Simulation-Based Prediction of Departure Aircraft Performance from Surveillance-like Data Using Neural Networks
Abstract
1. Introduction
2. Materials and Tools
2.1. X-Plane Flight Simulator
2.2. Departure Procedures
- Takeoff power and flaps, climbing at V2 plus to 243.8 m
 - At 243.8 m, set climb power
 - Constant speed climb to 457.2 m
 - At 457.2 m reduce pitch, accelerate and retract flaps on schedule
 - Constant speed climb to 914.4 m
 - At 914.4 m, accelerate to 128.6 m·s−1
 - Constant speed climb to 3048 m
 
2.3. ADS-B and Radar Data
3. Flight Generation
3.1. Takeoff
3.1.1. Reduced Takeoff Thrust
3.1.2. Throttle Controller
3.1.3. Rudder Control
3.2. First Climb
3.2.1. Elevator Control
3.2.2. Banking
3.3. Acceleration
3.3.1. Elevator Control
3.3.2. Flap Retraction
3.3.3. Throttle Setting
3.4. Second Climb
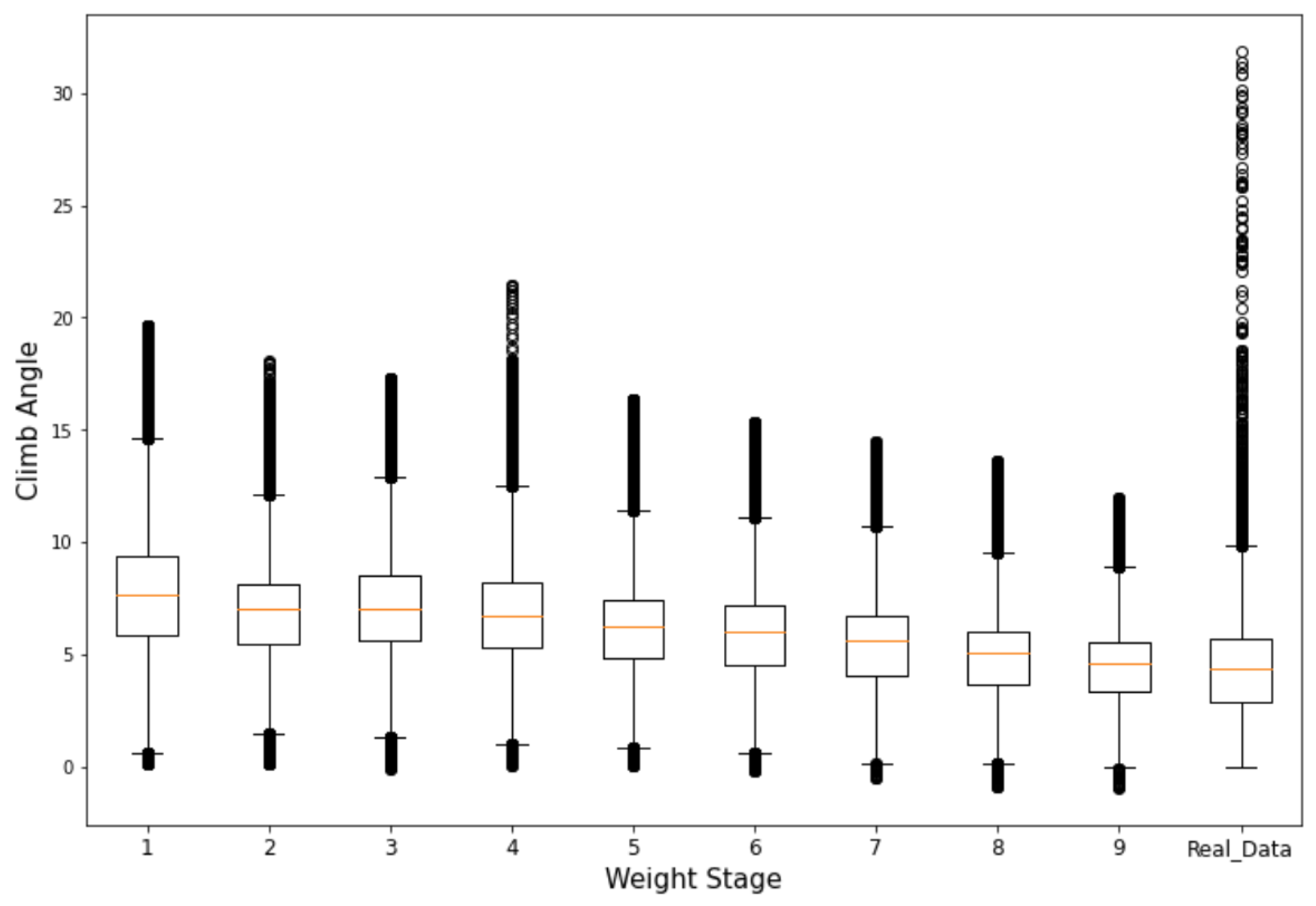
3.5. Generated Flights
4. Neural Network Models
4.1. Weight Model
- Calibrated airspeed, climb angle, bank angle and weather conditions for the first climb;
 - Climb angle, bank angle, acceleration and weather conditions for the segment with the highest acceleration;
 - Calibrated airspeed, climb angle, bank angle and weather conditions for the last climb.
