Development of a Global Model for the Analysis of Plasma in an Atmosphere-Breathing Cathode-Less Thruster
Abstract
1. Introduction
2. Methodology
2.1. Chemistry Model
2.2. Thrust Model
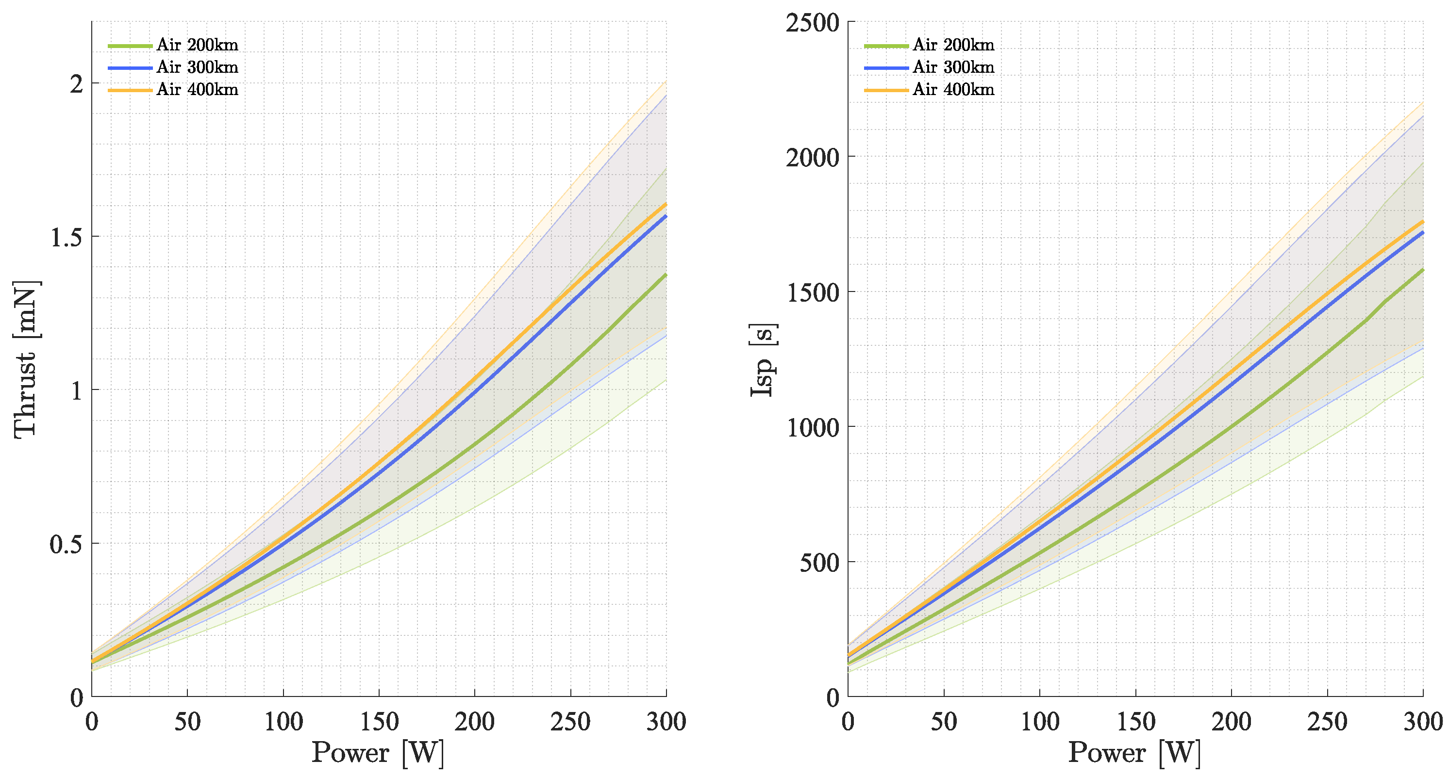
3. Results
4. Conclusions
Author Contributions
Funding
Data Availability Statement
Conflicts of Interest
Appendix A. Atmosphere-Breathing Summarized Chemical Reactions
| # | Name | Reaction | Involved Species | Reaction Rates | 
|---|---|---|---|---|
| 1 | Atomic Elastic Scattering | e + A ⟶ A + e | N, O, N,O | [9,11,51] | 
| 2 | Atomic Excitation | e + A ⟶ A* + e | N, O | [9,11] | 
| 3 | Atomic Ionization | e + A ⟶ A + 2e | N, O | [11,51] | 
| 4 | Atomic Neutralization | e + A ⟶ A | N, O | [11] | 
| 5 | Atomic Attachment | e + A ⟶ A | O, NO, NO | [11] | 
| 6 | Molecular Elastic Scattering | e + AB ⟶ AB + e | N, O | [11] | 
| 7 | Molecular Excitation | e + AB ⟶ AB* + e | N | [11] | 
| 8 | Molecular Ionization | e + AB ⟶ AB+2e | N, O | [11] | 
| 9 | Molecular Dissociative Ionization | e + AB ⟶ A + B+2e | O | [11] | 
| 10 | Molecular Dissociative Attachment | e + AB ⟶ A + B | O, NO, NO | [11,51] | 
| 11 | Molecular Dissociation | e + AB ⟶ A + B + e | N, O | [9,11] | 
| 12 | Molecular Neutralization | e + AB ⟶ AB | N, O, NO | [11] | 
| 13 | Molecular Attachment | e + AB ⟶ AB | O, NO, NO | [11] | 
| 14 | Molecular Dissociative Neutralization | e + AB ⟶ A + B | N, O, NO, NO, NO | [11] | 
| 15 | Charge Exchange | A + B ⟶ A + B | N, N, O, O, NO, NO, NO | [11] | 
| 16 | Mutual Neutralization | A + B ⟶ A + B | N, N, O, O, NO, NO, NO | [11] | 
| 17 | Recombination | A + B ⟶ AB | N, N, O, O, NO | [11] | 
| 18 | Ion recombination | A + B ⟶ AB | N, O, NO | [11] | 
| 19 | Associative Detachment | A + B ⟶ AB + e | O, O, NO, NO | [11] | 
| 20 | Associative Neutralization | A + B ⟶ AB | N, N, O, O, NO | [11] | 
References
- Vaidya, S.; Traub, C.; Romano, F.; Herdrich, G.; Chan, Y.A.; Fasoulas, S.; Roberts, P.; Crisp, N.; Edmondson, S.; Haigh, S.; et al. Development and analysis of novel mission scenarios based on Atmosphere-Breathing Electric Propulsion (ABEP). CEAS Space J. 2022, 14, 689–706. [Google Scholar] [CrossRef]
- Andreussi, T.; Ferrato, E.; Giannetti, V.; Piragino, A.; Paissoni, C.A.; Cifali, G.; Andrenucci, M. Development Status and Way Forward of SITAEL’s Air-breathing Electric Propulsion Engine. In Proceedings of the AIAA Propulsion and Energy 2019 Forum, Indianapolis, IN, USA, 19–22 August 2019. [Google Scholar] [CrossRef]
