Quartz Crystal Microbalances for Space: Design and Testing of a 3D Printed Quasi-Kinematic Support
Abstract
1. Introduction
2. Materials and Methods
- Radial stiffness for each holder element should be lower than 1.2 N/mm, a value identified to reduce thermal stresses on the crystal in the temperature range between −190 °C and 150 °C with a CTE mismatch between holder and crystal not exceeding 30 ppm/K;
- A design load given as a quasi-static acceleration of one hundred times the Earth’s gravitational acceleration was used;
- The lowest resonance frequency must be larger than 150 Hz, a general constraint to avoid unwanted forcing on the mechanical system by mounting system resonances.
3. Detailed Design
3.1. Model Description
3.2. Discussion
4. Manufacturing, Integration, and Testing
4.1. Geometry and Stiffness Verification
4.2. Electrical Contacts
4.3. Thermal Testing
4.4. Mechanical Testing
- Initial resonance search: a low amplitude sweep sine test between 20 and 2000 Hz, with an acceleration amplitude of 5 m/s2 and a sweep rate of 2 oct/min;
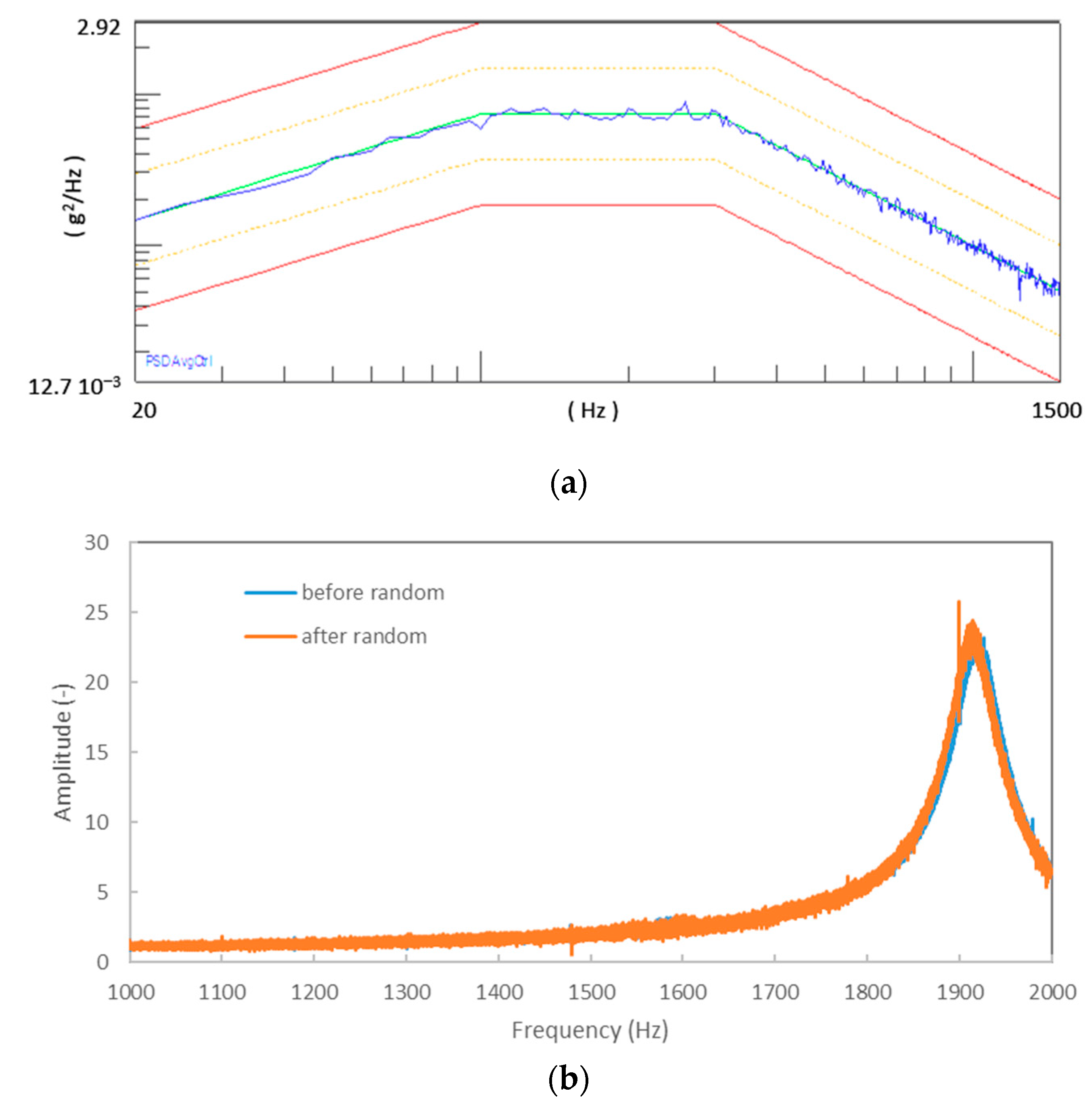
- Random excitation from 20 to 2000 Hz with an equivalent RMS of 500 m/s2 for a total time of 2.5 min in the tested direction, as shown in Figure 13a;
- Final resonance search: low amplitude sweep sine test.
