Differences in the Reaction of North Equatorial Countercurrent to the Developing and Mature Phase of ENSO Events in the Western Pacific Ocean
Abstract
1. Introduction
2. Materials and Methods
3. Results
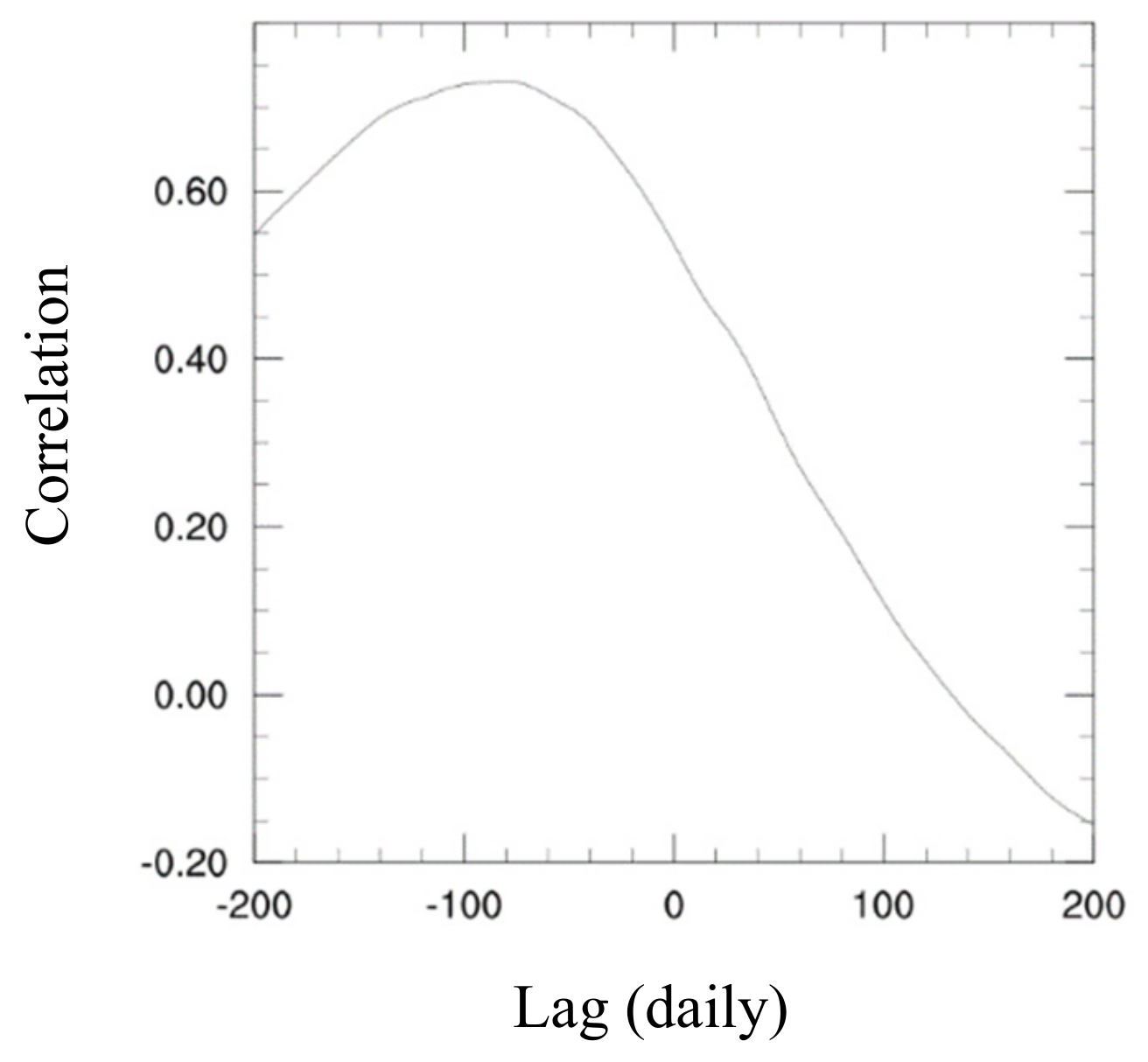
3.1. Variations of the NECC
3.2. Wind Forcing
3.3. Surrounding Sea Surface Height Anomaly (SSHA)
4. Discussion and Conclusions
Author Contributions
Funding
Informed Consent Statement
Data Availability Statement
Acknowledgments
Conflicts of Interest
Appendix A

References
- Zhao, J.; Li, Y.; Wang, F. Seasonal Variation of the Surface North Equatorial Countercurrent (NECC) in the Western Pacific Ocean. Chin. J. Oceanol. Limnol. 2016, 34, 1332–1346. [Google Scholar] [CrossRef]
- Johnson, G.C.; Sloyan, B.M.; Kessler, W.S.; McTaggart, K.E. Direct measurements of upper ocean currents and water properties across the tropical Pacific during the 1990s. Prog. Oceanogr. 2002, 52, 31–61. [Google Scholar] [CrossRef]
- Donguy, J.R.; Meyers, G. Mean annual variation of transport of major currents in the tropical Pacific Ocean. Deep Sea Res. Part I Oceanogr. Res. Pap. 1996, 43, 1105–1122. [Google Scholar] [CrossRef]
- Wyrtki, K.; Kendall, R. Transports of the Pacific equatorial countercurrent. J. Geophys. Res. 1967, 72, 2073–2076. [Google Scholar] [CrossRef]
- Chen, X.; Qiu, B.; Du, Y.; Chen, S.; Qi, Y. Interannual and interdecadal variability of the North Equatorial Countercurrent in the Western Pacific. J. Geophys. Res. Oceans 2016, 121, 7743–7758. [Google Scholar] [CrossRef]
- Webb, D.J. On the role of the North Equatorial Counter Current during a strong El Niño. Ocean Sci. 2017, 14, 633–660. [Google Scholar] [CrossRef]
- Zhao, J.; Li, Y.; Wang, F. Dynamical responses of the west Pacific North Equatorial Countercurrent (NECC) system to El Nino events. J. Geophys. Res. Ocean. 2013, 118, 2828–2844. [Google Scholar] [CrossRef]
- Zhang, Q.; Liu, H.; Zhou, H.; Zheng, D. Variation Features of the Mindanao Eddy from Argo Data. Atmos. Ocean 2012, 50 (Suppl. 1), 103–115. [Google Scholar] [CrossRef][Green Version]
- Kashino, Y.; Atmadipoera, A.; Kuroda, Y.; Lukijanto, L. Observed features of the Halmahera and Mindanao Eddies. J. Geophys. Res. Ocean. 2013, 118, 6543–6560. [Google Scholar] [CrossRef]
- Hsin, Y.-C.; Qiu, B. The impact of Eastern-Pacific versus Central-Pacific El Niños on the North Equatorial Countercurrent in the Pacific Ocean. J. Geophys. Res. 2012, 117, C11017. [Google Scholar] [CrossRef]
- Wang, L.-C.; Wu, C.-R. Contrasting the Flow Patterns in the Equatorial Pacific between Two Types of El Niño. Atmos. Ocean 2013, 51, 60–74. [Google Scholar] [CrossRef]
