Vulnerabilities and Adapting Irrigated and Rainfed Cotton to Climate Change in the Lower Mississippi Delta Region
Abstract
:1. Introduction
2. Materials and Methods
2.1. Cropping System Data
2.2. RZWQM2 Model
2.3. Climate Change Scenarios
2.4. Crop Simulations
3. Results and Discussion
3.1. Climate Change Scenarios for the Location
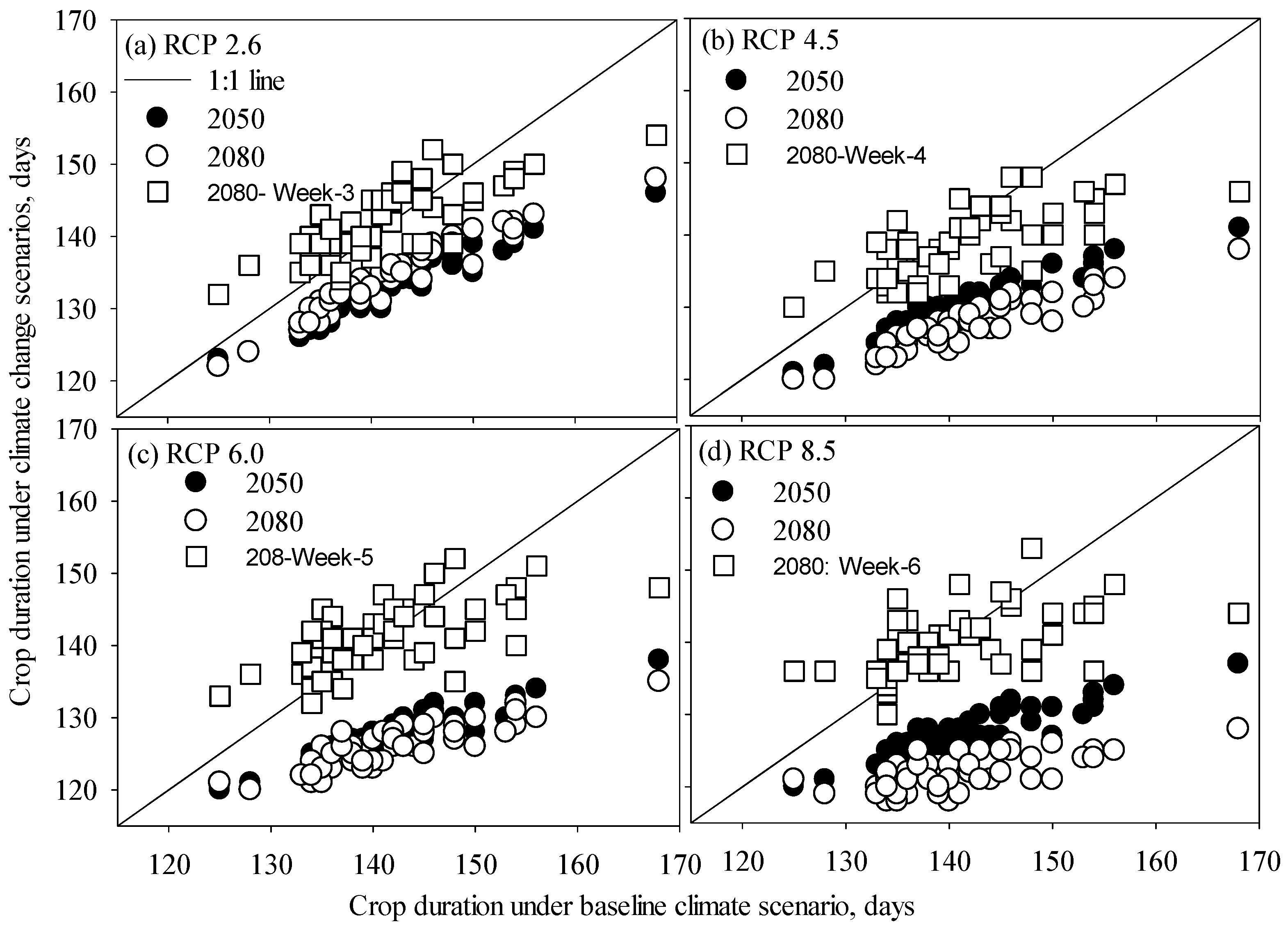
3.2. CC Impacts on Irrigated Cotton Production
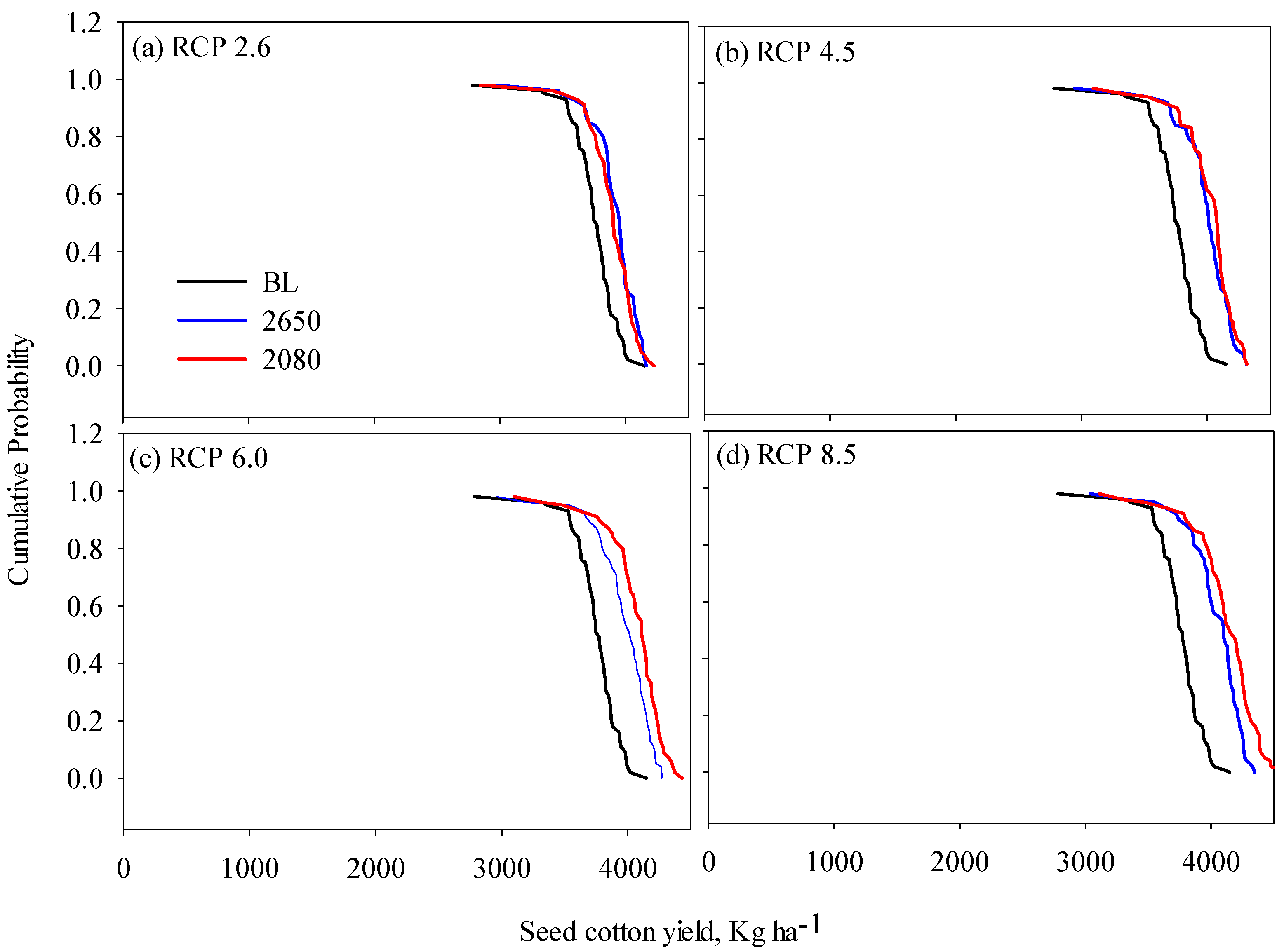
3.3. CC Effects on Rainfed Cotton Production
3.4. Adapting Rainfed and Irrigated Cotton to Climate Change Effects
4. Conclusions
Acknowledgments
Author Contributions
Conflicts of Interest
References
- Solomon, S.; Qin, D.; Manning, M.; Chen, Z.; Marquis, M.; Averyt, K.B.; Tignor, M.; Miller, H.L. Climate Change 2007: The Physical Science Basis. Contribution of Working Group I to the Fourth Assessment Report of the Intergovernmental Panel on Climate Change; Cambridge University Press: Cambridge, UK; New York, NY, USA, 2007. [Google Scholar]
- Tans, P.; Keeling, R. Trends in Atmospheric CO2 at Mauna Loa, Hawaii NOAA Earth System Research Laboratory. Available online: http://www.esrl.noaa.gov/gmd/ccgg/trends/ (accessed on 26 October 2016).
