Multi-Scale Local Contrast Fusion Based on LOG in Infrared Small Target Detection
Abstract
:1. Introduction
2. Materials and Methods
2.1. IR Image Space Model and Character Analyze
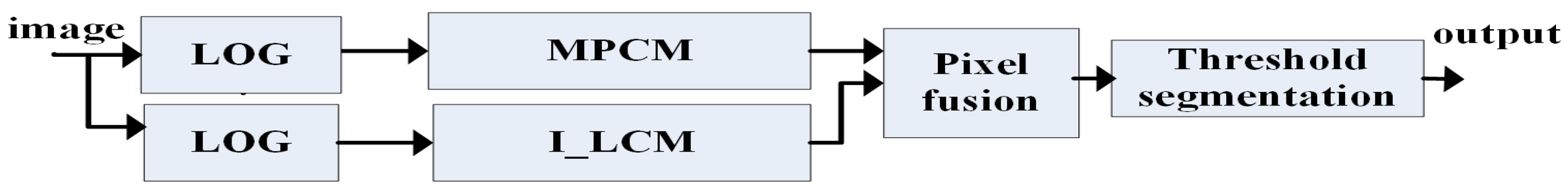
2.2. Local Contrast Setting Based on LOG Saliency Map
2.3. Local Contrast Setting Based on LOG Saliency Map
2.4. Fusion Method Based on Pixels
- Adaptive LOG filtering is applied to the input image to remove the flat background and preserve the edges, corners of the bright background and the target;
- Update the local contrast of the pre-processed image based on intra-block inconsistency: ;
- Multi-scale local contrast update based on median for pre-processed image: ;
- Fusion of contrast calculation results to extract the target ;
- Using adaptive threshold detection, the target position can be obtained.
2.5. Evaluation
3. Results
4. Discussion
5. Conclusions
Author Contributions
Funding
Institutional Review Board Statement
Data Availability Statement
Acknowledgments
Conflicts of Interest
Abbreviations
| BSF | background supression factor | 
| DOG | deffrence of gaussians | 
| DBT | Detect Before Track | 
| FA | False Alarm | 
| HVS | human visual system | 
| HBMLCM | high-boost-based multi-scale LCM | 
| IPI | Infrared Patch-Image | 
| IR | infrared | 
| ILCM | improved LCM | 
| IOR | inhibition-of-return | 
| LCM | local contrast method | 
| LOG | Laplacian of gaussian | 
| MLCM | multi-scale local contrast method | 
| MPCM | Multi-scale patch-based contrast measure | 
| MDWCM | Multidirectional Derivative-Based Weighted Contrast Measure | 
| PID | passive infrared detector | 
| ROC | receiver operating characteristic curves | 
| RLCM | Multiscale Relative Local Contrast Measure | 
| SCRG | signal to clutter rate gain | 
| TBD | Track Before Detect | 
| TTLCM | Tri-Layer local contrast method | 
| WTA | winner-take-all | 
References
- Ji, Q. The Research on Dim Small Target Detection in Infrared Image Sequences. Ph.D. Thesis, Harbin Engineering University, Harbin, China, 2007. [Google Scholar]
- Xu, J. Research on the Detection of Small and Dim Targets in Infrared Images. Ph.D. Thesis, Xidian University, Xi’an, China, 2008. [Google Scholar]
- Liu, Y. Research on IR Small Target Detection and Tracking Based on Attention MeChanism. Ph.D. Thesis, Harbin Engineering University, Harbin, China, 2009. [Google Scholar]
- Wang, D. Research on Infrared Weak Small Targets Detection and Tracking Technology under Complex Backgrounds. Ph.D. Thesis, Xidian University, Xi’an, China, 2010. [Google Scholar]
- Lin, Z. Research on Weak Target Track-Before-Detect Technologies for Space-Based Infrared Image. Ph.D. Thesis, National University of Defense Technology, Changsha, China, 2012. [Google Scholar]
- Jia, L. Infrared Image Background Suppression Based on Multiscale Generalized Fuzzy Operator. Semicond. Optoelectron. 2019, 401, 88–92. [Google Scholar]
- Chen, C.P.; Li, H.; Wei, Y.; Xia, T.; Tang, Y.Y. A Local Contrast Method for Small Infrared Target Detection. IEEE Trans. Geosci. Remote Sens. 2014, 521, 574–581. [Google Scholar] [CrossRef]
