Experimental Study on Individual and Group Evacuation of Passengers from an Aircraft Cabin in the Pitch/Roll State
Abstract
:1. Introduction
2. Methodology
2.1. Experimental Setup
2.2. Experimental Design
2.3. Measurement Method
3. Results
3.1. Individual Movement Experiment
3.1.1. Speed
3.1.2. Pitch or Roll Angle
3.1.3. Speed Reduction
3.2. Group Evacuation Experiment
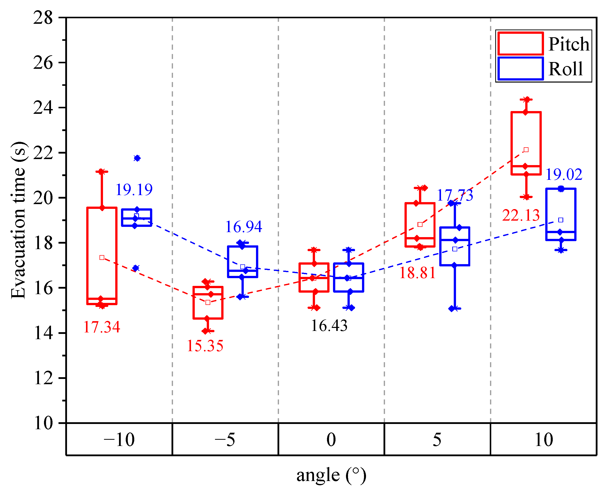
3.2.1. Evacuation Time
3.2.2. Speed
3.2.3. Fundamental Diagram
3.2.4. Distance from the Passenger in Front
3.2.5. Time Headway
3.2.6. Prediction Model of Passenger Speed
4. Conclusions
- (1)
- The speed in the seat area was 25% to 35% that in the aisle area. Males and females had the same walking speed, but males’ evacuation speed was 13% higher than females’.
- (2)
- With an increase in the pitch/roll angles, the speed of individual passengers gradually decreased. Only when the pitch angle was negative, the acceleration effect could occur.
- (3)
- At different speeds, the deceleration rules of the pitch/roll angles changed, which was mainly reflected in the value of the speed reduction ratio.
- (4)
- The pitch/roll angles affected the interval time between a passenger and the preceding passenger. The larger the angle, the larger the safety interval time between individuals. The passenger density and the distance from the passenger in front at different pitch/roll angles were similar.
- (5)
- The individual passenger speed in group evacuation was mainly related to the personal speed, inclined angle, front passenger’s speed, and front-oriented safety interval time. According to the function model based on the experimental data, the predictive model of motion speed appeared valid.
Author Contributions
Funding
Informed Consent Statement
Data Availability Statement
Conflicts of Interest
References
- Togher, M.; Al Barghuthi, N.B. A review of aircraft evacuation models and behavioural simulations. In Proceedings of the 2018 Fifth HCT Information Technology Trends (ITT), Dubai, United Arab Emirates, 28–29 November 2018; pp. 276–280. [Google Scholar]
- National Transportation Safety Board. Aircraft Accident Report-Air Canada Flight 797, McDonnell Douglas DC-9-32, C-FTLU, Greater Cincinnati International Airport, Covington, Kentucky, June 2, 1983; National Transportation Safety Board: Washington, DC, USA, 1986.
- National Archives and Records Administration. FAR Part 25, Appendix J Airworthiness Standards: Transport Category Airplanes, Including Amendment 25–98 as Published in the Federal Register on 8 February; National Archives and Records Administration: Washington, DC, USA, 1999.
- McLean, G.A.; George, M.H. Aircraft Evacuations through Type-III Exits II: Effects of Individual Subject Differences; No. DOT/FAA/AM-95/25; Civil Aerospace Medical Institute: Oklahoma City, OK, USA, 1995. [Google Scholar]
- McLean, G.A. Access-to-Egress: A Meta-Analysis of the Factors That Control Emergency Evacuation through the Transport Airplane Type-III Overwing Exit; Civil Aeromedical Institute: Oklahoma City, OK, USA, 2001. [Google Scholar]
- McLean, G.A.; George, M.H.; Funkhouser, G.E.; Chittum, C.B. Aircraft Evacuations onto Escape Slides and Platforms II: Effects of Exit Size; Federal Aviation Administration, Civil Aeromedical Institute: Oklahoma City, OK, USA, 1999. [Google Scholar]
- McLean, G.A.; Corbett, C.L.; Palmerton, D.A.; Porter, K.; Shaffstall, R.M.; McDown, J.R.; Larcher, K.G.; Odom, R.S. Access-to-Egress I: Interactive Effects of Factors That Control the Emergency Evacuation of Naïve Passengers through the Transport Airplane Type-III Overwing Exit; Federal Aviation Administration, Civil Aeromedical Institute: Oklahoma City, OK, USA, 2002. [Google Scholar]
- Muir, H.C.; Hall, J.; Bottomley, D. Aircraft Evacuations: Competitive Evacuations in Conditions of Non-Toxic Smoke; Civil Aviation Authority: Oklahoma City, OK, USA, 1992. [Google Scholar]
