Feasibility Study of the Bare-Photovoltaic-Tether Concept: Prototypes and Experimental Performance Evaluation of the Photovoltaic Tether Segment
Abstract
1. Introduction
2. Materials and Methods
2.1. The PTS Design and PTS Samples
2.2. Material Demonstrators
2.3. Solar Simulator (SoSi) Setup
2.4. Atomic Oxygen Exposure Facility
2.5. Twisting Setup
3. Results
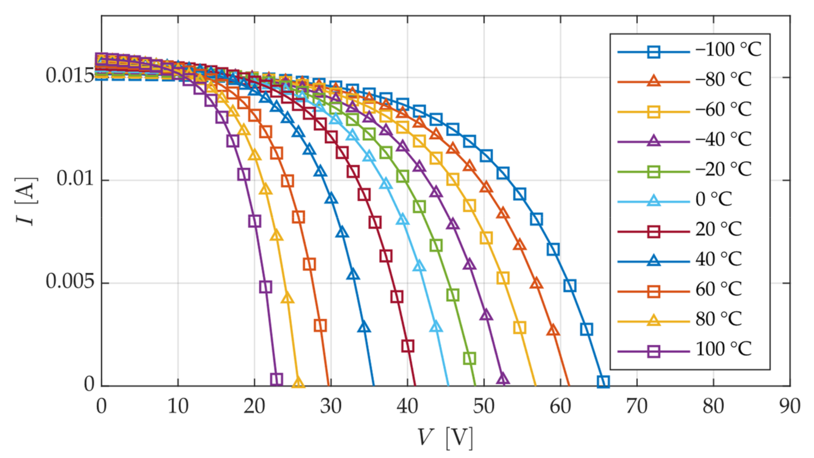
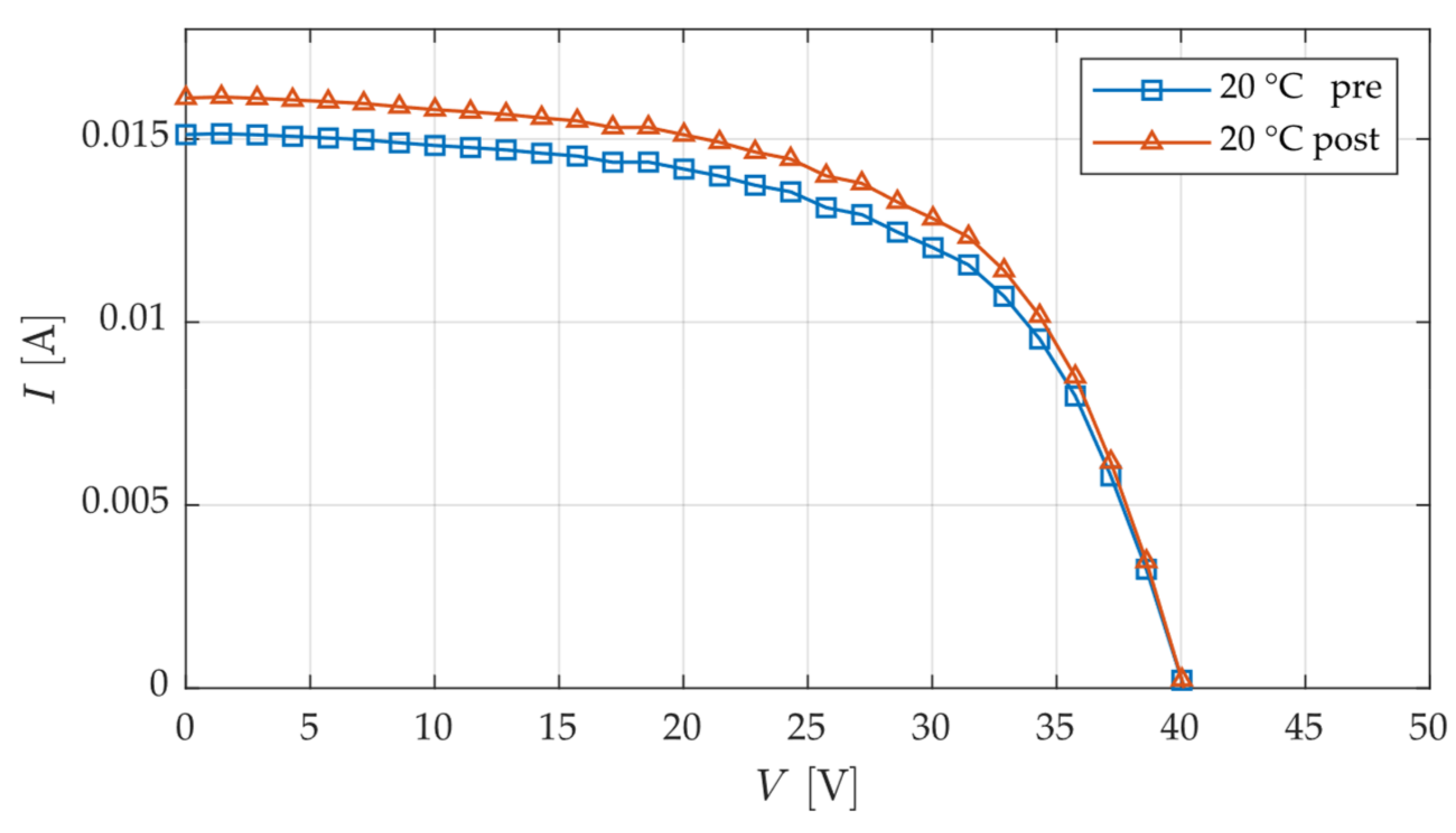
3.1. Influence of Temperature on the PTS Submodules
3.2. Atomic Oxygen Robustness
3.3. Improvement of the Thermo-Optical Properties of the PTS Using Coatings
3.4. Influence of Twisting on the PTS Performance
4. Discussion
Supplementary Materials
Author Contributions
Funding
Data Availability Statement
Acknowledgments
Conflicts of Interest
Appendix A
| Name | λp [nm] | Δλ [nm] | θ1/2 [°] | PR [mW] | Imax [mA] | IO [mA] | n |
|---|---|---|---|---|---|---|---|
| UVTOP270H-FW-SMD | 275 | 11 | 62.5 | 11.5 | 250 | 250 | 12 |
| DUV310-SD353EV | 308 | 15 | 57.5 | 50 | 600 | 500 | 4 |
| UVTOP340H-FW-SMD | 345 | 10 | 60 | 40 | 350 | 350 | 8 |
| UVLED-365-NC2 | 365 | 12 | 60 | 150 | 700 | 500 | 4 |
| UVLED-385-NC2 | 385 | 18 | 75 | 320 | 700 | 500 | 4 |
| Cree XM-LAWT-00-0000-000LT40E4 | Cool White | - | 60 | - | 3000 | 800 | 12 |
| APG2C1-410-r2 | 410 | 20 | 75 | 400 | 500 | 500 | 4 |
| SMB1N490H | 490 | 26 | 65 | 240 | 350 | 350 | 4 |
| SMB1N-690D | 690 | 25 | 64 | 400 | 600 | 500 | 4 |
| SMB1N-740D | 740 | 22 | 63 | 290 | 800 | 500 | 4 |
| SMB1N-780D | 780 | 24 | 64 | 500 | 800 | 500 | 4 |
| SMB1N-810D | 810 | 30 | 63 | 560 | 800 | 500 | 4 |
| SMB1N-830N | 830 | 40 | 64 | 280 | 800 | 800 | 4 |
| SMB1N-880 | 880 | 50 | 64 | 320 | 1000 | 800 | 4 |
| SMB1N-940D | 940 | 40 | 62 | 630 | 1000 | 500 | 4 |
