022, 126, 47–64. [Google Scholar] [CrossRef]
  26. Shen, Q.; Jiang, B.; Cocquempot, V. Fault-Tolerant Control for T–S Fuzzy Systems with Application to Near-Space Hypersonic Vehicle with Actuator Faults. IEEE Trans. Fuzzy Syst. 2012, 20, 652–665. [Google Scholar] [CrossRef]
  27. Guo, F.; Lu, P. Improved Adaptive Integral-Sliding-Mode Fault-Tolerant Control for Hypersonic Vehicle with Actuator Fault. IEEE Access 2021, 9, 46143–46151. [Google Scholar] [CrossRef]
  28. Yuan, L.; Wang, L.; Xu, J. Adaptive fault-tolerant controller for morphing aircraft based on the L2 gain and a neural network. Aerosp. Sci. Technol. 2023, 132, 107985. [Google Scholar] [CrossRef]
  29. Hu, Q.; Wang, C.; Li, Y.; Huang, J. Adaptive Control for Hypersonic Vehicles with Time-Varying Faults. IEEE Trans. Aerosp. Electron. Syst. 2018, 54, 1442–1455. [Google Scholar] [CrossRef]
  30. Lv, J.; Wang, C.; Kao, Y. Adaptive fixed-time quantized fault-tolerant attitude control for hypersonic reentry vehicle. Neurocomputing 2023, 520, 386–399. [Google Scholar] [CrossRef]
  31. Gao, M.; Yao, J. Finite-time H∞ adaptive attitude fault-tolerant control for reentry vehicle involving control delay. Aerosp. Sci. Technol. 2018, 79, 246–254. [Google Scholar] [CrossRef]
  32. Liang, X.; Wang, Q.; Hu, C.; Dong, C. Fixed-time observer based fault tolerant attitude control for reusable launch vehicle with actuator faults. Aerosp. Sci. Technol. 2020, 107, 106314. [Google Scholar] [CrossRef]
  33. Wu, T.; Wang, H.; Yu, Y.; Liu, Y.; Wu, J. Quantized fixed-time fault-tolerant attitude control for hypersonic reentry vehicles. Appl. Math. Model. 2021, 98, 143–160. [Google Scholar] [CrossRef]
  34. Keshmiri, S.; Colgren, R.; Mirmirani, M. Development of an Aerodynamic Database for a Generic Hypersonic Air Vehicle. In Proceedings of the AIAA 2005-6251, San Francisco, CA, USA, 15–18 August 2005. [Google Scholar]
  35. Basin, M.; Yu, P.; Shtessel, Y. Finite- and fixed-time differentiators utilising HOSM techniques. IET Control Theory Appl. 2017, 11, 1144–1152. [Google Scholar] [CrossRef]
  36. Liu, Y.; Li, H.; Lu, R.; Zuo, Z.; Li, X. An Overview of Finite/Fixed-Time Control and Its Application in Engineering Systems. IEEE/CAA J. Autom. Sin. 2022, 9, 2106–2120. [Google Scholar] [CrossRef]
Figure 1. Geometric parameters of the HSV model.
Figure 1. Geometric parameters of the HSV model.
Aerospace 11 00951 g001
Figure 2. The structure diagram of the control system.
Figure 2. The structure diagram of the control system.
Aerospace 11 00951 g002
Figure 3. Angle of bank.
Figure 3. Angle of bank.
Aerospace 11 00951 g003
Figure 4. Angle of attack.
Figure 4. Angle of attack.
Aerospace 11 00951 g004
Figure 5. Sideslip angle and error.
Figure 5. Sideslip angle and error.
Aerospace 11 00951 g005
Figure 6. Error of bank angle.
Figure 6. Error of bank angle.
Aerospace 11 00951 g006
Figure 7. Error of attack.
Figure 7. Error of attack.
Aerospace 11 00951 g007
Figure 8. Variation of u a .
Figure 8. Variation of u a .
Aerospace 11 00951 g008
Figure 9. Variation of u e .
Figure 9. Variation of u e .
Aerospace 11 00951 g009
Figure 10. Variation of u r .
Figure 10. Variation of u r .
Aerospace 11 00951 g010
Figure 11. Angle of bank.
Figure 11. Angle of bank.
Aerospace 11 00951 g011
Figure 12. Angle of attack.
Figure 12. Angle of attack.
Aerospace 11 00951 g012
Figure 13. Sideslip angle and error.
Figure 13. Sideslip angle and error.
Aerospace 11 00951 g013
Figure 14. Error of bank angle.
Figure 14. Error of bank angle.
Aerospace 11 00951 g014
Figure 15. Error of attack.
Figure 15. Error of attack.
Aerospace 11 00951 g015
Figure 16. Variation of u a .
Figure 16. Variation of u a .
Aerospace 11 00951 g016
Figure 17. Variation of u e .
Figure 17. Variation of u e .
Aerospace 11 00951 g017
Figure 18. Variation of u r .
Figure 18. Variation of u r .
Aerospace 11 00951 g018
Figure 19. Aerodynamic uncertainty scatter plot.
Figure 19. Aerodynamic uncertainty scatter plot.
Aerospace 11 00951 g019
Figure 20. Bank angle of TSMFTC.
Figure 20. Bank angle of TSMFTC.
Aerospace 11 00951 g020
Figure 21. Attack angle of TSMFTC.
Figure 21. Attack angle of TSMFTC.
Aerospace 11 00951 g021
Figure 22. Sideslip angle of TSMFTC.
