Kelvin/Rossby Wave Partition of Madden-Julian Oscillation Circulations
Abstract
1. Introduction
2. Materials and Methods
2.1. Linear Model
2.2. Sounding Observations and Compositing Method
2.3. Lagrangian Atmospheric Model
3. Results
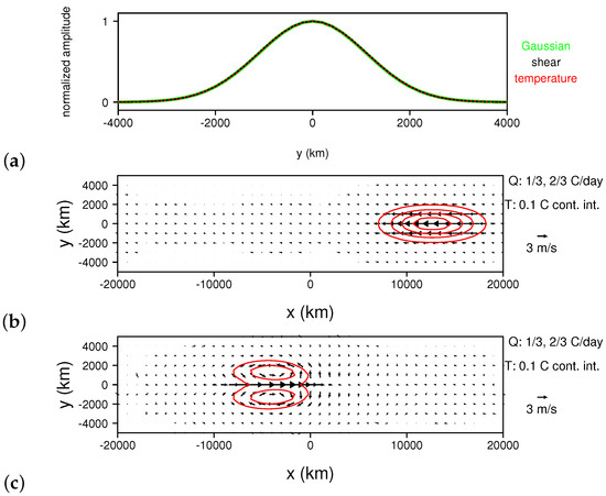
3.1. Linear Atmospheric Responses to Stationary Heating
3.1.1. Dry Waves
3.1.2. Moist Waves
3.1.3. Damped Moist Waves
3.2. Linear Atmospheric Response to Moving Heating and Cooling
4. Summary and Discussion
Funding
Data Availability Statement
Conflicts of Interest
Appendix A. The Kelvin Wave Projection Algorithm

References
- Madden, R.A.; Julian, P.R. Detection of a 40–50 day oscillation in the zonal wind in the tropical Pacific. J. Atmos. Sci. 1971, 28, 702–708. [Google Scholar] [CrossRef]
- Madden, R.A.; Julian, P.R. Description of global-scale circulation cells in the tropics with a 40–50 day period. J. Atmos. Sci. 1972, 29, 1109–1123. [Google Scholar] [CrossRef]
- Madden, R.A.; Julian, P.R. Observations of the 40–50-day tropical oscillation—A review. Mon. Weather. Rev. 1994, 122, 814–837. [Google Scholar] [CrossRef]
- Nakazawa, T. Tropical super clusters within intraseasonal variations over the western Pacific. J. Meteorol. Soc. Jpn. Ser. II 1988, 66, 823–839. [Google Scholar] [CrossRef]
- Hendon, H.H.; Liebmann, B. Organization of convection within the Madden-Julian oscillation. J. Geophys. Res. Atmos. 1994, 99, 8073–8083. [Google Scholar] [CrossRef]
- Takayabu, Y.N.; Lau, K.; Sui, C. Observation of a quasi-2-day wave during TOGA COARE. Mon. Weather. Rev. 1996, 124, 1892–1913. [Google Scholar] [CrossRef]
- Kiladis, G.N.; Straub, K.H.; Haertel, P.T. Zonal and vertical structure of the Madden–Julian oscillation. J. Atmos. Sci. 2005, 62, 2790–2809. [Google Scholar] [CrossRef]
- Wheeler, M.; Kiladis, G.N. Convectively coupled equatorial waves: Analysis of clouds and temperature in the wavenumber–frequency domain. J. Atmos. Sci. 1999, 56, 374–399. [Google Scholar] [CrossRef]
- Maloney, E.D.; Hartmann, D.L. Modulation of eastern North Pacific hurricanes by the Madden–Julian oscillation. J. Clim. 2000, 13, 1451–1460. [Google Scholar] [CrossRef]
- Liebmann, B.; Hendon, H.H.; Glick, J.D. The relationship between tropical cyclones of the western Pacific and Indian Oceans and the Madden-Julian oscillation. J. Meteorol. Soc. Jpn. Ser. II 1994, 72, 401–412. [Google Scholar] [CrossRef]
- Wu, M.L.C.; Schubert, S.; Huang, N.E. The development of the South Asian summer monsoon and the intraseasonal oscillation. J. Clim. 1999, 12, 2054–2075. [Google Scholar] [CrossRef]
- Lorenz, D.J.; Hartmann, D.L. The effect of the MJO on the North American monsoon. J. Clim. 2006, 19, 333–343. [Google Scholar] [CrossRef]
- Haertel, P.; Boos, W.R. Global association of the Madden-Julian Oscillation with monsoon lows and depressions. Geophys. Res. Lett. 2017, 44, 8065–8074. [Google Scholar] [CrossRef]
- Emanuel, K.A. An air-sea interaction model of intraseasonal oscillations in the tropics. J. Atmos. Sci. 1987, 44, 2324–2340. [Google Scholar] [CrossRef]
- Sobel, A.; Maloney, E. An idealized semi-empirical framework for modeling the Madden–Julian oscillation. J. Atmos. Sci. 2012, 69, 1691–1705. [Google Scholar] [CrossRef]
