Next Article in Journal
Analysis and Suppression of Thrust Trap for Turbo-Ramjet Mode Transition with the Integrated Optimal Control Method
Next Article in Special Issue
Investigation of the Influence of Wake Field Characteristic Structures on Downstream Targets Using the POD Method
Previous Article in Journal
Quadrotor Robust Fractional-Order Sliding Mode Control in Unmanned Aerial Vehicles for Eliminating External Disturbances
Previous Article in Special Issue
Flow Structures and Aerodynamic Behavior of a Small-Scale Joined-Wing Aerial Vehicle under Subsonic Conditions
error_outline You can access the new MDPI.com website here. Explore and share your feedback with us.
 
 
Font Type:
Arial Georgia Verdana
Font Size:
Aa Aa Aa
Line Spacing:
Column Width:
Background:
Article

Study of Circumferential Grooved Casing Treatment on Cascade Aerodynamic Performance

1
Low Speed Aerodynamics Institute, China Aerodynamics Research and Development Center, Mianyang 621000, China
2
Purification Equipment Research Institute of CSIC, Handan 056027, China
3
School of Aerospace Engineering, Beijing Institute of Technology, Beijing 100081, China
4
Institute for Aero Engine, Tsinghua University, Beijing 100084, China
*
Author to whom correspondence should be addressed.
Aerospace 2023, 10(8), 666; https://doi.org/10.3390/aerospace10080666
Submission received: 21 June 2023 / Revised: 22 July 2023 / Accepted: 24 July 2023 / Published: 27 July 2023

Abstract

To explore the influence of circumferential grooved casing treatment on subsonic cascade performance, a numerical simulation of subsonic cascade was conducted. In contrast to traditional research on variable single parameters for casing treatment, this paper used the Latin hypercube sampling method to randomly sample multiple geometric parameters of casing treatment and compared many sample data with the total pressure loss of the cascade as a measurement standard. After selecting several typical cases of high and low total pressure loss cases for in-depth flow field analysis, it was found that casing treatment affects the strength and structure of the leakage vortex, thereby reducing the blockage of fluid in the passage of the cascade. Changes in the total pressure loss and in the margin of the cascade meant that casing treatment affected cascade performance. This prompted analysis of the correlation between the casing treatment parameters and total pressure loss of the cascade. The clearance height and groove depth had the greatest influence on the total pressure loss of the cascade.

1. Introduction

The thrust–weight ratio of an engine has kept rising as compressor technology has improved, and vice versa for the compressor’s pressure ratio. Additionally, the stable operating range has been greatly reduced due to decreases in the axial size of compressor component sizes, considerable increases in per-stage loading, and increases in compressor loading levels. It is required to use specific control methods in order to increase the compressor’s stable working range in order to give a sufficient safety margin. This will increase the compressor’s efficiency for a comparatively long time and provide enough of a safety margin. Casing treatment is a reliable passive-control technology which improves the stability margin of an engine, avoids tip rotating stall, and delays engine surge [1,2]. Passive control is the control of non-external energy, and active control is the control of external energy plus energy sources [3,4,5,6,7]. Because of its many technical advantages, casing treatment has been widely studied and applied, and research on casing treatment has considerable value in engineering applications.
In the 1960s, Koch [8] proposed that regardless of suction or not, the casing treatment structure will increase the stable operating range of a compressor. Since then, researchers have studied casing treatment extensively, including focusing on casing treatment structure and its influence on compressor performance [2,9]. At the same time, the development of Computational Fluid Dynamics (CFD) technology has provided a convenient tool for researchers to analyze the flow field, and the continuous progress in processing technology has accelerated the research and exploration of casing treatment technology [10].
In the 1980s, in order to reduce the efficiency loss of the casing treatment, Wisler et al. [11] tested different casing treatment structures, and the results showed that a sloped trench casing treatment can increase the efficiency by about 1%, but the stall margin decreases slightly. In order to obtain a better performance of the casing treatment, researchers carried out detailed studies on its different parameters [12,13,14,15], Chu [16,17,18] studied the groove width, axial position, and number of grooves. The results show that there is an optimal groove width range for the same total width of grooves, meaning the casing treatments have a maximal treatment area at the key part of the blade tip chord projection. The stabilization effect of casing treatment gradually decreases as the number of grooves is gradually reduced from seven slots to three, and the cause of stalling changes. Rearward movement of the axial position of a casing treatment with a circumferential groove will not affect a tip’s front edge area. The leakage flow of the tip clearance forms a low-speed zone at the front edge of the blade tip, causing the inlet to block and the rotor to stall. Today, research on casing treatment has expanded [19,20,21], including instability type [22], inter-stage matching, and stall-precursor-suppressed (SPS) casing treatment [23,24]. However, most current research on casing treatment is limited to a single geometric design parameter and ignores multiple parameters.
In order to investigate whether the casing treatment may enhance the performance of the cascade and its mechanism, a number of design parameters are combined in this study, and the Latin hypercube sampling method is utilized to randomly sample design parameters.

2. Materials and Methods

2.1. Study Cascade and Structure of Casing Treatment

To explore the effect of casing treatment on the tip leakage flow and simplify the flow structure at the tip, this paper selects a subsonic cascade designed by the research group as the research object. The shape and geometric parameters of the cascade are shown in Figure 1a and Table 1.
Since all six parameters—blade tip clearance (h), groove depth (d), groove width (w1), groove shoulder width (w2), entire grooves width (w), and groove position (t)—affect the performance of the cascade; they are used together for Latin hypercube sampling.
Latin hypercube sampling is used to select the circumferential grooved casing treatment for numerical simulation in design space. A Latin hypercube sampling method [25,26], including a reduction of spurious correlation in input data, is suggested for stochastic finite element analysis. This sampling procedure strongly improves the representation of stochastic design parameters compared to a standard Monte Carlo sampling. First, divide the value range of each design variable into N sub-intervals according to the number of experimental points N, then randomly select a value in each sub-interval of each design variable, and finally set the value range of each design variable. The N-selected values are randomly combined with N vectors to form N test points. This article extracts 100 sets of grooves with different data for modeling.
The tip clearance height (h), the ratio of the groove depth (d) to the tip clearance height, the ratio of the groove width (w1) to the axial chord length (ca), the ratio of the width of the groove shoulder (w2) to the axial chord length, the ratio of the width of the total grooves (w) to the axial chord length, and the ratio of the distance between the first groove and the leading edge of the blade (t) to the axial chord length are used as design variables and are shown in Figure 1b. Based on previous research on casing treatment and consideration of practical engineering applications, the value ranges of the above six parameters are determined, as shown in Table 2.

