Dynamics Modeling and Analysis of Rotating Trapezoidal Flexible Plate System with Large Deformation
Abstract
1. Introduction
2. Dynamic Modeling of Trapezoidal Flexible Plates
2.1. Flexible Plate Model
2.2. Dynamic Model of the Rotating Flexible Plate
3. Numerical Simulation
3.1. Dynamics Analysis of Flexible Plate Under Large Deformation
3.2. Vibration Characteristic Analysis of Trapezoidal Flexible Plate
3.3. Analysis of the Dynamic Response
4. Conclusions
- (1)
- The Miura angle has a significant influence on the dynamic characteristics of the trapezoidal flexible plate system. With the increase in the Miura angle, the frequency of the first mode first decreases and then increases near the critical speed (γ = 30–80). Complex “loci veering” phenomena are captured under different Miura angles, which means the mode shifts between different modal frequencies. Multiple mode shifts can occur within the same order of modal frequency (e.g., when the Miura angle is 85°, there are three times the loci veering), and mode shifts can occur between multiple-order modal frequencies within a narrow range of speed changes (for example, when the Miura angle is 95°, γ = 20~40 range) and also can occur between low-order modal frequencies (e.g., first- and second-order mode frequencies, γ = 30);
- (2)
- With the increase in the Miura angle, the structural stiffness of the trapezoidal flexible plate will gradually decrease, and the modal frequency of each order will decrease. Under practical conditions, because the driving speed is generally small, the influence on the modal frequency of the flexible plate is pretty small or even negligible;
- (3)
- The structure size of the trapezoidal flexible plate (bottom length, height, and thickness) influences the modal characteristics: the modal frequency of the bottom length of the trapezoidal flexible plate decreases; with the increase in the thickness of the trapezoidal flexible plate, the frequency of all modes increases; with increases in the heights, the second modal frequency decreases and then increases (the transition occurs between a height of 0.4 and 0.5);
- (4)
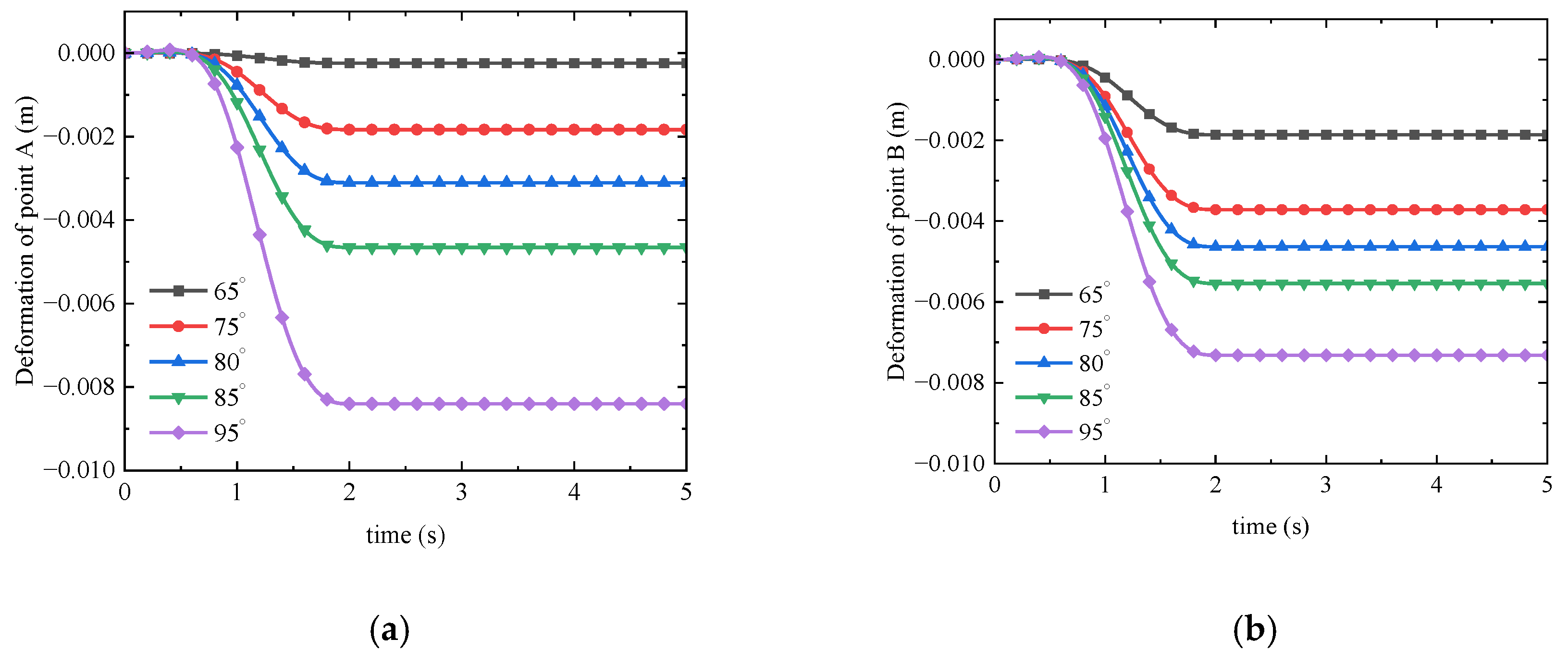
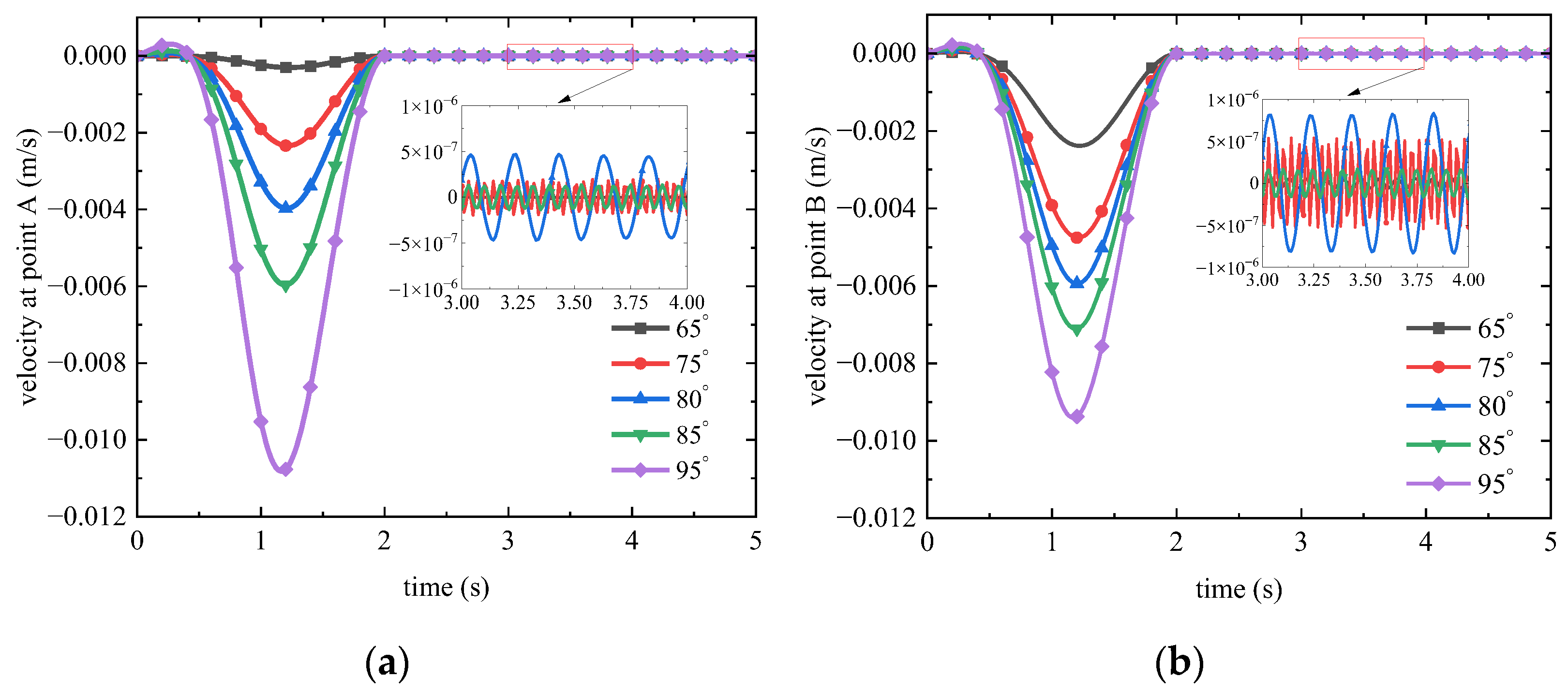
- With an increase in the Miura angle, the transverse displacement, velocity, and acceleration at the ends of points A and B gradually increase, and the transverse displacement, velocity and acceleration at A and B also vary; the peak acceleration at a Miura angle of 95° is significantly larger than several other cases; when the flexible plate is in the stage of uniform rotation, the peak velocity increases with the increase when the Miura angle is 65 ° to 85°, while when the Miura angle is 80°, the peak velocity is significantly greater than that of 85° and 75°.
