Coupling Dynamics and Three-Dimensional Trajectory Optimization of an Unmanned Aerial Vehicle Propelled by Electroaerodynamic Thrusters
Abstract
1. Introduction
2. EAD-UAV Attitude–Path Coupling Dynamics
2.1. Reference Frames
- (1)
- Ground coordinate system
- (2)
- Body coordinate system
- (3)
- Speed coordinate system
- (4)
- Track coordinate system
2.2. Forces and Torques Acting on EAD-UAVs
- (1)
- Aerodynamic forces
- (2)
- Aerodynamic torques
- (3)
- EAD forces and torques
2.3. Dynamic Equations of EAD-UAVs
- (1)
- Dynamic equation of the motion of the center of mass of an EAD-UAV
- (2)
- Dynamic equation of an EAD-UAV rotating around the centroid
- (3)
- Kinematic equation of the motion of the center of mass of an EAD-UAV
- (4)
- Kinematic equation of an EAD-UAV rotating about its center of mass
- (5)
- Supplementary equations
- (6)
- Relationship between the thrust and voltage of an EAD thruster
- (7)
- Coupling dynamic equation of an EAD-UAV
3. Trajectory Optimization Using the Integrative Bezier Shaping Approach (IBSA)
3.1. Optimization Problem
3.2. Bezier State Approximation
3.3. Nonlinear Programming Problem (NLP)
4. Numerical Results
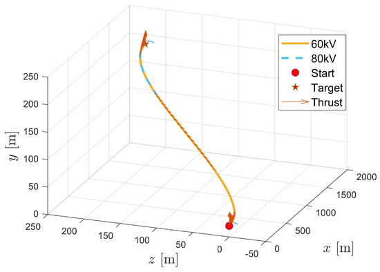
4.1. Single-Target Optimal Flight Control
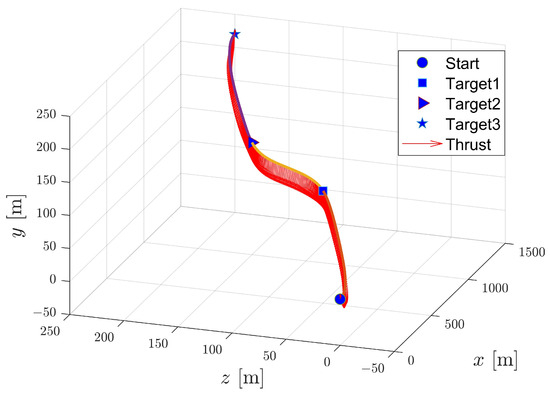
4.2. Multi-Target Continuous Optimal Flight Control
5. Conclusions
Author Contributions
Funding
Data Availability Statement
Conflicts of Interest
Appendix A
| Airframe parameters | Total mass (kg) | 2.6 |
| Wingspan (m) | 5.14 | |
| Characteristic area (m2) | 4.8 | |
| Lift coefficient | 0.24 | |
| Drag coefficient | 0.03 | |
| Moment of inertia (kg·m2) | Jx = 2.8 | |
| Jy = 0.4 | ||
| Jz = 1.6 | ||
| Jxy = 0.17 | ||
| EAD thruster parameters | Radius of emitting electrode(mm) | 0.1 |
| Airfoil of collecting electrode | NACA0010 | |
| Gap between electrodes(mm) | 60 | |
| Span of electrode(m) | 3 | |
| Dimensionless constant C0 | 0.7 | |
| Ion mobility μ (m2·V−1·s−1) | 3 × 10−4 (cited from [51]) | |
| Number of electrode pairs in each thruster | 8 | |
| Thrust center distance (m) | l1 = 0.1 | |
| l2 = 0.1 | ||
| l3 = 0.2 |
| Objective | (m) | (m) | (m) | (m/s) | (°) | (°) | (°) | (°) | (°) | (°/s) | (°/s) | (°/s) |
|---|---|---|---|---|---|---|---|---|---|---|---|---|
| Start | 0 | 20 | 0 | 5 | 0 | 0 | 0 | 0 | 0 | 0 | 0 | 0 |
| Target | 1500 | 220 | 200 | 5 | 0 | 0 | 0 | 0 | 0 | 0 | 0 | 0 |
| Objective | (m) | (m) | (m) | (m/s) | (°) | (°) | (°) | (°) | (°) | (°/s) | (°/s) | (°/s) |
|---|---|---|---|---|---|---|---|---|---|---|---|---|
| Start | 0 | 20 | 0 | 5 | 0 | 0 | 0 | 0 | 0 | 0 | 0 | 0 |
| Target 1 | 500 | 120 | 50 | |||||||||
| Target 2 | 1000 | 120 | 150 | |||||||||
| Target 3 | 1500 | 220 | 200 | 5 | 0 | 0 | 0 | 0 | 0 | 0 | 0 | 0 |
| Umax (kV) | Fmax (N) | BSA | GPM | ||
|---|---|---|---|---|---|
| Ttotal (s) | Calculation Time (s) | Ttotal (s) | Calculation Time (s) | ||
| 50 | 5.2735 | 231.2105 | 0.6726 | 229.0850 | 32.8628 |
| 52 | 5.7436 | 228.5899 | 0.7488 | 226.3433 | 40.4004 |
| 54 | 6.2337 | 225.9591 | 0.6525 | 224.1937 | 32.7720 |
| 56 | 6.7437 | 223.3179 | 0.6856 | 221.0971 | 37.7848 |
| 58 | 7.2736 | 220.6755 | 0.6389 | 219.0316 | 31.0693 |