- Field, C.B.; Barros, V.R.; Dokken, D.J.; Mach, K.J.; Mastrandrea, M.D.; Bilir, T.E.; Chatterjee, M.; Ebi, K.L.; Estrada, Y.O.; Genova, R.C.; et al. Climate Change 2014: Impacts, Adaptation, and Vulnerability. The Contribution of Working Group II to the Fifth Assessment Report of the Intergovernmental Panel on Climate Change; Cambridge University Press: Cambridge, UK; New York, NY, USA, 2014. [Google Scholar]
- Liebig, M.A.; Franzluebbers, A.J.; Follett, R.F. Agriculture and climate change: Mitigation opportunities and adaptation imperatives. In Managing Agricultural Greenhouse Gases: Coordinated Agricultural Research through GRACEnet to Address Our Changing Climate; Liebig, M.A., Franzluebbers, A.J., Follett, R.F., Eds.; Academic Press: New York, NY, USA, 2012; pp. 3–11. [Google Scholar]
- Aeschbach-Hertig, W.; Gleeson, T. Regional strategies for the accelerating global problem of groundwater depletion. Nat. Geosci. 2012, 5, 853–861. [Google Scholar] [CrossRef]
- Gurdak, J.J.; Qi, S.L. Vulnerability of recently recharged groundwater in principle aquifers of the United States to nitrate contamination. Environ. Sci. Technol. 2012, 46, 6004–6012. [Google Scholar] [CrossRef] [PubMed]
- Dijkstra, F.A.; Blumenthal, D.; Morgan, J.A.; Pendall, E.; Carrillo, Y.; Follett, R.F. Contrasting effects of elevated CO2 and warming on nitrogen cycling in a semiarid grassland. New Phytol. 2010, 187, 426–437. [Google Scholar] [CrossRef] [PubMed]
- White, J.W.; Hoogenboom, G.; Kimball, B.A.; Wall, G.W. Methodologies for simulating impacts of climate change on crop production. Field Crop. Res. 2011, 124, 357–368. [Google Scholar] [CrossRef]
- Reddy, V.R.; Baker, D.N.; Hodges, H.F. Temperature effect on cotton canopy growth, photosynthesis and respiration. Agron. J. 1991, 83, 699–704. [Google Scholar] [CrossRef]
- Reddy, K.R.; Hodges, H.F.; McKinion, J.M. A comparison of scenarios for the effect of global climate change on cotton growth and yield. Aust. J. Plant Physiol. 1997, 24, 707–713. [Google Scholar] [CrossRef]
- Schlenker, W.; Roberts, M.J. Nonlinear temperature effects indicate severe damages to yields under climate change. Proc. Natl. Acad. Sci. USA 2009, 106, 15594–15598. [Google Scholar] [CrossRef] [PubMed]
- Hatfield, J.L.; Boote, K.J.; Kimball, B.A.; Ziska, L.H.; Izaurralde, R.C.; Ort, D.; Thomson, A.M.; Wolfe, D.W. Climate impacts on agriculture: Implications for crop production. Agron. J. 2011, 103, 351–370. [Google Scholar] [CrossRef]
- Reddy, V.R.; Hodges, H.F.; McCarty, W.H.; McKinnon, J.M. Weather and Cotton Growth: Present and Future; Mississippi State University: Starkeville, MS, USA, 1996. [Google Scholar]
- Reddy, V.R.; Reddy, K.R.; Hodges, H.F. Carbon dioxide enrichment and temperature effects on cotton canopy photosynthesis, transpiration, and water use efficiency. Field Crop. Res. 1995, 41, 13–23. [Google Scholar] [CrossRef]
- Saseendran, S.A.; Singh, K.K.; Rathore, L.S.; Singh, S.V.; Sinha, S.K. Effects of climate change on rice production in Kerala. Clim. Chang. 2000, 44, 495–514. [Google Scholar] [CrossRef]