5. Further Research
Author Contributions
Funding
Data Availability Statement
Acknowledgments
Conflicts of Interest
References
- Fang, H.B.; Wu, H.P.; Liu, Z.L. Research progress in origami structure and origami metamaterial dynamics. J. Mech. 2022, 54, 1–38. [Google Scholar]
- Guang, C.H.; Liu, Y.; Yang, Y. A space deployable mechanism inspired by single-vertex multi-crease origami pattern. J. Astronaut. 2018, 39, 801–807. [Google Scholar]
- Miura, K. Method of packaging and deployment of large membrane in space. Inst. Space Astronaut. Sci. Rep. 1985, 618, 1–9. [Google Scholar]
- Natori, M.C.; Sakamoto, H.; Katsumata, N.; Yamakawa, H.; Kishimoto, N. Conceptual model study using origami for membrane space structures-a perspective of origami-based engineering. Bull. JSME Mech. Eng. Rev. 2015, 2, 14-00368. [Google Scholar] [CrossRef]
- Sawada, H.; Mori, O.; Okuizumi, N.; Shirasawa, Y.; Miyazaki, Y.; Natori, M.; Matunaga, S.; Furuya, H.; Sakamoto, H. Mission report on the solar power sail deployment demonstration of IKAROS. In Proceedings of the 52nd AIAA/ASME/ASCE/AHS/ASC Structures, Structural Dynamics and Materials Conference, Denver, CO, USA, 4–7 April 2011. AIAA/ASME/ASCE/AHS/ASC, AIAA2011-1887. [Google Scholar]
- Aglietti, G.S.; Forshaw, J.; Viquerat, A.; Taylor, B. An overview of the mechanisms and deployables on the Remove Debris ADR Mission. In Proceedings of the 15th European Conference on Spacecraft Structures, Materials and Environmental Testing, ESA/ESTEC, Noordwijk, The Netherlands, 28 May–1 June 2018. [Google Scholar]
- Nakanishi, H.; Sakamoto, H.; Furuya, H.; Yamazaki, M.; Miyazaki, Y.; Watanabe, K.; Torisaka, A.; Mitsushige, O.D.A. Development of nano-satellite OrigamiSat-1 with highly functional deployable membrane. In Proceedings of the 4th International Symposium for Solar Sailing, Kyoto, Japan, 17–20 January 2017. [Google Scholar]
- Li, M.; Jiang, Y.D.; Cui, Q.F.; Zhou, X.; Wang, Z.Y.; Shi, F.Z. Immature state-of-the-art review on origami-inspired spaceborne deployable structures. J. Mech. Eng. 2021, 57, 53–65. [Google Scholar]
- Tian, D.K.; Yang, X.H.; Jin, L.; Liu, R.Q.; Zhang, J.W. Research status and prospect of rigid origami for space deployable and foldable mechanism. J. Nanjing Univ. Aeronaut. Astronaut. 2023, 55, 379–400. [Google Scholar]
- Chen, J.; Gu, Y.Q. Review on origami kinematics. Adv. Mech. 2023, 53, 154–197. [Google Scholar]
- Yang, J.B.; Jiang, L.J.; Chen, D.C. Dynamic modelling and control of a rotating Euler-Bernoulli beam. J. Sound Vib. 2004, 274, 863–875. [Google Scholar] [CrossRef]
- Al-Qaisia, A.A.; Al-Bedoor, B.O. Evaluation of different methods for the consideration of the effect of rotation on the stiffening of rotating beams. J. Sound Vib. 2005, 280, 531–553. [Google Scholar] [CrossRef]
