Experiment and Numerical Simulation on Damage Behavior of Honeycomb Sandwich Composites under Low-Energy Impact
Abstract
1. Introduction
2. Experiments
2.1. Specimen
2.2. Experimental Device Description
2.3. Impact Experiment
3. Experimental Results and Discussion
3.1. Damage Modes and Discussion
- (1)
- Under low-energy impact, the upper panel exhibits the most severe damage, including fiber fracture, matrix cracking, and delamination. The honeycomb core in the middle experiences compressive feedback damage, while the damage to the lower panel is relatively slight.
- (2)
- In the case of the T300 honeycomb sandwich composite specimen, subjected to an impact energy of 10 J, the main damages in the impact area of the upper panel are fiber fracture and delamination, with a small region of the honeycomb core experiencing slight crushing damage. Overall, the specimen shows minimal damage, characterized by a small damage depth and width. Under an impact energy of 20 J, the fiber fracture area in the upper panel increases, along with severe delamination. The damage width, damage depth, and damage area all increased significantly compared to the impact energy of 10 J. When impacted with energy of 40 J, the upper panel is completely penetrated, resulting in extensive crushing damage and buckling of the honeycomb core. Damage to the lower panel is visibly noticeable, with the main damage being fiber breakage. However, the damage degree is relatively small, demonstrating the energy absorption capability of the honeycomb core.
- (3)
- In the case of the T700 honeycomb sandwich composite specimen, under an impact energy of 10 J, the damage to the upper panel is relatively slight, mainly consisting of a small amount of fiber fracture and delamination, with smaller damage width and damage depth. When subjected to the impact energy of 20 J, the areas of fiber fracture in the upper panel increase, along with an increase in damage width and dent depth. Under the impact energy of 40 J, the upper panel is penetrated, while the lower panel exhibits only a small amount of deformation as measured by DIC testing, which is not visually apparent.
- (4)
- As for the honeycomb sandwich composite specimen of the T800 panel, there is a slight indentation on the upper panel under the impact energy of 10 J, but the damage is not as pronounced compared to the T300 and T700 panels. Under the impact energy of 20 J, the damage area in the upper panel increases, but overall damage remains relatively small. Under the impact energy of 40 J, the damage width, damage area, and dent depth increase significantly. The honeycomb core in the middle collapses, while the lower panel exhibits a slight amount of deformation as measured by DIC testing, which is not visually apparent.
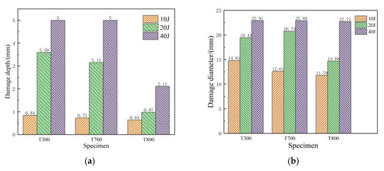
- (5)
- By comparing Table 4 and Figure 12, it can be observed that as the impact energy increases, the damage width, dent depth, and other damage data increase for the same type of specimens. Under the same impact energy, different panel materials exhibit different resistance to impact damage. The T300 panel specimen suffers the largest damage area, damage width, and dent depth, indicating the most severe impact damage. The T700 panel ranks second in terms of damage severity, while the T800 panel specimen experiences the smallest amount of damage thanks to its superior strength performance and ability to resist impact damage (as shown in Table 2).
3.2. Impact Response
- (1)
- Under the same impact energy, the panel’s material has little influence on the peak contact force, with a difference of about 4%.
- (2)
- Under the same impact energy, the duration time during the impact process is basically the same for the different panel materials, and the arrival time of the peak contact force is also the same.
- (3)
- With the increase in impact energy, the peak contact force increases, but the rate of increase in the peak impact force is smaller than the rate of energy’s increase. The increase in impact energy causes the contact force peak to arrive earlier.
- (4)
- Variations in rebound are observed among panels composed of different materials when subjected to diverse levels of impact energy, leading to discrepancies in the ultimate contact duration.
4. Numerical Simulation
4.1. Finite Element Model
4.2. Simulation Results and Discussion
4.2.1. Damage Simulation Results of the Upper Panel
4.2.2. Damage Simulation Results of Honeycomb Core
4.2.3. Damage Simulation Results of the Lower Panel
4.2.4. Curves of Contact Force-Time
4.3. Summary
- (1)
- In order to study the damage behavior of the honeycomb sandwich composite structure with a T700 panel, a comprehensive finite element model is established. This model takes into account factors such as the microscopic failure criteria of the panel, various contact conditions during the impact process, and the simplification of the drop hammer punch. By considering these aspects, the model aims to accurately represent the behavior of the composite structure during impact.