- Rosenzweig, C.; Tubiello, F.N. Effects of changes in minimum and maximum temperature on wheat yields in the central US: A simulation study. Agric. For. Meteorol. 1996, 80, 215–230. [Google Scholar] [CrossRef]
- Rosenzweig, C.; Allen, L.H., Jr.; Jones, J.W.; Tsuji, G.Y.; Hildebrand, P. Climate Change and Agriculture: Analysis of Potential International Impacts (ASA Special Publication No. 59); American Society of Agronomy, Inc.: Madison, WI, USA, 1995. [Google Scholar]
- Bassu, S.; Asseng, S.; Richards, R. Yield benefits of triticale traits for wheat under current and future climates. Field Crop. Res. 2011, 124, 14–24. [Google Scholar] [CrossRef]
- Gouache, D.; Le Bris, X.; Bogard, M.; Deudon, O.; Pagé, C.; Gate, P. Evaluating agronomic adaptation options to increasing heat stress under climate change during wheat grain filling in France. Eur. J. Agron. 2012, 39, 62–70. [Google Scholar] [CrossRef]
- Teixeira, E.I.; Fischer, G.; van Velthuizen, H.; Walter, C.; Ewert, F. Global hot-spots of heat stress on agricultural crops due to climate change. Agric. For. Meteorol. 2013, 170, 206–215. [Google Scholar] [CrossRef]
- Deryng, D.; Conway, D.; Ramankutty, N.; Price, J.; Warren, R. Global crop yield response to extreme heat stress under multiple climate change futures. Environ. Res. Lett. 2014, 9, 034011. [Google Scholar] [CrossRef]
- Moriondo, M.; Giannakopoulos, C.; Bindi, M. Climate change impact assessment: The role of climate extremes in crop yield simulation. Clim. Chang. 2011, 104, 679–701. [Google Scholar] [CrossRef]
- Gaiser, T.; Perkons, U.; Küpper, P.M.; Kautz, T.; Uteau-Puschmann, D.; Ewert, F.; Enders, A.; Krauss, G. Modeling biopore effects on root growth and biomass production on soils with pronounced sub-soil clay accumulation. Ecol. Model. 2013, 256, 6–15. [Google Scholar] [CrossRef]
- Ahuja, L.R.; Rojas, K.W.; Hanson, J.D.; Shafer, M.J.; Ma, L. Root Zone Water Quality Model. Modeling Management Effects on Water Quality and Crop Production; Water Resources Publications, LLC: Highlands Ranch, CO, USA, 2000. [Google Scholar]
- Jones, J.W.; Hoogenboom, G.; Porter, C.H.; Boote, K.J.; Batchelor, W.D.; Hunt, L.A.; Wilkens, P.W.; Singh, U.; Gijsman, A.J.; Ritchie, J.T. The DSSAT cropping system model. Eur. J. Agron. 2003, 18, 235–265. [Google Scholar] [CrossRef]
- Islam, A.; Ahuja, L.R.; Garcia, L.A.; Ma, L.; Saseendran, S.A. Modeling the effect of elevated CO2 and climate change on reference evapotranspiration in the semi-arid great plains. Trans. ASABE 2012, 55, 2135–2146. [Google Scholar] [CrossRef]
- Islam, A.; Ahuja, L.R.; Garcia, L.A.; Ma, L.; Saseendran, S.A.; Trout, T.J. The impacts of climate change on irrigated corn production in the Central Great Plains. Agric. Water Manag. 2012, 110, 94–108. [Google Scholar] [CrossRef]
- Ko, J.; Ahuja, L.R.; Saseendran, S.A.; Green, T.R.; Ma, L. Simulation impacts of GCM-projected climate change on dryland cropping systems in the U.S. Central Great Plains. Agric. For. Meteorol. 2010, 150, 1331–1346. [Google Scholar]
