Influence of Green Spaces on Outdoors Thermal Comfort—Structured Experiment in a Mediterranean Climate
Abstract
1. Introduction
2. Materials and Methods
2.1. Study Area
2.2. Research Methodology
2.3. Meteorological Measurements
3. Results
3.1. Meteorological Variables in Different Experimental Locations
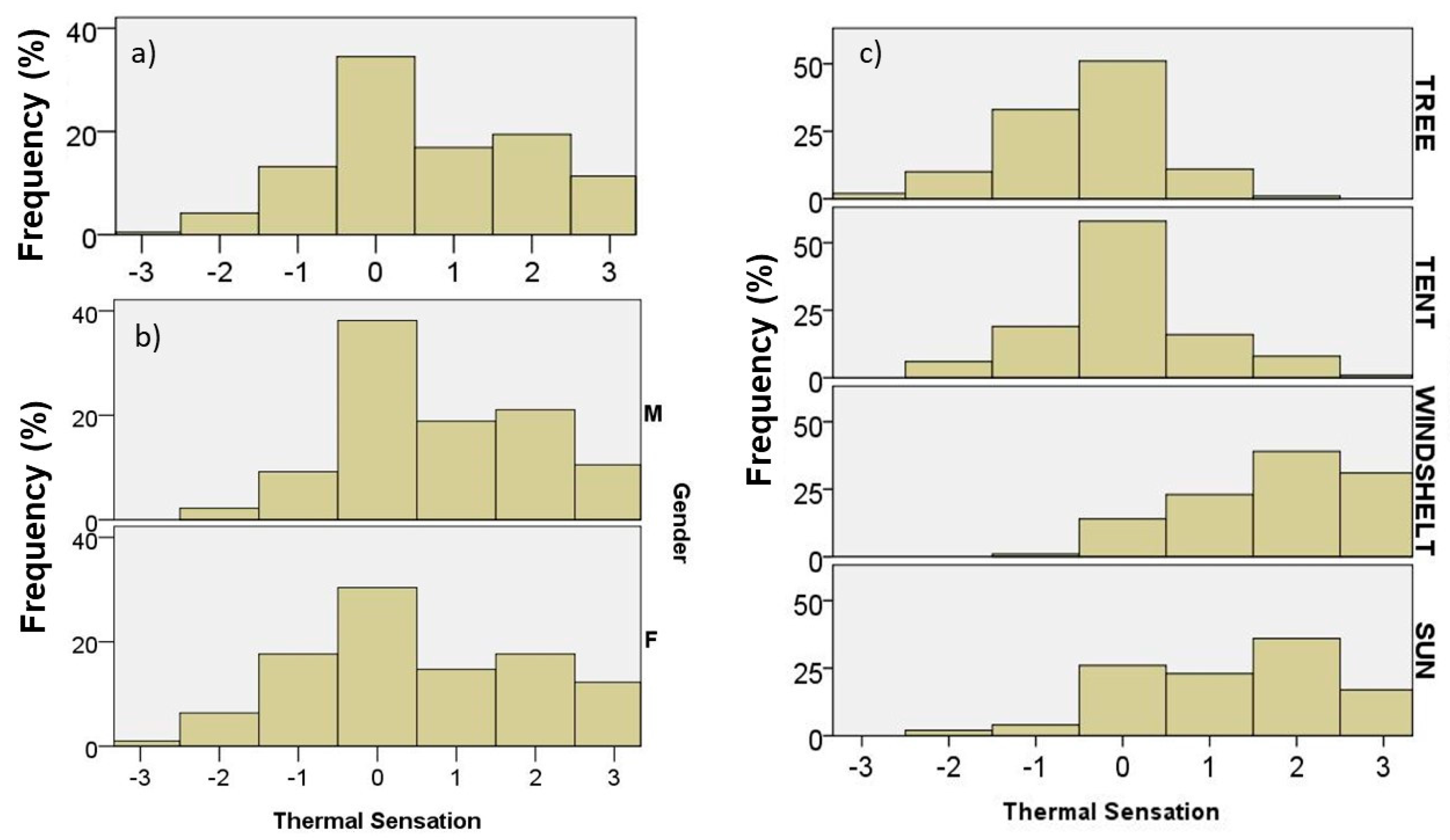
3.2. Thermal Comfort on Different Locations
3.3. Influence of Microclimatic and Personal Variables on Personal Thermal Sensations
- -
 - The increase by one unit in temperature (0.590) and radiation (0.991) means a decrease by 41% and 0.9%, respectively, in the odds of moving from a condition of neutrality (0) towards a cool condition (−2). This result means that the increase in these variables will generate a predicted positive effect on thermal sensation when interviewees mentioned feeling cool (−2).