- Tan, S.; Zhou, H. The observed impacts of the two types of El Niño on the North Equatorial Countercurrent in the Pacific Ocean. Geophys. Res. Lett. 2018, 45, 10493–10500. [Google Scholar] [CrossRef]
- Paek, H.; Yu, J.-Y.; Qian, C. Why were the 2015/2016 and 1997/1998 extreme El Niños different? Geophys. Res. Lett. 2017, 44, 1848–1856. [Google Scholar] [CrossRef]
- Santoso, A.; Mcphaden, M.J.; Cai, W. The defining characteristics of ENSO extremes and the strong 2015/2016 El Niño. Rev. Geophys. 2017, 55, 1079–1129. [Google Scholar] [CrossRef]
- Wen, N.; Liu, Z.; Li, L. Direct ENSO impact on East Asian summer precipitation in the developing summer. Clim. Dyn. 2018, 52, 6799–6815. [Google Scholar] [CrossRef]
- Wu, B.; Zhou, T.; Li, T. Contrast of Rainfall-SST Relationship in the Western Pacific between the ENSO-Developing and ENSO-Decaying Summers. J. Clim. 2009, 22, 4398–4405. [Google Scholar] [CrossRef]
- Park, Y.-H. Determination of the Surface Geostrophic Velocity Field from Satellite Altimetry. J. Geophys. Res. 2004, 109, C05006. [Google Scholar] [CrossRef]
- Lagerloef, G.S.E.; Mitchum, G.T.; Lukas, R.B.; Niiler, P.P. Tropical Pacific near-surface currents estimated from altimeter, wind, and drifter data. J. Geophys. Res. 1999, 104, 23313–23326. [Google Scholar] [CrossRef]
- Sanchez-Reales, J.M.; Vigo, M.I.; Trottini, M. Ocean Surface Geostrophic Circulation Climatology and Annual Variations Inferred from Satellite Altimetry and GOCE Gravity Data. Pure Appl. Geophys. 2014, 173, 849–860. [Google Scholar] [CrossRef]
- Suzuki, N.; Konda, M.; Kutsuwada, K.; Utsunomiya, K. Comparison of the accuracy of various global wind speed datasets obtained from satellites and reanalyses. J. Adv. Mar. Sci. Technol. Soc. 2018, 24, 31–37. [Google Scholar] [CrossRef]
- Atlas, R.; Hoffman, R.N.; Ardizzone, J.; Leidner, S.M.; Jusem, J.C.; Smith, D.K.; Gombos, D.A. Cross-calibrated, multiplatform ocean surface wind velocity product for meteorological and oceanographic applications. Bull. Am. Meteorol. Soc. 2011, 92, 157–174. [Google Scholar] [CrossRef]
- Mears, C.A.; Scott, J.; Wentz, F.J.; Ricciardulli, L.; Leidner, S.M.; Hoffman, R.; Atlas, R.A. Near-Real-Time Version of the Cross-Calibrated Multiplatform (CCMP) Ocean Surface Wind Velocity Data Set. J. Geophys. Res. Ocean. 2019, 124, 6997–7010. [Google Scholar] [CrossRef]
- Kok, P.H.; Mohd Akhir, M.F.; Tangang, F.; Husain, M.L. Spatiotemporal trends in the southwest monsoon wind-driven upwelling in the southwestern part of the South China Sea. PLoS ONE 2017, 12, e0171979. [Google Scholar] [CrossRef]
