Preliminary Analysis of the Stability and Controllability of a Box-Wing Aircraft Configuration
Abstract
:1. Introduction
2. Methodology Description
3. Lifting System Planform Design
3.1. Longitudinal Stability and Pitch Trim
3.2. Stable Stall Constraint
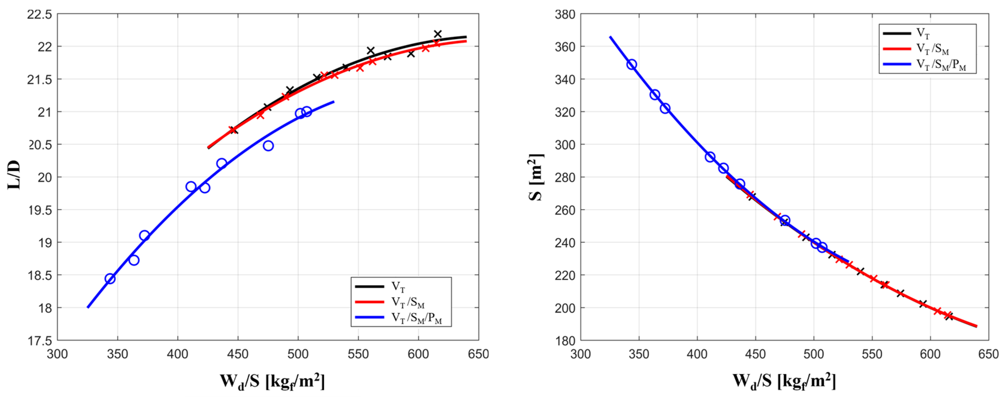
3.3. Trim Drag Assessment
4. Low-Speed Performance Assessment
5. Directional Static Stability
6. Summary of the Conceptual Design Criteria for a Box-Wing Configuration
7. Conclusions
Author Contributions
Funding
Data Availability Statement
Conflicts of Interest
Glossary
| Symbol | Description | Unit |
| b | wingspan | m |
| maximum lift coefficient of the section airfoil | ||
| lift coefficient | ||
| approach lift coefficient | ||
| lift coefficient identifying stall condition | ||
| maximum lift coefficient | ||
| trim lift coefficient | ||
| lift coefficient derivative w.r.t. α | ||
| pitching moment coefficient | ||
| pitching moment coefficient at α = 0 | ||
| pitching moment coefficient derivative w.r.t. α | ||
| yaw moment coefficient derivative w.r.t. β | ||
| pressure coefficient | ||
| lateral force coefficient derivative w.r.t. β | ||
| D | drag | N |
| fw | superscript for forward wing | |
| h | vertical distance between wings | m |
| L | lift | N |
| L/D | lift-to-drag ratio | |
| L/S | wing loading | kgf/m2 |
| vector of lower boundaries | ||
| R | front–rear wing loading ratio | |
| rw | superscript for rear wing | |
| S | wing reference area | m2 |
| static margin | ||
| vertical tail reference surface | m2 | |
| final time | s | |
| initial time | s | |
| vector of upper boundaries | ||
| aircraft approach speed | m/s | |
| aircraft stall speed | m/s | |
| aircraft approach weight | N | |
| aircraft design weight | N | |
| longitudinal position of centre of gravity | m | |
| longitudinal position of centre of pressure | m | |
| longitudinal position of neutral point | m | |
| longitudinal position of i-th tank centre of gravity | m | |
| α | aircraft angle of attack | deg |
| aircraft stall angle of attack | deg | |
| β | aircraft sideslip angle | deg |
| angle between fin and vertical plane | deg | |
| elevator deflection | deg | |
| flap deflection | deg | |
| ε | optimal aerodynamic efficiency ratio | |
| tolerance for trim lift constraint | ||
| tolerance for trim pitching moment constraint | ||
| sweep angle at 25% of the chord | deg | |
| ρ | air density | kg/m3 |
| ψ | flap gain | |
| Acronym | Description | |
| AVL | Athena Vortex Lattice | |
| BWS | Best Wing System | |
| CFD | Computation Fluid Dynamics | |
| DES | Direct Eddy Simulation | |
| F | Freighter | |
| GA | General Aviation | |
| LES | Large Eddy Simulation | |
| LR | long range | |
| MDAO | Multidisciplinary Design Analysis and Optimisation | |
| MTOW | Maximum take-off weight | |
| RANS | Reynolds-averaged Navier–Stokes | |
| REG | regional | |
| SMR | short–medium range | |
| UAM | Urban Air Mobility | |
| VLM | Vortex Lattice Method | |
| VTP | Vertical Tail Plane | |
References
- Lange, R.H.; Cahill, J.F.; Bradley, E.S.; Eudaily, R.R.; Jenness, C.M.; Macwilkinson, D.G.; Feasibility Study of the Transonic Biplane Concept for Transport Aircraft Application. Technical Report, NASA-CR-132462. 1974. Available online: https://ntrs.nasa.gov/citations/19740026364 (accessed on 4 September 2023).
