Next Article in Journal
Variations in Heart Rate Variability and Physiological Responses during Analog Space Missions: An Exploratory Study
Previous Article in Journal
Research on Chip Removal Performance of Rotary Percussive Ultrasonic Drill for Planetary Rock Sampling
 
 
Font Type:
Arial Georgia Verdana
Font Size:
Aa Aa Aa
Line Spacing:
Column Width:
Background:
Article

Numerical Analysis of Liquid Hydrogen Atomization in a Premixing Tube Using a Volume of Fluid-to-Discrete Particle Model Approach

1
College of Energy and Power Engineering, Nanjing University of Aeronautics and Astronautics, Nanjing 210016, China
2
Department of Mechanical Engineering, College of Engineering, Karary University, Omdurman 12304, Sudan
3
Collaborative Innovation Center for Advanced Aero-Engine, Beijing 100191, China
*
Author to whom correspondence should be addressed.
Aerospace 2024, 11(10), 832; https://doi.org/10.3390/aerospace11100832
Submission received: 29 August 2024 / Revised: 24 September 2024 / Accepted: 30 September 2024 / Published: 10 October 2024
(This article belongs to the Section Aeronautics)

Abstract

This paper examines the atomization characteristics of liquid hydrogen fuel in a premixing tube under different operating conditions. Hydrogen fuel’s unique injection morphology and atomization behavior were analyzed using the Volume of Fluid-to-Discrete Particle Model (VOF to DPM) approach, coupled with the SST k ω turbulence model and adaptive mesh refinement. The study revealed that the breakup and transformation of liquid surfaces into particles are significantly impacted by varying air velocities and injection pressure. Specifically, higher air velocities caused the liquid sheet to lengthen and narrow due to intensified vortices. However, the breakup was delayed at higher velocities, occurring at distances of 0.037 m and 0.043 m for air velocities of 10 m/s and 20 m/s, respectively. The research also highlights the significant role that injection pressure plays in fluid sheet breakup. Higher pressures promote better atomization and fuel–lair mixing, resulting in more particles with increased diameters. Notably, the fluid sheet exhibited a small angle of about 43.79° when using the velocity component corresponding to p1 = 0.5 MPa. Similarly, for p2 = 1 MPa and p3 = 2 MPa, the angles were measured to be approximately 47.5° and 49.5°, respectively. Additionally, the study observed that the injection expands in length and diameter as time progresses, indicating fuel dispersion. These insights have significant implications for the design principles of injectors in power generation technologies that utilize liquid hydrogen fuel.

1. Introduction

Hydrogen-based propulsion systems require a deep understanding of how liquid hydrogen (LH2) fuel is atomized. Atomization is a process that involves breaking down a liquid into smaller particles or droplets, thereby increasing the surface area [1]. This process is essential for various applications, such as combustion [2], and evaporative cooling where rapid evaporation and mixing with a gaseous medium are crucial. The atomization process of liquid fuel is a complex phenomenon that directly affects the combustion efficiency, stability, and pollutant emissions [3,4]. Achieving efficient atomization and mixing with air in premixing tubes is crucial to ensure reliable and clean combustion in various applications such as aerospace propulsion and power generation technologies [5,6,7]. However, traditional atomization models that utilize atomization devices like pressure-swirl airblast atomizers, and pintle injectors consider the sprayed liquid fuel as separate particles [8,9,10]. This process significantly impacts spray performance and is primarily controlled by the velocity of mixing air, spray angle, and pressure, affecting mixing characteristics.
Currently, numerous studies have been conducted on the atomization performance of gas–liquid injectors to research their efficiency in atomization. Li et al. [11] conducted a study to investigate the size distribution and evaporation characteristics of fuel spray from a swirl-type atomizer used in direct injection (DI) gasoline engines. The size, velocity, and concentration of droplets in liquid and vapor phases were examined using several laser diagnostic techniques. The study found that droplets at the outer zone of the spray were larger than those at the inner zone. It was also observed that higher ambient pressures reduced the strength of the spray-induced ambient airflow, which affected the droplet size distribution. Xu et al. [12] conducted a detailed three-dimensional numerical simulation to evaluate the impact of main fluid parameters on atomization performance and combustion efficiency in LOX/methane engines. It compared the performance of shear coaxial and swirl coaxial injectors under different methane injection temperatures, providing insights into the design principles for injector optimization. The results highlighted how the propellant momentum ratio and Weber number influence heat flux, combustion stability, and atomization, focusing on achieving stable and efficient combustion under varying conditions. He et al. [13] presented a numerical study on the effects of fuel and air injection sequences on effervescent spray formation in two-stroke aviation engines. It contrasts the separate operation sequences of the air-assisted atomizer with the synchronous fuel/air injection of conventional atomizers. Zhang et al. [14] investigated the atomization process of liquid jets in transverse airflow. The study covers breakup mechanisms, atomization characteristics, and factors affecting atomization. They found that pulsed jets offer an effective solution for enhancing fuel jet penetration depth and for increasing gas–liquid mixing efficiency in conventional combustion chambers by reducing pollutant emissions and improving combustion stability.
In reality, the liquid fuel starts as a thin sheet and then fragments into particles. As a result, computational fluid dynamics (CFD) approaches have become essential for studying and optimizing the atomization process [15,16]. This allows researchers to account experimentally and numerically for this phenomenon more accurately [17,18,19]. Shi et al. [18] conducted a simulation study on the atomization process in liquid rocket engines (LREs) using a gas–liquid pintle injector. They employed the Volume of Fluid-to-Discrete Particle Model (VOF to DPM) and adaptive mesh refinement to investigate the breakup dynamics and spray morphology under periodic conditions. The study found that the breakup mechanism involved column breakup due to Rayleigh–Taylor instability and surface breakup from the Kelvin–Helmholtz instability. It also noted the occurrence of “flow interruption” and additional disturbance waves, which were influenced by the variation in liquid jet velocity. Najafi et al. [20] introduced a novel injector-type pulsed pressure-swirl (PPS), combining pressure-swirl and ultrasonic pulsed injectors to produce finer droplets and reduce breakup length. Experimental and numerical analyses were conducted to study droplet formation, size distribution, and the impact of injection pressure and pulse frequencies on droplet characteristics. Liu et al. [21] presented a numerical investigation into sustainable aviation biofuel (SAF) atomization characteristics, comparing it with Chinese aviation fuel RP-3 using the Fluent software, version 2022 R1. They used VOF and DPM models to explore variations in atomization properties under different pressures and nozzle configurations. Findings indicate that SAF exhibits favorable atomization properties, with potential for aviation fuel use due to its smaller Sauter mean diameter and increased spray penetration distance at higher pressures. Alam et al. [2] present experimental and numerical studies on hydrogen–air premixed combustion in a microtube with a converging–diverging structure. The research investigates the stability of hydrogen–air premixed flames in a microtube, revealing an expanded stable combustion range influenced by the tube’s converging–diverging geometry. It examines the effects of equivalence ratio and inlet velocity on flame behavior, noting that the flame thickness and length vary with these parameters. The study also explores heat loss and combustion efficiency, highlighting the significant heat loss to the environment and its impact on combustion performance. Yang et al. [22] conducted experimental and numerical studies on premixed hydrogen–air combustion in a microtube with a converging–diverging structure. The study aimed to investigate the impact of inlet velocity (VIN)-and-equivalence ratio (F) on flame and combustion stability characteristics. The research revealed that the converging–diverging structure significantly broadens the stable combustion range, particularly at F = 1.4. The study also examined how F and VIN affect wall and flame temperatures, thickness, and ignition positions. Radhakrishnan et al. [23] conducted a research study on the formation of sheets and the primary breakup of gelled kerosene and gelled hydrogen peroxide in a pintle injector. The study utilized the Volume of Fluid (VOF) method to investigate how varying pintle opening distances affect the formed sheets’ breakup length, wavelength, and amplitude. The research also analyzed the viscosity distributions and flow behavior of the gel propellants, highlighting their non-Newtonian characteristics and their impact on atomization processes. Yang et al. [24] developed a new approach using the Volume of Fluid-to-Discrete Phase Model (VOF-to-DPM) to analyze the effect of inlet mass flow rate oscillation on the injectors of liquid rocket engines. This method simulates the spray process of a simplex swirl injector under different oscillations, providing valuable insights into the injector’s response and spray characteristics. In their study, Liu et al. [25] investigated the characteristics of a swirl injector’s spray and dynamic response. Specifically, they focused on the effects of flow pulsation and injector geometric parameters on atomization features. They also examined how injector geometric parameters, such as tangential channel diameter and swirl chamber length, affect spray performance. They found that the steady incoming pressure drop had the opposite effect. Jeong et al. [26] conducted a study on the periodic breakup of a spray sheet in swirl injectors. They investigated how self-excited instability affects the spray sheet’s static and dynamic characteristics. Their study reveals that the frequency of self-excited instability is crucial in predicting the length of the breakup and the distribution of droplet sizes. Qin et al. [27] introduced a theoretical model that explains the atomization process in airblast-breaking liquid sheets. The model extends the two-staged breakup model for cylindrical jets to planar sheets and includes gas compressibility and viscosity through a classical linear stability analysis. The results align well with previous experimental data, indicating that gas compressibility and viscosity have a minimal impact on the mean droplet size in the first breakup stage.
In reality, fuel injection flow behavior commences with forming a thin sheet of liquid fuel as it exits the injector. This thin sheet is highly unstable and is quickly fragmented due to various forces. The breakup of the sheet results in the formation of ligaments and droplets, which further disintegrate into smaller particles. This process, known as atomization, is critical for efficient combustion as it increases the surface area of the fuel, facilitating better mixing with the oxidizer and enhancing the overall combustion process. Understanding this behavior is crucial for optimizing fuel injection systems in various applications, including internal combustion engines and gas turbines.
The Volume of Fluid (VOF)-to-Discrete Phase Model (DPM) method combines the strengths of both VOF and DPM, allowing for a more accurate simulation of the atomization process by tracking the interface between liquid and gas phases and simulating the motion of discrete particles. The atomization process of liquid hydrogen has not been thoroughly studied using the VOF-to-DPM method. Existing research has typically treated the sprayed liquid fuel as individual particles, indicating a gap in the literature. Therefore, this study aims to fill this gap by exploring the atomization characteristics of liquid hydrogen under various conditions. Specifically, the study focuses on the influence of mixing air velocity and injection pressure on the atomization process, using the VOF-to-DPM method, S S T k ˘ ω turbulence model, and octree adaptive mesh refinement for a comprehensive analysis. The research provides valuable insights into the unique spray morphology and atomization characteristics of hydrogen fuel in a premixing tube under different operating conditions, which can serve as a reference for pintle injector design.