- (2)
- Through the finite element simulation analysis, the damage modes, damage parameters, and contact force-time curves of the honeycomb sandwich composites under different impact energies are obtained. These results provide valuable insights into the response and failure mechanisms of the composite structure under impact loading.
- (3)
- A comparison between the simulation results and experimental results demonstrates good consistency between the two. This agreement between the simulation and experimental findings confirms the correctness and validity of the finite element model employed in the study.
5. Conclusions
- (1)
- Low-energy impact experiments are conducted on honeycomb sandwich composite specimens to determine the damage modes and damage parameters. During the impact process, the upper panel exhibits severe damage, including matrix cracking, fiber breakage, and delamination. The honeycomb core experiences compressive feedback damage, while the lower panel shows relatively minor damage, indicating the energy absorption capabilities of the honeycomb core.
- (2)
- The impact resistance of panels made from T300, T700, or T800 laminates increases with the strength of the laminate. Among them, the T800 panel demonstrates the highest resistance to impact.
- (3)
- Increasing the impact energy results in an increase in peak contact force. However, the rate of increase in peak impact force is smaller than the rate of energy increase. The panel material has minimal influence on the peak contact force, while the impact energy affects the impact time history.
- (4)
- Through finite element simulation analysis of honeycomb sandwich composites, the damage modes and damage sizes for the panels and honeycomb core are obtained, and the contact force-time curves of the punch are obtained. Comparative analysis demonstrates good consistency between the simulation and experimental results, confirming the rationality and accuracy of the finite element model.
Author Contributions
Funding
Institutional Review Board Statement
Informed Consent Statement
Data Availability Statement
Conflicts of Interest
References
- Xiong, J.; Zhang, M.; Stocchi, A.; Hu, H.; Ma, L.; Wu, L.; Zhang, Z. Mechanical behaviors of carbon fiber composite sandwich columns with three dimensional honeycomb cores under in-plane compression. Compos. Part B Eng. 2014, 60, 350–358. [Google Scholar] [CrossRef]
- Foo, C.C.; Chai, G.B.; Seah, L.K. A model to predict low-velocity impact response and damage in sandwich composites. Compos. Sci. Technol. 2008, 68, 1348–1356. [Google Scholar] [CrossRef]
- Song, Z.H.; Luong, S.; Whisler, D.; Kim, H. Honeycomb core failure mechanism of CFRP/ Nomex sandwich panel under multi-angle impact of hail ice. Int. J. Impact Eng. 2021, 150, 103817. [Google Scholar] [CrossRef]
- Park, Y.B.; Kweon, J.H.; Choi, J.H. Failure characteristics of carbon/BMI-Nomex sandwich joints in various hygrothermal conditions. Compos. Part B Eng. 2014, 60, 213–221. [Google Scholar] [CrossRef]
- Wang, B.; Wu, L.Z.; Ma, L.; Feng, J.-C. Low-velocity impact characteristics and residual tensile strength of carbon fiber composite lattice core sandwich structures. Compos. Part B Eng. 2011, 42, 891–897. [Google Scholar] [CrossRef]
- Giglio, M.; Gilioli, A.; Manes, A. Numerical investigation of a three point bending test on sandwich panels with aluminum skins and Nomex™ honeycomb core. Comput. Mater. Sci. 2012, 56, 69–78. [Google Scholar] [CrossRef]