 - -
 - Similarly, the increase by one unit in temperature (0.653) and radiation (0.989) means a decrease by 34.7% and 1.1%, respectively, in the odds of moving from a condition of neutrality (0) towards the slightly cool condition (−1). Again, this result means that the increase in these variables will generate a predicted positive effect on thermal sensation when interviewees mentioned feeling slightly cool (−1).
 - -
 - When feeling slightly warm conditions (+1), the increase in temperature (1.107) and solar radiation (1.005) by one unit means an increase by 10.7% and 0.5%, respectively, in the odds of moving from neutral thermal sensation (0) into this category (+1).
 - -
 - When in warm conditions (+2), the increase by one unit in temperature (1.157) and radiation (1.010) means an increase by 15.7% and 1%, respectively, in the odds from moving from neutrality (0) into this category (+2). Conversely, the increase by one unit in wind (0.197) means a decrease in 80.3% in the odds of moving from a condition of neutrality (0) towards the warm condition (+2).
 - -
 - When in a hot condition (+3), there is a similar pattern, as the increase by one unit in temperature (1.408) and radiation (1.016) means an increase by 40.8% and 1.6%, respectively, in the odds of moving from a neutral thermal sensation (0) and into this condition (+3). Conversely, the increase by one unit in wind (0.066) means a decrease by 93.4%, in the odds of moving from a condition of neutrality (0) towards the hot condition (+3).
 
4. Discussion
5. Conclusions
Author Contributions
Funding
Acknowledgments
Conflicts of Interest
References
- Nabielek, K.; Hamers, D.; Evers, D. Cities in Europe–Facts and Figures on Cities and Urban Area; Urnan Agenda for EU: Brussels, Belgium, 2016. [Google Scholar]
 - Nowak, D.J.; Crane, D.E. The Urban Forest Effects (UFORE) Model: Quantifying urban Forest Structure and Functions; Hansen, M., Burk, T., Eds.; Northern Research Station: Newtown Square, PA, USA, 2000. [Google Scholar]
 - Givoni, B. Impact of Planted Areas on Urban Environmental Quality: A review. Atmos. Environ. Part. B Urban Atmos. 1991, 25, 289–299. [Google Scholar]
 - Bolund, P.; Hunhammar, S. Ecosystem services in urban areas. Ecol. Econ. 1999, 29, 293–301. [Google Scholar] [CrossRef]
 - Janhäll, S. Review on urban vegetation and particle air pollution–Deposition and dispersion. Atmos. Environ. 2015, 105, 130–137. [Google Scholar] [CrossRef]
 - Cariñanos, P.; Casares-Porcel, M. Urban green zones and related pollen allergy: A review. Some guidelines for designing spaces with low allergy impact. Landsc. Urban Plan. 2011, 101, 205–214. [Google Scholar] [CrossRef]
 - Wang, C.; Li, Q.; Wang, Z.H. Quantifying the impact of urban trees on passive pollutant dispersion using a coupled large-eddy simulation–Lagrangian stochastic model. Build. Environ. 2018, 145, 33–49. [Google Scholar] [CrossRef]
 - Konarska, J.; Lindberg, F.; Larson, A.; Thorsson, S.; Holmer, B. Transmissivity of solar radiation through crowns of single urban trees—Application for outdoor thermal comfort modelling. Theor. Appl. Clim. 2014, 117, 363–376. [Google Scholar] [CrossRef]
 - Wang, C.; Wang, Z.H.; Yang, J. Cooling Effect of Urban Trees on the Built Environment of Contiguous United States. Earth’s Futur. 2018, 6, 1066–1081. [Google Scholar] [CrossRef]
 - Anguluri, R.; Narayanan, P. Role of green space in urban planning: Outlook towards smart cities. Urban For. Urban Green. 2017, 25, 58–65. [Google Scholar] [CrossRef]
