Analytical Second-Order Extended Kalman Filter for Satellite Relative Orbit Estimation †
Abstract
1. Introduction
2. Relative Orbit Estimation Problem
2.1. Nonlinear Estimation Problem
2.2. Relative Orbital Dynamics
2.3. Angle Measurements
3. Nonlinear Sequential Filter Design
3.1. Extended Kalman Filter
3.1.1. Prediction Equations of EKF
3.1.2. Update Equations of EKF
3.2. Analytic Second-Order Extended Kalman Filter
3.2.1. Prediction Equations of ASEKF
3.2.2. Update Equations of ASEKF
| Algorithm 1: Analytical Second-Order Extended Kalman Filter | ||
| Input: initial mean relative state , covariance matrix | ||
| Output: final mean relative state and covariance matrix | ||
| 1. | for do | |
| 2. | Calculate and according to Equation (29) from Ref. [33]; | |
| 3. | Calculate and according to equations of their elements after Equation (14); | |
| 4. | Calculate , and according to Equations (21)–(23) in this paper; | |
| 5. | Calculate , and according to Equations (24)–(26) in this paper; | |
| 6. | Calculate and according to Equations (27) and (28) in this paper; | |
| 7. | Calculate , and according to Equation (29) in this paper | |
| 8. | end for | |
| 9. | return and | |
4. Simulation Results
4.1. Relative Orbit Determination with Perfect Measurement
4.1.1. Result of Case 1
4.1.2. Result of Case 2
4.2. Relative Orbit Determination with Imperfect Measurement
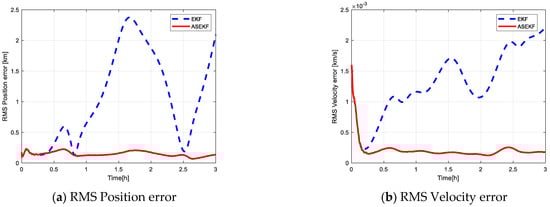
4.2.1. Result of Case 3
4.2.2. Result of Case 4
5. Conclusions
Author Contributions
Funding
Data Availability Statement
Conflicts of Interest
Abbreviations
| IROD | Initial relative orbit determination |
| ROE | Relative orbital element |
| EKF | Extended Kalman filter |
| MRD-DCSCKF | multiple-step, randomly delayed, dynamic-covariance-scaling cubature Kalman filter |
| CEKF | Consensus extended Kalman filter |
| UKF | Unscented Kalman filter |
| SRUKF | Square-root unscented Kalman filter |
| HEKF | High-order extended Kalman filter |
| DA | Differential algebra |
| KOF | Koopman Operator filter |
| STTs | State transition tensors |
| ASEKF | Analytical second-order extended Kalman filter |
| ECI | Earth-centered inertial |
| LVLH | Local vertical, local horizontal |
| STM | State transition matrix |
References
- Aldrin, B.E. Line-of-Sight Guidance Techniques for Manned Orbital Rendezvous. Ph.D. Thesis, Massachusetts Institute of Technology, Cambridge, MA, USA, 1963. [Google Scholar]
- D’Amico, S.; Ardaens, J.-S.; Gaias, G.; Benninghoff, H.; Schlepp, B.; Jørgensen, J.L. Noncooperative rendezvous using angles-only optical navigation: System design and flight results. J. Guid. Control. Dyn. 2013, 36, 1576–1595. [Google Scholar] [CrossRef]
- Gaias, G.; Ardaens, J.-S.; D’Amico, S. The autonomous vision approach navigation and target identification (AVANTI) experiment: Objectives and design. In Proceedings of the GNC 2014 9th International ESA Conference on Guidance, Navigation and Control Systems, Porto, Portugal, 2–6 June 2014. [Google Scholar]
- Sellmaier, F.; Boge, T.; Spurmann, J.; Gully, S.; Rupp, T.; Huber, F. On-Orbit Servicing Missions: Challenges and Solutions for Spacecraft Operations. In Proceedings of the AIAA, Orlando, FL, USA, 4–7 January 2010; pp. 2010–2159. [Google Scholar]
- Alfriend, K.T.; Vadali, S.R.; Gurfil, P.; How, J.P.; Breger, L. Spacecraft Formation Flying: Dynamics, Control and Navigation; Butterworth-Heinemann: Oxford, UK, 2010. [Google Scholar]
- Woffinden, D.C.; Geller, D.K. Observability Criteria for Angles-Only Navigation. IEEE Trans. Aerosp. Electron. Syst. 2009, 45, 1194–1208. [Google Scholar] [CrossRef]