- Kaya, M.O.; Ozgumus, O.O. Energy Expressions and Free Vibration Analysis of a Rotating Uniform Timoshenko Beam Featuring Bending-torsion Coupling. J. Vib. Control. 2010, 16, 915–934. [Google Scholar] [CrossRef]
- Zarrinzadeh, H.; Attarnejad, R.; Shahba, A. Free vibration of rotating axially functionally graded tapered beams. Proc. Inst. Mech. Eng. Part G J. Aerosp. Eng. 2012, 226, 363–379. [Google Scholar] [CrossRef]
- He, G.Q.; Cao, D.Q.; Chen, S.; Huang, W.H. Study on global mode dynamic modeling and experiment for a solar array of the flexible spacecraft. Chin. J. Theor. Appl. Mech. 2021, 53, 2312–2322. [Google Scholar]
- Ma, J.M.; Ren, Y.S.; Yao, W.L. Analysis of free vibration of rotating thin-wall cantilever in variable section of composite material. Eng. Mech. 2013, 30, 37–44. [Google Scholar]
- Wu, J.; Titurus, B. Modal analysis of a rotating pre-twisted beam axially loaded by an internally guided tendon. J. Sound Vib. 2021, 498, 115980. [Google Scholar] [CrossRef]
- Ondra, V.; Titurus, B. Free vibration and stability analysis of a cantilever beam axially loaded by an intermittently attached tendon. Mech. Syst. Signal Process. 2021, 158, 107739. [Google Scholar] [CrossRef]
- Kumar, P. Modal analysis of viscoelastic three-dimensional rotating beam with generic tip mass. Eur. J. Mech. A/Solids 2022, 96, 104734. [Google Scholar] [CrossRef]
- Yoo, H.H.; Kim, S.K.; Inman, D.J. Modal analysis of rotating composite cantilever plates. J. Sound Vib. 2002, 258, 233–246. [Google Scholar] [CrossRef]
- Yoo, H.H.; Kim, S.K. Free vibration analysis of rotating cantilever plates. AIAA J. 2002, 40, 2188–2196. [Google Scholar] [CrossRef]
- Hashemi, S.H.; Farhadi, S.; Carra, S. Free vibration analysis of rotating thick plates. J. Sound Vib. 2009, 323, 366–384. [Google Scholar] [CrossRef]
- Li, L.; Zhang, D.G. Free vibration analysis of rotating functionally graded rectangular plates. Compos. Struct. 2016, 136, 493–504. [Google Scholar] [CrossRef]
- Shabana, A.A. Finite element incremental approach and exact rigid body inertia. Trans. Am. Soc. Mech. Eng. J. Mech. Des. 1996, 118, 171–178. [Google Scholar] [CrossRef]
- Shabana, A.A.; Mikkola, A.M. On the use of the degenerate plate and the absolute nodal coordinate formulations in multibody system applications. J. Sound Vib. 2003, 259, 481–489. [Google Scholar] [CrossRef]
- Dufva, K.; Shabana, A.A. Analysis of Thin Plate Structures Using the Absolute Nodal Coordinate Formulation. Proc. Inst. Mech. Eng. Part K J. Multi-Body Dyn. 2005, 219, 345–355. [Google Scholar] [CrossRef]
- Xu, Q.P.; Liu, J.Y. An improved dynamic model for a silicone material beam with large deformation. Acta Mech. Sin. 2018, 34, 744–753. [Google Scholar] [CrossRef]