| SMB1N-980D | 980 | 60 | 64 | 400 | 1000 | 800 | 4 |
| SMB1N-1050GD | 1050 | 50 | 64 | 700 | 1000 | 500 | 4 |
References
- Sánchez-Arriaga, G.; Naghdi, S.; Wätzig, K.; Schilm, J.; Lorenzini, E.C.; Tajmar, M.; Urgoiti, E.; Castellani, L.T.; Plaza, J.F.; Post, A. The E.T.PACK Project: Towards a Fully Passive and Consumable-Less Deorbit Kit Based on Low-Work-Function Tether Technology. Acta Astronaut. 2020, 177, 821–827. [Google Scholar] [CrossRef]
- Sanmartín, J.R.; Martínez-Sánchez, M.; Ahedo, E. Bare Wire Anodes for Electrodynamic Tethers. J. Propuls. Power 1993, 9, 353–360. [Google Scholar] [CrossRef]
- Lev, D.R.; Mikellides, I.G.; Pedrini, D.; Goebel, D.M.; Jorns, B.A.; McDonald, M.S. Recent Progress in Research and Development of Hollow Cathodes for Electric Propulsion. Rev. Mod. Plasma Phys. 2019, 3, 6. [Google Scholar] [CrossRef]
- Janhunen, P. Electrostatic Plasma Brake for Deorbiting a Satellite. J. Propuls. Power 2010, 26, 370–372. [Google Scholar] [CrossRef]
- Williams, J.D.; Sanmartin, J.R.; Rand, L.P. Low Work-Function Coating for an Entirely Propellantless Bare Electrodynamic Tether. IEEE Trans. Plasma Sci. 2012, 40, 1441–1445. [Google Scholar] [CrossRef]
- Sanchez-Arriaga, G.; Chen, X. Modeling and Performance of Electrodynamic Low-Work-Function Tethers with Photoemission Effects. J. Propuls. Power 2018, 34, 213–220. [Google Scholar] [CrossRef]
- Tajmar, M.; Sánchez-Arriaga, G. A Bare-Photovoltaic Tether for Consumable-Less and Autonomous Space Propulsion and Power Generation. Acta Astronaut. 2021, 180, 7. [Google Scholar] [CrossRef]
- Khan, S.B.; Sanmartin, J.R. Survival Probability of Round and Tape Tethers against Debris Impact. J. Spacecr. Rockets 2013, 50, 603–608. [Google Scholar] [CrossRef]
