Lightweight Design for Active Small SAR S-STEP Satellite Using Multilayered High-Damping Carbon Fiber-Reinforced Plastic Patch
Abstract
:1. Introduction
2. An Overview: Active Small SAR S-STEP Satellite
2.1. Introduction to the STM of the S-STEP Satellite
2.2. Launch Environment of the S-STEP Satellite
3. Vibration Reduction Performance of Multilayered Laminated Composite Structure
3.1. Brief Description of CFRP Laminated Patch for Vibration Reduction
3.2. Sine and Random Vibration Tests Conducted on CFRP- and FR4-Based Patches
3.3. Lap Shear Testing of CFPR-Based Laminated Patch
4. Numerical and Experimental Verification of Vibration Reduction Performance of CFRP-Based Patch for S-STEP Satellite
4.1. Structural Analysis of S-STEP Satellite with CFRP-Based Patch
4.2. Launch Vibration Test of S-STEP Satellite with CFRP-Based Patch
5. Conclusions
- (1)
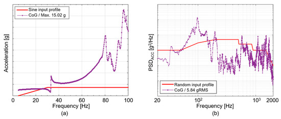
- In the sine and random vibration tests, the acceleration and PDS response of S-STEP satellite satisfied the dynamic stability requirements of the vibrational test specification. The maximum acceleration response measured during the sine vibration test (15.02 g) was lower than the design load of the satellite (18 g). Additionally, the RMS value at the CoG (5.84 grms) measured during the random vibration test was lower than the input profile (6.09 grms).
- (2)
- In the lap shear tests, the average shear strength of the specimens was approximately 8.28 MPa. Since the maximum shear stress obtained from the sine vibration analysis was approximately 5.2 MPa, the multilayered high-damping CFRP-based patch was able to prevent delamination from occurring between the damping tape and CFRP plate.
Author Contributions
Funding
Data Availability Statement
Conflicts of Interest
References
- Bousedra, K. Downstream Space Activities in the New Space Era: Paradaigm Shift and Evaluation Challenges. Space Policy 2023, 64, 101553. [Google Scholar] [CrossRef]
- Ince, F. Nano and micro satellites as the pillar of the “new space” paradigm. J. Aeronaut. Space Technol. 2020, 13, 235–250. [Google Scholar]
- Kwon, S.-C.; Son, J.-H.; Song, S.-C.; Park, J.-H.; Koo, K.-R.; Oh, H.-U. Innovative Mechanical Design Strategy for Actualizing 80 kg-Class X-Band Active SAR Small Satellite of S-STEP. Aerospace 2021, 8, 149. [Google Scholar] [CrossRef]
- Kim, H.-G.; Kwon, S.-C.; Koo, K.-R.; Song, S.-C.; Yu, Y.; Song, Y.; Park, Y.-H.; Oh, H.-U. New Performance Investigation of Superplastic Shape Memory Alloy-Based Vibration Isolator for X-Band Active Small SAR Satellite of S-STEP under Acoustic and Random Vibration Environments. Aerospace 2021, 8, 278. [Google Scholar]
- Kim, S.; Song, C.-M.; Lee, S.-H.; Song, S.-C.; Oh, H.-U. Design and Performance of X-Band SAR Payload for 80 kg Class Flat-Panel-Type Microsatellite Based on Active Phased Array Antenna. Aerospace 2022, 9, 213. [Google Scholar] [CrossRef]
- Wijker, J. Random Vibrations in Spacecraft Structures Design: Theory and Applications; Springer Science & Business Media: Berlin/Heidelberg, Germany, 2009; Volume 165. [Google Scholar]
- Mani, M.; Naghib-Lahouti, A.; Nazarinia, M. Experimental and numerical aerodynamic analysis of a satellite launch vehicle with strap-on boosters. Aeronaut. J. 2004, 108, 379. [Google Scholar] [CrossRef]
- Japan Aerospace Exploration Agency. Epsilon Launch Vehicle User’s Manual. 2018. Available online: https://www.arianespace.com/vehicle/soyuz/ (accessed on 30 July 2023).