2.2. Numerical Methods and Computational Grid

In order to ensure its accuracy, the numerical method is checked before the study. This paper uses a MAN GHH [19] compressor’s first-stage stator blade root cross-sectional shape for numerical verification. The cascade was studied in detail experimentally, and its designed inlet Mach number was 0.62, close to the cascade inlet Mach number used in this article. A geometrical schematic diagram and detailed parameters of the cascade are shown in Figure 2 and Table 3.
A cascade passage is simulated, and periodic boundary conditions were imposed on both sides of the passage. Figure 3 shows the calculation domain and grid division. The inlet height of the calculation domain is 0.5 mm, and the exit height is appropriately reduced to ensure that the axial velocity density ratio (AVDR) is the same as that of the experiment, i.e., 1.1. The blade surface uses an adiabatic non-slip boundary, and the shroud and hub use a sliding wall boundary. The inlet boundary conditions are given a total pressure of 101,325 Pa and a total temperature of 288.15 K, and the outlet is given a static pressure value to ensure that the inlet Mach number is 0.62.
ANSYS CFX software with high precision and good robustness is used for numerical simulation. The discrete of the space term uses a high-precision difference format, and the discrete of the time term uses a second-order implicit backward difference combined with an SST turbulence model to solve the Navier–Stokes equation.
Figure 4 illustrates the measure of grid independence: when the number of grid points reaches 75,000 with five nodes in span, the total pressure loss coefficient changes very little, indicating that the grid number has met the grid independence requirement. The height of the first layer of the grid satisfies y+ ≤ 2.5.
Figure 5 shows a comparison of the numerical and experimental results of the isentropic Mach number distribution on the blade surface for inlet flow angles β1 = 137°, β1 = 141°, and β1 = 133°. The prediction of the isentropic Mach number peak and position on the suction surface of the blade is highly accurate for β1 = 137° when the inlet Mach number is compatible with the experimental result, and the simulation result is essentially consistent with the experimental result. Further, at β1 = 141°, the predicted isentropic Mach number is slightly smaller than the experimental one, but its trend is basically the same as that of the experimental result. When β1 = 133°, the predicted isentropic Mach number of the leading edge of the pressure surface is higher than the experimental Mach number, and the predicted peak isentropic Mach number on the suction surface is slightly higher than the experimental Mach number, but the overall prediction is accurate. The numerical simulation method used in this paper can accurately predict the flow state of the subsonic cascade and can accurately predict the isentropic Mach number distribution of the suction surface of the blade under the design incidence. There is a certain deviation between the simulation and the experiment results under other incidences, but the prediction of the overall trend of the isentropic Mach number is very accurate. Therefore, the numerical simulation results of the flow field are reliable and meet the needs of engineering applications.
The numerical simulation grid of the blade used in this paper uses partition division technology; the cascade passage uses an HOH-type grid; the grooves part uses an H-type grid, and two parts of the grid are refined near the wall, and the mixing plane method is used to deal with the data exchange at the interface between the blade domain and groove domain, Figure 6 shows a grid division diagram of the calculation domain. In the simulation, the shroud and hub, and blade walls use adiabatic and non-slip boundary conditions. The inlet boundary conditions are given a total pressure of 101,325 Pa, and a total temperature of 288.15 K, and the outlet is given a static pressure of 83,550 Pa.
Figure 7 shows grid independence verification of the smooth casing. Normalize mass flow based on the mass flow corresponding to the minimum and maximum grid volumes. When the grid volume reaches 1.2 million, with increasing grid volume, the mass flow and the total pressure loss do not change much, indicating that the grid number has met the grid independence requirement. Therefore, the simulation of the casing treatment uses a grid with a grid volume of 1.2 million for the smooth casing, the height of the first layer of the grids meets the condition y+ ≤ 1.

3. Flow Mechanism at 0° Incidence

3.1. Smooth Casing

The simulation results of the aerodynamic performance parameters of the smooth casings are shown in Table 4, which also defines the leakage flow flux ML:
M L = M f / A F
where M f is the mass flow, A F is the local circulation area.
A F = h c
where h is chord length. The tip clearance height of the smooth casing is utilized as a reference to calculate the leakage mass flow per unit tip clearance height. Figure 8 shows the spanwise total pressure loss distribution of the smooth casing at the leading edge, middle and trailing edge of the cascade. Define the total pressure loss coefficient ω :
ω = P 1 * P 2 * P 1 * P 1
where P* and P respectively represent the total pressure and static pressure, and bids 1 and 2 represent the inlet and outlet. The main loss of the cascade is from the lower-end wall region and the blade tip clearance region. Figure 9 compares the vorticity distributions at different span heights of the blade. The vorticity on the suction surface (SS) of the blade is very high, which indicates that the leakage flow is very intense here, and the energy in the region affected by the leakage vortex is high. The vortex at 99.95% of the span height is the greatest, indicating that the leakage vortex core of the smooth casing is located on the suction surface of the blade tip. The leakage at the tip clearance mainly affects the tip flow field, so the follow-up analysis is mainly near the tip. Figure 9 shows the flow field at 99.95% of the span height of the smooth casing. Driven by the pressure difference between the pressure surface and the suction surface of the blade, a leakage flow is formed at the blade tip clearance, meaning that the Mach number is higher in the suction surface of the blade. At the same time, a low-velocity zone appears in the blade tip passage upstream of the leading edge of the blade pressure surface due to the role of the leading edge station. This forms a blockage in the flow entering the passage so that the flow direction at the leading edge changes, causing a passage blockage and increasing flow loss.