- Crisp, N.; Roberts, P.; Livadiotti, S.; Oiko, V.; Edmondson, S.; Haigh, S.; Huyton, C.; Sinpetru, L.; Smith, K.; Worrall, S.; et al. The benefits of very low earth orbit for earth observation missions. Prog. Aerosp. Sci. 2020, 117, 100619. [Google Scholar] [CrossRef]
- Virgili-Llop, J.; Roberts, P.; Hao, Z.; Ramio, L.; Beauplet, V. Very Low Earth Orbit mission concepts for Earth Observation. Benefits and challenges. In Proceedings of the Reinventing Space Conference, London, UK, 18–21 November 2014. [Google Scholar]
- Fujita, K.; Noda, A. Rarefied Aerodynamics of a Super Low Altitude Test Satellite. In Proceedings of the 41st AIAA Thermophysics Conference, San Antonio, TX, USA, 22–25 June 2009. [Google Scholar] [CrossRef]
- Schönherr, T.; Komurasaki, K.; Romano, F.; Massuti-Ballester, B.; Herdrich, G. Analysis of Atmosphere-Breathing Electric Propulsion. IEEE Trans. Plasma Sci. 2015, 43, 287–294. [Google Scholar] [CrossRef]
- Souhair, N.; Magarotto, M.; Majorana, E.; Ponti, F.; Pavarin, D. Development of a lumping methodology for the analysis of the excited states in plasma discharges operated with argon, neon, krypton, and xenon. Phys. Plasmas 2021, 28, 093504. [Google Scholar] [CrossRef]
- Pekker, L.; Keidar, M. Analysis of Airbreathing Hall-Effect Thrusters. J. Propuls. Power 2012, 28, 1399–1405. [Google Scholar] [CrossRef]
- Zhou, J.; Taccogna, F.; Fajardo, P.; Ahedo, E. Performance analysis of alternative propellants for a helicon plasma thruster. In Proceedings of the 7th Space Propulsion Conference, Estoril, Portugal, 17–19 March 2021. [Google Scholar]
- Romano, F.; Herdrich, G.; Chan, Y.A.; Crisp, N.; Roberts, P.C.; Holmes, B.E.; Edmondson, S.; Haigh, S.; Macario-Rojes, A.; Oiko, V.T.A.; et al. Design of an intake and a thruster for an atmosphere-breathing electric propulsion system. CEAS Space J. 2022, 14, 707–715. [Google Scholar] [CrossRef]
- Taploo, A.; Lin, L.; Keidar, M. Analysis of ionization in air-breathing plasma thruster. Phys. Plasmas 2021, 28, 093505. [Google Scholar] [CrossRef]
- Grondein, P.; Lafleur, T.; Chabert, P.; Aanesland, A. Global model of an iodine gridded plasma thruster. Phys. Plasmas 2016, 23, 033514. [Google Scholar] [CrossRef]
- Takahashi, K. Thirty percent conversion efficiency from radiofrequency power to thrust energy in a magnetic nozzle plasma thruster. Sci. Rep. 2022, 12, 18618. [Google Scholar] [CrossRef]
- Liou, J.C.; Johnson, N.; Hill, N. Controlling the growth of future LEO debris populations with active debris removal. Acta Astronaut. 2010, 66, 648–653. [Google Scholar] [CrossRef]