- Ko, J.; Ahuja, L.R.; Kimball, B.C.; Saseendran, S.A.; Ma, L.; Green, T.R.; Wall, G.; Pinter, P. Simulation of climate change impacts on cropping systems in the Central Great Plains. Clim. Chang. 2012, 111, 445–472. [Google Scholar] [CrossRef]
- Boote, K.J.; Pickering, N.B.; Allen, L.H., Jr. Plant modeling: Advances and gaps in our capability to project future crop growth and yield in response to global climate change. In Advances in Carbon Dioxide Effects Research (Special Publication No. 61); Allen, L.H., Jr., Kirkham, M.B., Olszyk, D.M., Whitman, C.E., Eds.; ASA, CSSA, and SSSA: Madison, WI, USA, 1997; pp. 179–228. [Google Scholar]
- Garcia y Garcia, A.; Persson, T.; Paz, J.O.; Fraisse, C.; Hoogenboom, G. ENSO-based climate variability affects water use efficiency of rainfed cotton grown in the southeastern USA. Agric. Ecosyst. Environ. 2010, 139, 629–635. [Google Scholar] [CrossRef]
- Gérardeaux, E.; Sultan, B.; Palaï, O.; Guiziou, C.; Oettli, P.; Naudin, K. Positive effect of climate change on cotton in 2050 by CO2 enrichment and conservation agriculture in Cameroon. Agron. Sustain. Dev. 2013, 33, 485–495. [Google Scholar] [CrossRef]
- Saseendran, S.A.; Pettigrew, W.T.; Reddy, K.N.; Ma, L.; Fisher, D.K.; Sui, R. Climate optimized planting windows for cotton in the Lower Mississippi Delta region. Agronomy 2016, 6. [Google Scholar] [CrossRef]
- Christensen, N.S.; Lettenmaier, D.P. A multimodel ensemble approach to assessment of climate change impacts on the hydrology and water resources of the Colorado River basin. Hydrol. Earth Syst. Sci. 2007, 3, 3727–3770. [Google Scholar] [CrossRef]
- IPCC. Summary for policymakers. In Climate Change 2014: Impacts, Adaptation, and Vulnerability. Part A: Global and Sectoral Aspects. Contribution of Working Group II to the Fifth Assessment Report of the Intergovernmental Panel on Climate Change; Field, C.B., Barros, V.R., Dokken, D.J., Mach, K.J., Mastrandrea, M.D., Bilir, T.E., Chatterjee, M., Ebi, K.L., Estrada, Y.O., Genova, R.C., et al., Eds.; Cambridge University Press: Cambridge, UK; New York, NY, USA, 2014; pp. 1–32. [Google Scholar]
- Shukla, J.; DelSole, T.; Fennessy, M.; Kinter, J.; Paolino, D. Climate model fidelity and projections of climate change. Geophys. Res. Lett. 2006, 33, L07702. [Google Scholar] [CrossRef]
- Giorgi, F.; Mearns, L. Calculation of average, uncertainty range and reliability of regional climate changes from AOGCM simulations via the ‘reliability ensemble averaging’ (REA) method. J. Clim. 2002, 15, 1141–1158. [Google Scholar] [CrossRef]
- IPCC. Climate Change 2007: The Scientific Basis. Contribution of Working Group I to the Fourth Assessment Report of the Intergovernmental Panel on Climate Change; Solomon, S., Ed.; Cambridge University Press: Cambridge, UK, 2007. [Google Scholar]
- Reifen, C.; Toumi, R. Climate projections: Past performance no guarantee of future skill? Geophys. Res. Lett. 2009, 36, L13704. [Google Scholar] [CrossRef]