 
4.2. Thrust Model
- Total weight
 - Ground speed
 - Altitude above ground
 - Acceleration
 - Air temperature, pressure and density ratio
 - Climb angle
 - Bank angle
 - Wind speed
 - Cosine and sine of the angle between the wind direction and the aircraft heading
 
4.3. Flap Model
5. Results
5.1. X-Plane Data with ADS-B Format
5.2. X-Plane Data with Radar Format
6. Conclusions
Author Contributions
Funding
Institutional Review Board Statement
Informed Consent Statement
Data Availability Statement
Acknowledgments
Conflicts of Interest
References
- International Civil Aviation Organization. Recommended Method for Computing Noise Contours around Airports; Technical Report Doc. 9911; ICAO: Montreal, Canada, 2018. [Google Scholar]
 - Aircraft Noise Model. The Aircraft Noise and Performance (ANP) Database. Available online: http://www.aircraftnoisemodel.org (accessed on 22 March 2022).
 - International Civil Aviation Organization. ICAO Aircraft Engine Emissions Databank. 2022. Available online: https://www.easa.europa.eu/domains/environment/icao-aircraft-engine-emissions-databank (accessed on 25 March 2022).
 - EUROCONTROL. User Manual for the Base of Aircraft Data (BADA), Rev 3.12. 2014. Available online: https://www.eurocontrol.int/publication/user-manual-base-aircraft-data-bada-revision-38 (accessed on 27 March 2022).
 - Alligier, R.; Gianazza, D.; Durand, N. Learning the Aircraft Mass and Thrust to Improve the Ground-Speed Trajectory Prediction of Climbing Flights. Transp. Res. Part C Emerg. Technol. 2013, 36, 45–60. [Google Scholar] [CrossRef]
 - Alligier, R.; Gianazza, D.; Durand, N. Machine Learning and Mass Estimation Methods for Ground Based Aircraft Climb Prediction. IEEE Trans. Intell. Transp. Syst. 2015, 16, 3138–3149. [Google Scholar] [CrossRef]
 - Schultz, C.; Thipphavong, D.; Erzberger, H. Adaptive Trajectory Prediction Algorithm for Climbing Flights. In Proceedings of the AIAA Guidance Navigation and Control (GNC) Conference, Minneapolis, MN, USA, 13–16 August 2012; p. 2. [Google Scholar]
 - Sun, J.; Ellerbroek, J.; Hoekstra, J. Modelling and inferring aircraft takeoff mass from runway ADS-B data. In Proceedings of the 7th International Conference on Research in Air Transportation, Philadelphia, PA, USA, 20–24 June 2016. [Google Scholar]
 - Sun, J.; Ellerbroek, J.; Hoekstra, J. Aircraft initial mass estimation using Bayesian inference method. Transp. Res. Part C Emerg. Technol. 2018, 90, 59–73. [Google Scholar] [CrossRef]
 - Sun, J.; Blom, H.; Ellerbroek, J.; Hoekstra, J. Aircraft mass and thrust estimation using recursive Bayesian method. In Proceedings of the 8th International Conference on Research in Air Transportation (ICRAT2018), Catalonia, Spain, 26–29 June 2018. [Google Scholar]
 - Jarry, G.; Delahaye, D.; Feron, E. Approach and landing aircraft on-board parameters estimation with LSTM networks. In Proceedings of the 2020 International Conference on Artificial Intelligence and Data Analytics for Air Transportation (AIDA-AT), Singapore, 3–4 February 2020. [Google Scholar]
 - Barros dos Santos, S.R.; Givigi, S.; Nascimento, C., Jr.; Bittar, A.; Oliveira, N. Modelling of a Hardware in the Loop Simulator for UAV Autopilot Controllers. In Proceedings of the 21st Brazilian Congress of Mechanical Engineering, Natal, Brazil, 24–28 October 2011; Voluem 6, pp. 1301–1315. [Google Scholar]
 - Bangga, G. Comparison of Blade Element Method and CFD Simulations of a 10MW Wind Turbine. Fluids 2018, 3, 73. [Google Scholar] [CrossRef]
 - International Civil Aviation Organization. Review of Noise Abatement Procedure Research and Development and Implementation Results; Discussion of Survey Results; ICAO: Montreal, Canada, 2007. [Google Scholar]
 - PMDG. Boeing 747-400 Flight Manual, Revision 26th ed.; PMDG: Las Vegas, NV, USA, 2006. [Google Scholar]
 - European Civil Aviation Conference. Volume 2: Technical Guide. In Methodology for Computing Noise Contours around Civil Airports; Technical Report CEAC Doc.29; ECAC: Neuilly-sur-Seine, France, 2016. [Google Scholar]
 - FlightRadar24. Flight Tracking Data. Available online: https://www.flightradar24.com (accessed on 22 March 2022).