- Pydah, A.; Batra, R.C. Blast loading of bumper shielded hybrid two-core Miura-ori/honeycomb core sandwich plates. Thin-Walled Struct. 2018, 129, 45–57. [Google Scholar] [CrossRef]
- He, W.T.; Liu, J.X.; Wang, S.Q.; Xie, D. Low-velocity impact response and post-impact flexural behaviour of composite sandwich structures with corrugated cores. Compos. Struct. 2018, 189, 37–53. [Google Scholar] [CrossRef]
- Baran, I.; Weijermars, W. Residual bending behaviour of sandwich composites after impact. J. Sandw. Struct. Mater. 2018, 22, 402–422. [Google Scholar] [CrossRef]
- Huo, X.; Liu, H.; Luo, Q.; Sun, G.; Li, Q. On low-velocity impact response of foam-core sandwich panels. Int. J. Mech. Sci. 2020, 181, 105681. [Google Scholar] [CrossRef]
- Zhu, Y.; Sun, Y. Low-velocity impact response of multilayer foam core sandwich panels with composite face sheets. Int. J. Mech. Sci. 2021, 209, 106704. [Google Scholar] [CrossRef]
- Lv, H.Y.; Shi, S.S.; Chen, B.Z.; Ma, J.; Sun, Z. Low-velocity impact response of composite sandwich structure with grid–honeycomb hybrid core. Int. J. Mech. Sci. 2023, 246, 108149. [Google Scholar] [CrossRef]
- Zhang, J.; Zhou, R.; Wang, M.; Ye, Y.; Wang, T. Dynamic response of double-layer rectangular sandwich plates with metal foam cores subjected to blast loading. Int. J. Impact Eng. 2018, 122, 265–275. [Google Scholar] [CrossRef]
- Zhang, J.; Ye, Y.; Qin, Q.; Wang, T. Low-velocity impact of sandwich beams with fibre-metal laminate face-sheets. Compos. Sci. Technol. 2018, 168, 152–159. [Google Scholar] [CrossRef]
- Song, S.; Xiong, C.; Zheng, J.; Yin, J.; Zou, Y.; Zhu, X. Compression, bending, energy absorption properties, and failure modes of composite Kagome honeycomb sandwich structure reinforced by PMI foams. Compos. Struct. 2021, 277, 114611. [Google Scholar] [CrossRef]
- Mei, J.; Liu, J.; Zhang, M.; Huang, W. Experimental and numerical study on the ballistic impact resistance of the CFRP sandwich panel with the X-frame cores. Int. J. Mech. Sci. 2022, 232, 107649. [Google Scholar] [CrossRef]
- Schubel, P.M.; Luo, J.J.; Daniel, I.M. Low velocity impact behavior of composite sandwich panels. Compos. Part A 2005, 36, 1389–1396. [Google Scholar] [CrossRef]
- Kolopp, A.; Rivallant, S.; Bouvet, C. Experimental study of sandwich structures as armour against medium-velocity impacts. Int. J. Impact Eng. 2013, 61, 24–35. [Google Scholar] [CrossRef][Green Version]
- Zhang, T.T.; Yan, Y.; Li, J.F. Experiments and numerical simulations of low-velocity impact of sandwich composite panels. Polym. Compos. 2017, 38, 646–656. [Google Scholar] [CrossRef]
- Chen, Y.; Hou, S.J.; Fu, K.K.; Han, X.; Ye, L. Low-velocity impact response of composite sandwich structures: Modelling and experiment. Compos. Struct. 2017, 168, 322–334. [Google Scholar] [CrossRef]
- Zhang, D.H.; Fei, Q.G.; Zhang, P.W. Drop-weight impact behavior of honeycomb sandwich panels under a spherical impactor. Compos. Struct. 2017, 168, 633–645. [Google Scholar] [CrossRef]
- Sun, M.; Wowk, D.; Mechefske, C.; Kim, I.Y. An analytical study of the plasticity of sandwich honeycomb panels subjected to low-velocity impact. Compos. Part B Eng. 2019, 168, 121–128. [Google Scholar] [CrossRef]
- Feng, D.; Aymerich, F. Finite element modelling of damage induced by low-velocity impact on composite laminates. Compos. Struct. 2014, 108, 161. [Google Scholar] [CrossRef]