- Wang, B.; Rui, H. Dynamics of the coupled moist Kelvin–Rossby wave on an equatorial β-plane. J. Atmos. Sci. 1990, 47, 397–413. [Google Scholar] [CrossRef]
- Maloney, E.D.; Hartmann, D.L. Frictional moisture convergence in a composite life cycle of the Madden-Julian oscillation. J. Clim. 1998, 11, 2387–2403. [Google Scholar] [CrossRef]
- Raymond, D.J. A new model of the Madden–Julian oscillation. J. Atmos. Sci. 2001, 58, 2807–2819. [Google Scholar] [CrossRef]
- Straus, D.M.; Lindzen, R.S. Planetary-scale baroclinic instability and the MJO. J. Atmos. Sci. 2000, 57, 3609–3626. [Google Scholar] [CrossRef]
- Biello, J.A.; Majda, A.J.; Moncrieff, M.W. Meridional momentum flux and superrotation in the multiscale IPESD MJO model. J. Atmos. Sci. 2007, 64, 1636–1651. [Google Scholar] [CrossRef][Green Version]
- Zhang, C.; Adames, Á.; Khouider, B.; Wang, B.; Yang, D. Four Theories of the Madden-Julian Oscillation. Rev. Geophys. 2020, 58, e2019RG000685. [Google Scholar] [CrossRef] [PubMed]
- Hung, M.P.; Lin, J.L.; Wang, W.; Kim, D.; Shinoda, T.; Weaver, S.J. MJO and convectively coupled equatorial waves simulated by CMIP5 climate models. J. Clim. 2013, 26, 6185–6214. [Google Scholar] [CrossRef]
- Jiang, X.; Waliser, D.E.; Xavier, P.K.; Petch, J.; Klingaman, N.P.; Woolnough, S.J.; Guan, B.; Bellon, G.; Crueger, T.; DeMott, C.; et al. Vertical structure and physical processes of the Madden-Julian oscillation: Exploring key model physics in climate simulations. J. Geophys. Res. Atmos. 2015, 120, 4718–4748. [Google Scholar] [CrossRef]
- Ahn, M.S.; Kim, D.; Kang, D.; Lee, J.; Sperber, K.R.; Gleckler, P.J.; Jiang, X.; Ham, Y.G.; Kim, H. MJO Propagation across the Maritime Continent: Are CMIP6 Models Better than CMIP5 Models? Geophys. Res. Lett. 2020, e2020GL087250. [Google Scholar] [CrossRef]
- Haertel, P.; Straub, K.; Budsock, A. Transforming circumnavigating Kelvin waves that initiate and dissipate the Madden–Julian Oscillation. Q. J. R. Meteorol. Soc. 2015, 141, 1586–1602. [Google Scholar] [CrossRef]
- Haertel, P.; Boos, W.R.; Straub, K. Origins of Moist Air in Global Lagrangian Simulations of the Madden–Julian Oscillation. Atmosphere 2017, 8, 158. [Google Scholar] [CrossRef]
- Haertel, P.T.; Kiladis, G.N. Dynamics of 2-day equatorial waves. J. Atmos. Sci. 2004, 61, 2707–2721. [Google Scholar] [CrossRef]
- Haertel, P.T.; Kiladis, G.N.; Denno, A.; Rickenbach, T.M. Vertical-mode decompositions of 2-day waves and the Madden–Julian oscillation. J. Atmos. Sci. 2008, 72. [Google Scholar] [CrossRef]
- Fulton, S.R.; Schubert, W.H. Vertical normal mode transforms: Theory and application. Mon. Weather. Rev. 1985, 113, 647–658. [Google Scholar] [CrossRef]
- Matsuno, T. Quasi-geostrophic motions in the equatorial area. J. Meteorol. Soc. Jpn. Ser. II 1966, 44, 25–43. [Google Scholar] [CrossRef]
- Haertel, P.T.; Straub, K.H. Simulating convectively coupled Kelvin waves using Lagrangian overturning for a convective parametrization. Q. J. R. Meteorol. Soc. 2010, 136, 1598–1613. [Google Scholar] [CrossRef]
- Haertel, P.; Straub, K.; Fedorov, A. Lagrangian overturning and the Madden–Julian Oscillation. Q. J. R. Meteorol. Soc. 2014, 140, 1344–1361. [Google Scholar] [CrossRef]