- Di Cara, D.; Gonzalez del Amo, J.; Santovincenzo, A.; Carnicero Domíguez, B.; Arcioni, M.; Caldwell, A.; Roma, I. RAM Electric Propulsion for Low Earth Orbit Operation: An ESA study. In Proceedings of the 30 th International Electric Propulsion Conference, Florence, Italy, 17–20 September 2007. [Google Scholar]
- Nishiyama, K. A Study of Air Breathing Ion Engine. Space Technol. Jpn. Jpn. Soc. Aeronaut. Space Sci. 2005, 4, 21–27. [Google Scholar] [CrossRef]
- Tisaev, M.; Ferrato, E.; Giannetti, V.; Paissoni, C.; Baresi, N.; Lucca Fabris, A.; Andreussi, T. Air-breathing electric propulsion: Flight envelope identification and development of control for long-term orbital stability. Acta Astronaut. 2022, 191, 374–393. [Google Scholar] [CrossRef]
- Hohman, K. Atmospheric Breathing Electric Thruster for Planetary Exploration. In Proceedings of the NIAC Spring Symposium, Pasadena, CA, USA, 27–29 March 2012. [Google Scholar]
- Romano, F.; Binder, T.; Herdrich, G.H.; Fasoulas, S.; Schönherr, T. Air-Intake Design Investigation for an Air-Breathing Electric Propulsion System. In Proceedings of the 34th International Electric Propulsion Conference, Kobe, Japan, 4–10 July 2015. [Google Scholar] [CrossRef]
- Romano, F.; Massuti-Ballester, B.; Binder, T.; Herdrich, G.; Fasoulas, S.; Schönherr, T. System analysis and test-bed for an atmosphere-breathing electric propulsion system using an inductive plasma thruster. Acta Astronaut. 2018, 147, 114–126. [Google Scholar] [CrossRef]
- Mrózek, K.; Dytrych, T.; Moliš, P.; Dániel, V.; Obrusník, A. Global plasma modeling of a magnetized high-frequency plasma source in low-pressure nitrogen and oxygen for air-breathing electric propulsion applications. Plasma Sources Sci. Technol. 2021, 30, 125007. [Google Scholar] [CrossRef]
- Taccogna, F.; Cichocki, F.; Minelli, P. Coupling plasma physics and chemistry in the PIC model of electric propulsion: Application to an air-breathing, low-power Hall thruster. Front. Phys. 2022, 10, 989. [Google Scholar] [CrossRef]
- Bellomo, N.; Manente, M.; Trezzolani, F.; Gloder, A.; Selmo, A.; Mantellato, R.; Toson, E.; Cappellini, L.; Duzzi, M.; Scalzi, D.; et al. Enhancement of microsatellites’ mission capabilities: Integration of REGULUS electric propulsion module into UniSat-7. In Proceedings of the 70th International Astronautical Congress (IAC), Washington, DC, USA, 21–25 October 2019. [Google Scholar]
- Manente, M.; Trezzolani, F.; Magarotto, M.; Fantino, E.; Selmo, A.; Bellomo, N.; Toson, E.; Pavarin, D. REGULUS: A propulsion platform to boost small satellite missions. Acta Astronaut. 2019, 157, 241–249. [Google Scholar] [CrossRef]