3.2. Casing Treatment

This article focuses on the tip clearance leakage and how the casing treatment improves flow at the tip of the blade. Therefore, in order to examine how to improve the tip clearance leakage, the total pressure loss coefficient is calculated at 10% of the span height of the blade tip, as shown in Figure 10. Five groups of modified cascades with maximum and minimum total pressure losses were selected for comparative analysis. It was determined how the casing treatment’s flow mechanism improved the aerodynamic performance of the cascade.
Table 5 focuses on the leakage per unit tip clearance height. Although models 51 and 92 increase the total pressure loss, they decrease the leakage per unit tip clearance height. In contrast, models 14 and 23 decrease the total pressure loss but increase the leakage per unit tip clearance height, which shows that the casing treatment has the effect of deterioration and gain on the tip leakage simultaneously. In order to explore the effect and mechanism of improving the tip clearance leakage, we selected four models for detailed analysis. The specific parameters and geometric shapes of the models are shown in Table 6 and Figure 11. The tip clearance height and groove depth of models 14 and 23 are small, and the tip clearance height and groove depth of models 51 and 92 are large.
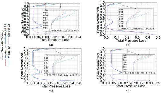
Figure 12 shows the total pressure loss and Mach number distribution of the outlet section. In the range of 94% of the span height of the tip, the total pressure loss of model 14 is lower than that of the smooth casing. Although the total pressure loss of model 23 at 97% of the span height of the tip is higher than that of the smooth casing, the total pressure loss at 88–97% of the span height is lower. The total pressure loss of models 51 and 92 at 92% of the span height of the blade tip is higher than that of the smooth casing. The Mach number of model 14 at 99% of the span height of the blade tip is lower than that of the smooth casing, while the Mach number of the 86–99% of the span height is higher than that of the smooth casing. The Mach number distribution of model 23 is the same as that of model 14, but its turning point is at 97% of the span height, indicating that the blockage at the tip clearance is slightly greater than that of the smooth casing but below the clearance, it is more clogged than that of the smooth casing. The Mach number of models 51 and 92 with large clearance height and groove depth is much lower than that of the smooth casing, indicating that the blockage is considerable and that the total pressure loss is also high.
In order to analyze the total pressure loss in the passage, Figure 13 shows the total pressure loss distribution at 10% of the span height of the tip along the flow direction. The horizontal coordinate is normalized from the leading edge of the blade to the outlet. The total pressure loss gradually increases along the flow direction, and the increase is greater at the position of the cascade passage (0–0.45x). The increase in total pressure loss of models 14 and 23 with small clearance height and groove depth is lower than that of the smooth casing, so the total pressure loss in the downstream section of the passage is lower than that of the smooth casing; The total pressure loss and increase level of models 51 and 92 with large clearance height and groove depth are significantly greater than those of the smooth casing from the inlet section to the outlet section of the cascade passage.
The total pressure loss in the blade tip passage is mainly caused by the blockage of the leakage vortex, so the aerodynamic blockage coefficient is defined to analyze the blockage in the passage:
B = ( ρ e V e ρ V ) d A m ˙
where ρe and Ve are the density and velocity of the fluid in the mainstream region, ρ and V are the density and velocity of the fluid in the blockage region, A is the section area, m ˙ is the mass flow.
The section position is shown in Figure 14, and the horizontal coordinate is normalized by the length of the section passage. Figure 14 shows that the airflow stagnates at the leading edge of the blade, resulting in an increase in the blockage coefficient at the leading edge. At the inlet of the blade passage, the blockage coefficient first decreases, and then, due to the development of the leakage vortex in the passage, the aerodynamic blockage coefficient significantly increases. When the airflow flows out of the blade passage, the actual circulation area increases due to the lack of blade limit; the blockage coefficient decreases and then begins to increase due to the influence of the wake in the wake region.
The blockage of models 14 and 23 is similar to that of the smooth casing. At the leading edge of the cascade passage, the leakage increases due to the grooves, so the aerodynamic blockage is high. Due to the influence of the leakage vortex in the passage downstream of the cascade passage, the blockage coefficient tends to increase slightly; the blockage coefficient is smaller than that of the smooth casing. The leakage and the blockage of models 51 and 92 decrease near the leading edge. However, downstream of the blade passage, the blockage increases sharply and continues to the trailing edge, becoming greater than the smooth casing downstream the trailing edge of the blade.
The design schemes with small clearance height and groove depth have a lower aerodynamic blockage, resulting in smaller total pressure loss and better flow field. However, the design schemes with large clearance height and groove depth are the opposite.
By comparing the Mach number and the flow angle, an analysis of the flow field at 10% of the span height of the tip is carried out, as shown in Table 7. The inlet Mach number and outlet Mach number of models 51 and 92 with large clearance height and groove depth both decrease, indicating that the passage blockage of these two models is greater than that of the smooth casing. The inlet flow angle of the modifications is the same as that of the smooth casing. The outlet flow angle and the backward angle of models 14 and 23, with small clearance height and groove depth, are smaller than that of the smooth casing, and the turning angle is larger. The outlet flow angle of models 51 and 92 is larger than that of the smooth casing. A small turning angle indicates that the passage is seriously blocked and the blade turning ability is weakened. The flow angle at the leading edge of the blade and the smooth casing are basically the same as those of models 14 and 23. The increase in the flow angles of the leading edges of models 51 and 92 indicates a serious blockage in the passage, resulting in poor air intake at the leading edge and a degree of lateral airflow.
Figure 15 shows the leakage streamline and vorticity distribution. The leading edge leakage flow interacts with the mainstream, and a leakage vortex is formed at the leading edge of the blade, developing downstream along the blade height direction and gradually moving away from the blade. The vortex core cannot be confined, and the vortex structure gradually expands. The vortex structure eventually grows as the vortex core cannot be confined. The vorticity of models 14 and 23 in region A is closer to the shroud and concentrated in the tip region than that of the smooth casing, and the leakage vortex area in region B is smaller than that of the smooth casing. The vortex core is more concentrated than that of the smooth casing, minimizing the region where the leaking vortex is obstructed in the span direction and lowering the total pressure loss. In models 51 and 92, because part of the airflow is sucked into the grooves, the development of the leakage vortex is restricted. At the leading edge C, the airflow is close to the suction surface of the blade and develops downward along the blade without spreading to the passage. Behind the grooves, due to the interaction between the grooves and the shroud, the leakage vortex is broken. The broken low-energy fluid gathers in the passage, resulting in a large vortex and passage blockage. The conclusions of aerodynamic blockage are consistent (as shown in Figure 16), resulting in a decrease in flow rate, which intensifies the total pressure loss.
The design schemes with small clearance height and groove depth keep the leakage vortex core in a concentrated form. However, the leakage vortex is broken in the design schemes with large clearance height and groove depth. In order to better explore the effect of casing treatment on the leakage at the tip clearance, a flow analysis was conducted.
Figure 16, normalized according to the length of the blade, shows the ratio of leakage at different positions to the total leakage. From the leading edge to the trailing edge of the smooth casing and the casing treatment, the tip clearance leakage first increases and then decreases. The leakage of models 14 and 23 occurs mainly in the front half of the cascade passage, and the overall leakage is less than that of the smooth casing. The leakage at the tip clearance of models 51 and 92 is mainly concentrated in the middle of the blade. The mass flow at the leading edge is less than that of the smooth casing, and at the rear of the middle, the leakage increases significantly, reaching a peak the leakage near the trailing edge is greater than that of the smooth casing. The analysis shows that the passage area of the casing treatment for the grooves increases, so the leakage increases and reaches a peak here.
Figure 17 compares the velocity vectors at the tip clearance. There is a strong secondary flow in the tip clearance of the smooth casing. The smooth casing’s tip clearance has a high secondary flow. To some extent, lateral secondary flow occurs from the leading edge and spirals upward, eventually weakening along the blades. The flow of the casing treatment is more complicated. Because of the grooves, the airflow curves in the direction of the grooves, preventing the development of lateral secondary flow. This curling in a groove is restricted to the groove’s shoulder, and the process is repeated until there is no groove, and the curl gradually begins to weaken. Due to the interaction between the lateral secondary flow and the curled fluid in the suction grooves, their development of them is restricted, and the leakage at the tip clearance is weakened. The transverse velocity vector of models 14 and 23 at the leading edge is slightly weakened, and the transverse flow at the rear of the grooves also decreases. Models 51 and 92 clearly suppress the lateral velocity vector at the leading edge and weaken the lateral secondary flow and the leakage flow here. The airflow curls into the grooves, but the lateral velocity vector at the trailing edge increases, resulting in increased leakage, increasing the blockage in the passage.
The tip clearance leakage movement is mainly driven by the pressure difference between the suction surface and the pressure surface. The leakage flow interacts with the mainstream to generate a leakage vortex, which causes passage blockage. Therefore, the static pressure coefficient distribution at 98% of the span height of the blade is analyzed.
Define the pressure coefficient:
C p = p p i n p * i n p i n
where p is the pressure and p* is the total pressure.
Figure 18 shows that near the leading edge, the pressure of the casing treatment varies considerably, but the overall pressure has been improved. Models 14 and 23 are similar to the smooth casing. The pressure difference at the leading edge increases slightly, the distribution at the trailing edge remains roughly constant, and the pressure of the casing treatment on the suction surface decreases. The pressure on the pressure surface of models 51 and 92 decreases, and the pressure difference significantly decreases, which reduces the driving force of the tip clearance leakage—this is the reason why the two types of modifications have reduced leakage at the leading edge. The area of the low Mach number decreases, but the pressure difference between the two modifications at the trailing edge increase—this corresponds to an increase in the lateral secondary flow at the trailing edge and an increase in leakage.
The design schemes with large clearance height and groove depth effectively decrease the pressure difference at the leading edge of the cascade and weaken the leakage at the tip clearance. The design schemes with small clearance height and groove depth are similar to the smooth casing.