| 60 | 7.8234 | 218.0338 | 0.7345 | 215.6894 | 31.2783 |
| 62 | 8.3932 | 215.3979 | 0.6979 | 212.9133 | 31.8652 |
| 64 | 8.9830 | 212.7728 | 0.6976 | 210.3341 | 36.7595 |
| 66 | 9.5926 | 210.1608 | 0.7502 | 207.6127 | 38.3360 |
| 68 | 10.2222 | 207.5660 | 0.7256 | 205.0823 | 34.9859 |
| 70 | 10.8717 | 204.9927 | 0.6866 | 202.4180 | 41.3066 |
| 72 | 11.5412 | 202.4239 | 0.7748 | 199.8713 | 37.7527 |
| 74 | 12.2306 | 199.8926 | 0.7923 | 197.3255 | 40.7273 |
| 76 | 12.9400 | 197.4132 | 0.8059 | 194.8418 | 38.5275 |
| 78 | 13.6692 | 194.9420 | 0.7460 | 192.2157 | 45.8105 |
| 80 | 14.4184 | 192.5029 | 0.7824 | 189.8874 | 49.3636 |
| Umax (kV) | Fmax (N) | JT | JEnergy | ||||
|---|---|---|---|---|---|---|---|
| Ttotal (s) | Energy Consumption (W·h) | Average Power (W) | Ttotal (s) | Energy Consumption (W·h) | Average Power (W) | ||
| 60 | 7.8234 | 218.0338 | 323.9982 | 5.3496 × 103 | 267.8697 | 106.6642 | 1.4335 × 103 |
| 62 | 8.3932 | 215.3979 | 345.6179 | 5.7764 × 103 | 267.8685 | 106.6637 | 1.4335 × 103 |
| 64 | 8.9830 | 212.7728 | 368.5284 | 6.2353 × 103 | 267.8684 | 106.6637 | 1.4335 × 103 |
| 66 | 9.5926 | 210.1608 | 391.7572 | 6.7107 × 103 | 267.8683 | 106.6637 | 1.4335 × 103 |
| 68 | 10.2222 | 207.5660 | 416.7118 | 7.2274 × 103 | 267.8686 | 106.6638 | 1.4335 × 103 |
| 70 | 10.8717 | 204.9927 | 442.7956 | 7.7762 × 103 | 267.8681 | 106.6636 | 1.4335 × 103 |
| 72 | 11.5412 | 202.4239 | 470.2307 | 8.3628 × 103 | 267.8712 | 106.6648 | 1.4335 × 103 |
| 74 | 12.2306 | 199.8926 | 498.1934 | 8.9723 × 103 | 267.8683 | 106.6637 | 1.4335 × 103 |
| 76 | 12.9400 | 197.4132 | 527.2413 | 9.6147 × 103 | 267.8700 | 106.6643 | 1.4335 × 103 |
| 78 | 13.6692 | 194.9420 | 557.5341 | 1.0296 × 104 | 267.8678 | 106.6635 | 1.4335 × 103 |
| 80 | 14.4184 | 192.5029 | 589.3262 | 1.1021 × 104 | 267.8711 | 106.6648 | 1.4335 × 103 |
| Umax (kV) | IBSA | BSA | ||||||||
|---|---|---|---|---|---|---|---|---|---|---|
| ΔT(1) (s) | ΔT(2) (s) | ΔT(3) (s) | Ttotal (s) | Calculation Time (s) | ΔT(1) (s) | ΔT(2) (s) | ΔT(3) (s) | Ttotal (s) | Calculation Time (s) | |
| 50 | 76.4132 | 73.9339 | 76.5223 | 226.8695 | 6.8735 | 75.5783 | invalid | invalid | invalid | invalid |
| 52 | 75.4377 | 72.9035 | 75.4856 | 223.8268 | 5.8291 | 74.9793 | invalid | invalid | invalid | invalid |
| 54 | 74.6172 | 71.8952 | 74.5277 | 221.0401 | 5.2695 | 74.0551 | invalid | invalid | invalid | invalid |
| 56 | 73.5338 | 70.9669 | 73.5909 | 218.0917 | 6.7434 | 73.1152 | invalid | invalid | invalid | invalid |
| 58 | 72.8124 | 70.0394 | 72.6541 | 215.5058 | 5.7007 | 72.1822 | invalid | invalid | invalid | invalid |
| 60 | 71.8200 | 69.0879 | 71.7320 | 212.6399 | 5.9556 | 71.2523 | invalid | invalid | invalid | invalid |
| 62 | 70.7714 | 68.1487 | 70.7778 | 209.6978 | 6.7505 | 70.3290 | invalid | invalid | invalid | invalid |
| 64 | 69.8145 | 67.2227 | 69.8679 | 206.9051 | 7.0418 | 69.4099 | Invalid | invalid | invalid | invalid |
| 66 | 68.9297 | 66.2969 | 68.9316 | 204.1582 | 7.1343 | 68.4966 | invalid | invalid | invalid | invalid |
| 68 | 68.1025 | 65.4028 | 68.0002 | 201.5056 | 6.6272 | 67.5913 | invalid | invalid | invalid | invalid |