- Wolkovitch, J. The joined wing—An overview. J. Aircr. 1986, 23, 161–178. [Google Scholar] [CrossRef]
- Frediani, A. Large Dimension Aircraft. U.S. Patent No. 5,899,409, 05 April 1999. [Google Scholar]
- Frediani, A.; Cipolla, V.; Rizzo, E. The PrandtlPlane Configuration: Overview on Possible Applications to Civil Aviation. In Variational Analysis and Aerospace Engineering: Mathematical Challenges for Aerospace Design; Springer Optimization and Its Applications; Springer: Boston, MA, USA, 2012; Volume 66. [Google Scholar] [CrossRef]
- Cavallaro, R.; Demasi, L. Challenges, Ideas, and Innovations of Joined-Wing Configurations: A Concept from the Past, an Opportunity for the Future. Prog. Aerosp. Sci. 2016, 87, 1–93. [Google Scholar] [CrossRef]
- Frediani, A.; The Prandtl Wing. VKI, Lecture Series: Innovative Configurations and Advanced Concepts for Future Civil Transport Aircraft. 2005. Available online: https://perma.cc/XU6F-8YLG (accessed on 4 September 2023).
- Bravo-Mosquera, P.; Catalano, F.; Zingg, D.W. Unconventional aircraft for civil aviation: A review of concepts and design methodologies. Prog. Aerosp. Sci. 2022, 131, 100813. [Google Scholar] [CrossRef]
- Abu Salem, K.; Cipolla, V.; Palaia, G.; Binante, V.; Zanetti, D. A physics-based multidisciplinary approach for the preliminary design and performance analysis of a medium range aircraft with box-wing architecture. Aerospace 2021, 8, 292. [Google Scholar] [CrossRef]
- Bravo-Mosquera, P.D.; Cerón-Muñoz, H.D.; Catalano, F.M. Design, aerodynamic analysis and optimization of a next-671 generation commercial airliner. J. Braz. Soc. Mech. Sci. Eng. 2022, 44, 609. [Google Scholar] [CrossRef]
- Tasca, A.L.; Cipolla, V.; Abu Salem, K.; Puccini, M. Innovative Box-Wing Aircraft: Emissions and Climate Change. Sustainability 2021, 13, 3282. [Google Scholar] [CrossRef]
- McNutt, M. Climate Change Impacts. Science 2013, 341, 435. [Google Scholar] [CrossRef]
- Ryley, T.; Baumeister, S.; Coulter, L. Climate change influences on aviation: A literature review. Transp. Policy 2020, 92, 55–64. [Google Scholar] [CrossRef]
- Gössling, S.; Humpe, A. The global scale, distribution and growth of aviation: Implications for climate change. Glob. Environ. Chang. 2020, 65, 102194. [Google Scholar] [CrossRef]
- Hasan, M.A.; Mamun, A.A.; Rahman, S.M.; Malik, K.; Al Amran, M.I.U.; Khondaker, A.N.; Reshi, O.; Tiwari, S.P.; Alismail, F.S. Climate Change Mitigation Pathways for the Aviation Sector. Sustainability 2021, 13, 3656. [Google Scholar] [CrossRef]
- Prandtl, L.; Induced Drag of Multiplanes. Technical Note, NACA TN-182. 1924. Available online: https://ntrs.nasa.gov/citations/19930080964 (accessed on 4 September 2023).
- Frediani, A.; Montanari, G. Best wing system: An exact solution of the Prandtl’s problem. In Variational Analysis and Aerospace Engineering; Springer Optimization and Its Applications; Springer: New York, NY, USA, 2009; Volume 33. [Google Scholar] [CrossRef]
- Demasi, L.; Dipace, A.; Monegato, G.; Cavallaro, R. Invariant formulation for the minimum induced drag conditions of nonplanar wing systems. AIAA J. 2014, 52, 2223–2240. [Google Scholar] [CrossRef]
- Demasi, L.; Monegato, G.; Dipace, A.; Cavallaro, R. Minimum Induced Drag Theorems for Joined Wings, Closed Systems, and Generic Biwings: Theory. J. Optim. Theory Appl. 2016, 169, 200–235. [Google Scholar] [CrossRef]
- Demasi, L.; Monegato, G.; Rizzo, E.; Cavallaro, R.; Dipace, A. Minimum Induced Drag Theorems for Joined Wings, Closed Systems, and Generic Biwings: Applications. J. Optim. Theory Appl. 2016, 169, 236–261. [Google Scholar] [CrossRef]
- Demasi, L.; Monegato, G.; Cavallaro, R. Minimum induced drag theorems for multiwing systems. AIAA J. 2017, 55, 3266–3287. [Google Scholar] [CrossRef]
- Munk, M.M.; General Biplane Theory. Technical Report, NACA-TR-151. 1923. Available online: https://ntrs.nasa.gov/citations/19930091216 (accessed on 4 September 2023).