2. Computational Domain Description

The premixing swirl tube is an important part of the turbine engine combustor. It is carefully designed to mix fuel and air before combustion begins, and was used in our prvious study [28]. Figure 1 shows a diagram of the swirl premixer tube, which has a complex design and carefully placed components that help mix fuel and air effectively. The swirl number, which describes the intensity of the swirl in the flow, is calculated by the equation introduced in [29]. The dimensions of the premixing tube used in this investigation are provided in Table 1.
At the tube’s entrance, fifteen swirl blades induce a rotational motion in the incoming airstream. This facilitates a more homogeneous fuel–air mixture and enhances combustion efficiency. Compressed air from the engine’s compressor is carefully introduced into the tube through the air inlet, incorporating a controlled swirl to optimize the mixing dynamics. Next, fuel is injected into the vortex of swirling air through a strategically positioned nozzle, initiating the atomization process that breaks down the fuel into minuscule droplets. This maximizes the surface area available for efficient mixing. The atomized fuel droplets then become entrained within the swirling air, promoting extensive mixing and ensuring a uniform fuel–air blend. As the mixture progresses toward the outlet of the swirl tube, it attains a state of thorough mixing with a well-distributed fuel composition. This is essential for effective and stable combustion.
This detailed description aims to comprehensively understand the physical model, emphasizing the design considerations and operational aspects of the premixing swirl tube within a turbine engine combustor. The explanation highlights the importance of each component and its role in the mixing process.

3. Simulation Methodology

3.1. Governing Equations

The VOF-to-DPM model described in this study combines the Volume of Fluid (VOF) method for tracking the interface between the liquid and gas phases, and the Discrete Phase Model (DPM) for simulating the motion of discrete particles. Below is a detailed mathematical model and governing equations.

3.1.1. Volume of Fluid (VOF) Method

The VOF method is used to track the volume fraction of each phase within a computational cell. The continuity equation for the liquid phase is given by
1 ρ l t ( α l ρ l ) + · ( α l ρ l v l ) = 0
where α l is the volume fraction of the liquid phase, ρ l is the density of the liquid phase in (kg/m3), and v l is the velocity vector of the liquid phase in (m/s).
The volume fraction of the gas phase α g and the liquid phase must sum up to 1:
α l + α g = 1
The equation below represents the time-dependent explicit VOF model used to solve the volume fraction equation:
α l n + 1 ρ l n + 1 α l n ρ l n Δ t V + f ρ l U f n α l ,   f n = 0
where n is the number of steps, α l ,   f is the volume fraction of the liquid phase at the face (interface) at the current time step, and V is the volume of the computational cell in (m3).
The momentum conservation equation is
( ρ v ) t + · ( ρ v v ) = p + · [ μ ( v + ( v ) T ) ] + ρ g + F
where ρ is the density of the mixture, v is the velocity vector of the mixture, p is the pressure, μ is the dynamic viscosity, and g is the gravitational acceleration. This equation is part of the continuum surface force (CSF) model, which considers surface tension as a continuous effect across the fluid interface. F is the force due to surface tension, which can be express as
F = σ i j ρ κ i α i ( 1 2 ρ i + ρ j )
where σ represents the surface tension coefficient (N/m), κ is the free surface curvature, α i is the gradient of the expressed fraction of phase i, and ρ i and ρ j are the densities of the two phases involved.