| 70 | 67.2949 | 64.5305 | 67.1137 | 198.9391 | 5.6748 | 66.6964 | invalid | invalid | invalid | invalid |
| 72 | 66.3007 | 63.6260 | 66.2121 | 196.1387 | 6.7939 | 66.8113 | invalid | invalid | invalid | invalid |
| 74 | 65.3456 | 62.7322 | 65.3454 | 193.4232 | 7.0412 | 64.9317 | invalid | invalid | invalid | invalid |
| 76 | 64.6345 | 61.8891 | 64.4766 | 191.0002 | 6.1002 | 64.0640 | invalid | invalid | invalid | invalid |
| 78 | 63.7714 | 61.0379 | 63.6160 | 188.4254 | 6.2392 | 63.2145 | invalid | invalid | invalid | invalid |
| 80 | 62.8919 | 60.1779 | 62.7654 | 185.8352 | 6.3757 | 62.3733 | invalid | invalid | invalid | invalid |
References
- Crowther, W.J.; Wilde, P.I.A.; Gill, K.; Michie, S.M. Towards integrated design of fluidic flight controls for a flapless aircraft. Aeronaut. J. 2009, 113, 699–713. [Google Scholar] [CrossRef]
- Wilde, P.I.A.; Buonanno, A.; Crowther, W.J.; Savvaris, A. Aircraft control using fluidic maneuver effectors. In Proceedings of the 26th AlAA Applied Aerodynamics Conference, Honolulu, HI, USA, 18–21 August 2008. [Google Scholar]
- Hoholis, G.; Steijl, R.; Badcock, K. Circulation control as a roll effector for unmanned combat aerial vehicles. J. Aircr. 2016, 53, 1875–1889. [Google Scholar] [CrossRef]
- Uluskan, S. Noncausal trajectory optimization for real-time range-only targetlocalization by multiple UAVs. Aerosp. Sci. Technol. 2020, 99, 105558. [Google Scholar] [CrossRef]
- Radmanesh, R.; Kumar, M.; French, D.; Casbeer, D. Towards a PDE-based large-scaledecentralized solution for path planning of UAVs in shared airspace. Aerosp. Sci. Technol. 2020, 105, 105965. [Google Scholar] [CrossRef]
- Yao, W.; Qi, N.; Wan, N.; Liu, Y. An iterative strategy for task assignment and path planning of distributed multiple unmanned aerial vehicles. Aerosp. Sci. Technol. 2019, 86, 455–464. [Google Scholar] [CrossRef]
- Liu, Y.; Wang, H.; Fan, J.; Wu, J.; Wu, T. Control-oriented UAV highly feasible trajectory planning: A deeplearning method. Aerosp. Sci. Technol. 2021, 110, 106435. [Google Scholar] [CrossRef]
- Sun, X.; Zhang, B.H.; Chai, R.Q.; Tsourdos, A.; Chai, S. UAV trajectory optimization using chance-constrained second-order cone programming. Aerosp. Sci. Technol. 2022, 121, 107283. [Google Scholar] [CrossRef]
- Xu, H.F.; He, Y.O.; Strobel, K.L. Flight of an aeroplane with solid-state propulsion. Nature 2018, 563, 532–539. [Google Scholar] [CrossRef]
- Drew, D.S.; Lambert, N.O.; Schindler, C.B. Toward controlled flight of the ionocraft: A flying microrobot using electrohydrodynamic thrust with onboard sensing and no moving parts. IEEE Robot. Autom. Lett. 2018, 3, 2807–2813. [Google Scholar] [CrossRef]
- Chattock, A.P.; Walker, W.E.; Dixon, E.H. On the specific velocities of ions in the discharge from points. Phil. Mag. Lett. 1901, 1, 79–98. [Google Scholar] [CrossRef]
- Stuetzer, O.M. Ion-drag pumps. J. Appl. Phys. 1960, 31, 136–146. [Google Scholar] [CrossRef]
- Brown, T.T. A Method of and an Apparatus or Machine for Producing Force or Motion. Great Britain Patent GB300311(A), 15 November 1928. [Google Scholar]