- Kutsuwada, K. Impact of Wind/Wind-Stress Field in the North Pacific Constructed by ADEOS/NSCAT Data. J. Oceanogr. 1998, 54, 443–456. [Google Scholar] [CrossRef]
- Kessler, W.S.; Johnson, G.C.; Moore, D.W. Sverdrup and Nonlinear Dynamics of the Pacific Equatorial Currents. J. Phys. Oceanogr. 2003, 33, 994–1008. [Google Scholar] [CrossRef][Green Version]
- Reynolds, R.W.; Smith, T.M.; Liu, C.; Chelton, D.B.; Casey, K.S.; Schlax, M.G. Daily High-Resolution-Blended Analyses for Sea Surface Temperature. J. Clim. 2007, 20, 5473–5495. [Google Scholar] [CrossRef]
- Chen, X.; Wallace, J.M.; Tung, K.-K. Pairwise-Rotated EOFs of Global SST. J. Clim. 2017, 30, 5473–5489. [Google Scholar] [CrossRef]
- Hannachi, A.; Jolliffe, I.T.; Stephenson, D.B. Empirical orthogonal functions and related techniques in atmospheric science: A review. Int. J. Climatol. 2007, 27, 1119–1152. [Google Scholar] [CrossRef]
- Levitus, S.; Antonov, J.I.; Boyer, T.P.; Garcia, H.E.; Locarnini, R.A. EOF analysis of upper ocean heat content, 1956–2003. Geophys. Res. Lett. 2005, 32, L18607. [Google Scholar] [CrossRef]
- Chelton, D.B. Effect of sampling errors in statistical estimation. Deep-Sea Res. 1983, 30, 1083–1101. [Google Scholar] [CrossRef]
- Yu, Z.; McCreary, J.P., Jr.; Kessler, W.S.; Kelly, K.A. Influence of Equatorial Dynamics on the Pacific North Equatorial Countercurrent. J. Phys. Oceanogr. 2000, 30, 3179–3190. [Google Scholar] [CrossRef]
- Sun, Z.; Liu, H.; Lin, P.; Tseng, Y.-H.; Small, J.; Bryan, F. The modeling of the North Equatorial Countercurrent in the Community Earth System Model and its oceanic component. J. Adv. Model. Earth Syst. 2019, 11, 531–544. [Google Scholar] [CrossRef]
- Tan, X.; Tang, Y.; Lian, T.; Yao, Z.; Li, X.; Chen, D. A study of the effects of westerly wind bursts on ENSO based on CESM. Clim. Dyn. 2020, 54, 885–899. [Google Scholar] [CrossRef]
- McPhaden, M.J. Evolution of the 2002/2003 El Niño. Bull. Am. Meteorol. Soc. 1999, 85, 677–695. [Google Scholar] [CrossRef]
- Kodama, K.; Burls, N.J.; Trenary, L. The Nino 3.4 Prediction Skill of Empirically Adjusted Wind Power. J. Clim. 2021, 34, 2001–2015. [Google Scholar] [CrossRef]
- McPhaden, M.J.; Bahr, F.; Du Penhoat, Y.; Firing, E.; Hayes, S.P.; Niiler, P.P.; Richardson, P.L.; Toole, J.M. The Response of the Western Pacific Ocean to Westerly Wind Burst during November 1989 to January 1990. J. Geophys. Res. 1992, 97, 14289–14303. [Google Scholar] [CrossRef]