3.1.2. Discrete Phase Model (DPM)

The DPM tracks the motion of discrete particles through the Lagrangian framework. The force balance on a particle is given by Newton’s second law:
m p d u p d t = m p v l u p τ r + m p g ρ p ρ ρ p + F
where m p is the mass of the particle (kg); u p is the particle velocity (m/s); g is the acceleration due to gravity; ρ p and ρ are the densities of the particle and fluid, respectively; μ is the dynamic viscosity of the fluid; d p is the particle diameter; v l is the liquid phase velocity (m/s); F is the force acting on the particle; m p v l u p τ r is the drag force (N); and τ r is the relaxation time (s) calculated by
τ r = ρ p d p 2 18 μ 24 C d R e
where ρ p is the particle’s density, d p is the particle’s diameter, the fluid’s dynamic viscosity is μ , C d is the drag coefficient, and the relative Reynolds number R e can be written as
R e = ρ d p | u p v l | μ
The VOF-to-DPM transition algorithm detects liquid lumps apart from the liquid core, which are then converted to Lagrangian particle parcels if they meet specific size and shape criteria. This allows for the simulation of the atomization process, capturing both the liquid sheet’s continuous phase and the droplets’ discrete phase. This model is beneficial for simulating complex multiphase flows, such as those encountered in impinging jet atomization processes. The coupling of VOF and DPM enables the detailed analysis of the breakup and formation of droplets, which is critical for optimizing devices.

3.2. Simulation Settings and Boundary Conditions

The atomization simulation utilized the adaptive mesh refinement (AMR) technique to adjust the resolution of specific mesh regions. To accurately capture changes in topology, grids with a small-length scale were used to refine regions near the interface of the liquid and gas. The AMR approach in this study employed a gradient-based criterion using the volume fraction, as the interface has a high gradient. This algorithm ensured the generation of adequately refined grids while preventing the excessive dissipation of kinetic energy [30]. Table 2 presents the material properties used in the simulation. To convert liquid mass detached from the liquid core into particles, the VOF-to-DPM model was employed using ANSYS-FLUENT. The secondary breakup of atomization was solved using the Taylor Analogy Breakup (TAB) model.
The model employs a transient approach with a first-order implicit time discretization. The multiphase model utilizes a VOF-to-DPM (Volume of Fluid-to-Discrete Phase Model) strategy, with an explicit VOF model and Geo-Reconstruct for volume fraction discretization. The secondary breakup is modeled using the Taylor Analogy Breakup (TAB) method. The viscous model is based on the SST k ω with the Stress-Blended Eddy Simulation (SBES) Model for turbulence. This model is recommended for VOF-to-DPM model simulations because it can accurately predict flow separation and handle adverse pressure gradients, typical in complex multiphase flows [31]. Pressure–velocity coupling is achieved through the PISO algorithm, and momentum is discretized using a second-order upwind method. The pressure discretization employs the PRESTO! method. No slip condition is assumed for shear. The time step is set at timesteps = 1 × 10 8 s, and surface tension effects are accounted for using the continuum surface force (CSF) model. This configuration is designed to capture the complex interfacial dynamics involved in the atomization process.
In this simulation, several boundary conditions are crucial for accurately capturing the spray’s behavior. At the start, the entire fluid region is occupied by air, and no liquid is present. The input velocity boundary is modified at the air inlet to create a swirling airflow. Fuel is injected into this swirling airflow from a fuel inlet located at the injection point of the fuel nozzle. A non-slip boundary shear condition is enforced at the wall, and a pressure-out condition is applied at the mixture outlet.

3.3. Grid Independence Study

In the grid independence study, selecting an appropriate mesh resolution ensures reliable and accurate numerical simulations. The structured poly-hexa mesh type was chosen for its ability to provide a well-organized and geometrically precise mesh, as shown in Figure 2.
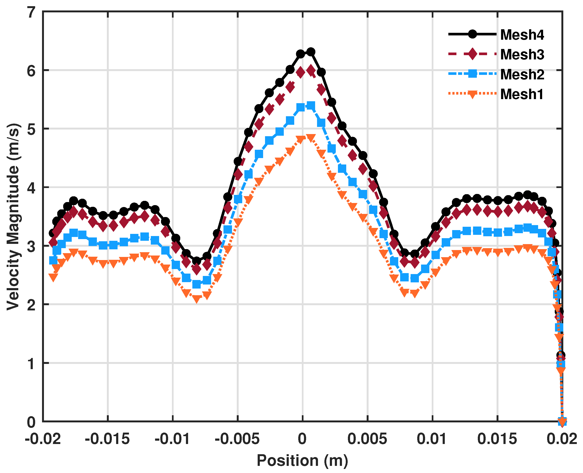
Four different meshes were created, each with various cells: 460,200, 640,126, 810,418, and 1,010,325. These meshes were generated to evaluate their impact on the computed results, specifically focusing on the velocity values at a specific location (X = 0.08 m). A comparative analysis was conducted to determine the grid independence. The velocity values obtained from each mesh were carefully examined and compared against each other, as illustrated in Figure 3. The goal was to ascertain whether further refinement of the mesh (i.e., increasing the number of cells) would significantly change the computed results.
Upon evaluating the results, it was observed that the grid with 460,200 cells did not exhibit grid-independent behavior. Therefore, this particular grid configuration was deemed unsuitable for this study, as it did not provide the desired level of grid independence. In contrast, the grid with 810,418 cells demonstrated consistent and reliable results throughout the study. the maximum velocity was 7.06 m/s, which is close to the result of the grid of 1,010,325 cells, 7.3 m/s, with a deviation of around 2.7 percent. The computed velocities on this grid showed minimal variation even with further mesh refinement. Additionally, this grid resolution balanced accuracy and computational cost, making it a favorable choice for the study. By selecting the grid with 810,418 cells, the study ensured that the computed results were reliable, consistent, and not significantly influenced by further mesh refinement. Refining the mesh further did not result in consistent or substantially different velocity values. In addition, mesh adaption is used in this simulation, which means the grid is further adapted when the fluid sheet converts to particles.
Overall, the grid independence study emphasized the importance of selecting an appropriate mesh resolution to achieve reliable and accurate results in numerical simulations. It concluded that the grid with 810,418 cells was the optimal choice for the specific study, considering both accuracy and computational efficiency.