5. Conclusions
Author Contributions
Funding
Institutional Review Board Statement
Informed Consent Statement
Data Availability Statement
Acknowledgments
Conflicts of Interest
References
- Kobryn, P.A.; Ontko, N.R.; Perkins, L.P.; Tiley, J.S. Additive Manufacturing of Aerospace Alloys for Aircraft Structures; Air Force Research Lab Wright-Patterson AFB OH Materials and Manufacturing Directorate: Wright-Patterson Air Force Base, OH, USA, 2006. [Google Scholar]
- Schiller, G.J. Additive Manufacturing for Aerospace. In Proceedings of the 2015 IEEE Aerospace Conference, Big Sky, MT, USA, 7–14 March 2015; pp. 1–8. [Google Scholar]
- Gibson, I.; Rosen, D.; Stucker, B.; Khorasani, M. Development of additive manufacturing technology. In Additive Manufacturing Technologies; Springer: Berlin/Heidelberg, Germany, 2021; pp. 23–51. [Google Scholar]
- Goh, G.D.; Agarwala, S.; Goh, G.L.; Dikshit, V.; Sing, S.L.; Yeong, W.Y. Additive Manufacturing in Unmanned Aerial Vehicles (UAVs): Challenges and Potential. Aerosp. Sci. Technol. 2017, 63, 140–151. [Google Scholar] [CrossRef]
- Najmon, J.C.; Raeisi, S.; Tovar, A. Review of Additive Manufacturing Technologies and Applications in the Aerospace Industry. In Additive Manufacturing for the Aerospace Industry; Elsevier: Amsterdam, The Netherlands, 2019; pp. 7–31. [Google Scholar]
- Rinaldi, M.; Ferrara, M.; Pigliaru, L.; Allegranza, C.; Nanni, F. Additive Manufacturing of Polyether Ether Ketone-Based Composites for Space Application: A Mini-Review. CEAS Space J. 2021, 2021, 1–11. [Google Scholar] [CrossRef]
- Rinaldi, M.; Cecchini, F.; Pigliaru, L.; Ghidini, T.; Lumaca, F.; Nanni, F. Additive Manufacturing of Polyether Ether Ketone (Peek) for Space Applications: A Nanosat Polymeric Structure. Polymers 2020, 13, 11. [Google Scholar] [CrossRef] [PubMed]
- Boschetto, A.; Bottini, L.; Eugeni, M.; Cardini, V.; Nisi, G.G.; Veniali, F.; Gaudenzi, P. Selective Laser Melting of a 1u Cubesat Structure. Design for Additive Manufacturing and Assembly. Acta Astronaut. 2019, 159, 377–384. [Google Scholar] [CrossRef]
- Godec, M.; Malej, S.; Feizpour, D.; Donik, Č.; Balažic, M.; Klobčar, D.; Pambaguian, L.; Conradi, M.; Kocijan, A. Hybrid Additive Manufacturing of Inconel 718 for Future Space Applications. Mater. Charact. 2021, 172, 110842. [Google Scholar] [CrossRef]
- Romei, F.; Grubišić, A.N. Validation of an Additively Manufactured Resistojet through Experimental and Computational Analysis. Acta Astronaut. 2020, 167, 14–22. [Google Scholar] [CrossRef]
- Fiocchi, J.; Biffi, C.A.; Scaccabarozzi, D.; Saggin, B.; Tuissi, A. Enhancement of the Damping Behavior of Ti6Al4V Alloy through the use of Trabecular Structure Produced by Selective Laser Melting. Adv. Eng. Mater. 2020, 22, 1900722. [Google Scholar] [CrossRef]
- Colombo, C.; Biffi, C.A.; Fiocchi, J.; Scaccabarozzi, D.; Saggin, B.; Tuissi, A.; Vergani, L.M. Modulating the Damping Capacity of SLMed AlSi10Mg Trough Stress-Relieving Thermal Treatments. Theor. Appl. Fract. Mech. 2020, 107, 102537. [Google Scholar] [CrossRef]
- Spears, T.G.; Gold, S.A. In-Process Sensing in Selective Laser Melting (SLM) Additive Manufacturing. Integr. Mater. Manuf. Innov. 2016, 5, 16–40. [Google Scholar] [CrossRef]