- Monrolin, N.; Ploouraboue, F.; Praud, O. Electrohydrodynamic thrust for in-atmosphere propulsion. AIAA J. 2017, 55, 4296–4305. [Google Scholar] [CrossRef]
- Gilmore, C.K.; Barrett, S.R. Electrohydrodynamic thrust density using positive corona-induced ionic winds for in-atmosphere propulsion. Proc. R. Soc. A Math. Phys. Eng. Sci. 2015, 471, 20140912. [Google Scholar] [CrossRef]
- Colas, D.F.; Ferret, A.; Pai, D.Z.; Lacoste, D.A.; Laux, C.O. Ionic wind generation by a wire-cylinder-plate corona discharge in air at atmospheric pressure. J. Appl. Phys. 2010, 108, 103306. [Google Scholar] [CrossRef]
- Kim, C.; Park, D.; Noh, K.C.; Hwang, J. Velocity and energy conversion efficiency characteristics of ionic wind generator in a multistage configuration. J. Electrost. 2010, 68, 36–41. [Google Scholar] [CrossRef]
- Miller, W.M. Force characterization of asymmetrical capacitor thrusters in air. AIAA J. 2009, 227, 293–327. [Google Scholar]
- Masuyama, K.; Barrett, S.R. On the Performance of Electrohydrodynamic Propulsion. Proc. R. Soc. Lond. Ser. A Math. Phys. Eng. Sci. 2013, 469, 20120623. [Google Scholar] [CrossRef]
- Rickard, M.; Dunn-Rankin, D.; Weinberg, F.; Carleton, F. Characterization of ionic wind velocit. J. Electrost. 2005, 63, 711–716. [Google Scholar] [CrossRef]
- Rickard, M.; Dunn-Rankin, D.; Weinberg, F.; Carleton, F. Maximizing ion-driven gas flows. J. Electrost. 2006, 64, 368–376. [Google Scholar] [CrossRef]
- Wilson, J.; Perkins, H.D.; Thompson, W.K. An Investigation of Ionic Wind Propulsion; No. NASA/TM 2009-215822; NASA: Washington, DC, USA, 2009. [Google Scholar]
- Wynsberghe, E.; Turak, A. Station-keeping of a high-altitude balloon with electric propulsion and wireless power transmission: A concept study. Acta Astronaut. 2016, 128, 616–627. [Google Scholar] [CrossRef]
- Drew, D.S.; Pister, K.S. First take off of a flying micro-robot with no moving parts. In Proceedings of the 2017 International Conference on Manipulation, Automation and Robotics at Small Scales (MARSS), Piscataway, NJ, USA, 17–21 July 2017. [Google Scholar]
- He, Z.Z.; Li, P.F.; Wang, W.; Chen, X. Design of indoor unmanned airship propelled by ionic wind. J. Phys. Conf. Ser. 2021, 1748, 062011. [Google Scholar] [CrossRef]
- Coutinho, W.P.; Battarra, M.; Fliege, J. The unmanned aerial vehicle routing and trajectory optimisation problem, a taxonomic review. Comput. Ind. Eng. 2018, 120, 116–128. [Google Scholar] [CrossRef]
- Bollino, K.P.; Lewis, L.R.; Sekhavat, P.; Ross, I.M. Pseudospectral optimal control: A clear road for autonomous intelligent path planning. In Proceedings of the Infotech@ Aerospace 2007 Conference and Exhibit, Rohnert Park, CA, USA, 7–10 May 2007. [Google Scholar]
- Gong, Q.; Lewis, L.R.; Ross, I.M. Pseudospectral motion planning for autonomous vehicles. J. Guid. Control Dyn. 2009, 32, 1039–1045. [Google Scholar] [CrossRef]
- Bollino, K.P.; Lewis, L.R. Collision-free multi-UAV optimal path planning and cooperative control for tactical applications. In Proceedings of the Guidance, Navigation and Control Conference and Exhibit, Honolulu, HI, USA, 18–21 August 2008. [Google Scholar]
- Rogowski, K.; Maronski, R. Optimization of glider’s trajectory for given thermal conditions. Arch. Mech. Eng. 2011, 58, 11–25. [Google Scholar] [CrossRef][Green Version]