- Pettigrew, W.T.; Dowd, M.K. Varying planting dates or irrigation regimes alters cottonseed composition. Crop Sci. 2011, 51, 2155–2164. [Google Scholar] [CrossRef]
- Brooks, R.H.; Corey, A.T. Hydraulic Properties of Porous Media; Hydrology Paper 3; Colorado State University: Fort Collins, CO, USA, 1964. [Google Scholar]
- Ahuja, L.R.; Ma, L.; Fang, Q.X.; Saseendran, S.A.; Islam, A.; Malone, R.W. Computer modeling: Applications to environment and food security. In Encyclopedia of Agriculture and Food Systems; van Alfen, N., Ed.; Elsevier: San Diego, CA, USA, 2013; pp. 337–358. [Google Scholar]
- Ma, L.; Nielsen, D.C.; Ahuja, L.R.; Malone, R.W.; Saseendran, S.A.; Rojas, K.W.; Hanson, J.D.; Benjamin, J.G. Evaluation of RZWQM under varying irrigation levels in eastern Colorado. Trans. ASAE 2003, 46, 39–49. [Google Scholar]
- Ma, L.; Hoogenboom, G.; Saseendran, S.A.; Bartling, P.N.S.; Ahuja, L.R.; Green, T.R. Estimates of soil hydraulic properties and root growth factor on soil water balance and crop production. Agron. J. 2009, 101, 572–583. [Google Scholar] [CrossRef]
- Hoogenboom, G.; Jones, J.W.; Boote, K.J. A decision support system for prediction of crop yield, evapotranspiration, and irrigation management. In Proceedings of the 1991 Irrigation and Drainage, Honolulu, HI, USA, 22–26 July 1991; ASCE: Reston, VA, USA, 1991. [Google Scholar]
- Ma, L.; Hoogenboom, G.; Ahuja, L.R.; Ascough, J.C., II; Saseendran, S. Evaluation of the RZWQM-CERES-Maize hybrid model for maize production. Agric. Syst. 2006, 87, 274–295. [Google Scholar] [CrossRef]
- Saseendran, S.A.; Ahuja, L.R.; Nielsen, D.C.; Trout, T.J.; Ma, L. Use of crop simulation models to evaluate limited irrigation management options for corn in a semiarid environment. Water Resour. Res. 2008, 44, W00E02. [Google Scholar] [CrossRef]
- Saseendran, S.A.; Trout, T.J.; Ahuja, L.R.; Ma, L.; McMaster, G.; Andales, A.A.; . Chaves, J.; Ham, J. Quantification of crop water stress factors from soil water measurements in limited irrigation experiments. Agric. Syst. 2015, 137, 191–205. [Google Scholar] [CrossRef]
- Nimah, M.N.; Hanks, R.J. Model for estimating soil water, plant and atmospheric inter relations: I. description and sensitivity. Proc. Soil Sci. Soc. Am. 1973, 37, 522–527. [Google Scholar] [CrossRef]
- Farquhar, G.D.; von Caemmerer, S.; Berry, J.A. A biochemical model of photosynthetic CO2 assimilation in leaves of C3 species. Planta 1980, 149, 78–90. [Google Scholar] [CrossRef] [PubMed]
- Boote, K.J.; Jones, J.W.; Hoogenboom, G.; Pickering, N.B. The CROPGRO model for grain legumes. In Understanding Options for Agricultural Production; Tsuji, G.Y., Ed.; Kluwer Academic Publishers: Dordrecht, The Netherlands, 1998; pp. 99–128. [Google Scholar]
- Farquhar, G.D.; von Caemmerer, S. Modeling of photosynthetic response to environment. In Physiological Plant Ecology II; Lange, O.L., Ed.; Springer: Berlin, Germany, 1982; pp. 549–587. [Google Scholar]