- Haertel, P. A Lagrangian method for simulating geophysical fluids. In Lagrangian Modeling of the Atmosphere; Yale University: New Haven, CT, USA, 2012; pp. 85–98. [Google Scholar]
- Haertel, P. Sensitivity of the Madden Julian Oscillation to Ocean Warming in a Lagrangian Atmospheric Model. Climate 2018, 6, 45. [Google Scholar] [CrossRef]
- Haertel, P. Prospects for Erratic and Intensifying Madden-Julian Oscillations. Climate 2020, 8, 24. [Google Scholar] [CrossRef]
- Mapes, B.E. The large-scale part of tropical mesoscale convective system circulations. J. Meteorol. Soc. Jpn. Ser. II 1998, 76, 29–55. [Google Scholar] [CrossRef][Green Version]
- Ferreira, R.N.; Schubert, W.H.; Hack, J.J. Dynamical aspects of twin tropical cyclones associated with the Madden–Julian oscillation. J. Atmos. Sci. 1996, 53, 929–945. [Google Scholar] [CrossRef][Green Version]
- Mapes, B.E.; Houze, R.A., Jr. Diabatic divergence profiles in western Pacific mesoscale convective systems. J. Atmos. Sci. 1995, 52, 1807–1828. [Google Scholar] [CrossRef]
- Khouider, B.; Majda, A.J. Model multi-cloud parameterizations for convectively coupled waves: Detailed nonlinear wave evolution. Dyn. Atmos. Ocean. 2006, 42, 59–80. [Google Scholar] [CrossRef]
- Kuang, Z. A moisture-stratiform instability for convectively coupled waves. J. Atmos. Sci. 2008, 65, 834–854. [Google Scholar] [CrossRef]
- Powell, S.W.; Houze, R.A., Jr. Effect of dry large-scale vertical motions on initial MJO convective onset. J. Geophys. Res. Atmos. 2015, 120, 4783–4805. [Google Scholar] [CrossRef]
- Monteiro, J.M.; Adames, Á.F.; Wallace, J.M.; Sukhatme, J.S. Interpreting the upper level structure of the Madden-Julian oscillation. Geophys. Res. Lett. 2014, 41, 9158–9165. [Google Scholar] [CrossRef]
- Adames, Á.F.; Wallace, J.M. Three-dimensional structure and evolution of the MJO and its relation to the mean flow. J. Atmos. Sci. 2014, 71, 2007–2026. [Google Scholar] [CrossRef]
- Gill, A. Some simple solutions for heat-induced tropical circulation. Q. J. R. Meteorol. Soc. 1980, 106, 447–462. [Google Scholar] [CrossRef]
- Roundy, P.E. Interpretation of the spectrum of eastward-moving tropical convective anomalies. Q. J. R. Meteorol. Soc. 2020, 146, 795–806. [Google Scholar] [CrossRef]















Publisher’s Note: MDPI stays neutral with regard to jurisdictional claims in published maps and institutional affiliations. |
© 2020 by the author. Licensee MDPI, Basel, Switzerland. This article is an open access article distributed under the terms and conditions of the Creative Commons Attribution (CC BY) license (http://creativecommons.org/licenses/by/4.0/).
Share and Cite
Haertel, P. Kelvin/Rossby Wave Partition of Madden-Julian Oscillation Circulations. Climate 2021, 9, 2. https://doi.org/10.3390/cli9010002
Haertel P. Kelvin/Rossby Wave Partition of Madden-Julian Oscillation Circulations. Climate. 2021; 9(1):2. https://doi.org/10.3390/cli9010002
Chicago/Turabian StyleHaertel, Patrick. 2021. "Kelvin/Rossby Wave Partition of Madden-Julian Oscillation Circulations" Climate 9, no. 1: 2. https://doi.org/10.3390/cli9010002
APA StyleHaertel, P. (2021). Kelvin/Rossby Wave Partition of Madden-Julian Oscillation Circulations. Climate, 9(1), 2. https://doi.org/10.3390/cli9010002