- Pepy, R.; Herisse, B. An indirect method for optimal guidance of a glider. IFAC Proc. Vol. 2014, 47, 5097–5102. [Google Scholar] [CrossRef]
- Babel, L. Trajectory planning for unmanned aerial vehicles: A network optimization approach. Math. Methods Oper. Res. 2011, 74, 343–360. [Google Scholar] [CrossRef]
- Shanmugavel, M.; Tsourdos, A.; Zbikowski, R.; White, B.A.; Lechevin, N. A solution to simultaneous arrival of multiple UAVs using Pythagorean Hodograph curves. In Proceedings of the 2006 American Control Conference, Minneapolis, MN, USA, 14–16 June 2006. [Google Scholar]
- Subchan, S.; White, B.A.; Tsourdos, A.; Shanmugavel, M.; Zbikowski, R. Pythagorean Hodograph (PH) path planning for tracking airborne contaminant using sensor swarm. In Proceedings of the 2008 IEEE Instrumentation and Measurement Technology Conference, Minneapolis, MN, USA, 12–15 May 2008. [Google Scholar]
- Shah, M.A.; Aouf, N. 3D cooperative Pythagorean hodograph path planning and obstacle avoidance for multiple UAVs. In Proceedings of the 2010 IEEE 9th International Conference on Cyberntic Intelligent Systems, Reading, UK, 1–2 September 2010. [Google Scholar]
- Choe, R.; Puig-Navarro, J.; Cichella, V.; Xargay, E.; Hovakimyan, N. Cooperative trajectory generation using pythagorean hodograph bezier curves. J. Guid. Control Dyn. 2016, 39, 1744–1763. [Google Scholar] [CrossRef]
- Petropoulos, A.E.; Longuski, J.M. Shape-based algorithm for the automated design of low-thrust gravity assist trajectories. J. Spacecr. Rocket. 2004, 41, 787–796. [Google Scholar] [CrossRef]
- Jolly, K.G.; Sreerama, R.; Vijayakumar, R. A Bezier curve based path planning in a multi-agent robot soccer system without violating the acceleration limits. Robot. Auton. Syst. 2009, 57, 23–33. [Google Scholar] [CrossRef]
- Machmudah, A.; Parman, S.; Zainuddin, A. UAV Bezier curve maneuver planning using genetic algorithm. In Proceedings of the 12th Annual Conference Companion on Genetic and Evolutionary Computation, Portland, OR, USA, 7–11 July 2010. [Google Scholar]
- Habib, Z.; Sakai, M. G2cubic transition between two circles with shape control. J. Comput. Appl. Math. 2009, 223, 134–144. [Google Scholar] [CrossRef]
- Connors, J.; Elkaim, G. Analysis of a spline based, obstacle avoiding path planning algorithm. In Proceedings of the VTC2007-Spring, IEEE 65th Vehicular Technology Conference, Dublin, Ireland, 22–25 April 2007. [Google Scholar]
- Huo, M.Y.; Yu, Z.; Liu, H.; Zhao, C.; Lin, T.; Song, Z.; Qi, N.M. Initial three-dimensional trajectory design for solar sails using Bezier shaping approach. IEEE Access 2019, 7, 150842–150850. [Google Scholar] [CrossRef]
- Huo, M.Y.; Mengali, G.; Quarta, A.; Qi, N.M. Electric sail trajectory design with Bezier curve-based shaping approach. Aerosp. Sci. Technol. 2019, 88, 126–135. [Google Scholar] [CrossRef]
- Chen, C.; He, Y.Q.; Bu, C.G.; Han, J.D.; Zhang, X. Quartic Bezier curve based trajectory generation for autonomous vehicles with curvature and velocity constraints. In Proceedings of the 2014 IEEE International Conference on Robotics and Automation, Hong Kong, China, 31 May–7 June 2014. [Google Scholar]