- Lee, T.; McPhaden, M.J. Decadal phase change in largescale sea level and winds in the Indo-Pacific region at the end of the 20th century. Geophys. Res. Lett. 2008, 35, L01605. [Google Scholar] [CrossRef]
- Yuan, D.; Han, W. Roles of Equatorial Waves and Western Boundary Reflection in the Seasonal Circulation of the Equatorial Indian Ocean. J. Phys. Oceanogr. 2005, 36, 930–944. [Google Scholar] [CrossRef]
- Wang, J.; Lu, Y.; Wang, F.; Zhang, R.-H. Surface Current in “Hotspot” Serves as a New and Effective Precursor for El Niño Prediction. Sci. Rep. 2017, 7, 166. [Google Scholar] [CrossRef]
- Wang, Y.; Gozolchiani, A.; Ashkenazy, Y.; Havlin, S. Oceanic El-Niño wave dynamics and climate networks. New J. Phys. 2016, 18, 033021. [Google Scholar] [CrossRef]
- Abe, H.; Tanimoto, Y.; Hasegawa, T.; Ebuchi, N. Oceanic Rossby Waves over Eastern Tropical Pacific of Both Hemispheres Forced by Anomalous Surface Winds after Mature Phase of ENSO. J. Phys. Oceanogr. 2016, 3397–3414. [Google Scholar] [CrossRef][Green Version]
- Wang, J.; Yuan, D.; Xu, T.; Zhao, X. Wind-forced equatorial wave dynamics of the Pacific Ocean during 2014/2015 and 2015/2016 El Niño events. J. Oceanol. Limnol. 2020, 4, 1123–1137. [Google Scholar] [CrossRef]











Publisher’s Note: MDPI stays neutral with regard to jurisdictional claims in published maps and institutional affiliations. |
© 2021 by the authors. Licensee MDPI, Basel, Switzerland. This article is an open access article distributed under the terms and conditions of the Creative Commons Attribution (CC BY) license (https://creativecommons.org/licenses/by/4.0/).
Share and Cite
Wijaya, Y.J.; Hisaki, Y. Differences in the Reaction of North Equatorial Countercurrent to the Developing and Mature Phase of ENSO Events in the Western Pacific Ocean. Climate 2021, 9, 57. https://doi.org/10.3390/cli9040057
Wijaya YJ, Hisaki Y. Differences in the Reaction of North Equatorial Countercurrent to the Developing and Mature Phase of ENSO Events in the Western Pacific Ocean. Climate. 2021; 9(4):57. https://doi.org/10.3390/cli9040057
Chicago/Turabian StyleWijaya, Yusuf Jati, and Yukiharu Hisaki. 2021. "Differences in the Reaction of North Equatorial Countercurrent to the Developing and Mature Phase of ENSO Events in the Western Pacific Ocean" Climate 9, no. 4: 57. https://doi.org/10.3390/cli9040057
APA StyleWijaya, Y. J., & Hisaki, Y. (2021). Differences in the Reaction of North Equatorial Countercurrent to the Developing and Mature Phase of ENSO Events in the Western Pacific Ocean. Climate, 9(4), 57. https://doi.org/10.3390/cli9040057