- Rizzi, A. Modeling and simulating aircraft stability and control-The SimSAC project. Prog. Aerosp. Sci. 2011, 47, 573–588. [Google Scholar] [CrossRef]
- Pfeiffer, T.; Nagel, B.; Böhnke, D.; Rizzi, A.; Voskuijl, M. Implementation of a heterogeneous, variable-fidelity framework for flight mechanics analysis in preliminary aircraft design. In Proceedings of the 60th German Aerospace Congress (DLRK), Bremen, Germany, 27 September 2011; Available online: https://elib.dlr.de/81424/ (accessed on 4 September 2023).
- Nicolosi, F.; Della Vecchia, P.; Ciliberti, D. An investigation on vertical tailplane contribution to aircraft sideforce. Aerosp. Sci. Technol. 2013, 28, 401–416. [Google Scholar] [CrossRef]
- Ciliberti, D.; Della Vecchia, P.; Nicolosi, F.; De Marco, A. Aircraft directional stability and vertical tail design: A review of semi-empirical methods. Prog. Aerosp. Sci. 2017, 95, 140–172. [Google Scholar] [CrossRef]
- Sforza, P.M. Commercial Airplane Design Principles, 1st ed.; Butterworth–Heinemann: Oxford, UK, 2014; Available online: https://www.sciencedirect.com/book/9780124199538/commercial-airplane-design-principles (accessed on 4 September 2023)ISBN 978-0-12-419953-8.
- Filippone, A. Advanced Aircraft Flight Performance; Cambridge University Press: Cambridge, UK, 2012. [Google Scholar] [CrossRef]
- Casarosa, C. Meccanica del Volo; Pisa University Press: Pisa, Italy, 2013; ISBN 978-8867410163. [Google Scholar]
- Lyu, D.; Zhang, S.; Zhao, L.; Zhao, J.; Su, H. Collaborative design method of aerodynamic stability and control for modern advanced symmetrical tailless high-speed aircraft. Aerosp. Sci. Technol. 2023, 139, 108384. [Google Scholar] [CrossRef]
- Hasan, Y.J.; Flink, J.; Freund, S.; Klimmek, T.; Kuchar, R.; Liersch, C.M.; Looye, G.; Moerland, E.; Pfeiffer, T.; Zenkner, S.; et al. Stability and control investigations in early stages of aircraft design. In Proceedings of the Applied Aerodynamics Conference, Atlanta, GA, USA, 25–29 June 2018. [Google Scholar] [CrossRef]
- Ammar, S.; Legros, C.; Trépanier, J.Y. Conceptual design, performance and stability analysis of a 200 passengers Blended Wing Body aircraft. Aerosp. Sci. Technol. 2017, 71, 325–336. [Google Scholar] [CrossRef]
- Song, L.; Yang, H.; Zhang, Y.; Zhang, H.; Huang, J. Dihedral influence on lateral–directional dynamic stability on large aspect ratio tailless flying wing aircraft. Chin. J. Aeronaut. 2014, 27, 1149–1155. [Google Scholar] [CrossRef]
- Zhenli, C.H.; Zhang, M.; Yingchun, C.H.; Weimin, S.A.; Zhaoguang, T.A.; Dong, L.I.; Zhang, B. Assessment on critical technologies for conceptual design of blended-wing-body civil aircraft. Chin. J. Aeronaut. 2019, 32, 1797–1827. [Google Scholar] [CrossRef]
- Zhu, W.; Fan, Z.; Yu, X. Structural mass prediction in conceptual design of blended-wing-body aircraft. Chin. J. Aeronaut. 2019, 32, 2455–2465. [Google Scholar] [CrossRef]
- Li, P.; Zhang, B.; Chen, Y.; Yuan, C.; Lin, Y. Aerodynamic design methodology for blended wing body transport. Chin. J. Aeronaut. 2012, 25, 508–516. [Google Scholar] [CrossRef]
- Wang, L.; Zhang, N.; Liu, H.; Yue, T. Stability characteristics and airworthiness requirements of blended wing body aircraft with podded engines. Chin. J. Aeronaut. 2022, 35, 77–86. [Google Scholar] [CrossRef]
- Rizzo, E.; Frediani, A. Application of Optimisation Algorithms to Aircraft Aerodynamics. Variational Analysis and Aerospace Engineering; Springer Optimization and Its Applications; Springer: New York, NY, USA, 2009; Volume 33. [Google Scholar] [CrossRef]
- Schiktanz, D.; Scholz, D. Box Wing Fundamentals—An Aircraft Design Perspective; DocumentID: 241353; DGLR: Deutscher Luft- und Raumfahrtkongress, DLRK: Bremen, Germany, 2011; Available online: http://Airport2030.ProfScholz.de (accessed on 4 September 2023)ISBN 978-3-932182-74-X.