- Goebel, D.M.; Katz, I. Fundamentals of Electric Propulsion: Ion and Hall Thrusters; John Wiley & Sons, Inc.: Hoboken, NJ, USA, 2008; pp. 1–507. [Google Scholar] [CrossRef]
- Magarotto, M.; Di Fede, S.; Souhair, N.; Andrews, S.; Ponti, F. Numerical suite for cathodeless plasma thrusters. Acta Astronaut. 2022, 197, 126–138. [Google Scholar] [CrossRef]
- Souhair, N.; Magarotto, M.; Ponti, F.; Pavarin, D. Analysis of the plasma transport in numerical simulations of Helicon plasma thrusters. AIP Adv. 2021, 11, 115016. [Google Scholar] [CrossRef]
- Majorana, E.; Souhair, N.; Ponti, F.; Magarotto, M. Development of a Plasma Chemistry Model for Helicon Plasma Thruster analysis. Aerotec. Missili Spaz. 2021, 100, 225–238. [Google Scholar] [CrossRef]
- Lieberman, M.A.; Lichtenberg, A.J. Principles of Plasma Discharges and Materials Processing, 2nd ed.; Wiley: Hoboken, NJ, USA, 2005. [Google Scholar]
- Guaita, M.; Magarotto, M.; Manente, M.; Pavarin, D.; Lavagna, M. Semi-Analytical Model of a Helicon Plasma Thruster. IEEE Trans. Plasma Sci. 2022, 50, 425–438. [Google Scholar] [CrossRef]
- Andrews, S.; Di Fede, S.; Magarotto, M. Fully kinetic model of plasma expansion in a magnetic nozzle. Plasma Sources Sci. Technol. 2022, 31, 035022. [Google Scholar] [CrossRef]
- Lafleur, T.; Habl, L.; Rossi, E.Z.; Rafalskyi, D. Development and validation of an iodine plasma model for gridded ion thrusters. Plasma Sources Sci. Technol. 2022, 31, 114001. [Google Scholar] [CrossRef]
- Chabert, P. An expression for the hl factor in low-pressure electronegative plasma discharges. Plasma Sources Sci. Technol. 2016, 25, 025010. [Google Scholar] [CrossRef]
- Lucken, R.; Marmuse, F.; Tavant, A.; Bourdon, A.; Chabert, P. Global model of a magnetized ion thruster with xenon and iodine. In Proceedings of the 36th International Electric Propulsion Conference, Vienna, Austria, 15–20 September 2019. Number IEPC-2019-678. [Google Scholar]
- Thorsteinsson, E.G.; Gudmundsson, J.T. A global (volume averaged) model of a chlorine discharge. Plasma Sources Sci. Technol. 2009, 19, 015001. [Google Scholar] [CrossRef]
- Brokaw, R.S. Predicting Transport Properties of Dilute Gases. Ind. Eng. Chem. Process. Des. Dev. 1969, 8, 240–253. [Google Scholar] [CrossRef]
- Souhair, N.; Magarotto, M.; Dalle Fabbriche, S.; Andriulli, R.; Andrews, S.; Ponti, F.; Pavarin, D. Simulation and modelling of an iodine fed Helicon Plasma Thruster. In Proceedings of the 37th International Electric Propulsion Conference, Cambridge, MA, USA, 19–23 June 2022. Number IEPC-2022-496. [Google Scholar]