- Muir, H.C.; Bottomley, D.M.; Marrison, C. Effects of motivation and cabin configuration on emergency aircraft evacuation behavior and rates of egress. Int. J. Aviat. Psychol. 1996, 6, 57–77. [Google Scholar] [CrossRef]
- Wilson, R.L.; Thomas, L.J.; Muir, H.C. Recent Transport Canada cabin safety research at Cranfield University. In Proceedings of the Fourth Triennial International Aircraft Fire and Cabin Safety Research Conference, Lisbon, Portugal, 15–18 November 2004. [Google Scholar]
- Wilson, R.L.; Muir, H.C. The effect of overwing hatch placement on evacuation from smaller transport aircraft. Ergonomics 2010, 53, 286–293. [Google Scholar] [CrossRef] [PubMed]
- Galea, E.R.; Blake, S.J.; Gwynne, S.; Lawrence, P.J. The use of evacuation modelling techniques in the design of very large transport aircraft and blended wing body aircraft. Aeronaut. J. 2003, 107, 207–218. [Google Scholar] [CrossRef]
- Kirchner, A.; Klüpfel, H.; Nishinari, K.; Schadschneider, A.; Schreckenberg, M. Simulation of competitive egress behavior: Comparison with aircraft evacuation data. Phys. A Stat. Mech. Its Appl. 2003, 324, 689–697. [Google Scholar] [CrossRef]
- Liu, Y.; Wang, W.; Huang, H.-Z.; Li, Y.; Yang, Y. A new simulation model for assessing aircraft emergency evacuation considering passenger physical characteristics. Reliab. Eng. Syst. Saf. 2014, 121, 187–197. [Google Scholar] [CrossRef]
- National Transportation Safety Board. Emergency Evacuation of Commercial Airplanes; Report No. NTSB/SS-00/01; National Transportation Safety Board: Washington, DC, USA, 2000.
- Chang, Y.-H.; Yang, H.-H. Cabin safety and emergency evacuation: Passenger experience of flight CI-120 accident. Accid. Anal. Prev. 2011, 43, 1049–1055. [Google Scholar] [CrossRef] [PubMed]
- Deng, X. An Aircraft Evacuation Simulation Baseline Using DES for Passenger Path Planning. Master’s Thesis, Embry–Riddle Aeronautical University, Daytona Beach, FL, USA, 2016. [Google Scholar]
- Veloz, M.F.V.; Zhou, K.; Bosman, L.W.J.; Potters, J.-W.; Negrello, M.; Seepers, R.M.; Strydis, C.; Koekkoek, S.K.E.; De Zeeuw, C.I. Cerebellar control of gait and interlimb coordination. Anat. Embryol. 2014, 220, 3513–3536. [Google Scholar] [CrossRef] [PubMed]
- Lee, D.; Park, J.-H.; Kim, H. A study on experiment of human behavior for evacuation simulation. Ocean Eng. 2004, 31, 931–941. [Google Scholar] [CrossRef]
- Park, J.-H.; Lee, D.; Kim, H.; Yang, Y.-S. Development of evacuation model for human safety in maritime casualty. Ocean Eng. 2004, 31, 1537–1547. [Google Scholar] [CrossRef]
- Murayama, M.; Itagaki, T.; Yoshida, K. Study on evaluation of escape route by evacuation simulation escape in listed ship. J. Soc. Nav. Archit. Jpn. 2000, 2000, 441–448. [Google Scholar] [CrossRef] [PubMed]
- Yoshida, K.; Murayama, M.; Itakaki, T. Study on evaluation of escape route in passenger ships by evacuation simulation and full-scale trials. Res. Inst. Mar. Eng. 2001, 2000, 441–448. [Google Scholar]
- Glen, I.F.; Galea, E.R.; Kiefer, K.C.; Thompson, T.E.; Kuo, C. Ship evacuation simulation: Challenges and solutions. Discussion. Author’s closure. Trans.-Soc. Nav. Archit. Mar. Eng. 2001, 109, 121–139. [Google Scholar]
- Valanto, P. Time-Dependent Survival Probability of a Damaged Passenger Ship II-Evacuation in Seaway and Capsizing; HSVA Report 1661; YUMPU: Diepoldsau, Switzerland, 2006. [Google Scholar]
- Galea, E.R.; Grandison, A.; Blackshields, D.; Sharp, G.; Filippidis, L.; Deere, S.; Nicholls, I.; Hifi, Y.; Breuillard, A.; Cassez, A. IMO INF Paper Summary-The SAFEGUARD enhanced scenarios and recommendations to IMO to update MSC Circ 1238. In SAFEGUARD Passenger Evacuation Seminar; The Royal Institution of Naval Architects: London, UK, 2012; Volume 105. [Google Scholar]
- Bles, W.; Nooy, S.A.E.; Boer, L.C. Influence of ship listing and ship motion on walking speed. In Proceedings of the Conference on Pedestrian and Evacuation Dynamics (PED 2001), Duisburg, Germany, 2001; Springer: Berlin/Heidelberg, Germany, 2001. [Google Scholar]