3.4. Numerical Model Validation

Liquid hydrogen’s atomization behavior is unique compared to other liquid fuels due to its distinct properties and working conditions. Factors such as density, viscosity, surface tension, and volatility significantly influence the atomization process, affecting droplet size, distribution, and spray patterns. Despite these differences, the general shape and angle of the liquid sheet during injection are often similar across different fuels. Therefore, the numerical model was validated using data from the paper [20] on heavy fuel oil atomization with a pressure-swirl injector. Figure 4 displays a comparison of iso-surfaces between this work and the reference. The proposed approach yielded results that closely matched those of [20], with a simulation error of approximately 4.6%, indicating the method’s acceptability for spray angle prediction. While there are differences in fuel ligament due to the type of fuel used in this study, the error between the two simulation methods is less than 5%, demonstrating the accuracy of the transition mechanisms in the proposed method.

4. Results and Discussion

4.1. Stages of Sheet Formation and Its Transformation into Particles

In this simulation, the focus is on studying the process of hydrogen fuel injection using pressure-swirl injection. This injection method involves transferring fuel from the fluid surface to discrete particles. The purpose of the simulation is to analyze the behavior and evolution of the injected fuel over time. To set up the simulation, specific conditions were applied at the inlet boundaries. The air velocity and radial velocity were set to low values, specifically 2.58 and 9.89, respectively. The axial velocity was set to 18.93 to facilitate fluid injection. The results of the simulation are visualized in Figure 5, which displays iso-surfaces representing the fluid transfer process at different time intervals. Nine iso-surfaces were plotted, covering a time range from 0.15 ms to 2.4 ms. These iso-surfaces provide a clear depiction of how the injection process evolved during this time. At the initial stage (t = 0.15 ms), the fluid sheet is not fully developed, and some of the fluid exists outside the sheet. This is attributed to lower velocities and pressures in certain areas of the premixing tube. The injection starts as a small and concentrated stream with a specific length and diameter. As time progresses, the injection gradually expands both in length and diameter, indicating the dispersion of the fuel. The fluid sheet also undergoes expansion and becomes more coherent, reflecting the progress of the injection process. By t = 0.4 ms, the fluid sheet reaches a length of 4.1 mm, indicating significant advancement. In Figure 5, an interesting observation is the formation of a ring-like shape at the front of the injection, accompanied by the clustering of small particles. This suggests a certain pattern in the behavior of the injected fuel. At the final time point (t = 2.4 ms), the fluid containing small particles has a length of 24.8 mm, measured from the end of the fluid sheet surface. This indicates the extent of expansion and dispersion achieved by the injection process.
Figure 6 shows the transfer process of the fluid sheet to discrete particles over time. In the observed figure, it is evident that the fluid particles undergo a conversion process into discrete particles from a very early stage at t = 0.15 ms. These Discrete Phase Model (DPM) particles exhibit a range of sizes, with diameters ranging from 2 × 10 6 m to 3.95 × 10 4 m. These particles’ conversion and subsequent behavior can be explained by considering the collision and movement dynamics within the system. As the fluid converts into particles in the system, it interacts with the surrounding air and collides with other particles. These collisions play a significant role in the conversion of fluid particles into DPM particles. Upon collision, the fluid particles acquire discrete characteristics and transform into individual DPM particles, each with its size and trajectory. This phenomenon can be observed as the flow time increases, such as at t = 3.15 ms.
The collision dynamics are influenced by various factors, including the velocities and densities of the particles, as well as the local flow conditions. When fluid particles collide, they transfer a portion of their volume to the resulting DPM particles. This volume transfer occurs due to the exchange of mass and momentum during the collision event. Consequently, the DPM particles grow in size as they accumulate the transferred fluid volume. Furthermore, the movement of the DPM particles within the system also contributes to the redistribution of fluid volume among particles of different sizes. The particles experience forces such as drag, gravity, and turbulent fluctuations, which cause them to move along distinct paths. As the DPM particles move, they encounter other particles, leading to further collisions and potential volume transfer.
Overall, the conversion of fluid particles to DPM particles, along with the subsequent size distribution, results from the collision and movement dynamics within the system. The collision events facilitate the transformation of fluid particles into discrete entities, while the movement of DPM particles enables the redistribution of fluid volume among particles of varying sizes. Understanding these processes is crucial for accurately modeling and predicting the behavior of particle systems in various engineering and scientific applications. Eventually, the injected fuel transforms into DPM particles, which are crucial for accurately modeling the mixing process. This dynamic evolution of fuel injection from pressure-swirl injection to DPM particles is critical to understanding and optimizing mixing processes.