- Jemitola, P.O.; Fielding, J.P. Box wing aircraft conceptual design. In Proceedings of the 28th ICAS Congress, Brisbane, Australia, 23–28 September 2012; Available online: https://icas.org/ICAS_ARCHIVE/ICAS2012/PAPERS/213.PDF (accessed on 4 September 2023).
- Roy Salam, I.; Bil, C. A methodology for multi-disciplinary analysis of the box wing concept. In Proceedings of the 15th AIAA Aviation Technology, Integration and Operations Conference, Dallas, TX, USA, 22–26 June 2015. [Google Scholar] [CrossRef]
- Roy Salam, I.; Bil, C. Multi-disciplinary analysis and optimisation methodology for conceptual design of a box-wing aircraft. Aeronaut. J. 2016, 120, 1315–1333. [Google Scholar] [CrossRef]
- Frediani, A.; Cipolla, V.; Abu Salem, K.; Binante, V.; Picchi Scardaoni, M. Conceptual design of PrandtlPlane civil transport aircraft. Proc. Inst. Mech. Eng. Part G J. Aerosp. Eng. 2019, 234, 10. [Google Scholar] [CrossRef]
- Schiktanz, D.; Scholz, D. The conflict of aerodynamic efficiency and static longitudinal stability of box wing aircraft. In Proceedings of the 3rd CEAS Air & Space Conference—21st AIDAA Congress, Venice, Italy, 24–28 October 2011; pp. 910–921. Available online: https://www.fzt.haw-hamburg.de/pers/Scholz/Airport2030/Airport2030_PUB_CEAS_11-10-24.pdf (accessed on 4 September 2023).
- Andrews, S.A.; Perez, R.E. Stability and control effects on the design optimization of a box-wing aircraft. In Proceedings of the 14th AIAA Aviation Technology, Integration, and Operations Conference, Atlanta, GA, USA, 16–20 June 2014; p. 2592. [Google Scholar] [CrossRef]
- Andrews, S.; Perez, R. Analytic study of the conditions required for longitudinal stability of dual-wing aircraft. Proc. Inst. Mech. Eng. Part G J. Aerosp. Eng. 2018, 232, 958–972. [Google Scholar] [CrossRef]
- Cipolla, V.; Frediani, A.; Abu Salem, K.; Picchi Scardaoni, M.; Nuti, A.; Binante, V. Conceptual design of a box-wing aircraft for the air transport of the future. In Proceedings of the AIAA Aviation Forum, Aviation Technology, Integration, and Operations Conference, Atlanta, GA, USA, 25–29 June 2018. [Google Scholar] [CrossRef]
- Andrews, S.A.; Perez, R.E. Comparison of box-wing and conventional aircraft mission performance using multidisciplinary analysis and optimization. Aerosp. Sci. Technol. 2018, 79, 336–351. [Google Scholar] [CrossRef]
- Gagnon, H.; Zingg, D.W. Aerodynamic optimization trade study of a box-wing aircraft configuration. J. Aircr. 2016, 53, 971–981. [Google Scholar] [CrossRef]
- Frediani, A.; Cipolla, V.; Oliviero, F. IDINTOS: The first prototype of an amphibious PrandtlPlane-shaped aircraft. Aerotec. Missili Spaz. 2015, 94, 195–209. [Google Scholar] [CrossRef]
- van Ginneken, D.; Voskuijl, M.; van Tooren, M.; Frediani, A. Automated control surface design and sizing for the prandtl plane. In Proceedings of the 51st AIAA Structures, Structural Dynamics, and Materials Conference, Orlando, FL, USA, 12–15 April 2010. [Google Scholar] [CrossRef]
- Voskuijl, M.; de Klerk, J.; van Ginneken, D. Flight Mechanics Modeling of the PrandtlPlane for Conceptual and Preliminary Design. In Variational Analysis and Aerospace Engineering: Mathematical Challenges for Aerospace Design; Springer Optimization and Its Applications; Springer: Boston, MA, USA, 2012; Volume 66. [Google Scholar] [CrossRef]
- de Wringer, S.; Varriale, C.; Oliviero, F. A Generalized Approach to Operational, Globally Optimal Aircraft Mission Performance Evaluation, with Application to Direct Lift Control. Aerospace 2020, 7, 134. [Google Scholar] [CrossRef]
- La Rocca, G.; Van Tooren, M.J. Knowledge-based engineering approach to support aircraft multidisciplinary design and optimization. J. Aircr. 2009, 46, 1875–1885. [Google Scholar] [CrossRef]
- Haocheng, F.E.; Mingqiang, L.U.; Hu, L.I.; Zhe, W.U. A knowledge-based and extensible aircraft conceptual design environment. Chin. J. Aeronaut. 2011, 24, 709–719. [Google Scholar] [CrossRef]
- Lefebvre, T.; Schmollgruber, P.; Blondeau, C.; Carrier, G. Aircraft conceptual design in a multi-level, multi-fidelity, multi-disciplinary optimization process. In Proceedings of the 28th ICAS Congress, Brisbane, Australia, 23–28 September 2012; Available online: https://www.icas.org/ICAS_ARCHIVE/ICAS2012/PAPERS/042.PDF (accessed on 4 September 2023).
