Analysis of the Effect of the Leading-Edge Vortex Structure on Unsteady Secondary Flow at the Endwall of a High-Lift Low-Pressure Turbine
Abstract
:1. Introduction
2. Numerical Method and Experimental Verification
2.1. Numerical Methods
2.2. Experimental Settings
2.3. Uncertainty Analysis
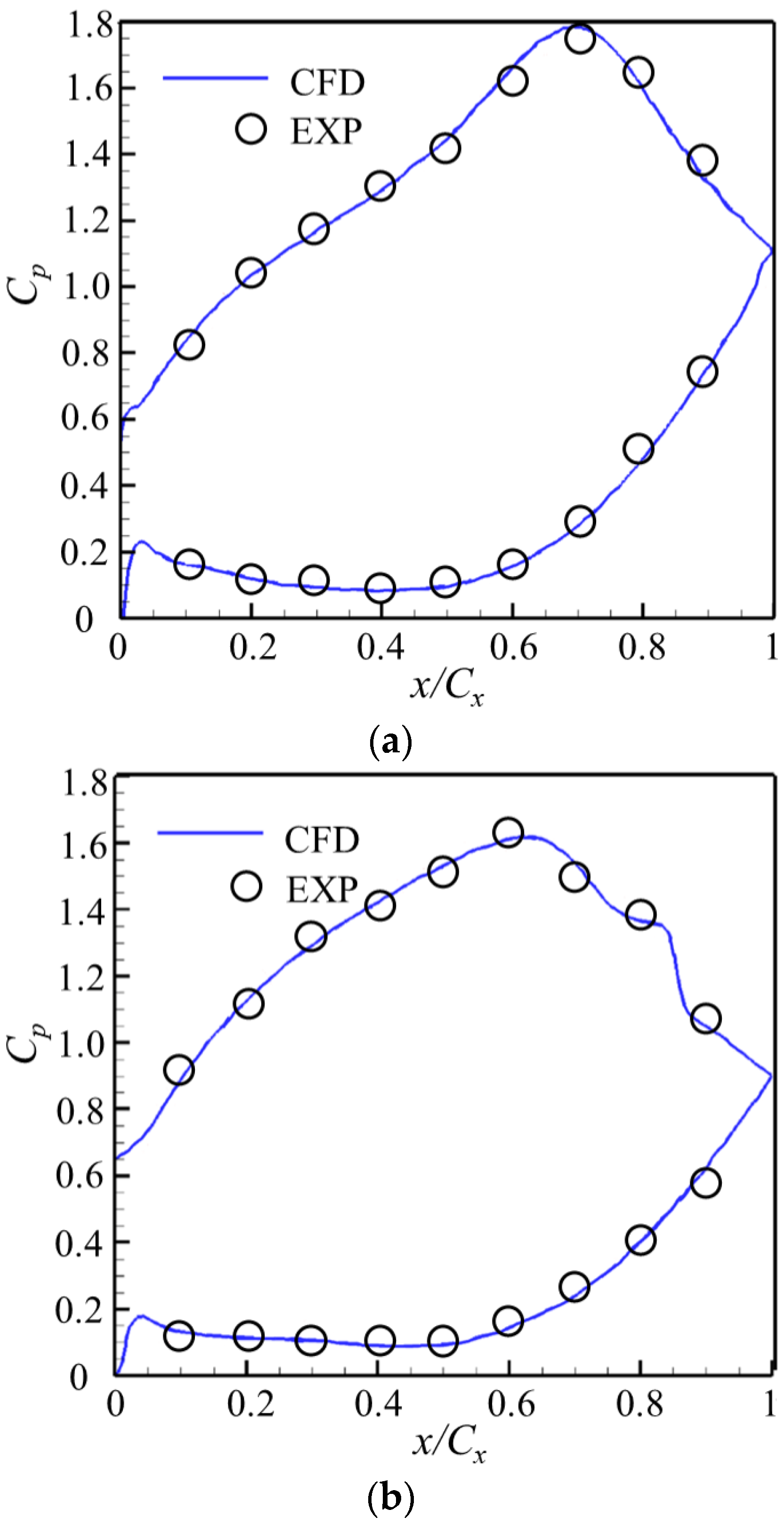
2.4. Numerical Verification
3. Discussion of Results
3.1. Time-Averaged Flow Field Analysis
3.2. Transient Flow Field Analysis
3.2.1. HSV Vortex System Configuration Evolution
3.2.2. Analysis of Bimodal Dynamics of the HSV Vortex System
3.2.3. POD Analysis of the Leading Edge HSV Vortex System
3.2.4. Influence of the Unsteady Leading-Edge HSV Vortex System on the Secondary Flow in the Cascade Channel
3.2.5. Effect of Different Boundary Layer Thicknesses on the Loss in the Cascade Channel
3.3. Analysis of the Unsteady Characteristics of the Cascade Outlet
4. Conclusions
- (1).