4.2. Effect of the Air Inlet Velocity on the Breakup Process

To investigate the impact of air velocity on the mixing process, the air velocity in the premixing tube was varied from 0 to 20 m/s with 10 m/s increments. At the same time, the fuel inlet parameters were kept constant at low pressure. Figure 7 illustrates the iso-surface of hydrogen at different inlet velocities at two time instances: t = 1 ms and t = 3 ms. The results indicate that air velocity significantly influences premixing and the transformation of liquid surfaces into particles. When the air velocity is 0 m/s (Figure 7a,b), the tube is filled with air, and the liquid hydrogen encounters minimal resistance, causing it to assume a regular swirl injection shape. At t = 1 ms, the liquid surface measures 4 mm, 4.4 mm, and 5.2 mm in length at air velocities of 0 m/s, 10 m/s, and 20 m/s, respectively, as shown in Figure 7a,c,e. Upon reaching t = 3 ms, the continuous sheet length expands to 4.9 mm at an air velocity of 0 m/s while maintaining a constant diameter of 4 mm Figure 7b. The plot demonstrates that once the continuous surface length reaches 4 mm, it breaks into smaller parts and ligaments before transitioning into particles, resulting in a larger diameter than at higher air velocities. At air velocities of 10 m/s and t = 1 ms, the liquid sheet measures a length and diameter of 4.4 mm and 3.9 mm, respectively, and creates a swirl due to the presence of swirl blades, influencing the shape of fuel injection Figure 7d. With an air velocity of 20 m/s, this swirl intensifies, further impacting the fuel diameter (which decreases to 2.8 mm), while the length increases from 5.2 mm to 6 mm (Figure 7f). These swirls influence the breakup of liquid sheets and ligaments before they transform into smaller particles.
Figure 8 shows the velocity contour at t = 2 ms at the center of the premixing tube. The analysis shows that the air inlet velocity affects the injected fuel and the shape of the sheet and ligament. We can observe these effects by examining the contours of three different velocities on a plane at the center of the premixing tube. The fluid sheet appears to have a larger spray angle or diameter at a low velocity (Figure 8a), as indicated by a more beige spray area. As the velocity increases, this spray angle or diameter decreases, as shown in Figure 8b,c. Additionally, the analysis showed that the break and ligament start early. This implies that at low velocities, the breakup of the fuel into ligaments occurs earlier than at higher velocities.
The analysis reveals that the fluid sheet exhibits a narrower injection angle or diameter as the air inlet velocity increases, and the break and ligament formation is delayed. This observation is supported by Figure 9, which illustrates the diameter and location of particles in the premixing tube at t = 1 ms and t = 3 ms for various velocities. At low velocities, the fluid sheet starts to break near the injection inlet, approximately 0.036 m from the flow direction at t = 1 ms, with a particle diameter range of 2 × 10 5 m to 2.23 × 10 4 m. The breakup, however, is delayed at higher velocities, occurring at distances of 0.037 m and 0.043 m for air velocities of 10 m/s and 20 m/s, respectively (Figure 8b,c). This delay is consistent with the earlier breakup seen at low velocity in Figure 7. At t = 3 ms, particles at low velocity possess smaller diameters than those at high velocity. Furthermore, the particle count is higher at low velocities, potentially due to longer residence times (Figure 9b,d,f).
Additionally, the analysis showed the particle diameter and location in the premixing tube at different time intervals and velocities. This information can provide insights into the behavior of fuel particles under varying air inlet velocities and their subsequent impact on combustion.
The analysis provided valuable insights into the effects of air inlet velocity on the injected fuel and the shape of the sheet and ligament. It revealed that increasing the air inlet velocity leads to a narrower injection angle or diameter of the fluid sheet. This practical implication suggests that the fuel is dispersed more compactly at higher velocities, potentially resulting in better atomization and mixing efficiency. The analysis also highlighted that the break and ligament formation is delayed as the air inlet velocity increases. This delay suggests that the fuel remains in a more coherent sheet longer before breaking into ligaments. This phenomenon can have significant implications for the design and operation of premixing tubes, affecting the injection pattern and fuel distribution within the premixing tube.
The results demonstrate that varying the air velocity in the premixing tube affects the liquid surface’s length, diameter, and breakup characteristics. Higher air velocities induce stronger vortices, resulting in smaller fuel diameters and longer liquid surface lengths.
Figure 10a depicts the velocity magnitude along the flow direction for various air inlet velocities. At low velocities, the injected fuel possesses sufficient pressure compared to the surrounding air, increasing its velocity to 17.6 m/s. This trend continues up to a distance of x = 0.058 m. As the inlet velocity increases, the magnitude reaches 16.9 m/s at a distance of 0.065 m and subsequently decreases to 7.9 m/s due to the swirl effect. In contrast, for an inlet velocity of 20 m/s, the magnitude remains at 16.2 m/s within a distance range of 0.068 to 0.07 m. This indicates a smaller diameter of the injection and lower magnitudes compared to the other two cases. Notably, in all cases, the velocity within the premixing tube is smaller than the inlet velocity due to drag caused by the fuel injection. Additionally, the turbulent kinetic energy exhibits similar behavior, with the highest value of 50 m2/s2 observed at an air inlet velocity of 0 m/s, which then decreases to 8 m2/s2 and 3 m2/s2 for the respective air inlet velocities of 10 m/s and 20 m/s, as illustrated in Figure 10b.

4.3. Effect of the Injection Pressure on the Fluid Sheet on the Breakup

The effect of injection pressure on the fluid sheet breakup was investigated in this simulation. The injection pressure was converted to a velocity field, and three different pressure levels, labeled as p1, p2, and p3, were considered. The air inlet velocity was kept constant at 10 m/s. The radial, tangential, and axial velocity components for p1 were 2.58 m/s, 9.89 m/s, and 18.93 m/s, respectively. For p2, the corresponding velocities were 5.1 m/s, 36 m/s, and 42.2 m/s; and for p3, they were 8 m/s, 48 m/s, and 42 m/s, respectively.
Figure 11 presents the iso-surface of the fluid sheet for the different injection pressures. It is observed that when the velocity component corresponding to p1 was used, the fluid sheet exhibited a small angle of about 43.79°. Similarly, for p2 and p3, the angles were measured to be approximately 47.5° and 49.5°, respectively. The results indicate that the sheet length and diameter increase with increasing velocity components at the same flow time. This phenomenon aids in the breakup process and conversion of the fluid sheet into fluid particles. These findings deepen our understanding of the system and inspire us to explore innovative applications and solutions in our professional practice.
To further analyze the transfer process, Figure 12 displays the particles from the three cases at the same flow time on the premixing tube. It is evident that higher injection pressures result in more particles with larger diameters, as depicted in Figure 12a. Additionally, the travel distance of the particles from the fuel inlet, as shown in Figure 12b, is approximately 4.9 mm.
These findings suggest that increasing the injection pressure leads to enhanced breakup of the fluid sheet into smaller particles. This effect can be attributed to the increased velocity, which promotes greater dispersion and atomization. The higher number of particles and their increased diameters indicate improved fuel–air mixing, which can positively impact combustion efficiency.
Overall, the results highlight the significance of injection pressure in controlling the breakup process and subsequent particle formation, emphasizing the importance of optimizing injection parameters to achieve desired fuel atomization and mixing characteristics.
In addition to the previously discussed cases, two more cases were conducted with different radial, tangential, and axial velocity components. The first case, labeled as Case 1, had velocity components of 2.58 m/s, 9.89 m/s, and 18.93 m/s, while the second case, labeled as Case 2, had velocity components of 4.12 m/s, 17.06 m/s, and 29.96 m/s. Figure 13 illustrates the fluid sheet and ligament breakup for the two velocity components at the same flow time. It is evident from Figure 13b that the high-velocity component in Case 2 resulted in a higher breakup rate and longer travel distance of approximately 40 mm compared to Case 1, depicted in Figure 13a. In Case 1, the fluid sheet appeared longer with fewer ligaments and shorter travel distances.
The particle number was higher in Case 2 due to the increased breakup caused by the higher injection velocity, as shown in Figure 14. This indicates that the higher velocity component promotes more effective atomization and dispersion of the fuel, resulting in a larger number of smaller particles. Figure 15 presents the velocity contour, highlighting the differences between the two cases. The fluid sheet in Case 2 exhibits a higher breakup rate and larger diameter compared to Case 1.
To further analyze the flow characteristics, Figure 16 displays the velocity and turbulent kinetic energy along a vertical line close to the fuel inlet, specifically at a distance of 9 mm from the fuel inlet. The results show a significant difference in the velocity magnitude between the two cases, with a variation of 6 m/s in the sheet area. This behavior is consistent with the turbulent kinetic energy, which reaches a maximum value of 30 m2/s2 in the injection area for Case 2, indicating enhanced turbulence and mixing.
These findings emphasize the influence of the injection velocity components on the breakup and atomization process. Higher injection velocities lead to increased breakup rates, longer travel distances, and higher particle numbers. The observed differences in velocity magnitude and turbulent kinetic energy further support the notion that higher injection velocities result in improved fuel–air mixing, positively affecting combustion efficiency.
Overall, these additional cases provide further evidence of the significant impact of injection pressure and velocity on the fluid sheet breakup and subsequent atomization process, underscoring the importance of carefully selecting and optimizing these parameters in practical applications.