- Schmidt, J.; Geller, D.; Chavez, F.R. Viability of Angles-only Navigation for Orbital Rendezvous Operation. In Proceedings of the AIAA Guidance, Navigation, and Control Conference, Toronto, ON, Canada, 2–5 August 2010. [Google Scholar]
- Newman, B.; Lovell, A.; Pratt, E. Second Order Nonlinear Initial Orbit Determination for Relative Motion Using Volterra Theory. Adv. Astronaut. Sci. 2014, 152, 1253–1272. [Google Scholar]
- Gaias, G.; D’Amico, S.; Ardaens, J.S. Angles-Only navigation to a noncooperative satellite using relative orbital elements. J. Guid. Control. Dyn. 2014, 37, 439–451. [Google Scholar] [CrossRef][Green Version]
- Du, R.; Zhang, X.; Liao, W. Fast initial relative orbit determination method of angles-only relative navigation. Syst. Eng. Electron. 2021, 43, 1057–1068. [Google Scholar]
- Willis, M.; D’Amico, S. Fast Angles-Only Relative Navigation Using Polynomial Dynamics. Adv. Space Res. 2023, 73, 5484–5500. [Google Scholar] [CrossRef]
- Geller, D.K.; Klein, I. Angles-only navigation state observability during orbital proximity operations. J. Guid. Control. Dyn. 2014, 37, 1976–1983. [Google Scholar] [CrossRef]
- LeGrand, K.A.; DeMars, K.J.; Pernicka, H.J. Bearings-only initial relative orbit determination. J. Guid. Control. Dyn. 2015, 38, 1699–1713. [Google Scholar] [CrossRef]
- Gong, B.; Wang, S.; Li, S.; Li, X. Review of space relative navigation based on angles-only measurements. Astrodynamics 2023, 7, 131–152. [Google Scholar] [CrossRef]
- Gong, B.; Li, S.; Zheng, L.; Feng, J. Analytic Initial Relative Orbit Solution for Angles-Only Space Rendezvous Using Hybrid Dynamics Method. Comput. Model. Eng. Sci. 2020, 122, 221–234. [Google Scholar] [CrossRef]
- Dai, C.; Qiang, H.; Zhang, D.; Hu, S.; Gong, B. Relative Orbit Determination Algorithm of Space Targets with Passive Observation. J. Syst. Eng. Electron. 2024, 35, 793–804. [Google Scholar] [CrossRef]
- Clohessy, W.H.; Wiltshire, R.S. Terminal guidance system for satellite rendezvous. J. Aerosp. Sci. 1960, 27, 653–658. [Google Scholar] [CrossRef]
- Tschauner, J.; Hempel, P. Rendezvous zu einem in elliptischer bahn umlaufenden ziel. Astronaut. Acta 1965, 11, 312–321. [Google Scholar]
- Gim, D.W.; Alfriend, K.T. State transition matrix of relative motion for the perturbed noncircular reference orbit. J. Guid. Control. Dyn. 2003, 26, 956–971. [Google Scholar] [CrossRef]
- Gelb, A. Applied Optimal Estimation; MIT Press: Cambridge, MA, USA, 1974. [Google Scholar]
- Chang, L.; Liu, J.; Chen, Z.; Bai, J.; Shu, L. Stereo Vision-Based Relative Position and Attitude Estimation of Non-Cooperative Spacecraft. Aerospace 2021, 8, 230. [Google Scholar] [CrossRef]
- Mu, R.; Chu, Y.; Zhang, H.; Liang, H. A Multiple-Step, Randomly Delayed, Robust Cubature Kalman Filter for Spacecraft-Relative Navigation. Aerospace 2023, 10, 289. [Google Scholar] [CrossRef]
- Wang, J.; Butcher, E.A.; Tansel, Y. Space-based relative orbit estimation using information sharing and the consensus Kalman filter. J. Guid. Control. Dyn. 2019, 42, 491–507. [Google Scholar] [CrossRef]
- Junkins, J.; Singla, P. How Nonlinear Is It? A Tutorial on Nonlinearity of Orbit and Attitude Dynamics. J. Astronaut. Sci. 2004, 52, 7–60. [Google Scholar] [CrossRef]
- Julier, S.J.; Uhlmann, J.K. Unscented Filtering and Nonlinear Estimation. Proc. IEEE 2004, 92, 401–422. [Google Scholar] [CrossRef]
- Du, R.; Liao, W.; Zhang, X. Feasibility analysis of angles-only navigation algorithm with multisensor data fusion for spacecraft noncooperative rendezvous. Astrodynamics 2023, 7, 179–196. [Google Scholar] [CrossRef]
- Park, R.S.; Scheeres, D.J. Nonlinear Semi Analytic Methods for Trajectory Estimation. J. Guid. Control. Dyn. 2007, 30, 1668–1676. [Google Scholar] [CrossRef]