- We use the Smagorinsky model to calculate transient flow and use the Van-Driest wall dumping function to modify the model. Although this method cannot completely eliminate the disadvantages of the Smagorinsky model, it can still capture the configuration changes of leading-edge vortex systems. Compared with the RANS method, it has a better transient flow-capturing effect. Therefore, these results can be interpreted as possible, stable solutions.
- (2).
- Under different boundary layer thickness conditions, there are abundant leading edge flow states, and they change in different ways. At the same Reynolds number, the thick boundary layer case has more diverse and stable vortex systems, while the thin boundary layer case has fewer fundamental flow states, but its vortex system alternates more frequently.
- (3).
- The frequency of instability of reflux at a certain Reynolds number is inversely proportional to the boundary layer thickness. The instability is caused by centrifugal instability, which has different frequencies in different boundary layer thickness conditions due to the different percentages of its instability region. Different flow patterns in the leading edge of the cascade have different influences on the downstream. When the hub endwall reflux in the flow field is in an unstable state, its contribution to the downstream SKE is greater than that in the stable state. The contribution of each flow state in the unstable state to the secondary flow intensity is also different, but the difference is small.
- (4).
- Different boundary layer thicknesses will have different effects on the loss in the channel, especially the unsteady fluctuation loss. The horseshoe vortex intensity in the thick boundary layer case is higher than that in the thin boundary layer case due to the larger vortex size. As a result, the unsteady fluctuation loss in front of the cascade channel is greater than that in the thin boundary layer case, and the stability of the vortex system is different between the two. With the gradual accumulation of unsteady fluctuations, the unsteady fluctuation loss caused by the thin boundary layer case gradually exceeds that of the thick boundary layer case.
- (5).
- The change in the flow pattern at the leading edge affects the change in the strength of the passage vortex. The leading edge reflux is frequently destabilized, increasing the passage vortex intensity, whereas it does not affect the wall vortex and shedding vortex.
Author Contributions
Funding
Data Availability Statement
Acknowledgments
Conflicts of Interest
References
- Ito, E.; Tsukagoshi, K.; Masada, J.; Ishizaka, K.; Saitoh, K.; Torigoe, T. Key Technologies for Ultra High Temperature Gas Turbines. Mitsubishi Heavy Ind. Tech. Rev. 2015, 52, 15–23. [Google Scholar]
- Chen, L.D.; Dixon, S.L. Growth of Secondary Flow Losses Downstream of a Turbine Blade Cascade. J. Aerosp. Power 1986, 108, 270–276. [Google Scholar] [CrossRef]
- Gregory-Smith, D.G.; Graves, C.P.; Walsh, J.A. Growth of Secondary Losses and Vorticity in an Axial Turbine Cascade. J. Turbomach. 1988, 110, 1. [Google Scholar] [CrossRef]
- Harrison, S. Secondary Loss Generation in a Linear Cascade of High-Turning Turbine Blades. J. Turbomach. 1990, 112, 618–624. [Google Scholar] [CrossRef]
- Macisaac, G.D.; Sjolander, S.A.; Praisner, T.J. Measurements of Losses and Reynolds Stresses in the Secondary Flow Downstream of a Low-Speed Linear Turbine Cascade. In Proceedings of the ASME Turbo Expo 2010: Power for Land, Sea, and Air, Glasgow, UK, 14–18 June 2010. [Google Scholar]