 - Federal Aviation Administration. Pilot’s Handbook of Aeronautical Knowledge (FAA-H-8083-25B); U.S. Department of Transportation, Federal Aviation Administration: Washington, DC, USA, 2016; Chapter 14.
 - Office of Aviation Research Washington DC. Statistical Data for the Boeing 747-400 Aircraft in Commercial Operations; Technical Report FAA-AR-05-3; Federal Aviation Administration: Washington, DC, USA, 2005.
 - Advisory Circular AC 25-13; Technical Report; US Department of Transportation, Federal Aviation Administration: Washington, DC, USA, 1988.
 - Boeing. Onboard Performance Tool (OPT) for 737, 747, 757, 767 and 777 Airplanes; Boeing: Arlington, VA, USA, 2013. [Google Scholar]
 - Goodfellow, I.; Bengio, Y.; Courville, A. Deep Learning; MIT Press: Cambridge, MA, USA, 2016. [Google Scholar]
 
























| Flap ID | Flap Value | V2+ | 
|---|---|---|
| 0 | 0 | 80 | 
| 1 | 0.167 | 60 | 
| 5 | 0.333 | 40 | 
| 10 | 0.500 | 20 | 
| 20 | 0.667 | 0 | 
| Actual/Predicted | 0 | 1 | 5 | 10 | 20 | Retract | 
|---|---|---|---|---|---|---|
| 0 | 92.56 | 1.09 | 0 | 0 | 0 | 6.35 | 
| 1 | 3.05 | 70.11 | 0.59 | 0 | 0 | 26.25 | 
| 5 | 0 | 2.93 | 77.04 | 1.23 | 0 | 18.80 | 
| 10 | 0 | 0 | 0.50 | 94.86 | 3.32 | 1.41 | 
| 20 | 0 | 0 | 0 | 9.20 | 90.61 | 0.19 | 
| Retract | 11.41 | 17.93 | 5.53 | 3.61 | 1.00 | 60.52 | 
| Metric | Accurate Inputs | ADS-B Replica | Radar Replica | 
|---|---|---|---|
| Weight MAE (% of MTOW) | 1.97 | 2.58 | 2.07 | 
| Thrust MAE (% of Max Thrust) | 0.70 | 2.72 | 1.84 | 
| Thrust Average R2 Score (%) | 98.62 | 89.90 | 95.56 | 
| Flap Average R2 Score (%) | 99.51 | 84.70 | 88.24 | 
| Takeoff Flap Prediction Accuracy (%) | 100.00 | 99.95 | 99.96 | 
Disclaimer/Publisher’s Note: The statements, opinions and data contained in all publications are solely those of the individual author(s) and contributor(s) and not of MDPI and/or the editor(s). MDPI and/or the editor(s) disclaim responsibility for any injury to people or property resulting from any ideas, methods, instructions or products referred to in the content.  | 
© 2023 by the authors. Licensee MDPI, Basel, Switzerland. This article is an open access article distributed under the terms and conditions of the Creative Commons Attribution (CC BY) license (https://creativecommons.org/licenses/by/4.0/).
Share and Cite
Askari, K.; Cremaschi, M. Simulation-Based Prediction of Departure Aircraft Performance from Surveillance-like Data Using Neural Networks. Aerospace 2023, 10, 513. https://doi.org/10.3390/aerospace10060513
Askari K, Cremaschi M. Simulation-Based Prediction of Departure Aircraft Performance from Surveillance-like Data Using Neural Networks. Aerospace. 2023; 10(6):513. https://doi.org/10.3390/aerospace10060513
Chicago/Turabian StyleAskari, Kiumars, and Michele Cremaschi. 2023. "Simulation-Based Prediction of Departure Aircraft Performance from Surveillance-like Data Using Neural Networks" Aerospace 10, no. 6: 513. https://doi.org/10.3390/aerospace10060513
APA StyleAskari, K., & Cremaschi, M. (2023). Simulation-Based Prediction of Departure Aircraft Performance from Surveillance-like Data Using Neural Networks. Aerospace, 10(6), 513. https://doi.org/10.3390/aerospace10060513
        