- Majji, M.; Junkins, J.; Turner, J. A High Order Method for Estimation of Dynamic Systems. J. Astronaut. Sci. 2008, 56, 401–440. [Google Scholar] [CrossRef]
- Cavenago, F.; Di Lizia, P.; Massari, M.; Wittig, A. On-board spacecraft relative pose estimation with high-order extended Kalman filter. Astronaut. Acta 2019, 158, 55–67. [Google Scholar] [CrossRef]
- Servadio, S.; Cavenago, F.; Di Lizia, P.; Massari, M. Nonlinear Prediction in Marker-Based Spacecraft Pose Estimation with Polynomial Transition Maps. J. Spacecr. Rocket. 2022, 59, 511–523. [Google Scholar] [CrossRef]
- Servadio, S.; Zanetti, R. Recursive Polynomial Minimum Mean-Square Error Estimation with Applications to Orbit Determination. J. Guid. Control. Dyn. 2020, 43, 939–954. [Google Scholar] [CrossRef]
- Servadio, S.; Parker, W.; Linares, R. Uncertainty Propagation and Filtering via the Koopman Operator in Astrodynamics. J. Spacecr. Rocket. 2023, 60, 1639–1655. [Google Scholar] [CrossRef]
- Yang, Z.; Luo, Y.; Zhang, J. Second-order Analytical Solution of Relative Motion in J2-Perturbed Elliptic Orbits. J. Guid. Control. Dyn. 2018, 41, 2257–2269. [Google Scholar] [CrossRef]
- Yang, Z.; Luo, Y.; Zhang, J.; Li, H. Nonlinear Analytic Solution for Perturbed Relative Motion Using Differential Equinoctial Elements. Celest. Mech. Dyn. Astron. 2018, 130, 1–33. [Google Scholar] [CrossRef]
- Vallado, D.A. Fundamentals of Astrodynamics and Applications, 3rd ed.; Microcosm Press: Portland, OR, USA, 2007. [Google Scholar]
- Sullivan, J.; Grimberg, S.; D’Amico, S. Comprehensive Survey and Assessment of Spacecraft Relative Motion Dynamics Models. J. Guid. Control. Dyn. 2017, 40, 1837–1859. [Google Scholar] [CrossRef]
- Yang, Z.; Yin, J.; Shu, P.; Luo, Y. Second-Order Analytic Extended Kalman Filter for Angles-Only Relative Orbit Navigation. In Proceedings of the 8th International Conference on Vibration Engineering, Shanghai, China, 24–26 July 2021. [Google Scholar]
- Yang, Z.; Luo, Y.; Lappas, V.; Tsourdos, A. Nonlinear Analytical Uncertainty Propagation for Relative Motion near J2-Perturbed Elliptic Orbits. J. Guid. Control. Dyn. 2018, 41, 888–903. [Google Scholar] [CrossRef]
















| a/km | e | i/° | Ω/° | w/° | f/° |
|---|---|---|---|---|---|
| 7500 | 0.05 | 30 | 0 | 0 | 180 |
Disclaimer/Publisher’s Note: The statements, opinions and data contained in all publications are solely those of the individual author(s) and contributor(s) and not of MDPI and/or the editor(s). MDPI and/or the editor(s) disclaim responsibility for any injury to people or property resulting from any ideas, methods, instructions or products referred to in the content. |
© 2024 by the authors. Licensee MDPI, Basel, Switzerland. This article is an open access article distributed under the terms and conditions of the Creative Commons Attribution (CC BY) license (https://creativecommons.org/licenses/by/4.0/).
Share and Cite
Yang, Z.; Shang, M.; Yin, J. Analytical Second-Order Extended Kalman Filter for Satellite Relative Orbit Estimation. Aerospace 2024, 11, 887. https://doi.org/10.3390/aerospace11110887
Yang Z, Shang M, Yin J. Analytical Second-Order Extended Kalman Filter for Satellite Relative Orbit Estimation. Aerospace. 2024; 11(11):887. https://doi.org/10.3390/aerospace11110887
Chicago/Turabian StyleYang, Zhen, Mingyan Shang, and Juqi Yin. 2024. "Analytical Second-Order Extended Kalman Filter for Satellite Relative Orbit Estimation" Aerospace 11, no. 11: 887. https://doi.org/10.3390/aerospace11110887
APA StyleYang, Z., Shang, M., & Yin, J. (2024). Analytical Second-Order Extended Kalman Filter for Satellite Relative Orbit Estimation. Aerospace, 11(11), 887. https://doi.org/10.3390/aerospace11110887