- Satta, F.; Simoni, D.; Ubaldi, M.; Zunino, P.; Bertini, F. Profile and Secondary Flow Losses in a High-Lift LPT Blade Cascade at Different Reynolds Numbers under Steady and Unsteady Inflow Conditions. J. Therm. Sci. 2012, 21, 483–491. [Google Scholar] [CrossRef]
- Dossena, V.; Ippolito, G.D.; Pesatori, E. Stagger Angle and Pitch-Chord Ratio Effects on Secondary Flows Downstream of a Turbine Cascade at Several Off-Design Conditions. In Proceedings of the ASME Turbo Expo 2004, Vienna, Austria, 14–17 June 2004. GT2004-54083. [Google Scholar]
- Weiss, A.P.; Fottner, L. The Influence of Load Distribution on Secondary Flow in Straight Turbine Cascades. J. Turbomach. 1995, 117, 133–141. [Google Scholar] [CrossRef]
- Langston, L.S. Crossflows in a Turbine Cascade Passage. J. Eng. Gas Turbines Power 1980, 102, 866–874. [Google Scholar] [CrossRef]
- Hodson, H.P.; Dominy, R.G. Three-Dimensional Flow in a Low Pressure Turbine Cascade at Its Design Condition. J. Turbomach. 1987, 109, 177–185. [Google Scholar] [CrossRef]
- Zoric, T.; Popovic, I.; Sjolander, S.A.; Praisner, T.; Grover, E. Comparative Investigation of Three Highly Loaded LP Turbine Airfoils: Part I—Measured Profile and Secondary Losses at Design Incidence. In Proceedings of the ASME Turbo Expo 2007, Montreal, QC, Canada, 14–17 May 2007. GT2007-27537. [Google Scholar]
- Zoric, T.; Popovic, I.; Sjolander, S.A.; Praisner, T.; Grover, E. Comparative Investigation of Three Highly Loaded LP Turbine Airfoils: Part II—Measured Profile and Secondary Losses at Off-Design Incidence. In Proceedings of the ASME Turbo Expo 2007, Montreal, QC, Canada, 14–17 May 2007. GT2007-27538. [Google Scholar]
- Torre, D.; Vázquez, R.; de la Rosa Blanco, E.; Hodson, H.P. A New Alternative for Reduction in Secondary Flows in Low Pressure Turbines. J. Turbomach. 2011, 133, 011029. [Google Scholar] [CrossRef]
- Praisner, T.J.; Smith, C.R. The Dynamics of the Horseshoe Vortex and Associated Endwall Heat Transfer—Part I: Temporal Behavior. J. Turbomach. 2005, 128, 747–754. [Google Scholar] [CrossRef]
- Devenport, W.J.; Simpson, R.L. Time-dependent and time-averaged turbulence structure near the nose of a wing-body junction. J. Fluid Mech. 1990, 210, 23–55. [Google Scholar] [CrossRef]
- Paik, J.; Escauriaza, C.; Sotiropoulos, F. On the bimodal dynamics of the turbulent horseshoe vortex system in a wing-body junction. Phys. Fluids 2007, 19, 23–27. [Google Scholar] [CrossRef]
- Escauriaza, C.; Sotiropoulos, F. Reynolds Number Effects on the Coherent Dynamics of the Turbulent Horseshoe Vortex System. Flow Turbul. Combust. 2011, 86, 231–262. [Google Scholar] [CrossRef]
- Apsilidis, N.; Diplas, P.; Dancey, C.L.; Bouratsis, P. Time-resolved flow dynamics and Reynolds number effects at a wall-cylinder junction. J. Fluid Mech. 2015, 776, 475–511. [Google Scholar] [CrossRef]
- Chen, Q.; Qi, M.; Zhong, Q.; Li, D. Experimental study on the multimodal dynamics of the turbulent horseshoe vortex system around a circular cylinder. Phys. Fluids 2017, 29, 015106. [Google Scholar] [CrossRef]
- Chrisohoides, A.; Sotiropoulos, F.; Sturm, T.W. Coherent structures in flat-bed abutment flow: Computational fluid dynamics simulations and experiments. J. Hydraul. Eng. 2003, 129, 177–186. [Google Scholar] [CrossRef]
- Hussein, H.J.; Martinuzzi, R.J. Energy balance for turbulent flow around a surface mounted cube placed in a channel. Phys. Fluids 1996, 8, 764–780. [Google Scholar] [CrossRef]