- Pickering, N.B.; Jones, J.W.; Boote, K.J. Adapting SOYGRO V5.42 for prediction under climate change conditions. In Climate Change and Agriculture: Analysis of Potential International Impacts; Rosenzweig, C., Ed.; ASA, CSSA, and SSSA: Madison, WI, USA, 1995; pp. 77–98. [Google Scholar]
- Alagarswamy, G.; Boote, K.J.; Allen, L.H., Jr.; Jones, J.W. Evaluating the CROPGRO-Soybean model ability to simulate photosynthesis response to carbon dioxide levels. Agron. J. 2006, 98, 34–42. [Google Scholar] [CrossRef]
- Shuttleworth, W.J.; Wallace, J.S. Evaporation from sparse crops-an energy combination theory. Q. J. R. Meteorol. Soc. 1985, 111, 839–855. [Google Scholar] [CrossRef]
- Allen, L.H.; Boote, K.J.; Jones, J.W.; Valle, R.R.; Acock, B.; Rogers, H.H.; Dahlman, R.C. Response of vegetation to rising carbon dioxide: Photosynthesis, biomass, and seed yield of soybean. Glob. Biochem. Cycles 1987, 1, 1–14. [Google Scholar] [CrossRef]
- Allen, L.H. Plant responses to rising carbon dioxide and potential interactions with air pollutants. J. Environ. Qual. 1990, 19, 15–34. [Google Scholar] [CrossRef]
- Rogers, H.H.; Bingham, G.E.; Cure, J.D.; Smith, J.M.; Suran, K.A. Responses of selected plant species to elevated carbon dioxide in the field. J. Environ. Qual. 1983, 12, 569–574. [Google Scholar] [CrossRef]
- Van Vuuren, D.P.; Edmonds, J.; Kainuma, M.; Riahi, K.; Thomson, A.; Hibbard, K.; Hurtt, G.C.; Kram, T.; Krey, V.; Lamarque, J.F.; et al. The representative concentration pathways: An overview. Clim. Chang. 2011, 109, 5–31. [Google Scholar] [CrossRef]
- Leakey, A.D.B.; Ainsworth, E.A.; Bernacchi, C.J.; Rogers, A.; Long, S.P.; Ort, D.R. Elevated CO2 effects on plant carbon, nitrogen, and water relations: Six important lessons from FACE. J. Exp. Bot. 2009, 60, 2859–2876. [Google Scholar] [CrossRef] [PubMed]















© 2016 by the authors; licensee MDPI, Basel, Switzerland. This article is an open access article distributed under the terms and conditions of the Creative Commons Attribution (CC-BY) license (http://creativecommons.org/licenses/by/4.0/).
Share and Cite
Anapalli, S.S.; Fisher, D.K.; Reddy, K.N.; Pettigrew, W.T.; Sui, R.; Ahuja, L.R. Vulnerabilities and Adapting Irrigated and Rainfed Cotton to Climate Change in the Lower Mississippi Delta Region. Climate 2016, 4, 55. https://doi.org/10.3390/cli4040055
Anapalli SS, Fisher DK, Reddy KN, Pettigrew WT, Sui R, Ahuja LR. Vulnerabilities and Adapting Irrigated and Rainfed Cotton to Climate Change in the Lower Mississippi Delta Region. Climate. 2016; 4(4):55. https://doi.org/10.3390/cli4040055
Chicago/Turabian StyleAnapalli, Saseendran S., Daniel K. Fisher, Krishna N. Reddy, William T. Pettigrew, Ruixiu Sui, and Lajpat R. Ahuja. 2016. "Vulnerabilities and Adapting Irrigated and Rainfed Cotton to Climate Change in the Lower Mississippi Delta Region" Climate 4, no. 4: 55. https://doi.org/10.3390/cli4040055
APA StyleAnapalli, S. S., Fisher, D. K., Reddy, K. N., Pettigrew, W. T., Sui, R., & Ahuja, L. R. (2016). Vulnerabilities and Adapting Irrigated and Rainfed Cotton to Climate Change in the Lower Mississippi Delta Region. Climate, 4(4), 55. https://doi.org/10.3390/cli4040055