4. Flow Mechanism at Varying Incidence

In order to study the mechanism of the casing treatment under different operating conditions, the incidence was varied for analysis with a condition inlet Mach number. The smooth casing and casing treatment casing are blocked at −7° incidence, so an operating condition of −6° incidence is defined as the near-choke point. At 2° incidence, the blade has a large separation, causing the cascade to stall, so a 1° incidence condition is defined as the near-stall point.
Figure 19 shows the total pressure loss at 10% of the span height of the tip under varying incidences. Although the operating range of the casing treatment and the smooth casing does not change, the performance does. At the near-stall point, the total pressure loss of the smooth casing is significantly higher than that of 0° incidence. The total pressure loss of models 14 and 23 with small clearance height and groove depth is lower than that of the smooth casing and is significantly smaller than that of 0° incidence. The total pressure loss of models 51 and 92 with large clearance height and groove depth is large but is not much different from that of the 0° incidence. At the near-choke point, the total pressure loss significantly increases. The total pressure loss of models 14 and 23 is basically the same as that of the smooth casing. The total pressure loss of models 51 and 92 is higher than that of the smooth casing, and that of model 92 is the highest. The minimum loss point of the smooth casing and models 51 and 92 is −5° incidence, but the total pressure loss of models 51 and 92 is higher than that of the smooth casing. The minimum loss point of models 14 and 23 is −3° incidence, and their total pressure loss is lower than that of the smooth casing.
Table 8 shows the total pressure loss coefficient for 10% of the span height of the tip of the casing treatment and the smooth casing. Although the total pressure loss increases at the near-stall point, the increase in total pressure loss of models 14 and 23 is smaller than that of the smooth casing, even less than the total pressure loss at 0° incidence—this indicates that models 14 and 23 effectively improve the flow near-the stall point. Although the total pressure loss of models 51 and 92 at the near-stall point is very high, it is slightly lower than that at 0° incidence, indicating that the flow of these two modifications has improved slightly. Models 14 and 23 and the smooth casing at the near-choke point increase to even higher than that of the smooth casing—this indicates that the flow here is slightly worse, while the total pressure loss of models 51 and 92 shows a small increase. It shows that the flow of these two modifications near the choke point is improved to a certain extent.
The casing treatment affects the performance of the cascade at different angles of incidence. Although the stall point and choke point do not change, the minimum total pressure loss point of the design schemes with small clearance height and groove depth shifts in the direction of positive incidence—this indicates that the range of incidence angle of models 14 and 23 moves to positive incidence; The performance of the design schemes with large clearance height and groove depth at the near-stall point and the near-choke point improves to a certain extent, which indicates that the range of incidence of these two models tends to expand.
Figure 20 shows the total pressure loss distribution along the span of the outlet section of the smooth casing and the casing treatment at different angles of incidence. When the near-stall point, the total pressure loss of models 14 and 23 is lower than that at 0° incidence, and the overall trends are similar. At the minimum loss point, the total pressure loss is lower than that at 0° incidence; the total pressure loss of models 14 and 23 at −3° incidence is lowest, compared with −5° incidence of the smooth casing, is obviously decreased. At the near-choke point, the total pressure loss at the tip clearance region is larger than that at 0° incidence, but the region with high loss is smaller than that at. 0° incidence. The total pressure loss near 70% to 94% of the span height is less than at 0° incidence. The difference in the total pressure loss between the smooth casing and the casing treatment is large, which indicates that the casing treatment has a greater influence on the flow field, and the treatment effect extends to 70% of the span height.
Figure 21 shows the vorticity distribution and leakage streamlines of the smooth casing and the casing treatment under different incidences. The distribution trend of the smooth casing and the casing treatment at the near-stall point are similar to that at 0° incidence, but the vorticity in region A and the blockage in region B of models 14 and 23 are slightly lower than that of the smooth casing. Therefore, the total pressure loss at 10% of the span height of the tip near the stall point is lower. The leakage flow of models 51 and 92 in region C enters the grooves, which causes the leakage after region C to increase, and the leakage vortex to break at the near-stall point. The volume of low-energy fluid is slightly smaller than that at 0° incidence. Therefore, the total pressure loss of 10% of the span height of the tip remains has a tendency to decrease. The minimum loss point of models 14 and 23 is at −3° incidence. The volume of the leakage vortex at the back of the blade is reduced, and the area of high vorticity is also reduced, so the passage is blocked. This results in a reduction in the total pressure loss at 10% of the span height of the tip. Models 51 and 92 are similar to the smooth casing, and both reach the minimum loss at −5° incidence. The airflow travels to the blade pressure on the suction surface, the airflow in region D travels to the pressure surface of the blade, and a large amount of fluid flows into the inside of the grooves—this causes a very strong lateral secondary flow. Some fluid flows into the suction surface from the tip clearance, and leakage begins to form in the middle of the blade. Therefore, the total pressure loss at 10% of the span height of the tip decreases. Near the choke point, part of the airflow flows along the pressure surface of the blade, and due to the influence of a pressure gradient, it develops close to the pressure surface, forming a leakage vortex on the pressure surface in region D—another part of the airflow flows into the suction surface of the blade through the tip clearance. A leakage vortex is formed on the suction surface, which causes an increase in the total pressure loss near the choke point at 10% of the span height of the blade tip.

5. Correlation Coefficient Analysis

Correlation analysis is used to study the closeness(correlation) between variables. This analysis can also reveal the direction of the correlation.
The expression of the correlation coefficient is as follows:
r x y = cov ( X , Y ) D ( X ) D ( Y ) i = 1 n ( X i X ¯ ) ( Y i Y ¯ ) i = 1 n ( X i X ¯ ) 2 i = 1 n ( Y i Y ¯ ) 2
The range of the correlation coefficient (r) is between −1 and 1. The larger the absolute value, the higher the correlation between x and y. When the value of r is greater than 0, this indicates that the two variables are positively correlated and vice versa. Generally, r < 0.3 is a weak correlation; 0.3 ≤ r < 0.5 is a low correlation, and 0.8 ≤ r < 1 is a high correlation.
In order to study the influence of weight coefficients of different parameters of the casing treatment on the performance of the cascade, a correlation analysis was carried out. Six parameters were selected as independent variables when designing the casing treatment, and the total pressure loss coefficient at 10% of the span height of the blade tip was the dependent variable in the analysis. The analysis results are shown in Table 9. The tip clearance height and the groove height have the greatest influence on the total pressure loss and are positively correlated; the total width of the grooves and the axial position have the second-greatest influence, and the total width of the grooves is positively correlated; the axial position is negatively correlated; the groove width and the groove shoulder width have the smallest influence on the total pressure loss and are negatively correlated.
Through correlation analysis, it was found that clearance height and groove depth have the greatest impact on total pressure loss. The trend of their impact was analyzed, and Figure 22 was obtained. It can be seen that with the increase of clearance height and groove depth, the total pressure loss shows an upward trend, indicating that the enhancement of leakage increases the loss to some extent.

6. Conclusions

The geometric parameters of the casing treatment are sampled and modeled in this research using Latin hypercube sampling, and numerical simulations of the design strategy are carried out using commercial software. The casing treatment is chosen for comparison analysis using the cascade’s total pressure loss as a reference. These are the conclusions:
(1)
The design scheme with a small clearance height and groove depth keeps the leakage vortex core in a concentrated form, meaning the blockage area in the passage is small, and the total pressure loss is small.
(2)
The design scheme with a large clearance height and groove depth effectively decreases the pressure difference at the leading edge of the cascade and weakens the leakage at the tip clearance. However, the leakage vortex is broken in the middle of the blade, and a large amount of low-energy fluid gathers in the passage, causing the passage to block, so the total pressure loss is relatively high.
(3)
Although the casing treatment does not change the incidence operating range of the smooth casing, the performance has undergone certain changes. The operating range of the design scheme with the small clearance height and groove depth moves to a certain extent in the direction of the positive incidence. The operating range of the design scheme with the larger clearance height and groove depth has a tendency to expand.
(4)
The tip clearance height and the groove height have the greatest influence on the total pressure loss and are positively correlated; the total width of the grooves and the axial position are the second-greatest, the total width of the grooves is positively correlated, and the axial position is negatively correlated. The groove width and groove shoulder width have the smallest influence on the total pressure loss and are negatively correlated.
This paper explored the influence of circumferential grooved casing treatment on the cascade performance. To simplify the flow field of a real rotor and analyze the mechanism of casing treatment that affects leakage, we simulated subsonic cascades. Our research results can be used as a qualitative reference.