 - Sun, R.; Chen, L. Effects of green space dynamics on urban heat islands: Mitigation and diversification. Ecosyst. Serv. 2017, 23, 38–46. [Google Scholar] [CrossRef]
 - Van Hove, L.; Jacobs, C.M.J.; Heusinkveld, B.G.; Elbers, J.L.; van Driel, B.L.; Holtslag, A.A.M. Temporal and spatial variability of urban heat island and thermal comfort within the Rotterdam agglomeration. Build. Environ. 2015, 83, 91–103. [Google Scholar] [CrossRef]
 - Tsiros, I.X.; Hoffman, M.E. Thermal and comfort conditions in a semi-closed rear wooded garden and its adjacent semi-open spaces in a Mediterranean climate (Athens) during summer. Arch. Sci. Rev. 2014, 57, 63–82. [Google Scholar] [CrossRef]
 - Bowler, D.E.; Buyung-Ali, L.; Knight, T.M.; Pullin, A.S. Urban greening to cool towns and cities: A systematic review of the empirical evidence. Landsc. Urban Plan. 2010, 97, 147–155. [Google Scholar] [CrossRef]
 - Mitterboeck, M.; Korjenic, A. Analysis for improving the passive cooling of building’s surroundings through the creation of green spaces in the urban built-up area. Energy Build. 2017, 148, 166–181. [Google Scholar] [CrossRef]
 - Gaitani, N.; Spanou, A.; Saliari, M.; Synfeta, A.; Vassilakopoulou, K.; Papadopoulou, K.; Pavlou, K.; Santamouris, M.; Papaioanou, M.; Lagoudaki, A. Improving the microclimate in urban areas: A case study in the centre of Athens. Build. Serv. Eng. Res. Technol. 2011, 32, 53–71. [Google Scholar] [CrossRef]
 - Rafiee, A.; Dias, E.; Koomen, E. Local impact of tree volume on nocturnal urban heat island: A case study in Amsterdam. Urban For. Urban Green. 2016, 16, 50–61. [Google Scholar] [CrossRef]
 - Chatzidimitriou, A.; Yannas, S. Microclimate design for open spaces: Ranking urban design effects on pedestrian thermal comfort in summer. Sustain. Cities Soc. 2016, 26, 27–47. [Google Scholar] [CrossRef]
 - Takács, Á.; Kiss, M.; Hof, A.; Tanacs, E.; Gulyas, A.; Kantor, M. Microclimate modification by urban shade trees–an integrated approach to aid ecosystem service based decision-making. Procedia Environ. Sci. 2016, 32, 97–109. [Google Scholar] [CrossRef]
 - Kong, L.; La Lun-Lau, K.; Yuan, C.; Ren, C.; Ng, E. Regulation of outdoor thermal comfort by trees in Hong Kong. Sustain. Cities Soc. 2017, 31, 12–25. [Google Scholar] [CrossRef]
 - Shashua-Bar, L.; Pearlmutter, D.; Erell, E. The influence of trees and grass on outdoor thermal comfort in a hot-arid environment. Int. J. Clim. 2011, 31, 1498–1506. [Google Scholar] [CrossRef]
 - Oliveira, S.; Andrade, H.; Vaz, T. The cooling effect of green spaces as a contribution to the mitigation of urban heat: A case study in Lisbon. Build. Environ. 2011, 46, 2186–2194. [Google Scholar] [CrossRef]
 - Tsilini, V.; Papantinou, S.; Kolokotsa, D.D.; Efpaxia, A.M. Urban gardens as a solution to energy poverty and urban heat island. Sustain. Cities Soc. 2015, 14, 323–333. [Google Scholar]
 - Zölch, T.; Madespacher, J.; Wamsler, C.; Pauliet, S. Using green infrastructure for urban climate-proofing: An. evaluation of heat mitigation measures at the micro-scale. Urban For. Urban Green. 2016, 20, 305–316. [Google Scholar]
 - Kuo, F.E.; Faber Taylor, A. A Potential Natural Treatment for Attention-Deficit/Hyperactivity Disorder: Evidence From a National Study. Am. J. Public Health 2004, 94, 1580–1586. [Google Scholar] [CrossRef]