5. Conclusions

This study examined the atomization and fuel–air mixing of liquid hydrogen in a premixing tube using the VOF-to-DPM approach. The research thoroughly examined how hydrogen fuel behaves when injected and atomized under different operating conditions. The conclusions drawn from the results are as follows:
  • Varying air velocities significantly affected the breakup and transformation of liquid surfaces into particles, impacting mixing efficiency. At t = 1 ms, the liquid surface lengths were 4 mm, 4.4 mm, and 5.2 mm at air velocities of 0 m/s, 10 m/s, and 20 m/s, respectively. At t = 3 ms, the continuous sheet length expanded to 4.9 mm at an air velocity of 0 m/s, while maintaining a constant diameter of 4 mm. Breakup was delayed at higher velocities, occurring at distances of 0.037 m and 0.043 m for air velocities of 10 m/s and 20 m/s, respectively. Higher air velocities increased liquid sheet length and decreased diameter due to intensified vortices.
  • The presence of swirl blades creates a swirl, influencing the shape of fuel injection. With an air velocity of 20 m/s, this swirl intensifies, further impacting the fuel diameter (decreasing to 2.8 mm) while the length increases from 5.2 mm to 6 mm. These swirls influence the breakup of liquid sheets and ligaments before they transform into smaller particles.
  • This study also revealed that higher injection pressures promoted better atomization and fuel–air mixing, resulting in more particles with increased diameters. Fluid sheet angles were approximately 43.79° for p1, 47.5° for p2, and 49.5° for p3. Over time, the injection expanded in length and diameter, indicating fuel dispersion.
The results offer important insights into the atomization process and its influence on mixing efficiency in hydrogen-based propulsion systems. These findings are significant for establishing design guidelines to optimize injectors in power generation technologies that use liquid hydrogen fuel.

Author Contributions

Conceptualization, A.A. and W.H.; methodology, A.A.; software, A.A.; validation, A.A., D.H. and Y.F.; formal analysis, A.A.; investigation, W.H.; resources, W.H.; data curation, O.M.; writing—original draft preparation, A.A.; writing—review and editing, O.M. and A.A.; visualization, D.H.; supervision, W.H.; project administration, A.A.; funding acquisition, A.A. All authors have read and agreed to the published version of the manuscript.

Funding

This research was funded by the Research Fund for International Scientists of the National Natural Science Foundation of China, grant numbers 52350410459 and 52350410466; and financial support from the Excellent Postdoctoral Program of Jiangsu Province and the Fundamental Research Funds for the Central Universities.

Data Availability Statement

Data are contained within the article.

Acknowledgments

The authors acknowledge the technical support from the Energy Conservation Research Group (ECRG), College of Energy and Power Engineering, Nanjing University of Aeronautics and Astronautics, Nanjing, Jiangsu 210016, China.

Conflicts of Interest

The authors declare no conflicts of interest.