Author Contributions

Methodology, J.T. and L.J.; validation, C.Z.; investigation, J.T. and C.Z.; resources, L.Z. and H.Z.; writing—original draft preparation, J.T. and C.Z.; writing—review and editing, L.Z., H.Z. and L.J.; funding acquisition, L.Z. All authors have read and agreed to the published version of the manuscript.

Funding

This study was supported by the National Natural Science Foundation of China (Grant No. 51976010), National Major Science and Technology Projects of China (J2019-Ⅱ-0003-0023, 2017-II-0006-0020, 2017-II-0001-0013).

Data Availability Statement

The data presented in this study are available on request from the corresponding author. The data are not publicly available due to privacy.

Conflicts of Interest

The authors declare no conflict of interest.

Nomenclature

mfMass flow
mflLeakage mass flow
MaMach number
βAirflow angle
βLeLeading edge airflow angle
γStagger angle
iincidence
ωTotal pressure loss coefficient
ωtTotal pressure loss coefficient at 10% of the span height of the blade tip
BAerodynamic blockage coefficient
cpPressure coefficient
PSPressure surface
SSSuction surface

References

  1. Smith, G.D.J.; Cumpsty, N.A. Flow Phenomena in Compressor Casing Treatment. J. Eng. Gas Turbines Power 1984, 106, 532. [Google Scholar] [CrossRef]
  2. Takata, H.; Tsukuda, Y. Stall Margin Improvement by Casing Treatment—Its Mechanism and Effectiveness. J. Eng. Power 1977, 99, 121. [Google Scholar] [CrossRef]
  3. Bhattacharya, S.; Gregory, J. The optimum wavelength of spanwise segmented plasma actuator forcing of a circular cylinder wake. In Proceedings of the 51st AIAA Aerospace Sciences Meeting including the New Horizons Forum and Aerospace Exposition, Grapevine, TX, USA, 7–10 January 2013. [Google Scholar]
  4. Huang, X.Y. Suppression of vortex shedding from a circular cylinder by internal acoustic excitation. J. Fluids Struct. 1995, 9, 563–570. [Google Scholar] [CrossRef]
  5. Fujisawa, N.; Takeda, G. Flow control around a circular cylinder by internal acoustic excitation. J. Fluids Struct. 2004, 19, 1031–1048. [Google Scholar] [CrossRef]
  6. Hwang, J.-Y.; Yang, K.-S.; Sun, S.-H. Reduction of flow-induced forces on a circular cylinder using a detached splitter plate. Phys. Fluids 2003, 15, 2433–2436. [Google Scholar] [CrossRef]
  7. Ozono, S. Flow control of vortex shedding by a short splitter plate asymmetrically arranged downstream of a cylinder. Phys. Fluids 1999, 11, 2928–2934. [Google Scholar] [CrossRef]
  8. Koch, C.C. Experimental Evaluation of Outer Case Blowing or Bleeding of Single Stage Axial Flow Compressor, Part II–Performance of Plain Casing Insert Configuration with Undistorted Inlet Flow and Boundary Layer Trip; Report No: NASA CR-54588; National Aeronautics and Space Administration: Washington, DC, USA, 1968. [Google Scholar]
  9. Fabri, J.; Reboux, J. Effect of Outer Casing Treatment and Tip Clearance on Stall Margin of a Supersonic Rotating Cascade. In Proceedings of the ASME 1975 International Gas Turbine Conference and Products Show, Houston, TX, USA, 2–6 March 1975; 75-GT-95. American Society of Mechanical Engineers: New York, NY, USA, 1975. [Google Scholar]
  10. Greitzer, E.M.; Nikkanen, J.P.; Haddad, D.E.; Mazzawy, R.S.; Joslyn, H.D. A Fundamental Criterion for the Application of Rotor Casing Treatment. J. Fluids Eng. 1979, 101, 237. [Google Scholar] [CrossRef]
  11. Wisler, D.C.; Beacher, B.F. Improved compressor performance using recessed clearance (trenches). J. Propuls. Power 1989, 5, 469–475. [Google Scholar] [CrossRef]
  12. Lu, X.; Chu, W.; Zhang, Y.; Zhu, J. Experimental and numerical investigation of a subsonic compressor with bend-skewed slot-casing treatment. Proc. Inst. Mech. Eng. Part C J. Mech. Eng. Sci. 2006, 220, 1785–1796. [Google Scholar] [CrossRef]
  13. Müller, M.W.; Schiffer, H.P.; Hah, C. Effect of circumferential grooves on the aerodynamic performance of an axial single-stage transonic compressor. In Proceedings of the Turbo Expo: Power for Land, Sea, and Air, Montreal, QC, Canada, 14–17 May 2007; pp. 115–124. [Google Scholar] [CrossRef]
  14. Anzalotta, C.; Joshi, K.; Fernandez, E.; Bhattacharya, S. Effect of forcing the tip-gap of a NACA0065 airfoil using plasma actuators: A proof-of-concept study. Aerosp. Sci. Technol. 2020, 107, 106268. [Google Scholar] [CrossRef]
  15. Li, J.; Dong, X.; Sun, D.; Xu, R.; Sun, X. Response and stabilization of a two-stage axial flow compressor restricted by rotating inlet distortion. Chin. J. Aeronaut. 2021, 34, 72–82. [Google Scholar] [CrossRef]
  16. Chu, W.; Zhang, H.; Wu, Y.; Dang, C. Influences of axial positions of grooved casing treatment on stall margin improvement. J. Aerosp. Power 2008, 7, 1212–1217. [Google Scholar]
  17. Chu, W.; Zhang, H.; Wu, Y.; Dang, C. Effects of grooved number of grooved casing treatment on stall margin. J. Propuls. Technol. 2008, 5, 88–93. [Google Scholar]