- MSIS-E-90 Atmosphere Model. Available online: https://ccmc.gsfc.nasa.gov/modelweb/models/msis_vitmo.php (accessed on 10 October 2022).
- Hagelaar, G.J.; Pitchford, L.C. Solving the Boltzmann equation to obtain electron transport coefficients and rate coefficients for fluid models. Plasma Sources Sci. Technol. 2005, 14, 722–733. [Google Scholar] [CrossRef]
- Berenguer, C.; Katsonis, K.; Gonzalez del Amo, J. Using of an Iodine Detailed Global Model for Characterization and for Optical Diagnostics of Helicon Thrusters. In Proceedings of the 6th Space Propulsion Conference, Seville, Spain, 14–18 May 2018. [Google Scholar] [CrossRef]
- Lafleur, T. Helicon plasma thruster discharge model. Phys. Plasmas 2014, 21, 043507. [Google Scholar] [CrossRef]
- Bittencourt, J.A. Fundamentals of Plasma Physics; Springer: New York, NY, USA, 2004. [Google Scholar] [CrossRef]
- Lafleur, T.; Charles, C.; Boswell, R.W. Electron temperature characterization and power balance in a low magnetic field helicon mode. J. Phys. D Appl. Phys. 2011, 44, 185204. [Google Scholar] [CrossRef]
- Magarotto, M.; Pavarin, D. Parametric Study of a Cathode-Less Radio Frequency Thruster. IEEE Trans. Plasma Sci. 2020, 48, 2723–2735. [Google Scholar] [CrossRef]
- Sutton, G.; Biblarz, O. Rocket Propulsion Elements; A Wiley Interscience Publication; Wiley: Hoboken, NJ, USA, 2001. [Google Scholar]
- Bellomo, N.; Magarotto, M.; Manente, M.; Trezzolani, F.; Mantellato, R.; Cappellini, L.; Paulon, D.; Selmo, A.; Scalzi, D.; Minute, M.; et al. Design and In-orbit Demonstration of REGULUS, an Iodine electric propulsion system. CEAS Space J. 2021, 14, 79–90. [Google Scholar] [CrossRef]
- Manente, M.; Trezzolani, F.; Mantellato, R.; Scalzi, D.; Schiavon, A.; Souhair, N.; Duzzi, M.; Cappellini, L.; Barbato, A.; Paulon, D.; et al. REGULUS: Iodine Fed Plasma Propulsion System for Small Satellites. In Proceedings of the 36th International Electric Propulsion Conference, Vienna, Austria, 15–20 September 2019. Number IEPC-2019-417. [Google Scholar]
- Magarotto, M.; Melazzi, D.; Pavarin, D. 3D-VIRTUS: Equilibrium condition solver of radio-frequency magnetized plasma discharges for space applications. Comput. Phys. Commun. 2020, 247, 106953. [Google Scholar] [CrossRef]
- Shabshelowitz, A. Study of RF Plasma Technology Applied to Air-Breathing Electric Propulsion. Ph.D. Thesis, University of Michigan, Ann Arbor, MI, USA, 2013. [Google Scholar]
- CRC Handbook. In CRC Handbook of Chemistry and Physics, 88th ed.; CRC Press: Boca Raton, FL, USA, 2007.