- Peiffer, L.; Tajmar, M.; Sánchez-Arriaga, G.; Harnisch, M.; Perfler, C. Electrical Performance Evaluation of Photovoltaic Tether Samples for Deorbit Applications. SP2022_ID282. In Proceedings of the 8th Edition of the Space Propulsion Conference, Estoril, Portugal, 9–13 May 2022. [Google Scholar]
- Bett, A.; Burger, B.; Friedrich, L.; Kost, C.; Nold, S.; Dominik, P.; Philipps, S.; Preu, R.; Rentsch, J.; Stryi-Hipp, G.; et al. Photovoltaics Report. 2022. Available online: https://www.ise.fraunhofer.de/content/dam/ise/de/documents/publications/studies/Photovoltaics-Report.pdf (accessed on 20 March 2023).
- Ramanujam, J.; Bishop, D.M.; Todorov, T.K.; Gunawan, O.; Rath, J.; Nekovei, R.; Artegiani, E.; Romeo, A. Flexible CIGS, CdTe and a-Si:H Based Thin Film Solar Cells: A Review. Prog. Mater. Sci. 2020, 110, 100619. [Google Scholar] [CrossRef]
- Eldada, L. Thin Film CIGS Photovoltaic Modules: Monolithic Integration and Advanced Packaging for High Performance, High Reliability and Low Cost. Optoelectron. Integr. Circuits XIII 2011, 7942, 79420F. [Google Scholar] [CrossRef]
- Mohan, M.V.A.; Pavithran, J.; Osten, K.L.; Jinumon, A.; Mrinalini, C.P. Simulation of Spectral Match and Spatial Non-Uniformity for LED Solar Simulator. In Proceedings of the 2014 IEEE Global Humanitarian Technology Conference–South Asia Satellite (GHTC-SAS 2014), Trivandrum, India, 26–27 September 2014; pp. 111–117. [Google Scholar] [CrossRef]
- Linden, K.J.; Neal, W.R.; Serreze, H.B. Adjustable Spectrum LED Solar Simulator. Light. Diodes Mater. Devices Appl. Solid State Light. XVIII 2014, 9003, 900317. [Google Scholar] [CrossRef]
- IEC 60904-92007; Photovoltaic Devices—Part 9: Solar Simulator Performance Requirements. International Organization for Standardization, ISO Central Secretariat: Geneva, Switzerland, 2007; pp. 1–15.