- Xu, Q.P.; Liu, J.Y.; Qu, L.Z. Dynamic modeling for silicone beams using higher-order ANCF beam elements and experiment investigation. Multibody Syst. Dyn. 2019, 46, 307–328. [Google Scholar] [CrossRef]
- Wang, T.F.; Mikkola, A.; Matikainen, M.K. An overview of higher-order beam elements based on the absolute nodal coordinate formulation. J. Comput. Nonlinear Dyn. 2022, 17, 091001. [Google Scholar] [CrossRef]
- Tang, Y.; Tian, O.; Hu, H. Efficient modeling and order reduction of new 3D beam elements withwarping via absolute nodal coordinate formulation. Nonlinear Dyn. 2022, 4, 2319–2354. [Google Scholar] [CrossRef]
- Orzechowski, G.; Fraczek, J. Nearly incompressible nonlinear material models in the large deformation analysis of beams using ANCF. Nonlinear Dyn. 2023, 82, 451–464. [Google Scholar] [CrossRef]
- Li, L.; Wang, Y.; Guo, X.; Zhang, D.G. Large deformations of hyperelastic curved beams based on the absolute nodal coordinate formulation. Nonlinear Dyn. 2023, 111, 4191–4204. [Google Scholar] [CrossRef]
- Yu, H.; Zhao, C.; Lai, X. Compliant assembly variation analysis of scalloped segment plates with a new irregular quadrilateral plate element via ANCF. J. Manuf. Sci. Eng. 2018, 140, 091006. [Google Scholar] [CrossRef]
- Xu, Q.; Liu, J. An improved dynamic formulation for nonlinear response analysis of thin soft silicone plates with large deflection. Thin-Walled Struct. 2022, 176, 109333. [Google Scholar] [CrossRef]
- Li, J.; Liu, C.; Hu, H.; Zhang, S. Analysis of elasto-plastic thin-shell structures using lavered plastic modeling and absolute nodal coordinate formulation. Nonlinear Dyn. 2021, 105, 2899–2920. [Google Scholar] [CrossRef]
- Zhao, J.; Tian, Q.; Hu, H.Y. Modal analysis of a rotating thin plate via absolute nodal coordinate formulation. J. Comput. Nonlinear Dyn. 2011, 6, 041013. [Google Scholar] [CrossRef]
- Zhang, J.; Du, X.K.; Chen, Y.Z.; Guo, X.; Li, L.; Zhang, D.G. Free vibration analysis of a rotating skew plate by using the absolute nodal coordinate formulation. Thin-Walled Struct. 2023, 188, 110840. [Google Scholar] [CrossRef]
- Li, B.; Duan, C.; Peng, Q. Parametric study of planar flexible deployable structures consisting of scissor-like elements using a novel multibody dynamic analysis methodology. Arch. Appl. Mech. 2021, 24, 1439–1455. [Google Scholar] [CrossRef]
- Yuan, T.; Tang, L.; Liu, Z.; Liu, J. Nonlinear dynamic formulation for flexible origami-based deployable structures considering self-contact and friction. Nonlinear Dyn. 2021, 106, 1789–1822. [Google Scholar] [CrossRef]













| Mode | Four-Side Fixed Boundary Conditions | Cantilever Plate Boundary Conditions | ||||
|---|---|---|---|---|---|---|
| Presented Model (Hz) | ADAMS Model (Hz) | Error (%) | Presented Model (Hz) | ADAMS Model (Hz) | Error (%) | |