- Rebaioli, L.; Fassi, I. A Review on Benchmark Artifacts for Evaluating the Geometrical Performance of Additive Manufacturing Processes. Int. J. Adv. Manuf. Technol. 2017, 93, 2571–2598. [Google Scholar] [CrossRef]
- Rupal, B.S.; Anwer, N.; Secanell, M.; Qureshi, A.J. Geometric Tolerance and Manufacturing Assemblability Estimation of Metal Additive Manufacturing (AM) Processes. Mater. Des. 2020, 194, 108842. [Google Scholar] [CrossRef]
- Brice, C.A. Unintended Consequences: How Qualification Constrains Innovation. In Proceedings of the 1st World Congress on Integrated Computational Materials Engineering (ICME), Seven Springs, PA, USA, 10–14 July 2011. [Google Scholar]
- Sacco, E.; Moon, S.K. Additive Manufacturing for Space: Status and Promises. Int. J. Adv. Manuf. Technol. 2019, 105, 4123–4146. [Google Scholar] [CrossRef]
- Dordlofva, C.; Törlind, P. Qualification Challenges with Additive Manufacturing in Space Applications. In Proceedings of the 2017 International Solid Freeform Fabrication Symposium, Austin, TX, USA, 7–9 August 2017. [Google Scholar]
- VDI. VDI 3405-3-4: Additive Manufacturing Processes—Design Rules for Part Production Using Material Extrusion Processes; VDI: Düsseldorf, Germany, 2019. [Google Scholar]
- Krueger, H. Standardization for Additive Manufacturing in Aerospace. Engineering 2017, 3, 585. [Google Scholar] [CrossRef]
- Scaccabarozzi, D.; Saggin, B.; Tarabini, M.; Palomba, E.; Longobardo, A.; Zampetti, E. Thermo-Mechanical Design and Testing of a Microbalance for Space Applications. Adv. Space Res. 2014, 54, 2386–2397. [Google Scholar] [CrossRef]
- Dirri, F.; Palomba, E.; Longobardo, A.; Zampetti, E.; Saggin, B.; Scaccabarozzi, D. A Review of Quartz Crystal Microbalances for Space Applications. Sens. Actuators A Phys. 2019, 287, 48–75. [Google Scholar] [CrossRef]
- Scaccabarozzi, D.; Saggin, B.; Corti, M.G.; Arrigoni, S.; Valnegri, P.; Dirri, F.; Gisellu, C.; Palomba, E.; Longobardo, A.; Zampetti, E. Design of VISTA, a Quartz Crystal Thermogravimetric Analyzer for Hera Mission. In Proceedings of the 2022 IEEE 9th International Workshop on Metrology for AeroSpace (MetroAeroSpace), Pisa, Italy, 27–29 June 2022; pp. 28–32. [Google Scholar]
- Yoder, P.R. Mounting Optics in Optical Instruments.; SPIE Press: Bellingham, WA, USA, 2008. [Google Scholar]
- Saggin, B.; Scaccabarozzi, D.; Shatalina, I.; Panzeri, R.; Tarabini, M.; Magni, M.; Bellucci, G. MicroMIMA, a Miniaturized Spectrometer for Planetary Observation. In Proceedings of the 2015 IEEE Metrology for Aerospace (MetroAeroSpace), Benevento, Italy, 4–5 June 2015; pp. 502–506. [Google Scholar]
- Dirri, F.; Palomba, E.; Longobardo, A.; Biondi, D.; Boccaccini, A.; Galiano, A.; Zampetti, E.; Saggin, B.; Scaccabarozzi, D.; Martin-Torres, J. VISTA Instrument: A PCM-Based Sensor for Organics and Volatiles Characterization by using Thermogravimetric Technique. In Proceedings of the 2018 5th IEEE International Workshop on Metrology for AeroSpace (MetroAeroSpace), Rome, Italy, 20–22 June 2018; pp. 150–154. [Google Scholar]
- Hopping, E.P.; Huang, W.; Xu, K.G. Small Hall Effect Thruster with 3D Printed Discharge Channel: Design and Thrust Measurements. Aerospace 2021, 8, 227. [Google Scholar] [CrossRef]
- Becedas, J.; Caparrós, A.; Ramírez, A.; Morillo, P.; Sarachaga, E.; Martín-Moreno, A. Advanced Space Flight Mechanical Qualification Test of a 3D-Printed Satellite Structure Produced in Polyetherimide ULTEM™. In Advanced Engineering Testing; IntechOpen: London, UK, 2018. [Google Scholar]