- LXcat, The Plasma Data Exchange Project. Available online: https://nl.lxcat.net (accessed on 2 September 2022).







| Quantity | 50 W | 300 W | 700 W | 
|---|---|---|---|
| Ionization Ratio | 7.55 × 10 | 5.57 × 10 | 7.61 × 10 | 
| Electron density [m] | 4.87 × 10 | 2.54 × 10 | 2.26 × 10 | 
| Positive ion density [m] | 4.87 × 10 | 2.54 × 10 | 2.26 × 10 | 
| Neutral density [m] | 5.96 × 10 | 2.02 × 10 | 7.09 × 10 | 
| Quantity | Xenon | Iodine | 
|---|---|---|
| Ionization Ratio | 8.86 × 10 | 9.3 × 10 | 
| Electron density [m] | 9.43 × 10 | 1.20 × 10 | 
| Positive ion density [m] | 9.43 × 10 | 1.20 × 10 | 
| Neutral density [m] | 1.23 × 10 | 1.94 × 10 | 
| Disclaimer/Publisher’s Note: The statements, opinions and data contained in all publications are solely those of the individual author(s) and contributor(s) and not of MDPI and/or the editor(s). MDPI and/or the editor(s) disclaim responsibility for any injury to people or property resulting from any ideas, methods, instructions or products referred to in the content. | 
© 2023 by the authors. Licensee MDPI, Basel, Switzerland. This article is an open access article distributed under the terms and conditions of the Creative Commons Attribution (CC BY) license (https://creativecommons.org/licenses/by/4.0/).
Share and Cite
Dalle Fabbriche, S.; Souhair, N.; Magarotto, M.; Andriulli, R.; Corti, E.; Ponti, F. Development of a Global Model for the Analysis of Plasma in an Atmosphere-Breathing Cathode-Less Thruster. Aerospace 2023, 10, 389. https://doi.org/10.3390/aerospace10050389
Dalle Fabbriche S, Souhair N, Magarotto M, Andriulli R, Corti E, Ponti F. Development of a Global Model for the Analysis of Plasma in an Atmosphere-Breathing Cathode-Less Thruster. Aerospace. 2023; 10(5):389. https://doi.org/10.3390/aerospace10050389
Chicago/Turabian StyleDalle Fabbriche, Simone, Nabil Souhair, Mirko Magarotto, Raoul Andriulli, Enrico Corti, and Fabrizio Ponti. 2023. "Development of a Global Model for the Analysis of Plasma in an Atmosphere-Breathing Cathode-Less Thruster" Aerospace 10, no. 5: 389. https://doi.org/10.3390/aerospace10050389
APA StyleDalle Fabbriche, S., Souhair, N., Magarotto, M., Andriulli, R., Corti, E., & Ponti, F. (2023). Development of a Global Model for the Analysis of Plasma in an Atmosphere-Breathing Cathode-Less Thruster. Aerospace, 10(5), 389. https://doi.org/10.3390/aerospace10050389
 
        





 
       