- Ciampa, P.D.; Nagel, B.; La Rocca, G. Preliminary design for flexible aircraft in a collaborative environment. In Proceedings of the The International Conference of the European Aerospace Societies (CEAS), Linköping, Sweden, 16–19 September 2013; Available online: https://elib.dlr.de/95187/ (accessed on 4 September 2023).
- Gu, X.; Ciampa, P.D.; Nagel, B. An automated CFD analysis workflow in overall aircraft design applications. CEAS Aeronaut. J. 2018, 9, 3–13. [Google Scholar] [CrossRef]
- Elham, A.; La Rocca, G.; van Tooren, M.J. Development and implementation of an advanced, design-sensitive method for wing weight estimation. Aerosp. Sci. Technol. 2013, 29, 100–113. [Google Scholar] [CrossRef]
- Cipolla, V.; Abu Salem, K.; Palaia, G.; Binante, V.; Zanetti, D. A DoE-based approach for the implementation of structural surrogate models in the early stage design of box-wing aircraft. Aerosp. Sci. Technol. 2021, 117, 106968. [Google Scholar] [CrossRef]
- Karpuk, S.; Liu, Y.; Elham, A. Multi-Fidelity Design Optimization of a Long-Range Blended Wing Body Aircraft with New Airframe Technologies. Aerospace 2020, 7, 87. [Google Scholar] [CrossRef]
- Karpuk, S.; Mosca, V.; Liu, C.; Elham, A. Development of a Multi-fidelity Design, Analysis, and Optimization Environment for Future Transport Aircraft. In Proceedings of the AIAA Scitech Forum, San Diego, CA, USA, 3–7 January 2022. [Google Scholar] [CrossRef]
- Roskam, J.; Lan, C.T.E. Airplane Aerodynamics and Performance; DARcorporation: Lawrence, KS, USA, 1997; ISBN 978-1884885440. [Google Scholar]
- Takahashi, T.T. Revisiting Roskam’s Empirical Predictions for Landing Distance. In Proceedings of the AIAA Aviation Forum, Virtual Event, 2–6 August 2021. [Google Scholar] [CrossRef]
- Fink, R.D. USAF Stability and Control DATCOM; McDonnell Aircraft Co.: St. Louis, MO, USA, 1978. [Google Scholar]
- Risse, K.; Anton, E.; Henke, R. Methodology for flying qualities prediction and assessment in preliminary aircraft design. In Proceedings of the 10th AIAA Aviation Technology, Integration, and Operations Conference, Fort Worth, TX, USA, 13–15 September 2010; p. 9261. [Google Scholar] [CrossRef]
- Drela, M.; Youngren, H.; AVL 3.36 User Primer. Online Software Manual. 2017. Available online: https://perma.cc/R35R-W29F (accessed on 4 September 2023).
- Murua, J.; Palacios, R.; Graham, J.M.R. Applications of the unsteady vortex-lattice method in aircraft aeroelasticity and flight dynamics. Prog. Aerosp. Sci. 2012, 55, 46–72. [Google Scholar] [CrossRef]
- VSAERO. Available online: https://www.tu-braunschweig.de/en/ifl/simulation-tools/numerical-fluid-analysis/vsaero (accessed on 4 September 2023).