- Sun, J.; Guo, Y.; Li, C.; Lo, S.; Lu, S. An experimental study on individual walking speed during ship evacuation with the combined effect of heeling and trim. Ocean Eng. 2017, 166, 396–403. [Google Scholar] [CrossRef]
- Lee, D.; Kim, H.; Park, J.-H.; Park, B.-J. The current status and future issues in human evacuation from ships. Saf. Sci. 2003, 41, 861–876. [Google Scholar] [CrossRef]
- Meyer-König, T.; Valanto, P.; Povel, D. Implementing ship motion in AENEAS—Model development and first results. In Pedestrian and Evacuation Dynamics 2005; Springer: Berlin/Heidelberg, Germany, 2007. [Google Scholar]
- Pollard, D.W. Passenger Flow Rates between Compartments: Straight-Segmented Stairways, Spiral Stairways, and Passageways with Restricted Vision and Changes of Attitude; US Department of Transportation, Federal Aviation Administration, Office of Aviation Medicine: Oklahoma City, OK, USA, 1978; Volume 78. [Google Scholar]
- Lv, W.; Fang, Z.; Wei, X.; Song, W.; Liu, X. Experiment and modelling for pedestrian following behavior using velocity-headway relation. Procedia Eng. 2013, 62, 525–531. [Google Scholar] [CrossRef]
- Sun, J.; Lu, S.; Lo, S.; Ma, J.; Xie, Q. Moving characteristics of single file passengers considering the effect of ship trim and heeling. Phys. A Stat. Mech. Its Appl. 2017, 490, 476–487. [Google Scholar] [CrossRef]
- Tang, T.; Huang, H.; Shang, H. A new pedestrian-following model for aircraft boarding and numerical tests. Nonlinear Dyn. 2012, 67, 437–443. [Google Scholar] [CrossRef]
















| Mode | Gender | Speed (m/s) | ||
|---|---|---|---|---|
| Seat Area | Aisle Area | Whole Area | ||
| Evacuation | Male | 0.81 | 3.08 | 2.01 |
| Female | 0.67 | 2.70 | 1.80 | |
| Walking | All | 0.53 | 1.49 | 1.14 |
| Source | F | p | ||
|---|---|---|---|---|
| Aera | Angle | Movement Mode | ||
| seat | roll | walking | 22.970 | <0.001 |
| roll | evacuation | 13.867 | <0.001 | |
| pitch | walking | 53.126 | <0.001 | |
| pitch | evacuation | 81.350 | <0.001 | |
| aisle | roll | walking | 11.917 | 0.002 |
| roll | evacuation | 22.370 | <0.001 | |
| pitch | walking | 52.556 | <0.001 | |
| pitch | evacuation | 73.263 | <0.001 | |
| Function | a | b | c | Adj-R2 |
|---|---|---|---|---|
| Vi = a × Vi−1 + b | 0.943 | 0.026 | - | 0.95 |
| Vi = a × (di−1 − d0) | 2.835 | - | - | 0.88 |
| Vi = a × (Vi−1 × ti−1 − d0) | 2.904 | - | 0.977 | |
| Vi = (a + b × ti−1) × Vi−1 + c × d0 | 0.954 | −0.026 | 0.088 | 0.95 |
| Vi = a × Vi−1 + b × (di−1 − d0) + c | 0.99 | −0.06 | −0.014 | 0.94 |
Disclaimer/Publisher’s Note: The statements, opinions and data contained in all publications are solely those of the individual author(s) and contributor(s) and not of MDPI and/or the editor(s). MDPI and/or the editor(s) disclaim responsibility for any injury to people or property resulting from any ideas, methods, instructions or products referred to in the content. |
© 2023 by the authors. Licensee MDPI, Basel, Switzerland. This article is an open access article distributed under the terms and conditions of the Creative Commons Attribution (CC BY) license (https://creativecommons.org/licenses/by/4.0/).
Share and Cite
Zhang, T.; Lin, G.; Feng, W.; Yu, J. Experimental Study on Individual and Group Evacuation of Passengers from an Aircraft Cabin in the Pitch/Roll State. Aerospace 2023, 10, 736. https://doi.org/10.3390/aerospace10090736
Zhang T, Lin G, Feng W, Yu J. Experimental Study on Individual and Group Evacuation of Passengers from an Aircraft Cabin in the Pitch/Roll State. Aerospace. 2023; 10(9):736. https://doi.org/10.3390/aerospace10090736
Chicago/Turabian StyleZhang, Tong, Guiping Lin, Wenchun Feng, and Jia Yu. 2023. "Experimental Study on Individual and Group Evacuation of Passengers from an Aircraft Cabin in the Pitch/Roll State" Aerospace 10, no. 9: 736. https://doi.org/10.3390/aerospace10090736
APA StyleZhang, T., Lin, G., Feng, W., & Yu, J. (2023). Experimental Study on Individual and Group Evacuation of Passengers from an Aircraft Cabin in the Pitch/Roll State. Aerospace, 10(9), 736. https://doi.org/10.3390/aerospace10090736