- Arianespace. Vega-C User’s Manual. 2018. Available online: https://www.arianespace.com/vehicle/vega-c/ (accessed on 30 July 2023).
- Space X. Falcon 9 Users Guide. 2021. Available online: https://www.spacex.com/vehicle/falcon-heavy/ (accessed on 30 July 2023).
- Arianespace. Ariane 6 User’s Manual. 2021. Available online: https://www.arianespace.com/vehicle/soyuz/ariane-6/ (accessed on 30 July 2023).
- Kwon, S.-C.; Jeon, S.-H.; Oh, H.-U. Performance evaluation of spaceborne cryocooler micro-vibration isolation system employing pseudoelastic SMA mesh washer. Cryogenics 2015, 67, 19–27. [Google Scholar] [CrossRef]
- Kwon, S.-C.; Oh, H.-U. Passive micro-jitter isolation of gimbal-type antenna by using a superelastic SMA gear wheel. Mech. Syst. Signal Process. 2019, 114, 35–53. [Google Scholar]
- Park, T.-Y.; Shin, S.-H.; Park, S.-W.; Kang, S.-J.; Oh, H.-U. High-damping PCB implemented by multi-layered viscoelastic acrylic tapes for use of wedge lock applications. Eng. Fract. Mech. 2021, 241, 107370. [Google Scholar]
- Morgan, P. Carbon Fiber and Their Composite Material; CRC Press: Boca Raton, FL, USA, 2005. [Google Scholar]
- Kumar, P.; Singh, S.P.; Sharma, S. Damping in Fiber Reinforced Composite Materials; Woodhead Publishing: Sawston, UK, 2023. [Google Scholar]
- Qaderi, F.S.; Ebrahimi, M.V. Dynamic analysis of multi-layered composite beams reinforced with graphene platelets resting on two-parameter viscoelastic foundation. Eur. Phys. J. Plus 2019, 134, 339. [Google Scholar] [CrossRef]
- Kim, M.-J.; Lee, J.-H.; Kim, S.-H.; Lee, C.-M.; Kim, D.-H. Comparative Analysis of CFRP and Steel Vibration Characteristics of Machine Tools Components. Appl. Sci. 2023, 13, 1083. [Google Scholar] [CrossRef]
- Cho, H.K.; Rhee, J. Vibration in a satellite structure with a laminate composite hybrid sandwich panel. Compos. Struct. 2011, 93, 2566–2574. [Google Scholar] [CrossRef]
- ECSS-E-ST-10-03C; ECSS Standard: Testing (31 May 2022). European Consortium for Space Standards: Noordwijk, The Netherlands, 2022. Available online: https://ecss.nl/standard/ecss-e-st-10-03c-rev-1-testing-31-may-2022/ (accessed on 30 July 2023).
- ASTM D 5868-01; Standard Test Method for Lap Shear Adhesion for Fiber Reinforced Plastic (FRP) Bonding. Annual Book of American Society for Testing Materials. ASTM International: West Conshohocken, PA, USA, 2001; Volume 15, p. 518. Available online: https://www.astm.org/d5868-01r14.html (accessed on 30 July 2023).