- Conlan-Smith, C.; Ramos-García, N.; Sigmund, O.; Andreasen, C.S. Aerodynamic shape optimization of aircraft wings using panel methods. AIAA J. 2020, 58, 3765–3776. [Google Scholar] [CrossRef]
- Cipolla, V.; Frediani, A.; Abu Salem, K.; Binante, V.; Rizzo, E.; Maganzi, M. Preliminary transonic CFD analyses of a PrandtlPlane transport aircraft. Transp. Res. Procedia 2018, 29, 82–91. [Google Scholar] [CrossRef]
- Carini, M.; Méheut, M.; Kanellopoulos, S.; Cipolla, V.; Abu Salem, K. Aerodynamic analysis and optimization of a boxwing architecture for commercial airplanes. In Proceedings of the AIAA SciTech Forum, Orlando, FL, USA, 6–10 January 2020. [Google Scholar] [CrossRef]
- Probst, A.; Melber-Wilkending, S. Hybrid RANS/LES of a generic high-lift aircraft configuration near maximum lift. Int. J. Numer. Methods Heat Fluid Flow 2022, 32, 1204–1221. [Google Scholar] [CrossRef]
- Chalot, F.; Levasseur, V.; Mallet, M.; Petit, G.; Reau, N. LES and -DES simulations for aircraft design. In Proceedings of the 45th AIAA Aerospace Sciences Meeting and Exhibit, Reno, NV, USA, 8–11 January 2007. [Google Scholar] [CrossRef]
- Nicolosi, F.; Corcione, S.; Della Vecchia, P. Commuter aircraft aerodynamic characteristics through wind tunnel tests. Aircr. Eng. Aerosp. Technol. 2016, 88, 523–534. [Google Scholar] [CrossRef]
- Cusati, V.; Corcione, S.; Ciliberti, D.; Nicolosi, F. Design Evolution and Wind Tunnel Tests of a Three-Lifting Surface Regional Transport Aircraft. Aerospace 2022, 9, 133. [Google Scholar] [CrossRef]
- Mieloszyk, J.; Tarnowski, A.; Tomaszewski, A.; Goetzendorf-Grabowski, T. Validation of flight dynamic stability optimization constraints with flight tests. Aerosp. Sci. Technol. 2020, 106, 106193. [Google Scholar] [CrossRef]
- Nicolosi, F.; De Marco, A.; Della Vecchia, P. Stability, flying qualities and longitudinal parameter estimation of a twin-engine CS-23 certified light aircraft. Aerosp. Sci. Technol. 2013, 24, 226–240. [Google Scholar] [CrossRef]
- Cipolla, V.; Abu Salem, K.; Bachi, F. Preliminary stability analysis methods for PrandtlPlane aircraft in subsonic conditions. Aircr. Eng. Aerosp. Technol. 2018, 91, 525–537. [Google Scholar] [CrossRef]
- Abu Salem, K. Development of Design Tools and Methods for Box-Wing Airplanes and Application of the PrandtlPlane Concept to a Short-Medium Range Aircraft. Ph.D. Thesis, University of Pisa, Pisa, Italy, 2021. Available online: https://etd.adm.unipi.it/theses/available/etd-05312021-171241/ (accessed on 4 September 2023).
- Abu Salem, K.; Palaia, G.; Cipolla, V.; Binante, V.; Zanetti, D.; Chiarelli, M. Tools and methodologies for box-wing aircraft conceptual aerodynamic design and aeromechanic analysis. Mech. Ind. 2021, 22, 39. [Google Scholar] [CrossRef]
- Babaei, A.R.; Setayandeh, M.R.; Farrokhfal, H. Aircraft robust multidisciplinary design optimization methodology based on fuzzy preference function. Chin. J. Aeronaut. 2018, 31, 2248–2259. [Google Scholar] [CrossRef]
- Mastroddi, F.; Gemma, S. Analysis of Pareto frontiers for multidisciplinary design optimization of aircraft. Aerosp. Sci. Technol. 2013, 28, 40–55. [Google Scholar] [CrossRef]
- Fioriti, M.; Boggero, L.; Prakasha, P.S.; Mirzoyan, A.; Aigner, B.; Anisimov, K. Multidisciplinary aircraft integration within a collaborative and distributed design framework using the AGILE paradigm. Prog. Aerosp. Sci. 2020, 119, 100648. [Google Scholar] [CrossRef]
- Benaouali, A.; Kachel, S. Multidisciplinary design optimization of aircraft wing using commercial software integration. Aerosp. Sci. Technol. 2019, 92, 766–776. [Google Scholar] [CrossRef]
- Leifsson, L.; Ko, A.; Mason, W.H.; Schetz, J.A.; Grossman, B.; Haftka, R.T. Multidisciplinary design optimization of blended-wing-body transport aircraft with distributed propulsion. Aerosp. Sci. Technol. 2013, 25, 16–28. [Google Scholar] [CrossRef]
- Ciampa, P.D.; Nagel, B. AGILE Paradigm: The next generation collaborative MDO for the development of aeronautical systems. Prog. Aerosp. Sci. 2020, 119, 100643. [Google Scholar] [CrossRef]
- Palladino, V.; Bartoli, N.; Pommier-Budinger, V.; Benard, E.; Schmollgruber, P.; Jordan, A. Optimization of a hy-drogen-based hybrid propulsion system under aircraft performance constraints. Chin. J. Aeronaut. 2023, 36, 41–56. [Google Scholar] [CrossRef]
- ANSYS. Ansys Fluent—Fluid Simulation Software. Available online: https://www.ansys.com/it-it/products/fluids/ansys-fluent (accessed on 4 September 2023).
- Rizzo, E. Optimization Methods Applied to the Preliminary Design of Innovative Non Conventional Aircraft Configurations. Ph.D. Thesis, University of Pisa, Pisa, Italy, 2009. Available online: https://etd.adm.unipi.it/theses/available/etd-05122010-103814/ (accessed on 4 September 2023).