- Scaccabarozzi, D.; Saggin, B.; Magni, M.; Valnegri, P.; Corti, M.G.; Palomba, E.; Longobardo, A.; Dirri, F.; Zampetti, E. Design of 3D Printed Holder for Quartz Crystal Microbalances. In Proceedings of the 2021 IEEE 8th International Workshop on Metrology for AeroSpace (MetroAeroSpace), Naples, Italy, 23–25 June 2021; pp. 715–719. [Google Scholar]
- Scaccabarozzi, D.; Saggin, B.; Magni, M.; Corti, M.G.; Zampetti, E.; Palomba, E.; Longobardo, A.; Dirri, F. Calibration in Cryogenic Conditions of Deposited Thin-Film Thermometers on Quartz Crystal Microbalances. Sens. Actuators A Phys. 2021, 330, 112878. [Google Scholar] [CrossRef]














| Quartz | FLHTAM 02 | |
|---|---|---|
| Flexural modulus (MPa) | 97,200 | 2800 |
| Density (kg m−3) | 2648 | 1100 |
| Poisson’s ratio | 0.17 | 0.36 |
| σ limit -tension (MPa) | 47 | 48.7 |
| σ limit -compression (MPa) | 1100 | n.a. |
| σ limit -bending (MPa) | 41 | 97.2 |
| CTE (°C−1) | 7.1 × 10−6 | 74.5 × 10−6 |
| Mode Number | Eigenfrequency (Hz) |
|---|---|
| 1 | 1739 |
| 2 | 1748 |
| 3 | 2074 |
| Support | Mean (mA) | Standard deviation (mA) |
|---|---|---|
| 1 top disk | 79.83 | 5.9 × 10−3 |
| 2 top disk | 78.92 | 7.3 × 10−3 |
| 3 top disk | 79.65 | 8.1 × 10−3 |
| 1 bottom disk | 77.68 | 1.6 × 10−3 |
| 2 bottom disk | 79.54 | 5.1 × 10−3 |
| 3 bottom disk | 79.67 | 3.2 × 10−3 |
Disclaimer/Publisher’s Note: The statements, opinions and data contained in all publications are solely those of the individual author(s) and contributor(s) and not of MDPI and/or the editor(s). MDPI and/or the editor(s) disclaim responsibility for any injury to people or property resulting from any ideas, methods, instructions or products referred to in the content. |
© 2023 by the authors. Licensee MDPI, Basel, Switzerland. This article is an open access article distributed under the terms and conditions of the Creative Commons Attribution (CC BY) license (https://creativecommons.org/licenses/by/4.0/).
Share and Cite
Scaccabarozzi, D.; Saggin, B.; Magni, M.; Corti, M.G.; Valnegri, P.; Palomba, E.; Longobardo, A.; Dirri, F.; Zampetti, E. Quartz Crystal Microbalances for Space: Design and Testing of a 3D Printed Quasi-Kinematic Support. Aerospace 2023, 10, 42. https://doi.org/10.3390/aerospace10010042
Scaccabarozzi D, Saggin B, Magni M, Corti MG, Valnegri P, Palomba E, Longobardo A, Dirri F, Zampetti E. Quartz Crystal Microbalances for Space: Design and Testing of a 3D Printed Quasi-Kinematic Support. Aerospace. 2023; 10(1):42. https://doi.org/10.3390/aerospace10010042
Chicago/Turabian StyleScaccabarozzi, Diego, Bortolino Saggin, Marianna Magni, Marco Giovanni Corti, Pietro Valnegri, Ernesto Palomba, Andrea Longobardo, Fabrizio Dirri, and Emiliano Zampetti. 2023. "Quartz Crystal Microbalances for Space: Design and Testing of a 3D Printed Quasi-Kinematic Support" Aerospace 10, no. 1: 42. https://doi.org/10.3390/aerospace10010042
APA StyleScaccabarozzi, D., Saggin, B., Magni, M., Corti, M. G., Valnegri, P., Palomba, E., Longobardo, A., Dirri, F., & Zampetti, E. (2023). Quartz Crystal Microbalances for Space: Design and Testing of a 3D Printed Quasi-Kinematic Support. Aerospace, 10(1), 42. https://doi.org/10.3390/aerospace10010042