References

  1. Ashgriz, N. Handbook of Atomization and Sprays: Theory and Applications; Springer Science & Business Media: Berlin/Heidelberg, Germany, 2011. [Google Scholar] [CrossRef]
  2. Alam, N.; Sharma, K.; Pandey, K. Combustion characteristics of hydrogen-air mixture in pulse detonation engines. J. Mech. Sci. Technol. 2019, 33, 2451–2457. [Google Scholar] [CrossRef]
  3. Funke, H.W.; Beckmann, N.; Abanteriba, S. An overview on dry low NOx micromix combustor development for hydrogen-rich gas turbine applications. Int. J. Hydrog. Energy 2019, 44, 6978–6990. [Google Scholar] [CrossRef]
  4. Chen, T.; An, Y.; Shen, S.; Shi, H.; Pei, Y.; Wang, K. Large eddy simulation of fuel-air mixing process in a convergent-divergent duct spray under non-vaporizing conditions. Fuel 2023, 353, 129176. [Google Scholar] [CrossRef]
  5. Hoelzen, J.; Silberhorn, D.; Zill, T.; Bensmann, B.; Hanke-Rauschenbach, R. Hydrogen-powered aviation and its reliance on green hydrogen infrastructure–review and research gaps. Int. J. Hydrog. Energy 2022, 47, 3108–3130. [Google Scholar] [CrossRef]
  6. Dafsari, R.A.; Lee, H.J.; Han, J.; Park, D.C.; Lee, J. Viscosity effect on the pressure swirl atomization of an alternative aviation fuel. Fuel 2019, 240, 179–191. [Google Scholar] [CrossRef]
  7. Chen, X.; Wang, H.; Wang, C.; Wang, X.; Wang, N.; Liu, X. Numerical investigation into fuel–air mixing characteristics and cold flow field of single hydrogen-rich Micromix nozzle. Fuel 2023, 332, 126181. [Google Scholar] [CrossRef]
  8. Cellek, M.S.; Pınarbaşı, A. Investigations on performance and emission characteristics of an industrial low swirl burner while burning natural gas, methane, hydrogen-enriched natural gas and hydrogen as fuels. Int. J. Hydrog. Energy 2018, 43, 1194–1207. [Google Scholar] [CrossRef]
  9. Radhakrishnan, K.; Son, M.; Lee, K.; Koo, J. Effect of injection conditions on mixing performance of pintle injector for liquid rocket engines. Acta Astronaut. 2018, 150, 105–116. [Google Scholar] [CrossRef]
  10. Liu, Z.; Huang, Y.; Sun, L. Studies on air core size in a simplex pressure-swirl atomizer. Int. J. Hydrog. Energy 2017, 42, 18649–18657. [Google Scholar] [CrossRef]
  11. Li, T.; Nishida, K.; Hiroyasu, H. Droplet size distribution and evaporation characteristics of fuel spray by a swirl type atomizer. Fuel 2011, 90, 2367–2376. [Google Scholar] [CrossRef]
  12. Xu, J.; Jin, P.; Li, R.; Wang, J.; Cai, G. Numerical study on combustion and atomization characteristics of coaxial injectors for LOX/Methane engine. Int. J. Aerosp. Eng. 2021, 2021, 6670813. [Google Scholar] [CrossRef]
  13. He, Y.; Zheng, D.; Liu, C.; Liao, S. Effects of Injection Sequences on Spray Characteristics of an Air-Assisted Atomizer for Two-Stroke Aviation Engines. J. Energy Resour. Technol. 2023, 145, 091701. [Google Scholar] [CrossRef]
  14. Zhang, Y.; Tian, Y.; Le, J. Review of atomization characteristics of liquid jets in crossflow. Phys. Fluids 2024, 36, 021302. [Google Scholar] [CrossRef]
  15. Kumar, S.; Kumar, V.; Patil, A.; Nakod, P. Spray Characterization of Elliptical Diesel Nozzles Using Hybrid VOF-to-DPM Transitional Approach in Large Eddy Simulation (LES) Framework. In Proceedings of the International Conference on Liquid Atomization and Spray Systems (ICLASS), Edinburgh, UK, 29 August–2 September 2021; Volume 1. [Google Scholar] [CrossRef]
  16. Xiao, Y.; Liu, W.; Liu, D. Simulation of Liquid Atomization in Cyclone Atomizer Based on VOF-DPM Coupling Model. In Proceedings of the 2019 2nd World Conference on Mechanical Engineering and Intelligent Manufacturing (WCMEIM), Shanghai, China, 22–24 November 2019; IEEE: Psicataway, NJ, USA, 2019; pp. 323–327. [Google Scholar] [CrossRef]
  17. Ogawa, H.; Kodera, M. Physical insight into fuel/air mixing with hypermixer injectors for scramjet engines. J. Propuls. Power 2015, 31, 1423–1435. [Google Scholar] [CrossRef]
  18. Shi, P.; Zhu, G.; Cheng, J.; Li, J.; Hou, X. Simulation on atomization process of gas–liquid pintle injector in LRE under periodic conditions based on the VOF to DPM method. Aerosp. Sci. Technol. 2023, 136, 108222. [Google Scholar] [CrossRef]
  19. Liu, L.; Fu, Q.; Yang, L. Theoretical Atomization Model of Liquid Sheet Generated by Coaxial Swirl Injectors. Int. J. Multiph. Flow 2021, 142, 103725. [Google Scholar] [CrossRef]
  20. Najafi, S.; Mikaniki, P.; Ghassemi, H. Numerical simulation of heavy fuel oil atomization using a pulsed pressure-swirl injector. Chin. J. Chem. Eng. 2021, 32, 61–69. [Google Scholar] [CrossRef]
  21. Liu, Y.Q.; Ding, Q.; Xiong, W.; Yan, Q. Numerical investigation on atomization characteristics of sustainable aviation biofuel. AIP Adv. 2023, 13, 105108. [Google Scholar] [CrossRef]
  22. Yang, X.; Yang, W.; Dong, S.; Tan, H. Flame stability analysis of premixed hydrogen/air mixtures in a swirl micro-combustor. Energy 2020, 209, 118495. [Google Scholar] [CrossRef]
  23. Radhakrishnan, K.; Koo, J.; Hwang, Y. Volume of fluid simulation of sheet formation and primary breakup of non-newtonian propellants in a pintle injector with variable injection areas. At. Sprays 2020, 30, 75–95. [Google Scholar] [CrossRef]
  24. Yang, D.; Jin, P.; Qi, Y.; Cai, G. Effect of inlet mass flow rate oscillation on simplex swirl injector flow based on VOF-to-DPM model. Acta Astronaut. 2023, 211, 447–460. [Google Scholar] [CrossRef]
  25. Liu, L.H.; Wang, H.R.; Fu, Q.F. Experimental studies on the unsteady atomization characteristics of a swirl injector. Acta Astronaut. 2022, 194, 162–173. [Google Scholar] [CrossRef]
  26. Jeong, S.; Bae, J.; Yoon, S.S.; Yoon, Y. Effect of self-excited instability on single liquid swirl injector flow characteristics. Acta Astronaut. 2021, 178, 452–462. [Google Scholar] [CrossRef]
  27. Qin, L.Z.; Yi, R.; Yang, L.J. Theoretical breakup model in the planar liquid sheets exposed to high-speed gas and droplet size prediction. Int. J. Multiph. Flow 2018, 98, 158–167. [Google Scholar] [CrossRef]
  28. Adam, A.; He, W.; Fan, Y.F.; Han, D. Investigation of flow characteristics and mixing of liquid hydrogen within a premixing swirl tube for the turbine engine combustor. Int. J. Hydrog. Energy 2023, 49, 367–383. [Google Scholar] [CrossRef]
  29. Yang, X.; Li, M.; Yin, Z.; Song, Z. Effect of swirler vane angle on the combustion characteristics of premixed lean hydrogen-air mixture in a swirl micro-combustor. Chem. Eng. Process.-Process Intens. 2023, 183, 109238. [Google Scholar] [CrossRef]
  30. Chen, X.; Ma, D.; Yang, V.; Popinet, S. High-Fidelity Simulations of Impinging Jet Atomization. At. Sprays 2013, 23, 1079–1101. [Google Scholar] [CrossRef]
  31. ANSYS Fluent User’s Guide. 2020. Available online: http://www.ansys.com (accessed on 29 September 2024).
Figure 1. Computational domain of the premixer tube.
Figure 1. Computational domain of the premixer tube.
Aerospace 11 00832 g001
Figure 2. Schematic diagram of structured grids of the swirl premixer tube.
Figure 2. Schematic diagram of structured grids of the swirl premixer tube.
Aerospace 11 00832 g002
Figure 3. Grid independence study using velocity magnitude at x = 0.08 m with four types of grids.
Figure 3. Grid independence study using velocity magnitude at x = 0.08 m with four types of grids.
Aerospace 11 00832 g003
Figure 4. A comparison of injected fuel shapes: (a) reference [20]; (b) the injection of this study.
Figure 4. A comparison of injected fuel shapes: (a) reference [20]; (b) the injection of this study.
Aerospace 11 00832 g004
Figure 5. Iso-surfaces represent the fluid sheet formation process at nine different time intervals from 0.15 ms to 2.4 ms.
Figure 5. Iso-surfaces represent the fluid sheet formation process at nine different time intervals from 0.15 ms to 2.4 ms.
Aerospace 11 00832 g005
Figure 6. Iso-surfaces represent the fluid sheet breakup process at nine different time intervals from 0.15 ms to 3.15 ms and particles with different diameters.
Figure 6. Iso-surfaces represent the fluid sheet breakup process at nine different time intervals from 0.15 ms to 3.15 ms and particles with different diameters.
Aerospace 11 00832 g006
Figure 7. Iso-surfaces of hydrogen fluid sheet at different air inlet velocities and times (1 and 3 ms): (a,b) air inlet velocity of 0 m/s; (c,d) air inlet velocity of 10 m/s; and (e,f) air inlet velocity of 20 m/s.
Figure 7. Iso-surfaces of hydrogen fluid sheet at different air inlet velocities and times (1 and 3 ms): (a,b) air inlet velocity of 0 m/s; (c,d) air inlet velocity of 10 m/s; and (e,f) air inlet velocity of 20 m/s.
Aerospace 11 00832 g007
Figure 8. Contour of velocity at t = 2 ms in the center of the premixing tube: (a) air inlet velocity of 0 m/s; (b) air inlet velocity of 10 m/s; and (c) air inlet velocity of 20 m/s.
Figure 8. Contour of velocity at t = 2 ms in the center of the premixing tube: (a) air inlet velocity of 0 m/s; (b) air inlet velocity of 10 m/s; and (c) air inlet velocity of 20 m/s.
Aerospace 11 00832 g008
Figure 9. Diameter and locations of particles at different air inlet velocities and times (1 and 3 ms): (a,b) air inlet velocity of 0 m/s; (c,d) air inlet velocity of 10 m/s; and (e,f) air inlet velocity of 20 m/s.
Figure 9. Diameter and locations of particles at different air inlet velocities and times (1 and 3 ms): (a,b) air inlet velocity of 0 m/s; (c,d) air inlet velocity of 10 m/s; and (e,f) air inlet velocity of 20 m/s.
Aerospace 11 00832 g009
Figure 10. Effect of various air inlet velocities along the flow direction: (a) the velocity magnitude and (b) turbulent kinetic energy.
Figure 10. Effect of various air inlet velocities along the flow direction: (a) the velocity magnitude and (b) turbulent kinetic energy.
Aerospace 11 00832 g010
Figure 11. Iso-surface of the fluid sheet for the different swirl injection radial, tangential, and axial velocity components: (P1) 2.58 m/s, 9.89 m/s, and 18.93 m/s; (P2) 5.1 m/s, 36 m/s, and 42.2 m/s; (P3) 8 m/s, 48 m/s, and 42 m/s.
Figure 11. Iso-surface of the fluid sheet for the different swirl injection radial, tangential, and axial velocity components: (P1) 2.58 m/s, 9.89 m/s, and 18.93 m/s; (P2) 5.1 m/s, 36 m/s, and 42.2 m/s; (P3) 8 m/s, 48 m/s, and 42 m/s.
Aerospace 11 00832 g011
Figure 12. Particles at the same flow time for the different swirl injection radial, tangential, and axial velocity components: (a) front view of the tube and (b) side view of the tube.
Figure 12. Particles at the same flow time for the different swirl injection radial, tangential, and axial velocity components: (a) front view of the tube and (b) side view of the tube.
Aerospace 11 00832 g012
Figure 13. Iso-surface of fluid sheet and ligament breakup for the two different swirl injection radial, tangential, and axial velocity components at the same flow time: (a) 2.58 m/s, 9.89 m/s, and 18.93 m/s; (b) 4.12 m/s, 17.06 m/s, and 29.96 m/s.
Figure 13. Iso-surface of fluid sheet and ligament breakup for the two different swirl injection radial, tangential, and axial velocity components at the same flow time: (a) 2.58 m/s, 9.89 m/s, and 18.93 m/s; (b) 4.12 m/s, 17.06 m/s, and 29.96 m/s.
Aerospace 11 00832 g013
Figure 14. Particle number for the two different swirl injection radial, tangential, and axial velocity components at the same flow time: (a) 2.58 m/s, 9.89 m/s, and 18.93 m/s; (b) 4.12 m/s, 17.06 m/s, and 29.96 m/s.
Figure 14. Particle number for the two different swirl injection radial, tangential, and axial velocity components at the same flow time: (a) 2.58 m/s, 9.89 m/s, and 18.93 m/s; (b) 4.12 m/s, 17.06 m/s, and 29.96 m/s.
Aerospace 11 00832 g014
Figure 15. Contour of velocity highlighting the differences between the two cases in the center of the premixing tube: (a) 2.58 m/s, 9.89 m/s, and 18.93 m/s; (b) 4.12 m/s, 17.06 m/s, and 29.96 m/s.
Figure 15. Contour of velocity highlighting the differences between the two cases in the center of the premixing tube: (a) 2.58 m/s, 9.89 m/s, and 18.93 m/s; (b) 4.12 m/s, 17.06 m/s, and 29.96 m/s.
Aerospace 11 00832 g015
Figure 16. (a) Velocity magnitude and (b) turbulent kinetic energy along a vertical line at a distance of 9 mm away from the fuel inlet.
Figure 16. (a) Velocity magnitude and (b) turbulent kinetic energy along a vertical line at a distance of 9 mm away from the fuel inlet.
Aerospace 11 00832 g016
Table 1. The premixing tube dimensions used in this study.
Table 1. The premixing tube dimensions used in this study.
Tube Length
(mm)
Outer Diameter
(mm)
Inner Diameter
(mm)
Number of Plates
(−)
Plate Angle
(deg)
Fuel Inlet
Distance (mm)
Fuel Outer
Diameter (mm)
Fuel Inner
Diameter (mm)
Swirl
Number (−)
10040201530351.510.449
Table 2. Properties of the simulation materials.
Table 2. Properties of the simulation materials.
Material PropertiesPrimary Phase (Air)Secondary Phase (H2)Units
Density1.22570.85kg/m3
Specific Heat Capacity1.006439.6kJ/kg·K
Thermal Conductivity0.02420.094W/m·K
Viscosity1.7894 × 10−50.0000141Pa·s
Disclaimer/Publisher’s Note: The statements, opinions and data contained in all publications are solely those of the individual author(s) and contributor(s) and not of MDPI and/or the editor(s). MDPI and/or the editor(s) disclaim responsibility for any injury to people or property resulting from any ideas, methods, instructions or products referred to in the content.