- Cappelli, L.; Costa, G.; Cipolla, V.; Frediani, A.; Oliviero, F.; Rizzo, E. Aerodynamic optimization of a large PrandtlPlane configuration. Aerotec. Missili Spaz. 2016, 95, 163–175. [Google Scholar] [CrossRef]
- Raymer, D.P. Aircraft Design: A Conceptual Approach. AIAA Education Series; American Institute of Aeronautics and Astronautics, Inc.: Washington, DC, USA, 1992. [Google Scholar] [CrossRef]
- Beltramo, M.; Trapp, D.; Kimoto, B.; Marsh, D. Parametric Study of Transport Aircraft Systems Cost and Weight, Report NASA CR151970; Science Appbications Incorporated: Reston, VA, USA, 1977.
- Abu Salem, K.; Palaia, G.; Chiarelli, M.R.; Bianchi, M. A Simulation Framework for Aircraft Take-Off Considering Ground Effect Aerodynamics in Conceptual Design. Aerospace 2023, 10, 459. [Google Scholar] [CrossRef]
- Abu Salem, K.; Palaia, G.; Quarta, A.A. Review of hybrid-electric aircraft technologies and designs: Critical analysis and novel solutions. Prog. Aerosp. Sci. 2023, 141, 100924. [Google Scholar] [CrossRef]
- Palaia, G.; Abu Salem, K.; Cipolla, V.; Binante, V.; Zanetti, D. A conceptual design methodology for e-VTOL aircraft for urban air mobility. Appl. Sci. 2021, 11, 10815. [Google Scholar] [CrossRef]
- Abu Salem, K. Studio Sulla Configurazione Aerodinamica di Velivoli Civili di Tipo PrandtlPlane di Piccole e Medie Dimensioni. Master’s Thesis, University of Pisa, Pisa, Italy, 2016. Available online: https://etd.adm.unipi.it/theses/available/etd-06222016-110207/ (accessed on 4 September 2023).
- Ghiringhelli, G.L.; Frediani, A.; Terraneo, M. Weight Prediction of the Lifting System for an Unconventional Aircraft Configuration. Aerotec. Missili Spaz. 2015, 94, 39–57. [Google Scholar] [CrossRef]
- Oliviero, F. Preliminary Design of a Very Large PrandtlPlane Freighter and Airport Network Analysis. Ph.D. Thesis, University of Pisa, Pisa, Italy, 2015. Available online: https://etd.adm.unipi.it/theses/available/etd-12152015-103232/ (accessed on 4 September 2023).
- Cipolla, V.; Abu Salem, K.; Picchi Scardaoni, M.; Binante, V. Preliminary design and performance analysis of a box-wing transport aircraft. In Proceedings of the AIAA SciTech Forum, Orlando, FL, USA, 6–10 January 2020. [Google Scholar] [CrossRef]
- Jimenez, J.F.; Giron-Sierra, J.M.; Insaurralde, C.; Seminario, M. A simulation of aircraft fuel management system. Simul. Model. Pract. Theory 2007, 15, 544–564. [Google Scholar] [CrossRef]
- Wildschek, A.; Stroscher, F.; Haniš, T.; Belschner, T. Fuel management system for cruise performance optimization on a large blended wing body airliner. Prog. Flight Dyn. Guid. Navig. Control. Fault Detect. Avion. 2013, 6, 651–670. [Google Scholar] [CrossRef]
- Torenbeek, E. Synthesis of Subsonic Airplane Design; Springer: Dordrecht, The Netherlands, 1982. [Google Scholar] [CrossRef]
- Nicolosi, F.; Ciliberti, D.; Della Vecchia, P.; Corcione, S.; Cusati, V. A comprehensive review of vertical tail design. Aircr. Eng. Aerosp. Technol. 2017, 89, 547–557. [Google Scholar] [CrossRef]
- Bombardieri, R.; Cavallaro, R.; Demasi, L. A historical perspective on the aeroelasticity of box Wings and PrandtlPlane with new findings. In Proceedings of the AIAA SciTech Forum, San Diego, CA, USA, 4–8 January 2016. [Google Scholar] [CrossRef]
- Divoux, N.; Frediani, A. The Lifting System of a PrandtlPlane, Part 2: Preliminary Study on Flutter Characteristics. In Variational Analysis and Aerospace Engineering: Mathematical Challenges for Aerospace Design; Springer Optimization and Its Applications; Springer: Boston, MA, USA, 2012; Volume 66. [Google Scholar] [CrossRef]
- Cavallaro, R.; Bombardieri, R.; Silvani, S.; Demasi, L.; Bernardini, G. Aeroelasticity of the PrandtlPlane: Body Freedom Flutter, Freeplay, and Limit Cycle Oscillation. Variational Analysis and Aerospace Engineering, Springer Optimization and Its Applications; Springer: Cham, Switzerland, 2016; Volume 116. [Google Scholar] [CrossRef]