  18. Yan, S.; Chu, W. The improvement of transonic compressor performance by the self-circulating casing treatment. Proc. Inst. Mech. Eng. Part C J. Mech. Eng. Sci. 2021, 235, 1165–1176. [Google Scholar] [CrossRef]
  19. Li, J.; Dong, X.; Sun, D.; Wang, Y.; Geng, C.; Sun, X. Stability Enhancement and Noise Reduction of an Axial Compressor with Foam Metal Casing Treatment. Aerospace 2022, 9, 628. [Google Scholar] [CrossRef]
  20. Wang, W.; Chu, W.; Zhang, H.; Kuang, H. Experimental and numerical study of tip injection in a subsonic axial flow compressor. Chin. J. Aeronaut. 2017, 30, 907–917. [Google Scholar] [CrossRef]
  21. Kumar, S.S.; Alone, D.B.; Thimmaiah, S.M.; Mudipalli, J.R.; Kumar, L.; Ganguli, R.; Kandagal, S.B.; Jana, S. Aerodynamic behavior of a transonic axial flow compressor stage with self-recirculating casing treatment. Aerosp. Sci. Technol. 2021, 112, 106587. [Google Scholar] [CrossRef]
  22. Dong, X.; Zhang, L.; Sun, D.; Sun, X. Experimental and model investigations of SPS casing treatment on a two-stage compressor. Propuls. Power Res. 2021, 10, 1–14. [Google Scholar] [CrossRef]
  23. Steinert, W.; Eisenberg, B.; Starken, H. Design and testing of a controlled diffusion airfoil cascade for industrial axial flow compressor application. In Proceedings of the ASME 1990 International Gas Turbine and Aeroengine Congress and Exposition, Brussels, Belgium, 11–14 June 1990. [Google Scholar] [CrossRef]
  24. Li, F.; Li, J.; Dong, X.; Sun, D.; Sun, X. Influence of SPS casing treatment on axial flow compressor subjected to radial pressure distortion. Chin. J. Aeronaut. 2017, 30, 685–697. [Google Scholar] [CrossRef]
  25. Olsson AM, J.; Sandberg, G.E. Latin Hypercube Sampling for Stochastic Finite Element Analysis. J. Eng. Mech. 2002, 128, 121–125. [Google Scholar] [CrossRef]
  26. Shields, M.D.; Zhang, J. The generalization of Latin hypercube sampling. Reliab. Eng. Syst. Saf. 2016, 148, 96–108. [Google Scholar] [CrossRef]
Figure 1. Schematic diagram of cascade parameters and casing treatment parameters. (a) Schematic diagram of cascade parameters; (b) schematic diagram of casing treatment parameters.
Figure 1. Schematic diagram of cascade parameters and casing treatment parameters. (a) Schematic diagram of cascade parameters; (b) schematic diagram of casing treatment parameters.
Aerospace 10 00666 g001
Figure 2. Schematic diagram of MAN GHH 1-S1 cascade parameters.
Figure 2. Schematic diagram of MAN GHH 1-S1 cascade parameters.
Aerospace 10 00666 g002
Figure 3. Calculation domain and grid generation of the cascade.
Figure 3. Calculation domain and grid generation of the cascade.
Aerospace 10 00666 g003
Figure 4. Grid independence verification.
Figure 4. Grid independence verification.
Aerospace 10 00666 g004
Figure 5. Comparison between numerical and experimental of the isentropic Mach number; (a) β1 = 133°; (b) β1 = 137°; (c) β1 = 141°.
Figure 5. Comparison between numerical and experimental of the isentropic Mach number; (a) β1 = 133°; (b) β1 = 137°; (c) β1 = 141°.
Aerospace 10 00666 g005
Figure 6. Grid generation diagram; (a) grid generation of the cascade; (b) schematic diagram of calculation domain.
Figure 6. Grid generation diagram; (a) grid generation of the cascade; (b) schematic diagram of calculation domain.
Aerospace 10 00666 g006
Figure 7. Grid independence verification.
Figure 7. Grid independence verification.
Aerospace 10 00666 g007
Figure 8. Distribution of total pressure loss with different span heights of the smooth casing.
Figure 8. Distribution of total pressure loss with different span heights of the smooth casing.
Aerospace 10 00666 g008
Figure 9. Vorticity and the Mach number distribution of smooth casing with different span heights.
Figure 9. Vorticity and the Mach number distribution of smooth casing with different span heights.
Aerospace 10 00666 g009
Figure 10. Total pressure loss of different casing treatments at 10% of the span height of the tip.
Figure 10. Total pressure loss of different casing treatments at 10% of the span height of the tip.
Aerospace 10 00666 g010
Figure 11. The geometry of casing treatment.
Figure 11. The geometry of casing treatment.
Aerospace 10 00666 g011
Figure 12. Distribution of total pressure loss and Mach Number at outlet along the span. (a) ω; (b) Ma.
Figure 12. Distribution of total pressure loss and Mach Number at outlet along the span. (a) ω; (b) Ma.
Aerospace 10 00666 g012
Figure 13. Distribution of total pressure loss along the flow direction at 10% of the span height of the blade tip.
Figure 13. Distribution of total pressure loss along the flow direction at 10% of the span height of the blade tip.
Aerospace 10 00666 g013
Figure 14. Aerodynamic blockage coefficient along the flow direction.
Figure 14. Aerodynamic blockage coefficient along the flow direction.
Aerospace 10 00666 g014
Figure 15. Leakage streamline and vorticity distribution at the tip clearance.