Figure 22. Sideslip angle of TSMFTC.
Aerospace 11 00951 g022
Figure 23. Bank angle of AFSSOSMFTC.
Figure 23. Bank angle of AFSSOSMFTC.
Aerospace 11 00951 g023
Figure 24. Attack angle of AFSSOSMFTC.
Figure 24. Attack angle of AFSSOSMFTC.
Aerospace 11 00951 g024
Figure 25. Sideslip angle of AFSSOSMFTC.
Figure 25. Sideslip angle of AFSSOSMFTC.
Aerospace 11 00951 g025
Figure 26. Angle of bank.
Figure 26. Angle of bank.
Aerospace 11 00951 g026
Figure 27. Angle of attack.
Figure 27. Angle of attack.
Aerospace 11 00951 g027
Figure 28. Sideslip angle and error.
Figure 28. Sideslip angle and error.
Aerospace 11 00951 g028
Figure 29. Error of bank angle.
Figure 29. Error of bank angle.
Aerospace 11 00951 g029
Figure 30. Error of attack.
Figure 30. Error of attack.
Aerospace 11 00951 g030
Figure 31. Variation of u a .
Figure 31. Variation of u a .
Aerospace 11 00951 g031
Figure 32. Variation of u e .
Figure 32. Variation of u e .
Aerospace 11 00951 g032
Figure 33. Variation of u r .
Figure 33. Variation of u r .
Aerospace 11 00951 g033
Table 1. HSV parameter table.
Table 1. HSV parameter table.
ParameterParameter Value
S 334.7   ( m 2 )
b 6.95   ( m )
c ¯ 24.384   ( m )
I x 1.36 × 10 6   ( k g m 2 )
I y 1.36 × 10 7   ( k g m 2 )
I z 1.36 × 10 7   ( k g m 2 )
Table 2. Parameters of AFSSOSMFTC.
Table 2. Parameters of AFSSOSMFTC.
ModuleParameters
Slow Loop
Sliding mode surface in Equation (15) and
the controller in Equation (18)
c 1 = 0.1 , μ 11 = μ 12 = μ 13 = μ 14 = 2 , w 11 = 5 , w 12 = 15 , w 13 = 5 , w 14 = 50 , j 1 = 3
Disturbance observer in Equation (16) a 11 = 1.01 , a 12 = 0.55 , b 11 = 5 , b 12 = 2.5 , m 11 = 0.99 , m 12 = 0.98 , n 11 = 1.2 , n 12 = 1.4 , r 1 = 91
First-order filter in Equation (19) ν Ω = 0.007 , l 1 Ω = 0.9 , l 2 Ω = 9
Fast Loop
Sliding mode surface in Equation (20) and
the controller in Equation (23)
c 2 = 0.1 , μ 21 = μ 22 = μ 23 = μ 24 = 2 , w 21 = 0.5 , w 22 = 2 , w 23 = 3 , w 24 = 30 , j 2 = 3
Disturbance observer in Equation (21) a 21 = 1.5 , a 22 = 0.75 , b 21 = 7 , b 22 = 3.5 , m 21 = 0.9 , m 22 = 0.8 , n 21 = 1.01 , n 22 = 1.02 , r 2 = 80
First-order filter in Equation (24) ν ω = 0.004 , l 1 ω = 2 , l 2 ω = 8
Table 3. Parameters of TSMFTC.
Table 3. Parameters of TSMFTC.
ModuleParameters
Slow Loop
Sliding mode surface in Equation (45) and controller in Equation (46) ο 1 = 0.1 , ϖ 11 = 1 , ϖ 12 = 5 , q 1 = 7 , p 1 = 9
Fast Loop
Sliding mode surface in Equation (45) and controller in Equation (47) ο 2 = 0.1 , ϖ 21 = 1 , ϖ 22 = 5 , q 2 = 7 , p 2 = 9
Table 4. Root mean square error of scenario 1.
Table 4. Root mean square error of scenario 1.
Scenario 1Angle of Bank (deg)Angle of Attack (deg)Sideslip Angle (deg)
AFSSOSMFTC0.020850.020550.02130
TSMFTC0.060520.061390.05795
Table 5. The standard deviation of scenario 1.
Table 5. The standard deviation of scenario 1.
Scenario 1Angle of Bank (deg)Angle of Attack (deg)Sideslip Angle (deg)
AFSSOSMFTC0.020840.020540.02130
TSMFTC0.060470.061310.05792
Table 6. Root mean square error of scenario 2.
Table 6. Root mean square error of scenario 2.
Scenario 2Angle of Bank (deg)Angle of Attack (deg)Sideslip Angle (deg)
AFSSOSMFTC0.004000.003290.00462
TSMFTC0.040570.102900.00742
Table 7. The standard deviation of scenario 2.
Table 7. The standard deviation of scenario 2.
Scenario 2Angle of Bank (deg)Angle of Attack (deg)Sideslip Angle (deg)
AFSSOSMFTC0.004000.003290.00462
TSMFTC0.040570.102860.00742
Table 8. Root mean square error of scenario 3.
Table 8. Root mean square error of scenario 3.
Scenario 3Angle of Bank (deg)Angle of Attack (deg)Sideslip Angle (deg)
AFSSOSMFTC0.004340.003300.00462
TSMFTC0.042010.103130.00716
Table 9. The standard deviation of scenario 3.
Table 9. The standard deviation of scenario 3.
Scenario 3Angle of Bank (deg)Angle of Attack (deg)Sideslip Angle (deg)
AFSSOSMFTC0.004340.003300.00462
TSMFTC0.042010.103090.00716
Disclaimer/Publisher’s Note: The statements, opinions and data contained in all publications are solely those of the individual author(s) and contributor(s) and not of MDPI and/or the editor(s). MDPI and/or the editor(s) disclaim responsibility for any injury to people or property resulting from any ideas, methods, instructions or products referred to in the content.