 - Pretty, J.; Paecock, J.; Sellens, M.; Griffin, M. The mental and physical health outcomes of green exercise. Int. J. Environ. Health Res. 2005, 15, 319–337. [Google Scholar] [CrossRef] [PubMed]
 - Elmendorf, W. The importance of trees and nature in community: A review of the relative literature. Arboric. Urban For. 2008, 34, 152–156. [Google Scholar]
 - Nikolopoulou, M.; Lykoudis, S. Thermal comfort in outdoor urban spaces: Analysis across different European countries. Build. Environ. 2006, 41, 1455–1470. [Google Scholar] [CrossRef]
 - Shooshtarian, S.; Rajagopalan, P.; Wakefield, R. Effect of seasonal changes on usage patterns and behaviours in educational precinct in Melbourne. Urban Clim. 2018, 26, 133–148. [Google Scholar] [CrossRef]
 - Martinelli, L.; Lin, T.P.; Matzarakis, A. Assessment of the influence of daily shadings pattern on human thermal comfort and attendance in Rome during summer period. Build. Environ. 2015, 92, 30–38. [Google Scholar] [CrossRef]
 - Lin, T.-P.; Matzarakis, A.; Hwang, R.L. Shading effect on long-term outdoor thermal comfort. Build. Environ. 2010, 45, 213–221. [Google Scholar] [CrossRef]
 - Chen, L.; Wen, Y.; Zhang, L.; Xiang, W.L. Studies of thermal comfort and space use in an urban park square in cool and cold seasons in Shanghai. Build. Environ. 2015, 94, 644–653. [Google Scholar] [CrossRef]
 - Jim, C.; Chen, W.Y. Perception and attitude of residents toward urban green spaces in Guangzhou (China). Environ. Manag. 2006, 38, 338–349. [Google Scholar] [CrossRef] [PubMed]
 - Sanesi, G.; Chiarello, F. Residents and urban green spaces: The case of Bari. Urban For. Urban Green. 2006, 4, 125–134. [Google Scholar] [CrossRef]
 - Lafortezza, R.; Carrus, G.; Sanesi, G.; Davies, C. Benefits and well-being perceived by people visiting green spaces in periods of heat stress. Urban For. Urban Green. 2009, 8, 97–108. [Google Scholar] [CrossRef]
 - Taha, H. Urban climates and heat islands: Albedo, evapotranspiration, and anthropogenic heat. Energy Build. 1997, 25, 99–103. [Google Scholar] [CrossRef]
 - Taleghani, M.; Tenpierk, M.; Dobbelsteen, A.; Sailor, D.J. Heat mitigation strategies in winter and summer: Field measurements in temperate climates. Build. Environ. 2014, 81, 309–319. [Google Scholar] [CrossRef]
 - Doick, K.J.; Peace, A.; Hutchings, T.R. The role of one large greenspace in mitigating London’s nocturnal urban heat island. Sci. Total Environ. 2014, 493, 662–671. [Google Scholar] [CrossRef] [PubMed]
 - Stocco, S.; Cantón, M.A.; Correa, E.N. Design of urban green square in dry areas: Thermal performance and comfort. Urban For. Urban Green. 2015, 14, 323–335. [Google Scholar] [CrossRef]
 - Jansson, C.; Jansson, P.E.; Gustafsson, D. Near surface climate in an urban vegetated park and its surroundings. Theor. Appl. Clim. 2007, 89, 185–193. [Google Scholar] [CrossRef]
 - Saaroni, H.; Amorim, J.H.; Hiemstra, J.A.; Pearlmutter, D. Urban Green Infrastructure as a tool for urban heat mitigation: Survey of research methodologies and findings across different climatic regions. Urban Clim. 2018, 24, 94–110. [Google Scholar] [CrossRef]
 - Lenzholzer, S.; Klemm, W.; Vasilikou, C. Qualitative methods to explore thermo-spatial perception in outdoor urban spaces. Urban Clim. 2018, 23, 231–249. [Google Scholar] [CrossRef]
 - Shooshtarian, S.; Rajagopalan, P.; Sagoo, A. A comprehensive review of thermal adaptive strategies in outdoor spaces. Sustain. Cities Soc. 2018, 41, 647–665. [Google Scholar] [CrossRef]