- Kalitzin, G.; Medic, G.; Iaccarino, G.; Durbin, P. Near-wall behavior of RANS turbulence models and implications for wall functions. J. Comput. Phys. 2005, 204, 265–291. [Google Scholar] [CrossRef]
- Dargahi, B. The turbulent flow field around a circular cylinder. Exp. Fluids 1989, 8, 1–12. [Google Scholar] [CrossRef]
- Simpson, R.L. Junction Flows. Annu. Rev. Fluid Mech. 2001, 33, 415–443. [Google Scholar] [CrossRef]
- Agui, J.H.; Andreopoulos, J. Experimental investigation of a three-dimensional boundary layer flow in the vicinity of an upright wall mounted cylinder. Trans. ASME 1992, 114, 566–576. [Google Scholar]
- Shah, K.B.; Ferziger, J.H. A fluid mechanicians view of wind engineering: Large eddy simulation of flow past a cubic obstacle. J. Wind Eng. Ind. Aerodyn. 1997, 67, 211–224. [Google Scholar] [CrossRef]
- Krajnovic, S.; Davidson, L. Large eddy simulation of the flow around a three-dimensional bluff body. In Proceedings of the 39th Aerospace Sciences Meeting and Exhibit, Reno, NV, USA, 8–11 January 2001. [Google Scholar]
- Su, X.; Bian, X.; Li, H.; Yuan, X. Unsteady flows of a highly loaded turbine blade with flat endwall and contoured endwall. Aerosp. Sci. Technol. 2021, 118, 106989. [Google Scholar] [CrossRef]
- Bear, P.; Wolff, M.; Gross, A.; Marks, C.R.; Sondergaard, R. Experimental Investigation of Total Pressure Loss Development in a Highly Loaded Low Pressure Turbine Cascade. In Proceedings of the ASME Turbo Expo 2017, Charlotte, NC, USA, 26–30 June 2017. [Google Scholar]
- Gross, A.; Romero, S.; Marks, C.R.; Sondergaard, R. Numerical Investigation of Low-Pressure Turbine Endwall Flows. In Proceedings of the AIAA Scitech 2016, San Diego, CA, USA, 4–8 January 2016. [Google Scholar]
- Tomikawa, K.; Horie, H.; Arakawa, C. Parametric surveys of the effects of wake passing on high lift LP turbine flows using LES. In Proceedings of the ASME/JSME 2007 5th Joint Fluids Engineering Conference, San Diego, CA, USA, 30 July–2 August 2007. [Google Scholar]
- Funazaki, K.I.; Yamada, K.; Tanaka, N.; Chiba, Y. Detailed Studies on Separated Boundary Layers over Low-Pressure Turbine Airfoils under Several High Lift Conditions: Effect of Freesteam Turbulence. In Proceedings of the ASME Turbo Expo 2009: Power for Land, Sea and Air, Orlando, FL, USA, 8–12 June 2009. GT2009-59813. [Google Scholar]
- Ooba, Y.; Kodama, H.; Arakawa, C.; Matsuo, Y. Numerical simulation of a Wake-Blade Interaction using LES. In Proceedings of the 17th Symposium on Computational Fluid Dynamics, Cambridge, UK, 11–14 July 2002. [Google Scholar]
- Shi, W.; Ning, G.; Lin, C.; Tang, D. Numerical simulation and analysis of horseshoe-shaped vortex in near-wall region of turbulent boundary layer. Trans. Nanjing Univ. Aeronaut. Astronaut. 2011, 28, 48–56. [Google Scholar]
- Sun, S.; Tan, T.; Wu, X.; Lu, X.; Zhang, Y.; Zhu, J. Influence of the Upstream Wakes on the Boundary Layer of a High-Lift Low-Pressure Turbine at Positive Incidence. J. Aerosp. Eng. 2020, 33, 04020077. [Google Scholar] [CrossRef]
- Pope, S.B. Turbulent Flows; Cambridge University Press: Cambridge, MA, USA, 2000. [Google Scholar]
- Deardorff, J.W. A numerical study of three-dimensional turbulent channel flow at large Reynolds numbers. J. Fluid Mech. 1970, 41, 453–480. [Google Scholar] [CrossRef]
- Roach, P.E. The Generation of Nearly Isotropic Turbulence by Means of Grids. Int. J. Heat Fulid Flow 1987, 8, 82–92. [Google Scholar] [CrossRef]