Share and Cite

MDPI and ACS Style

Adam, A.; He, W.; Han, D.; Fan, Y.; Musa, O. Numerical Analysis of Liquid Hydrogen Atomization in a Premixing Tube Using a Volume of Fluid-to-Discrete Particle Model Approach. Aerospace 2024, 11, 832. https://doi.org/10.3390/aerospace11100832

AMA Style

Adam A, He W, Han D, Fan Y, Musa O. Numerical Analysis of Liquid Hydrogen Atomization in a Premixing Tube Using a Volume of Fluid-to-Discrete Particle Model Approach. Aerospace. 2024; 11(10):832. https://doi.org/10.3390/aerospace11100832

Chicago/Turabian Style

Adam, Abdalazeem, Weifeng He, Dong Han, Yuxin Fan, and Omer Musa. 2024. "Numerical Analysis of Liquid Hydrogen Atomization in a Premixing Tube Using a Volume of Fluid-to-Discrete Particle Model Approach" Aerospace 11, no. 10: 832. https://doi.org/10.3390/aerospace11100832

APA Style

Adam, A., He, W., Han, D., Fan, Y., & Musa, O. (2024). Numerical Analysis of Liquid Hydrogen Atomization in a Premixing Tube Using a Volume of Fluid-to-Discrete Particle Model Approach. Aerospace, 11(10), 832. https://doi.org/10.3390/aerospace11100832

Note that from the first issue of 2016, this journal uses article numbers instead of page numbers. See further details here.

Article Metrics

Back to TopTop