 - Thorsson, S.; Lindqvist, M.; Lindqvist, S. Thermal bioclimatic conditions and patterns of behaviour in an urban park in Göteborg, Sweden. Int. J. Biometeorol. 2004, 48, 149–156. [Google Scholar] [CrossRef] [PubMed]
 - Nikolopoulou, M.; Steemers, K. Thermal comfort and psychological adaptation as a guide for designing urban spaces. Energy Build. 2003, 35, 95–101. [Google Scholar] [CrossRef]
 - Salata, F.; Golasi, I.; de Lieto Vollaro, R.; de Lieto Vollaro, A. Outdoor thermal comfort in the Mediterranean area. A transversal study in Rome, Italy. Build. Environ. 2016, 96, 46–61. [Google Scholar] [CrossRef]
 - Elnabawi, M.H.; Hamza, N.; Dudek, S. Thermal perception of outdoor urban spaces in the hot arid region of Cairo, Egypt. Sustain. Cities Soc. 2016, 22, 136–145. [Google Scholar] [CrossRef]
 - Nikolopoulou, M.; Lykoudis, S. Use of outdoor spaces and microclimate in a Mediterranean urban area. Build. Environ. 2007, 42, 3691–3707. [Google Scholar] [CrossRef]
 - Da Silveira Hirashima, S.Q.; de Assis, E.S.; Nikolopoulou, M. Daytime thermal comfort in urban spaces: A field study in Brazil. Build. Environ. 2016, 107, 245–253. [Google Scholar] [CrossRef]
 - Klemm, W.; Heusinkveld, B.G.; Lenzolzer, S.; Jacobs, M.H.; van Hove, B. Psychological and physical impact of urban green spaces on outdoor thermal comfort during summertime in The Netherlands. Build. Environ. 2015, 83, 120–128. [Google Scholar] [CrossRef]
 - Yang, X.; Zhao, L. Diurnal Thermal Behavior of Pavements, Vegetation, and Water Pond in a Hot-Humid City. Buildings 2016, 6, 2. [Google Scholar] [CrossRef]
 - Parsons, K. Human Thermal Environments: The Effects of Hot, Moderate and Cold Environments on Human Health, Comfort and Performance; CRC Press: Boca Raton, FL, USA, 2014. [Google Scholar]
 - Koc, C.B.; Osmond, P.; Peters, A. Evaluating the cooling effects of green infrastructure: A systematic review of methods, indicators and data sources. Sol. Energy 2018, 166, 486–508. [Google Scholar]
 - Stathopoulos, T.; Wu, H.; Zacharias, J. Outdoor human comfort in an urban climate. Build. Environ. 2004, 39, 297–305. [Google Scholar] [CrossRef]
 - Oliveira, S.; Andrade, H. An initial assessment of the bioclimatic comfort in an outdoor public space in Lisbon. Int. J. Biometeorol. 2007, 52, 69–84. [Google Scholar] [CrossRef] [PubMed]
 - Tseliou, A.; Tsiros, I.X.; Nikolopoulou, M. Seasonal differences in thermal sensation in the outdoor urban environment of Mediterranean climates—The example of Athens, Greece. Int. J. Biometeorol. 2017, 61, 1191–1208. [Google Scholar] [CrossRef] [PubMed]
 - Wang, Y.; Groot, R.; Bakkler, F.; Wortche, H.; Leemans, R. Thermal comfort in urban green spaces: A survey on a Dutch university campus. Int. J. Biometeorol. 2017, 61, 87–101. [Google Scholar] [CrossRef] [PubMed]
 - Givoni, B.; Noguchi, M.; Sarroni, H.; Pochter, O.; Yaacov, Y.; Feller, N.; Becker, S. Outdoor comfort research issues. Energy Build. 2003, 35, 77–86. [Google Scholar] [CrossRef]
 - DAmbrosio Alfano, F.R.; Olesen, B.W.; Palella, B.I. Povl Ole Fanger’s impact ten years later. Energy Build. 2017, 152, 243–249. [Google Scholar] [CrossRef]
 - Hirashima, S.Q.d.S.; Katzschner, A.; Gomes Ferreira, D.; Sad de Assis, E.; Karzschenr, L. Thermal comfort comparison and evaluation in different climates. Urban Clim. 2018, 23, 219–230. [Google Scholar] [CrossRef]
 - Golasi, I.; Salata, F.; de Lieto Vollaro, E.; Coppi, M. Thermal Perception in the Mediterranean Area: Comparing the Mediterranean Outdoor Comfort Index (MOCI) to Other Outdoor Thermal Comfort Indices. Energies 2016, 9, 550. [Google Scholar] [CrossRef]