- Hinze, J.O. Turbulence, 2nd ed.; McGraw-Hill: New York, NY, USA, 1975. [Google Scholar]
- Bich, W.; Cox, M.G.; Dybkaer, R.; Elster, C.; Estler, W.T.; Hibbert, B.; Imai, H.; Kool, W.; Michotte, C.; Nielsen, L.; et al. Revision of the ‘Guide to the Expression of Uncertainty in Measurement’. Why and how. Metrologia 2014, 51, S155. [Google Scholar] [CrossRef]
- Mahallati, A.; McAuliffe, B.R.; Sjolander, S.A.; Praisner, T.J. Aerodynamics of a low-pressure turbine airfoil at low reynolds numbers—Part I: Steady flow measurements. J. Turbomach. 2013, 135, 011010. [Google Scholar] [CrossRef]
- Baker, C.J. The turbulent horseshoe vortex. J. Wind Eng. Ind. Aerodyn. 1980, 6, 9–23. [Google Scholar] [CrossRef]
- Sun, S.; Wu, X.; Huang, Z.; Hu, X.; Zhang, P.; Kong, Q. Experimental and numerical investigation of periodic downstream potential flow on the behavior of boundary layer of high-lift low-pressure turbine blade. Aerosp. Sci. Technol. 2022, 123, 107453. [Google Scholar] [CrossRef]
- Floryan, J.M. Goertler instability of boundary layers over concave and convex walls. Phys. Fluids 1986, 29, 2380–2387. [Google Scholar] [CrossRef]
- Rayleigh, L. On the Dynamics of Revolving Fluids. Proc. R. Soc. Lond. 1917, 93, 148–154. [Google Scholar] [CrossRef]
- Herwig, H.; Kock, F. Direct and indirect methods of calculating entropy generation rates in turbulent convective heat transfer problems. Heat Mass Transf. 2007, 43, 207–215. [Google Scholar] [CrossRef]























| Parameters | Values |
|---|---|
| Chord length, C | 145 mm |
| Axial chord length, Cx | 139 mm |
| Blade height, h | 300 mm |
| Inlet angle | 35° |
| Exit angle | 60° |
| Load coefficient, Zw | 1.08 |
| Inlet velocity | 12 m/s |
| Free stream turbulence intensity (FSTI) | 5% |
| 100,000 |
Disclaimer/Publisher’s Note: The statements, opinions and data contained in all publications are solely those of the individual author(s) and contributor(s) and not of MDPI and/or the editor(s). MDPI and/or the editor(s) disclaim responsibility for any injury to people or property resulting from any ideas, methods, instructions or products referred to in the content. |
© 2023 by the authors. Licensee MDPI, Basel, Switzerland. This article is an open access article distributed under the terms and conditions of the Creative Commons Attribution (CC BY) license (https://creativecommons.org/licenses/by/4.0/).
Share and Cite
Sun, S.; Kang, J.; Lei, Z.; Huang, Z.; Si, H.; Wan, X. Analysis of the Effect of the Leading-Edge Vortex Structure on Unsteady Secondary Flow at the Endwall of a High-Lift Low-Pressure Turbine. Aerospace 2023, 10, 237. https://doi.org/10.3390/aerospace10030237
Sun S, Kang J, Lei Z, Huang Z, Si H, Wan X. Analysis of the Effect of the Leading-Edge Vortex Structure on Unsteady Secondary Flow at the Endwall of a High-Lift Low-Pressure Turbine. Aerospace. 2023; 10(3):237. https://doi.org/10.3390/aerospace10030237
Chicago/Turabian StyleSun, Shuang, Jinhui Kang, Zhijun Lei, Zhen Huang, Haixv Si, and Xiaolong Wan. 2023. "Analysis of the Effect of the Leading-Edge Vortex Structure on Unsteady Secondary Flow at the Endwall of a High-Lift Low-Pressure Turbine" Aerospace 10, no. 3: 237. https://doi.org/10.3390/aerospace10030237
APA StyleSun, S., Kang, J., Lei, Z., Huang, Z., Si, H., & Wan, X. (2023). Analysis of the Effect of the Leading-Edge Vortex Structure on Unsteady Secondary Flow at the Endwall of a High-Lift Low-Pressure Turbine. Aerospace, 10(3), 237. https://doi.org/10.3390/aerospace10030237