| 1 | 1629.67 | 1683.34 | 3.19 | 224.49 | 226.11 | 0.72 |
| 2 | 2323.54 | 2390.50 | 2.80 | 394.06 | 389.85 | 1.08 |
| 3 | 3492.42 | 3541.77 | 1.39 | 798.77 | 781.85 | 2.16 |
| 4 | 3986.32 | 4117.98 | 3.20 | 1292.02 | 1280.20 | 0.92 |
| 5 | 4963.57 | 5004.54 | 0.82 | 1579.16 | 1559.42 | 1.27 |
| 6 | 5183.41 | 5157.05 | 0.51 | 1783.23 | 1815.29 | 1.77 |
| Rotational Speed | Mode | Miura Angle | ||||||
|---|---|---|---|---|---|---|---|---|
| 65° | 70° | 75° | 80° | 85° | 90° | 95° | ||
| Ω = 0 | 1 | 375.99 | 309.85 | 261.87 | 224.49 | 194.50 | 169.94 | 149.80 |
| 2 | 833.82 | 608.20 | 473.16 | 394.06 | 341.92 | 308.51 | 286.85 | |
| 3 | 1402.26 | 1121.08 | 901.92 | 798.77 | 742.40 | 709.36 | 676.47 | |
| 4 | 1855.48 | 1566.00 | 1401.31 | 1292.02 | 1184.77 | 1075.95 | 934.63 | |
| 5 | 2787.74 | 2209.81 | 1857.90 | 1579.16 | 1424.67 | 1267.55 | 1191.23 | |
| 6 | 3281.09 | 2621.57 | 2105.50 | 1783.23 | 1588.89 | 1526.72 | 1496.01 | |
| Ω = π/6 | 1 | 376.16 | 309.95 | 261.87 | 224.59 | 194.53 | 169.94 | 149.78 |
| 2 | 831.19 | 609.31 | 473.11 | 392.11 | 341.55 | 308.50 | 286.64 | |
| 3 | 1415.85 | 1064.98 | 893.19 | 796.47 | 737.12 | 699.00 | 674.14 | |
| 4 | 1758.00 | 1539.19 | 1399.10 | 1292.14 | 1192.44 | 1071.84 | 932.60 | |
| 5 | 2359.17 | 1905.31 | 1704.48 | 1581.55 | 1424.04 | 1257.06 | 1161.10 | |
| 6 | 3091.42 | 2578.59 | 2156.69 | 1790.06 | 1586.45 | 1527.59 | 1501.80 | |
| Ω = π/3 | 1 | 376.16 | 309.95 | 261.87 | 224.59 | 194.53 | 169.94 | 149.78 |
| 2 | 831.18 | 609.30 | 473.11 | 392.10 | 341.55 | 308.50 | 286.64 | |
| 3 | 1415.86 | 1064.97 | 893.18 | 796.47 | 737.12 | 699.00 | 674.14 | |
| 4 | 1757.97 | 1539.21 | 1399.09 | 1292.14 | 1192.44 | 1071.84 | 932.60 | |
| 5 | 2359.29 | 1905.35 | 1704.50 | 1581.56 | 1424.03 | 1257.06 | 1161.10 | |
| 6 | 3091.38 | 2578.54 | 2156.66 | 1790.04 | 1586.46 | 1527.59 | 1501.80 | |
| Mode | Length of Trapezoidal Bottom (m) | ||||||||||
|---|---|---|---|---|---|---|---|---|---|---|---|
| 0.1 | 0.12 | 0.14 | 0.16 | 0.18 | 0.2 | 0.22 | 0.24 | 0.26 | 0.28 | 0.3 | |
| 1 | 963.32 | 665.99 | 484.67 | 365.32 | 283.08 | 224.59 | 182.00 | 150.15 | 125.83 | 106.88 | 91.86 |
| 2 | 1610.96 | 1075.48 | 767.20 | 585.19 | 470.08 | 392.11 | 335.53 | 293.03 | 259.84 | 233.20 | 211.36 |
| 3 | 2180.21 | 1528.77 | 1205.43 | 1012.47 | 885.39 | 796.47 | 731.65 | 681.62 | 639.52 | 595.54 | 538.66 |
| 4 | 2971.91 | 2331.94 | 1990.90 | 1779.66 | 1570.74 | 1292.14 | 1073.62 | 904.18 | 774.98 | 683.01 | 630.41 |
| 5 | 4199.89 | 3473.21 | 2663.04 | 2056.80 | 1710.16 | 1581.55 | 1413.01 | 1197.72 | 1027.30 | 895.26 | 791.32 |
| 6 | 5235.74 | 3707.89 | 3216.03 | 2839.61 | 2220.51 | 1790.06 | 1574.34 | 1511.22 | 1472.36 | 1404.63 | 1292.22 |