 - Cohen, P.; Potchter, O.; Matzarakis, A. Human thermal perception of Coastal Mediterranean outdoor urban environments. Appl. Geogr. 2013, 37, 1–10. [Google Scholar] [CrossRef]
 - Andrade, H.; Alcoforado, M.J.; Oliveira, S. Perception of temperature and wind by users of public outdoor spaces: Relationships with weather parameters and personal characteristics. Int. J. Biometeorol. 2011, 55, 665–680. [Google Scholar] [CrossRef]
 - Tseliou, A.; Tsiros, I.X.; Nikolopoulou, M.; Papadopolous, G. Outdoor thermal sensation in a Mediterranean climate (Athens): The effect of selected microclimatic parameters. Arch. Sci. Rev. 2016, 59, 190–202. [Google Scholar] [CrossRef]
 - Agencia Estatal de Meterologia y Instituto de Metorologia. Atlas Climático Ibérico/Iberian Climate Atlas; AEM: Madrid, Spain, 2011. [Google Scholar]
 - International Organization for Standardization. Ergonomics of the Thermal Environment–Estimation of Thermal Insulation and Water Vapour Resistance of a Clothing Ensemble; IOS: Geneva, Switzerland, 2007. [Google Scholar]
 - International Organization for Standardization. Ergonomics of the Thermal Environment—Determination of Metabolic Rate; BSI Group: London, UK, 2004. [Google Scholar]
 - International Organization for Standardization. Ergonomics of the Thermal Environment—Assessment of the Influence of the Thermal Environment Using Subjective Judgement Scalesl; BSI Group: London, UK, 2006. [Google Scholar]
 - International Organization for Standardization. Ergonomics of the Thermal Environment-INSTRUMENTS for Measuring Physical Quantities; ISO: Geneva, Switzerland, 1998. [Google Scholar]
 - Tyrrell, S. SPSS: Stats Practically Short and Simple; Sidney Tyrrell & Ventus Publishing: Sidney, Australia, 2009. [Google Scholar]
 - Garson, G. Logistic Regression: Binary and Multinomial (Blue Book Series); Statistical Associates Publishers: Asheboro, NC, USA, 2012. [Google Scholar]
 - Cohen, P.; Potchter, O.; Matzarakis, M. Daily and seasonal climatic conditions of green urban open spaces in the Mediterranean climate and their impact on human comfort. Build. Environ. 2012, 51, 285–295. [Google Scholar] [CrossRef]
 - Salata, F.; Golasi, I.; de Lieto Vollaro, E.; Bisegna, F.; Nadrechia, F.; Coppi, M.; Gugliermmetti, F.; de Lietto Vollaro, A. Evaluation of different urban microclimate mitigation strategies through a PMV analysis. Sustainability 2015, 7, 9012–9030. [Google Scholar] [CrossRef]
 - Hsieh, C.-M.; Jan, F.C.; Zhang, L. A simplified assessment of how tree allocation, wind environment, and shading affect human comfort. Urban For. Urban Green. 2016, 18, 126–137. [Google Scholar] [CrossRef]
 - Trindade da Silva, F.; Engel de Alvarez, C. An integrated approach for ventilation’s assessment on outdoor thermal comfort. Build. Environ. 2015, 87, 59–71. [Google Scholar] [CrossRef]
 - Hong, B.; Lin, B. Numerical studies of the outdoor wind environment and thermal comfort at pedestrian level in housing blocks with different building layout patterns and trees arrangement. Renew. Energy 2015, 73, 18–27. [Google Scholar] [CrossRef]
 - Wang, Z.; de Dear, R.; Luo, M.; Lin, B.; He, Y.; Ghahramani, A. Individual difference in thermal comfort: A literature review. Build. Environ. 2018, 138, 181–193. [Google Scholar] [CrossRef]
 





| Variable | Instrument | 
|---|---|
| Air temperature, Ta | Campbell Scientific, CS215 and Testo, 175H | 