- Schmiel, T. Entwicklung, Weltraumqualifikation Und Erste Ergebnisse Eines Sensorinstruments Zur Messung von Atomatem Sauerstoff Im Niedrigen Erdorbit. Ph.D. Thesis, TU Dresden, Dresden, Germany, 2009. [Google Scholar]
- Banik, U.; Sasaki, K.; Reininghaus, N.; Gehrke, K.; Vehse, M.; Sznajder, M.; Sproewitz, T.; Agert, C. Enhancing Passive Radiative Cooling Properties of Flexible CIGS Solar Cells for Space Applications Using Single Layer Silicon Oxycarbonitride Films. Sol. Energy Mater. Sol. Cells 2020, 209, 110456. [Google Scholar] [CrossRef]
- Henninger, J.H. Solar Absorptance and Thermal Emittance of Some Common Spacecraft Thermal-Control Coatings. In NASA Reference Publication; Goddard Space Flight Center: Greenbelt, MD, USA, 1984. [Google Scholar]
- Theelen, M.; Liakopoulou, A.; Hans, V.; Daume, F.; Steijvers, H.; Barreau, N.; Vroon, Z.; Zeman, M. Determination of the Temperature Dependency of the Electrical Parameters of CIGS Solar Cells. J. Renew. Sustain. Energy 2017, 9, 021205. [Google Scholar] [CrossRef]
- Theelen, M. Degradation of Cigs Solar Cells. Ph.D. Thesis, TU Delft, Delft, The Netherlands, 2015. [Google Scholar]
- Tarabini Castellani, L.; García González, S.; Ortega, A.; Madrid, S.; Lorenzini, E.C.; Olivieri, L.; Sarego, G.; Brunello, A.; Valmorbida, A.; Tajmar, M.; et al. Deorbit Kit Demonstration Mission. J. Space Saf. Eng. 2022, 9, 165–173. [Google Scholar] [CrossRef]
- Sánchez-Arriaga, G.; Borderes-Motta, G.; Chiabó, L. A Code for the Analysis of Missions with Electrodynamic Tethers. Acta Astronaut. 2022, 198, 471–481. [Google Scholar] [CrossRef]
- Verduci, R.; Romano, V.; Brunetti, G.; Yaghoobi Nia, N.; Di Carlo, A.; D’Angelo, G.; Ciminelli, C. Solar Energy in Space Applications: Review and Technology Perspectives. Adv. Energy Mater. 2022, 12, 2200125. [Google Scholar] [CrossRef]
- Peiffer, L.; Tajmar, M. Experimental Performance Evaluation of the Photovoltaic-Bare-Tether Propulsion Concept under Space Conditions for Deorbit Applications. In Proceedings of the 73rd International Astronautical Congress (IAC), Paris, France, 18–22 September 2022. [Google Scholar]
- Leger, L.G.; Santos-Mason, B.; Visintine, J.T.; Kuminecz, J. Review of LEO Flight Experiment. In Proceedings of the NASA Workshop on Atomic Oxygen Effects, Pasadena, CA, USA, 26–27 November 1986. [Google Scholar]
- Willink, R. Guide to the Expression of Uncertainty in Measurement, 1st ed.; Cambridge University Press: Cambridge, UK, 2013; ISBN 9781139135085. [Google Scholar]
- Banks, B.A.; Waters, D.L.; Thorson, S.D.; de Groh, K.K.; Snyder, A.; Miller, S. NASA/TM-2006-214363 Comparison of Atomic Oxygen Erosion Yields of Materials at Various Energy and Impact Angles. In Proceedings of the 10th International Symposium on Materials in a Space Environment (ISMSE), Collioure, France, 19–23 June 2006. [Google Scholar]


















| Sample | η0 [%] | Voc [V] | VMPP [V] | Isc [mA] | IMPP [mA] | FF [%] | Rs [Ω] | Rp [kΩ] |
|---|---|---|---|---|---|---|---|---|
| Al-1 | 5.64 | 39.09 | 27.24 | 16.82 | 14.19 | 58.79 | 537 | 96.25 |
| Al-2 | 5.15 | 40.44 | 26.25 | 16.67 | 13.45 | 52.37 | 655 | 137.68 |