- Sanchez-Carmona, A.; Cuerno-Rejado, C. Vee-tail conceptual design criteria for commercial transport aeroplanes. Chin. J. Aeronaut. 2019, 32, 595–610. [Google Scholar] [CrossRef]
- Abu Salem, K.; Palaia, G.; Carini, M.; Meheut, M.; Maganzi, M.; Falcone, C. A CFD-based collaborative approach for box-wing aircraft aerodynamic assessment: The PARSIFAL study case. Aerotec. Missili Spaz. 2023, in press. [Google Scholar] [CrossRef]































| Level | Type | Implementation | Time/Cost | Application |
|---|---|---|---|---|
| 0 | textbook | Roskam [62,63] | very low | initial sizing |
| 0 | database | DATCOM [64,65] | very low | initial sizing |
| 1 | potential | VLM [66,67] | low | conceptual |
| 1.5 | potential | 3D Panel Method [68,69] | medium | conceptual |
| 2 | CFD | RANS [70,71] | high | preliminary |
| 2.5 | CFD | LES/DES [72,73] | very high | advanced |
| 3 | experimental | wind tunnel [74,75] | extremely high | project specific |
| 4 | experimental | flight test [76,77] | extremely high | project specific |
| Type of Simulation | Code | Geometry | Input Required | Hardware (Minimum) | Average Simulation Time |
|---|---|---|---|---|---|
| VLM | AVL | 2D panels | Plain text file | Any current laptop | 1–5 s |
| RANS | ANSYS | 3D assembly | CAD model + surface-volume meshing | Parallel computing, eight cores, 32 GB RAM | 18–24 h |
| Name | Constraints | Notes |
|---|---|---|
| VT | Only vertical trim | |
| VT/SM | Vertical trim and longitudinal static stability | |
| VT/SM/PT | Vertical trim, longitudinal static stability, and pitch trim |
| Name [Refs.] | Class | MTOW [kgf] | Sfw [m2] | Srw [m2] | Λfw [deg] | Λrw [deg] | (L/S)fw [kgf/m2] | (L/S)rw [kgf/m2] | R |
|---|---|---|---|---|---|---|---|---|---|
| MSx [8] | SMR | 125,100 | 118 | 109 | 42 | −20 | 639 | 487 | 0.76 |
| MS1.2 [79] | SMR | 126,400 | 135 | 131 | 37 | −24 | 574 | 338 | 0.58 |
| PrP-186 [79] | SMR | 78,100 | 73 | 69 | 34 | −20 | 625 | 365 | 0.58 |
| Prosib HE [93] | REG | 22,900 | 40 | 38 | 24 | −15 | 385 | 195 | 0.51 |
| Prosib HE [94] | REG | 50,200 | 88 | 84 | 2 | −5 | 350 | 185 | 0.53 |
| TiltOne [95] | UAM | 2512 | 12 | 12 | 0 | 0 | 116 | 78 | 0.67 |
| BW P180 [96] | GA | 6240 | 12 | 13 | 11 | −10 | 322 | 149 | 0.46 |
| PrP250 [97] | LR | 230,000 | 192 | 160 | 37 | −24 | 770 | 414 | 0.54 |
| Freighter [98] | F | 625,000 | 571 | 500 | 40 | −29 | 626 | 400 | 0.63 |
Disclaimer/Publisher’s Note: The statements, opinions and data contained in all publications are solely those of the individual author(s) and contributor(s) and not of MDPI and/or the editor(s). MDPI and/or the editor(s) disclaim responsibility for any injury to people or property resulting from any ideas, methods, instructions or products referred to in the content. |
© 2023 by the authors. Licensee MDPI, Basel, Switzerland. This article is an open access article distributed under the terms and conditions of the Creative Commons Attribution (CC BY) license (https://creativecommons.org/licenses/by/4.0/).
Share and Cite
Abu Salem, K.; Palaia, G.; Quarta, A.A.; Chiarelli, M.R. Preliminary Analysis of the Stability and Controllability of a Box-Wing Aircraft Configuration. Aerospace 2023, 10, 874. https://doi.org/10.3390/aerospace10100874
Abu Salem K, Palaia G, Quarta AA, Chiarelli MR. Preliminary Analysis of the Stability and Controllability of a Box-Wing Aircraft Configuration. Aerospace. 2023; 10(10):874. https://doi.org/10.3390/aerospace10100874
Chicago/Turabian StyleAbu Salem, Karim, Giuseppe Palaia, Alessandro A. Quarta, and Mario R. Chiarelli. 2023. "Preliminary Analysis of the Stability and Controllability of a Box-Wing Aircraft Configuration" Aerospace 10, no. 10: 874. https://doi.org/10.3390/aerospace10100874
APA StyleAbu Salem, K., Palaia, G., Quarta, A. A., & Chiarelli, M. R. (2023). Preliminary Analysis of the Stability and Controllability of a Box-Wing Aircraft Configuration. Aerospace, 10(10), 874. https://doi.org/10.3390/aerospace10100874