- Xie, S.C.; Jing, K.K.; Zhou, H.; Liu, X. Mechanical properties of Nomex honeycomb sandwich panels under dynamic impact. Compos. Struct. 2020, 235, 111814. [Google Scholar] [CrossRef]
























| Number | Material Type of Panel | Single Layer Thickness (mm) | The Number of Specimens | Illustrate |
|---|---|---|---|---|
| 1 | T300 | 0.15 | SY 3-1~6 | 8 layers for the upper panel and lower panel, respectively |
| 2 | T700 | 0.1449 | SY 7-1~6 | |
| 3 | T800 | 0.1449 | SY 8-1~6 |
| Material Type | Elastic Modulus (GPa) | Tensile Strength (MPa) | Density (g/cm3) |
|---|---|---|---|
| T300 | 230 | 3530 | 1.76 |
| T700 | 230 | 4900 | 1.8 |
| T800 | 294 | 5880 | 1.8 |
| Number of Specimens | Material of Panel | Impact Energy (J) |
|---|---|---|
| SY 3-2 | T300 | 10 |
| SY 3-3 | 10 | |
| SY 3-4 | 20 | |
| SY 3-5 | 20 | |
| SY 3-1 | 40 | |
| SY 3-6 | 40 | |
| SY 7-1 | T700 | 10 |
| SY 7-4 | 10 | |
| SY 7-2 | 20 | |
| SY 7-5 | 20 | |
| SY 7-3 | 40 | |
| SY 7-6 | 40 | |
| SY 8-1 | T800 | 10 |
| SY 8-2 | 10 | |
| SY 8-3 | 20 | |
| SY 8-4 | 20 | |
| SY 8-5 | 40 | |
| SY 8-6 | 40 |
| Material of Panel | Impact Energy (J) | Damage Width (mm) | Dent Depth (mm) |
|---|---|---|---|
| T300 | 10 | 14.81 | 0.84 |
| 20 | 19.43 | 3.59 | |
| 40 | 22.91 | penetration | |
| T700 | 10 | 12.61 | 0.73 |
| 20 | 20.74 | 3.15 | |
| 40 | 22.89 | penetration | |
| T800 | 10 | 11.79 | 0.64 |
| 20 | 14.68 | 0.97 | |
| 40 | 22.71 | 2.11 |
| Contact Force | F10J (N) | F20J (N) | F40J (N) | |
|---|---|---|---|---|
| Panel Materials | ||||
| T300 | 2581 | 4223 | 4994 | |
| T700 | 2547 | 4225 | 4978 | |
| T800 | 2480 | 4374 | 4844 | |
| Impact Energy (J) | Damage Width | ||
|---|---|---|---|
| Simulation Results (mm) | Experimental Results (mm) | Error (%) | |
| 10 | 11.84 | 12.61 | 6.1 |
| 20 | 20.11 | 20.74 | 3.0 |
| 40 | 21.87 | 22.89 | 4.5 |
Disclaimer/Publisher’s Note: The statements, opinions and data contained in all publications are solely those of the individual author(s) and contributor(s) and not of MDPI and/or the editor(s). MDPI and/or the editor(s) disclaim responsibility for any injury to people or property resulting from any ideas, methods, instructions or products referred to in the content. |
© 2023 by the authors. Licensee MDPI, Basel, Switzerland. This article is an open access article distributed under the terms and conditions of the Creative Commons Attribution (CC BY) license (https://creativecommons.org/licenses/by/4.0/).
Share and Cite
Zheng, X.; He, B.; Zou, Y.; Yang, Q.; Cao, Y.; Li, Z.; Han, Y. Experiment and Numerical Simulation on Damage Behavior of Honeycomb Sandwich Composites under Low-Energy Impact. Aerospace 2023, 10, 756. https://doi.org/10.3390/aerospace10090756
Zheng X, He B, Zou Y, Yang Q, Cao Y, Li Z, Han Y. Experiment and Numerical Simulation on Damage Behavior of Honeycomb Sandwich Composites under Low-Energy Impact. Aerospace. 2023; 10(9):756. https://doi.org/10.3390/aerospace10090756
Chicago/Turabian StyleZheng, Xiaoxia, Bohan He, Yu Zou, Qiao Yang, Yupeng Cao, Zhiqiang Li, and Yaokun Han. 2023. "Experiment and Numerical Simulation on Damage Behavior of Honeycomb Sandwich Composites under Low-Energy Impact" Aerospace 10, no. 9: 756. https://doi.org/10.3390/aerospace10090756
APA StyleZheng, X., He, B., Zou, Y., Yang, Q., Cao, Y., Li, Z., & Han, Y. (2023). Experiment and Numerical Simulation on Damage Behavior of Honeycomb Sandwich Composites under Low-Energy Impact. Aerospace, 10(9), 756. https://doi.org/10.3390/aerospace10090756