- Han, J.; Ma, Y.; Zhou, B.; Fan, F.; Liang, K.; Fang, Y. A robust infrared small target detection algorithm based on human visual system. IEEE Trans. Geosci. Remote Sens. Lett. 2014, 11, 2168–2172. [Google Scholar]
- Qin, Y.; Li, B. Effective infrared small target detection utilizing a novel local contrast method. IEEE Trans. Geosci. Remote Sens. Lett. 2016, 13, 1890–1894. [Google Scholar] [CrossRef]
- Han, J.; Liang, K.; Zhou, B.; Zhu, X.; Zhao, J.; Zhao, L. Infrared small target detection utilizing the multiscale relative local contrast measure. IEEE Geosci. Remote Sens. Lett. 2018, 15, 612–616. [Google Scholar] [CrossRef]
- Wei, Y.; You, X.; Li, H. Multiscale patch-based contrast measure for small target detection. Pattern Recognit. 2016, 58, 216–226. [Google Scholar] [CrossRef]
- Shi, Y.; Wei, Y.; Yao, H.; Pan, D.; Xiao, G. High boost based mutiscale local contrast measure for infrared small target detection. IEEE Geosci. Remote Sens. Lett. 2017, 99, 33–37. [Google Scholar]
- Wang, X.; Lv, G.; Xu, L. Infrared dim target detection based on visual attention. Infrared Phys. Technol. 2012, 55, 513–520. [Google Scholar] [CrossRef]
- Shao, X.; Fan, H.; Lu, G.; Xu, J. An improved infrared dim and small target detection algorithm based on the contrast mechanism of human visual system. Infrared Phys. Technol. 2012, 55, 403–408. [Google Scholar] [CrossRef]
- Nie, J.; Qu, S.; Wei, Y.; Zhang, L.; Deng, L. An infrared small target detection method based on multiscale local homogeneity measure. Infrared Phys. Technol. 2018, 90, 186–194. [Google Scholar] [CrossRef]
- Yu, X.W. Infrared small target detection method based on derivatives in different directions. Infrared Technol. 2012, 34, 351–355. [Google Scholar]
- Guan, X.; Peng, Z.; Huang, S.; Chen, Y. Gaussian Scale-Space Enhanced Local Contrast Measure for Small Infrared Target Detection. IEEE Geosci. Remote Sens. Lett. 2019, 17, 327–331. [Google Scholar] [CrossRef]
- Lu, R.; Yang, X.; Li, W.; Fan, J.; Li, D.; Jing, X. Robust Infrared Small Target Detection via Multidirectional Derivative-Based Weighted Contrast Measure. IEEE Geosci. Remote Sens. Lett. 2020, 19, 1–5. [Google Scholar] [CrossRef]
- Han, J.; Moradi, S.; Faramarzi, I.; Liu, C.; Zhang, H.; Zhao, Q. A Local Contrast Method for Infrared Small-Target Detection Utilizing a Tri-Layer Window. IEEE Geosci. Remote Sens. Lett. 2020, 17, 1822–1826. [Google Scholar] [CrossRef]
- Zhang, Z.C.; Meng, Q.H. Feature Analysis of Infrared Objects. Laser Infrared 1999, 29, 166–168. [Google Scholar]
- Kim, S.; Yang, Y.; Lee, J.; Park, Y. Small target detection utilizing robust methods of the human visual system for IRST. Waves 2009, 30, 994–1011. [Google Scholar] [CrossRef]
- Du, P.; Hamdulla, A. Infrared small target detection using homogeneity-weighted local contrast measure. IEEE Geosci. Remote Sens. Lett. 2019, 17, 514–518. [Google Scholar] [CrossRef]






















| Feature | Image (1) | Image (2) | Image (3) | Image (4) | Image (5) | Image (6) | Image (7) | Image (8) | 
|---|---|---|---|---|---|---|---|---|
| Target | 3 flight | 3 flight | 1 flight | 1 flight | 2 flight | 1 flight | 2 flight | 1 flight | 
| Target size | 3 × 3 | 3 × 3 | 3 × 3 | 3 × 3 | 3 × 3 | 3 × 3 | 3 × 3 | 3 × 3 | 