| Specification | Value | |
|---|---|---|
| Mission lifetime | 3 years | |
| Mass | 80.3 kg | |
| Satellite size | 2000 × 1100 × 200 mm (under) | |
| Power | Generation | 340 W |
| Stored (battery) | 648 Wh | |
| Inter-satellite link | RF (X-band) | |
| TMTC/image downlink | S-band/X-band | |
| Pointing accuracy | 0.085° | |
| Resolution (25°) | 1 m (Stripmap) 4 m (ScanSAR) 1 m (VideoSAR) | |
| Swath (elevation × azimuth) | 5 × 420 km (Stripmap) 15 × 420 km (ScanSAR) 5 × 5 km (VideoSAR) | |
| Image acquisition time | 60 s (Stripmap) 10 s (VideoSAR) | |
| Material Type | Host Structure (45 mm × 330 mm) | Laminated Patch (42 mm × 160 mm) | ||
|---|---|---|---|---|
| No. | Stacking Sequence | Stacking Sequence | Mass (g) | |
| CFRP | #0 | (0/90)5 | - | 28.2 |
| #1 | (0/90/0)1 | 36.5 | ||
| #2 | (0/90/0)2 | 44.7 | ||
| #3 | (0/90/0)3 | 52.8 | ||
| #4 | (0/90/0)4 | 61.3 | ||
| FR4 | #0 | (0/90)5 | - | 28.2 |
| #1 | 0.4 mm*1 | 40.1 | ||
| #2 | 0.4 mm*2 | 52.1 | ||
| #3 | 0.4 mm*3 | 63.7 | ||
| #4 | 0.4 mm*4 | 75.5 | ||
| Frequency | Sine Vibration Input (g) |
|---|---|
| 0 | 0 |
| 30 | 6.75 |
| 100 | 6.75 |
| Frequency | Random Vibration Input (g2/Hz) |
|---|---|
| 20 | 0.01 |
| 80 | 0.31 |
| 500 | 0.31 |
| 2000 | 0.01 |
| Frequency | Sine Vibration Input (g) |
|---|---|
| 5 | 1.0 |
| 35 | 1.25 |
| 100 | 1.25 |
| Frequency | Random Vibration Input (g2/Hz) |
|---|---|
| 20 | 0.01 |
| 50 | 0.01 |
| 100 | 0.0301 |
| 200 | 0.05 |
| 500 | 0.05 |
| 510 | 0.025 |
| 850 | 0.025 |
| 900 | 0.01 |
| 1500 | 0.01 |
| 2000 | 0.001 |
| Duration: 120 s | |
| 6.09 grms | |
| Part | Status | 1st Peak Frequency | Frequency Shift Difference (%) |
|---|---|---|---|
| CoG | Before Random | 36.3 | 2.47 |
| After Random | 35.4 | ||
| Battery | Before Random | 27 | 2.59 |
| After Random | 26.3 | ||
| PSU | Before Random | 26.5 | 4.15 |
| After Random | 25.4 | ||
| SAR Ant. | Before Random | 27.2 | 3.68 |
| After Random | 26.2 |
Disclaimer/Publisher’s Note: The statements, opinions and data contained in all publications are solely those of the individual author(s) and contributor(s) and not of MDPI and/or the editor(s). MDPI and/or the editor(s) disclaim responsibility for any injury to people or property resulting from any ideas, methods, instructions or products referred to in the content. |
© 2023 by the authors. Licensee MDPI, Basel, Switzerland. This article is an open access article distributed under the terms and conditions of the Creative Commons Attribution (CC BY) license (https://creativecommons.org/licenses/by/4.0/).
Share and Cite
Koo, K.-R.; Kim, H.-G.; Kim, D.-G.; Kwon, S.-C.; Oh, H.-U. Lightweight Design for Active Small SAR S-STEP Satellite Using Multilayered High-Damping Carbon Fiber-Reinforced Plastic Patch. Aerospace 2023, 10, 774. https://doi.org/10.3390/aerospace10090774
Koo K-R, Kim H-G, Kim D-G, Kwon S-C, Oh H-U. Lightweight Design for Active Small SAR S-STEP Satellite Using Multilayered High-Damping Carbon Fiber-Reinforced Plastic Patch. Aerospace. 2023; 10(9):774. https://doi.org/10.3390/aerospace10090774
Chicago/Turabian StyleKoo, Kyung-Rae, Hyun-Guk Kim, Dong-Geon Kim, Seong-Cheol Kwon, and Hyun-Ung Oh. 2023. "Lightweight Design for Active Small SAR S-STEP Satellite Using Multilayered High-Damping Carbon Fiber-Reinforced Plastic Patch" Aerospace 10, no. 9: 774. https://doi.org/10.3390/aerospace10090774
APA StyleKoo, K.-R., Kim, H.-G., Kim, D.-G., Kwon, S.-C., & Oh, H.-U. (2023). Lightweight Design for Active Small SAR S-STEP Satellite Using Multilayered High-Damping Carbon Fiber-Reinforced Plastic Patch. Aerospace, 10(9), 774. https://doi.org/10.3390/aerospace10090774