- Xiao, W.; Peng, J.; De, L.; Tao, S. Curvature continuous and bounded path planning for fixed-wing UAVs. Sensors 2017, 17, 2155. [Google Scholar]
- Yu, W.; Shuo, W.; Rui, W.; Min, T. Generation of temporal–spatial Bezier curve for simultaneous arrival of multiple unmanned vehicles. Inform. Sci. 2017, 418–419, 34–35. [Google Scholar] [CrossRef]
- Roth, J.R. Industrial Plasma Engineering Volume 1: Principles; Institute of Physics Publishing: Bristol, UK; Philadelphia, PA, USA, 1995; p. 286. [Google Scholar]
- Peek, F.W. Dielectric Phenomena in High Voltage Engineering; McGraw-Hill: New York, NY, USA, 1920; p. 57. [Google Scholar]
- Yu, Z.; Qi, N.M.; Huo, M.Y.; Fan, Z.C.; Yao, W.R. Fast Cooperative Trajectory Generation of Unmanned Aerial Vehicles Using a Bezier Curve-Based Shaping Method. IEEE Access 2022, 10, 1626–1636. [Google Scholar] [CrossRef]
- Yang, S.B.; Cui, T.; Hao, X.Y.; Yu, D.R. Trajectory optimization for a ramjet-powered vehicle in ascent phase via the Gauss pseudospectral method. Aerosp. Sci. Technol. 2017, 67, 88–95. [Google Scholar] [CrossRef]
- Moreau, E.; Benard, N.; Lan-Sun-Luk, J.D.; Chabriat, J.P. Electrohydrodynamic force produced by a wire-to-cylinder dc corona discharge in air at atmospheric pressure. J. Phys. D Appl. Phys. 2013, 46, 475204. [Google Scholar] [CrossRef]



























Disclaimer/Publisher’s Note: The statements, opinions and data contained in all publications are solely those of the individual author(s) and contributor(s) and not of MDPI and/or the editor(s). MDPI and/or the editor(s) disclaim responsibility for any injury to people or property resulting from any ideas, methods, instructions or products referred to in the content. |
© 2023 by the authors. Licensee MDPI, Basel, Switzerland. This article is an open access article distributed under the terms and conditions of the Creative Commons Attribution (CC BY) license (https://creativecommons.org/licenses/by/4.0/).
Share and Cite
Lin, T.; Huo, M.; Qi, N.; Wang, J.; Wang, T.; Gu, H.; Zhang, Y. Coupling Dynamics and Three-Dimensional Trajectory Optimization of an Unmanned Aerial Vehicle Propelled by Electroaerodynamic Thrusters. Aerospace 2023, 10, 950. https://doi.org/10.3390/aerospace10110950
Lin T, Huo M, Qi N, Wang J, Wang T, Gu H, Zhang Y. Coupling Dynamics and Three-Dimensional Trajectory Optimization of an Unmanned Aerial Vehicle Propelled by Electroaerodynamic Thrusters. Aerospace. 2023; 10(11):950. https://doi.org/10.3390/aerospace10110950
Chicago/Turabian StyleLin, Tong, Mingying Huo, Naiming Qi, Jianfeng Wang, Tianchen Wang, Haopeng Gu, and Yiming Zhang. 2023. "Coupling Dynamics and Three-Dimensional Trajectory Optimization of an Unmanned Aerial Vehicle Propelled by Electroaerodynamic Thrusters" Aerospace 10, no. 11: 950. https://doi.org/10.3390/aerospace10110950
APA StyleLin, T., Huo, M., Qi, N., Wang, J., Wang, T., Gu, H., & Zhang, Y. (2023). Coupling Dynamics and Three-Dimensional Trajectory Optimization of an Unmanned Aerial Vehicle Propelled by Electroaerodynamic Thrusters. Aerospace, 10(11), 950. https://doi.org/10.3390/aerospace10110950