| Globe temperature, Tg | Campbell Scientific, 107 Thermistor | 
| Relative humidity, RH | Campbell Scientific, CS215 and Testo, 175H | 
| Wind speed, V | R.M. Young, 05103 | 
| Global solar radiation, St | Kipp & Zonen, CM6B | 
| Effect | Model Fitting Criteria | Likelihood Ratio Tests | |
|---|---|---|---|
| −2 Log Likelihood of Reduced Model | Chi-Square | Sig. | |
| Ta | 957.465 | 169.992 | 0.000 | 
| V | 923.757 | 136.283 | 0.000 | 
| St | 818.597 | 31.123 | 0.000 | 
| GEN | 1132.928 | 345.454 | 0.000 | 
| Thermal Sensation | Coefficient (B) | Standard Deviation | Wald | Sig. | Exp(B) | |
|---|---|---|---|---|---|---|
| Cool −2  | Intercept | 9.595 | 2.378 | 16.276 | 0.000 | |
| Ta | −0.528 | 0.111 | 22.567 | 0.000 | 0.590 | |
| V | 0.829 | 0.832 | 0.992 | 0.319 | 2.290 | |
| St | −0.009 | 0.003 | 10.844 | 0.001 | 0.991 | |
| GEN | 2.254 | 0.646 | 12.168 | 0.000 | 9.530 | |
| Slightly Cool −1  | Intercept | 9.531 | 1.645 | 33.569 | 0.000 | |
| Ta | −0.426 | 0.070 | 37.592 | 0.000 | 0.653 | |
| V | 0.444 | 0.504 | 0.773 | 0.379 | 1.558 | |
| St | −0.011 | 0.002 | 24.688 | 0.000 | 0.989 | |
| GEN | 1.775 | 0.425 | 17.438 | 0.000 | 5.900 | |
| Slightly Warm +1  | Intercept | −4.087 | 0.988 | 17.126 | 0.000 | |
| Ta | 0.102 | 0.032 | 10.094 | 0.001 | 1.107 | |
| V | −0.600 | 0.333 | 3.240 | 0.072 | 0.549 | |
| St | 0.005 | 0.001 | 32.608 | 0.000 | 1.005 | |
| GEN | −0.346 | 0.322 | 1.153 | 0.283 | 0.708 | |
| Warm +2  | Intercept | −7.028 | 1.261 | 31.035 | 0.000 | |
| Ta | 0.145 | 0.039 | 14.076 | 0.000 | 1.157 | |
| V | −1.623 | 0.411 | 15.555 | 0.000 | 0.197 | |
| St | 0.010 | 0.001 | 82.726 | 0.000 | 1.010 | |
| GEN | −0.511 | 0.380 | 1.810 | 0.178 | 0.600 | |
| Hot 3  | Intercept | −16.185 | 2.132 | 57.648 | 0.000 | |
| Ta | 0.342 | 0.063 | 29.523 | 0.000 | 1.408 | |
| V | −2.712 | 0.575 | 22.210 | 0.000 | 0.066 | |
| St | 0.016 | 0.002 | 87.464 | 0.000 | 1.016 | |
| GEN | −0.327 | 0.521 | 0.394 | 0.530 | 0.721 | |
| Thermal Sensation | |||||
|---|---|---|---|---|---|
| Variables | −2 | −1 | 1 | 2 | 3 | 
| Ta | 0.590 | 0.653 | 1.107 | 1.157 | 1.408 | 
| V | 0.197 | 0.066 | |||
| St | 0.991 | 0.989 | 1.005 | 1.010 | 1.016 | 
| GEN | 9.530 | 5.900 | |||
© 2019 by the authors. Licensee MDPI, Basel, Switzerland. This article is an open access article distributed under the terms and conditions of the Creative Commons Attribution (CC BY) license (http://creativecommons.org/licenses/by/4.0/).
Share and Cite
Gonçalves, A.; Castro Ribeiro, A.; Maia, F.; Nunes, L.; Feliciano, M. Influence of Green Spaces on Outdoors Thermal Comfort—Structured Experiment in a Mediterranean Climate. Climate 2019, 7, 20. https://doi.org/10.3390/cli7020020
Gonçalves A, Castro Ribeiro A, Maia F, Nunes L, Feliciano M. Influence of Green Spaces on Outdoors Thermal Comfort—Structured Experiment in a Mediterranean Climate. Climate. 2019; 7(2):20. https://doi.org/10.3390/cli7020020
Chicago/Turabian StyleGonçalves, Artur, António Castro Ribeiro, Filipe Maia, Luís Nunes, and Manuel Feliciano. 2019. "Influence of Green Spaces on Outdoors Thermal Comfort—Structured Experiment in a Mediterranean Climate" Climate 7, no. 2: 20. https://doi.org/10.3390/cli7020020
APA StyleGonçalves, A., Castro Ribeiro, A., Maia, F., Nunes, L., & Feliciano, M. (2019). Influence of Green Spaces on Outdoors Thermal Comfort—Structured Experiment in a Mediterranean Climate. Climate, 7(2), 20. https://doi.org/10.3390/cli7020020
        