| Al-3 | 6.06 | 41.16 | 28.41 | 17.19 | 14.61 | 58.70 | 568 | 167.42 |
| Al-4 | 4.70 | 36.22 | 25.59 | 15.78 | 12.59 | 56.34 | 463 | 89.53 |
| Al-5 | 5.71 | 39.70 | 27.45 | 16.89 | 14.25 | 58.35 | 568 | 60.80 |
| Al-6 | 6.01 | 39.38 | 27.91 | 17.33 | 14.76 | 60.36 | 455 | 176.13 |
| mean | 5.55 | 39.33 | 27.14 | 16.78 | 13.98 | 57.49 | 541 | 121.30 |
| No. | Grid | TCO | Coating | ηm [%] |
|---|---|---|---|---|
| 1 | Ag | AZO | - | 6.05 |
| 2 | Ag | AZO | Sol-Gel | 6.62 |
| 3 | Cu | AZO | - | 7.93 |
| 4 | Cu | AZO | Sol-Gel | 6.37 |
| 5 | Cu | AZO | CAG37 | 6.37 |
| 6 | - | ITO | - | 4.74 |
| 7 | - | ITO | Sol-Gel | 5.28 |
| Interval [nm] | ESoSi [W/m2] | EAM0 [W/m2] | SM | Class |
|---|---|---|---|---|
| 200–300 | 6.7 | 14.4 | 0.47 | C |
| 300–400 | 52.6 | 95.7 | 0.55 | C |
| 400–500 | 152.5 | 188.4 | 0.81 | A |
| 500–600 | 231.2 | 186.5 | 1.24 | A |
| 600–700 | 140.8 | 160.4 | 0.88 | A |
| 700–800 | 77.3 | 128.8 | 0.60 | B |
| 800–900 | 116.3 | 102.4 | 1.14 | A |
| 900–1000 | 103.5 | 83.4 | 1.24 | A |
| 1000–1100 | 27.5 | 66.7 | 0.41 | C |
| Total: | 908.2 | 1026.5 | - | - |
| Quantity X | dX/dT [%/K] | σ [%/K] |
|---|---|---|
| Efficiency η | −0.448 | 0.021 |
| Fill Factor FF | −0.026 | 0.027 |
| Open Circuit Voc | −0.456 | 0.024 |
| Short Circuit Isc | +0.027 | 0.004 |
| Quantity X | δX [%] | σ [%] |
|---|---|---|
| Efficiency η | +5.139 | 0.958 |
| Fill Factor FF | +0.134 | 0.299 |
| Open Circuit Voc | −0.133 | 0.273 |
| Short Circuit Isc | +5.167 | 0.931 |
Disclaimer/Publisher’s Note: The statements, opinions and data contained in all publications are solely those of the individual author(s) and contributor(s) and not of MDPI and/or the editor(s). MDPI and/or the editor(s) disclaim responsibility for any injury to people or property resulting from any ideas, methods, instructions or products referred to in the content. |
© 2023 by the authors. Licensee MDPI, Basel, Switzerland. This article is an open access article distributed under the terms and conditions of the Creative Commons Attribution (CC BY) license (https://creativecommons.org/licenses/by/4.0/).
Share and Cite
Peiffer, L.; Perfler, C.; Tajmar, M. Feasibility Study of the Bare-Photovoltaic-Tether Concept: Prototypes and Experimental Performance Evaluation of the Photovoltaic Tether Segment. Aerospace 2023, 10, 386. https://doi.org/10.3390/aerospace10040386
Peiffer L, Perfler C, Tajmar M. Feasibility Study of the Bare-Photovoltaic-Tether Concept: Prototypes and Experimental Performance Evaluation of the Photovoltaic Tether Segment. Aerospace. 2023; 10(4):386. https://doi.org/10.3390/aerospace10040386
Chicago/Turabian StylePeiffer, Leo, Christian Perfler, and Martin Tajmar. 2023. "Feasibility Study of the Bare-Photovoltaic-Tether Concept: Prototypes and Experimental Performance Evaluation of the Photovoltaic Tether Segment" Aerospace 10, no. 4: 386. https://doi.org/10.3390/aerospace10040386
APA StylePeiffer, L., Perfler, C., & Tajmar, M. (2023). Feasibility Study of the Bare-Photovoltaic-Tether Concept: Prototypes and Experimental Performance Evaluation of the Photovoltaic Tether Segment. Aerospace, 10(4), 386. https://doi.org/10.3390/aerospace10040386