Figure 15. Leakage streamline and vorticity distribution at the tip clearance.
Aerospace 10 00666 g015
Figure 16. The ratio of leakage at different positions of the cascade to total leakage.
Figure 16. The ratio of leakage at different positions of the cascade to total leakage.
Aerospace 10 00666 g016
Figure 17. Velocity vector at the tip clearance.
Figure 17. Velocity vector at the tip clearance.
Aerospace 10 00666 g017
Figure 18. Distribution of the pressure coefficient at blade 98% of the span height.
Figure 18. Distribution of the pressure coefficient at blade 98% of the span height.
Aerospace 10 00666 g018
Figure 19. Distribution of total pressure at different angles of incidence.
Figure 19. Distribution of total pressure at different angles of incidence.
Aerospace 10 00666 g019
Figure 20. Total pressure loss coefficient in different incidence. (a) i = 0 (deg); (b) near-stall point; (c) minimum loss point; (d) near-choke point.
Figure 20. Total pressure loss coefficient in different incidence. (a) i = 0 (deg); (b) near-stall point; (c) minimum loss point; (d) near-choke point.
Aerospace 10 00666 g020
Figure 21. Streamline and vorticity distribution.
Figure 21. Streamline and vorticity distribution.
Aerospace 10 00666 g021
Figure 22. The influence of clearance height and groove depth on total pressure loss.
Figure 22. The influence of clearance height and groove depth on total pressure loss.
Aerospace 10 00666 g022
Table 1. Cascade parameter table.
Table 1. Cascade parameter table.
ParameterNameValue
MadDesign Mach number0.7
ca (mm)Axial chord length65.56
Span (mm)Span199
β1k (degree)Inlet metal angle56.46
s (mm)Blade pitch86.07
h (mm)Blade tip clearance1
Table 2. Processing range of casing geometry parameters.
Table 2. Processing range of casing geometry parameters.
ParameterRange
h (mm)0.5–2
d/h5–10
w1/ca5–20%
w2/ca5–20%
w/ca30–90%
t/ca(−0.1)–0.2
Table 3. MAN GHH 1-S1 Cascade parameter.
Table 3. MAN GHH 1-S1 Cascade parameter.
ParameterValue
c (mm)70
s (mm)47.6
Span (mm)168
γ (degree)120
β1 (degree)137
Ma10.62
Table 4. Aerodynamic performance of smooth casing.
Table 4. Aerodynamic performance of smooth casing.
ParameterNameValue
Mf (kg/s)Mass flow2.0940
ωTotal pressure loss coefficient0.0339
ML (kg/(s·mm2))leakage flow flux1.7849 × 10−4
Table 5. Performance parameter of smooth casing and casing treatment.
Table 5. Performance parameter of smooth casing and casing treatment.
ModelMf (kg/s)ωML (kg/(s·mm2))
Smooth casing2.09400.11841.7849 × 10−4
Model 142.09520.11331.7382 × 10−4
Model 232.09480.11061.6553 × 10−4
Model 412.09450.11361.6355 × 10−4
Model 432.09460.10991.6459 × 10−4
Model 742.09440.11291.6435 × 10−4
Model 282.07930.15931.5828 × 10−4
Model 442.07930.15901.5942 × 10−4
Model 512.08160.15311.5197 × 10−4
Model 562.08030.15161.6007 × 10−4
Model 922.08130.15161.5172 × 10−4
Table 6. Geometric parameters of casing treatment.
Table 6. Geometric parameters of casing treatment.
Modelh (mm)d/hw1/cw2/cw/ct/c
Model 140.63420.57220.15580.16930.5851−0.010
Model 230.55601.84030.05430.08400.40110.030
Model 511.94394.56920.14820.12410.88770.035
Model 921.90603.79360.19280.07850.8109−0.010
Table 7. Mach number and flow angle at 10% of the span height of the tip.
Table 7. Mach number and flow angle at 10% of the span height of the tip.
Ma1Ma2β1 (°)β2 (°)β (°)βLe (°)
Smooth casing0.67700.479055.9448.817.155.11
Model 140.67790.481155.9448.627.3255.14
Model 230.67760.482055.9448.567.3855.05
Model 510.66800.463955.9449.975.9755.80
Model 920.66770.464555.9449.846.155.77
Table 8. Total pressure loss at 10% of the span height of the tip.
Table 8. Total pressure loss at 10% of the span height of the tip.
ModeliωΔω
Smooth CasingMinimum loss point1.149 × 10−10
Near-stall point1.228 × 10−17.836 × 10−3
Near-choke point1.389 × 10−12.398 × 10−2
Model 14Minimum loss point1.099 × 10−10
Near-stall point1.173 × 10−17.390 × 10−3
Near-choke point1.389 × 10−12.900 × 10−2
Model 23Minimum loss point1.074 × 10−10
Near-stall point1.144 × 10−17.005 × 10−3
Near-choke point1.388 × 10−13.135 × 10−2
Model 51Minimum loss point1.385 × 10−10
Near-stall point1.592 × 10−12.072 × 10−2
Near-choke point1.509 × 10−11.242 × 10−2
Model 92Minimum loss point1.381 × 10−10
Near-stall point1.586 × 10−12.048 × 10−2
Near-choke point1.583 × 10−12.023 × 10−2
Table 9. Correlation between total pressure loss and casing treatment parameters.
Table 9. Correlation between total pressure loss and casing treatment parameters.
ParametersCorrelation
h0.8274
d/h0.8157
w1/c−0.0107
w2/c−0.0992
w/c0.3062
t/c−0.3318
Disclaimer/Publisher’s Note: The statements, opinions and data contained in all publications are solely those of the individual author(s) and contributor(s) and not of MDPI and/or the editor(s). MDPI and/or the editor(s) disclaim responsibility for any injury to people or property resulting from any ideas, methods, instructions or products referred to in the content.