| Mode | Plate Height (m) | |||||||||
|---|---|---|---|---|---|---|---|---|---|---|
| 0.2 | 0.24 | 0.26 | 0.28 | 0.3 | 0.32 | 0.34 | 0.36 | 0.4 | 0.5 | |
| 1 | 206.68 | 214.38 | 218.01 | 221.44 | 224.59 | 227.53 | 230.12 | 232.36 | 235.80 | 239.75 |
| 2 | 475.56 | 430.43 | 414.42 | 401.73 | 392.11 | 384.48 | 379.24 | 375.90 | 374.08 | 387.22 |
| 3 | 1211.98 | 1031.35 | 936.35 | 859.07 | 796.47 | 745.81 | 704.18 | 669.84 | 617.66 | 550.31 |
| 4 | 1418.41 | 1304.68 | 1300.53 | 1298.20 | 1292.14 | 1286.29 | 1259.42 | 1194.83 | 1054.72 | 839.59 |
| 5 | 1780.51 | 1729.65 | 1720.37 | 1693.78 | 1581.55 | 1453.03 | 1360.59 | 1324.97 | 1309.81 | 1250.44 |
| 6 | 2907.42 | 2328.93 | 2043.37 | 1846.75 | 1790.06 | 1791.41 | 1802.51 | 1812.90 | 1740.59 | 1334.61 |
| Mode | Plate Thickness (m) | ||||
|---|---|---|---|---|---|
| 0.001 | 0.002 | 0.005 | 0.01 | 0.02 | |
| 1 | 44.93 | 89.85 | 224.59 | 449.26 | 898.52 |
| 2 | 78.38 | 156.75 | 392.11 | 783.76 | 1567.52 |
| 3 | 159.32 | 318.64 | 796.47 | 1593.21 | 3186.43 |
| 4 | 258.92 | 517.84 | 1292.14 | 2589.19 | 5178.37 |
| 5 | 316.49 | 632.99 | 1581.55 | 3164.86 | 6081.70 |
| 6 | 357.77 | 715.51 | 1790.06 | 3577.60 | 6329.71 |
Disclaimer/Publisher’s Note: The statements, opinions and data contained in all publications are solely those of the individual author(s) and contributor(s) and not of MDPI and/or the editor(s). MDPI and/or the editor(s) disclaim responsibility for any injury to people or property resulting from any ideas, methods, instructions or products referred to in the content. |
© 2025 by the authors. Licensee MDPI, Basel, Switzerland. This article is an open access article distributed under the terms and conditions of the Creative Commons Attribution (CC BY) license (https://creativecommons.org/licenses/by/4.0/).
Share and Cite
Guo, Y.; Guo, X.; Li, M.; Zhang, J.; Zhang, D.; Wu, J. Dynamics Modeling and Analysis of Rotating Trapezoidal Flexible Plate System with Large Deformation. Aerospace 2025, 12, 135. https://doi.org/10.3390/aerospace12020135
Guo Y, Guo X, Li M, Zhang J, Zhang D, Wu J. Dynamics Modeling and Analysis of Rotating Trapezoidal Flexible Plate System with Large Deformation. Aerospace. 2025; 12(2):135. https://doi.org/10.3390/aerospace12020135
Chicago/Turabian StyleGuo, Yongbin, Xian Guo, Ming Li, Jing Zhang, Dingguo Zhang, and Jiajun Wu. 2025. "Dynamics Modeling and Analysis of Rotating Trapezoidal Flexible Plate System with Large Deformation" Aerospace 12, no. 2: 135. https://doi.org/10.3390/aerospace12020135
APA StyleGuo, Y., Guo, X., Li, M., Zhang, J., Zhang, D., & Wu, J. (2025). Dynamics Modeling and Analysis of Rotating Trapezoidal Flexible Plate System with Large Deformation. Aerospace, 12(2), 135. https://doi.org/10.3390/aerospace12020135