| Backgound | many corner points, highlight strips, highlight buildings | |||||||
| Method | Evaluation | Image 1 | Image 2 | Image 3 | Image 4 | Image 5 | Image 6 | Image 7 | Image 8 | 
|---|---|---|---|---|---|---|---|---|---|
| maxmean | SCRG | 9.62 | 4.53 | 28.62 | 13.78 | 3.67 | 14.79 | 9.60 | 5.39 | 
| BSF | 2.97 | 5.49 | 3.84 | 3.77 | 1.22 | 7.80 | 2.65 | 3.51 | |
| Tophat | SCRG | 9.05 | 4.21 | 27.63 | 24.87 | 3.78 | 36.22 | 19.18 | 10.90 | 
| BSF | 1.95 | 4.94 | 2.66 | 2.65 | 1.04 | 8.75 | 2.75 | 3.72 | |
| MLCM | SCRG | 2.52 | 1.13 | 1.64 | 2.54 | 11.01 | 1.48 | 6.61 | 1.43 | 
| BSF | 1.09 | 1.27 | 1.95 | 1.00 | 1.95 | 0.97 | 0.97 | 0.79 | |
| RLCM | SCRG | 4.15 | 0.08 | 456.41 | 85.52 | 17.02 | 25.32 | 54.50 | 25.55 | 
| BSF | 12.28 | 28.61 | 38.97 | 30.92 | 1.87 | 106.77 | 17.40 | 67.52 | |
| MPCM | SCRG | 2.88 | 0.48 | 5.09 | 2.99 | 3.37 | 1.98 | 2.96 | 1.43 | 
| BSF | 3.42 | 3.95 | 2.73 | 6.57 | 1.54 | 4.93 | 2.10 | 2.83 | |
| LMPCM | SCRG | 112.41 | 32.63 | 384.42 | 156.90 | 45.18 | 178.47 | 88.48 | 82.87 | 
| BSF | 13.48 | 21.75 | 27.84 | 14.69 | 8.00 | 43.67 | 13.08 | 27.41 | |
| MDWCM | SCRG | 0.07 | 0.01 | 0.05 | 0.03 | 0.004 | 0.01 | 0.004 | 0.72 | 
| BSF | 17.31 | 48.35 | 21.26 | 22.61 | 6.41 | 60.15 | 14.98 | 31.91 | |
| TTLCM | SCRG | 0.09 | 0.02 | 991.64 | 209.70 | 58.61 | 31.87 | 204.98 | 93.93 | 
| BSF | 10.49 | 18.13 | 68.17 | 18.03 | 9.74 | 25.29 | 26.65 | 30.50 | |
| proposed | SCRG | 284.01 | 75.87 | 2126.73 | 674.55 | 59.49 | 949.83 | 275.22 | 211.55 | 
| BSF | 32.10 | 43.34 | 150.42 | 62.82 | 10.06 | 234.82 | 36.65 | 69.03 | 
| Disclaimer/Publisher’s Note: The statements, opinions and data contained in all publications are solely those of the individual author(s) and contributor(s) and not of MDPI and/or the editor(s). MDPI and/or the editor(s) disclaim responsibility for any injury to people or property resulting from any ideas, methods, instructions or products referred to in the content. | 
© 2023 by the authors. Licensee MDPI, Basel, Switzerland. This article is an open access article distributed under the terms and conditions of the Creative Commons Attribution (CC BY) license (https://creativecommons.org/licenses/by/4.0/).
Share and Cite
Chen, J.; Zhu, Z.; Hu, H.; Qiu, L.; Zheng, Z.; Dong, L. Multi-Scale Local Contrast Fusion Based on LOG in Infrared Small Target Detection. Aerospace 2023, 10, 449. https://doi.org/10.3390/aerospace10050449
Chen J, Zhu Z, Hu H, Qiu L, Zheng Z, Dong L. Multi-Scale Local Contrast Fusion Based on LOG in Infrared Small Target Detection. Aerospace. 2023; 10(5):449. https://doi.org/10.3390/aerospace10050449
Chicago/Turabian StyleChen, Juan, Zhencai Zhu, Haiying Hu, Lin Qiu, Zhenzhen Zheng, and Lei Dong. 2023. "Multi-Scale Local Contrast Fusion Based on LOG in Infrared Small Target Detection" Aerospace 10, no. 5: 449. https://doi.org/10.3390/aerospace10050449
APA StyleChen, J., Zhu, Z., Hu, H., Qiu, L., Zheng, Z., & Dong, L. (2023). Multi-Scale Local Contrast Fusion Based on LOG in Infrared Small Target Detection. Aerospace, 10(5), 449. https://doi.org/10.3390/aerospace10050449
 
        


 
       