Share and Cite

MDPI and ACS Style

Tan, J.; Zhang, C.; Zhu, H.; Zhou, L.; Ji, L. Study of Circumferential Grooved Casing Treatment on Cascade Aerodynamic Performance. Aerospace 2023, 10, 666. https://doi.org/10.3390/aerospace10080666

AMA Style

Tan J, Zhang C, Zhu H, Zhou L, Ji L. Study of Circumferential Grooved Casing Treatment on Cascade Aerodynamic Performance. Aerospace. 2023; 10(8):666. https://doi.org/10.3390/aerospace10080666

Chicago/Turabian Style

Tan, Jingbo, Chun Zhang, Huiling Zhu, Ling Zhou, and Lucheng Ji. 2023. "Study of Circumferential Grooved Casing Treatment on Cascade Aerodynamic Performance" Aerospace 10, no. 8: 666. https://doi.org/10.3390/aerospace10080666

APA Style

Tan, J., Zhang, C., Zhu, H., Zhou, L., & Ji, L. (2023). Study of Circumferential Grooved Casing Treatment on Cascade Aerodynamic Performance. Aerospace, 10(8), 666. https://doi.org/10.3390/aerospace10080666

Note that from the first issue of 2016, this journal uses article numbers instead of page numbers. See further details here.

Article Metrics

Back to TopTop