Share and Cite

MDPI and ACS Style

Cao, L.; Liu, L.; Ji, P.; Guo, C. Adaptive Fast Smooth Second-Order Sliding Mode Fault-Tolerant Control for Hypersonic Vehicles. Aerospace 2024, 11, 951. https://doi.org/10.3390/aerospace11110951

AMA Style

Cao L, Liu L, Ji P, Guo C. Adaptive Fast Smooth Second-Order Sliding Mode Fault-Tolerant Control for Hypersonic Vehicles. Aerospace. 2024; 11(11):951. https://doi.org/10.3390/aerospace11110951

Chicago/Turabian Style

Cao, Lijia, Lei Liu, Pengfei Ji, and Chuandong Guo. 2024. "Adaptive Fast Smooth Second-Order Sliding Mode Fault-Tolerant Control for Hypersonic Vehicles" Aerospace 11, no. 11: 951. https://doi.org/10.3390/aerospace11110951

APA Style

Cao, L., Liu, L., Ji, P., & Guo, C. (2024). Adaptive Fast Smooth Second-Order Sliding Mode Fault-Tolerant Control for Hypersonic Vehicles. Aerospace, 11(11), 951. https://doi.org/10.3390/aerospace11110951

Note that from the first issue of 2016, this journal uses article numbers instead of page numbers. See further details here.

Article Metrics

Back to TopTop