Assessment of Maximum Snow-Water Equivalent in the Uba River Basin (Altai) Using the Temperature-Based Melt-Index Method
Abstract
1. Introduction
2. Region, Materials, and Methods
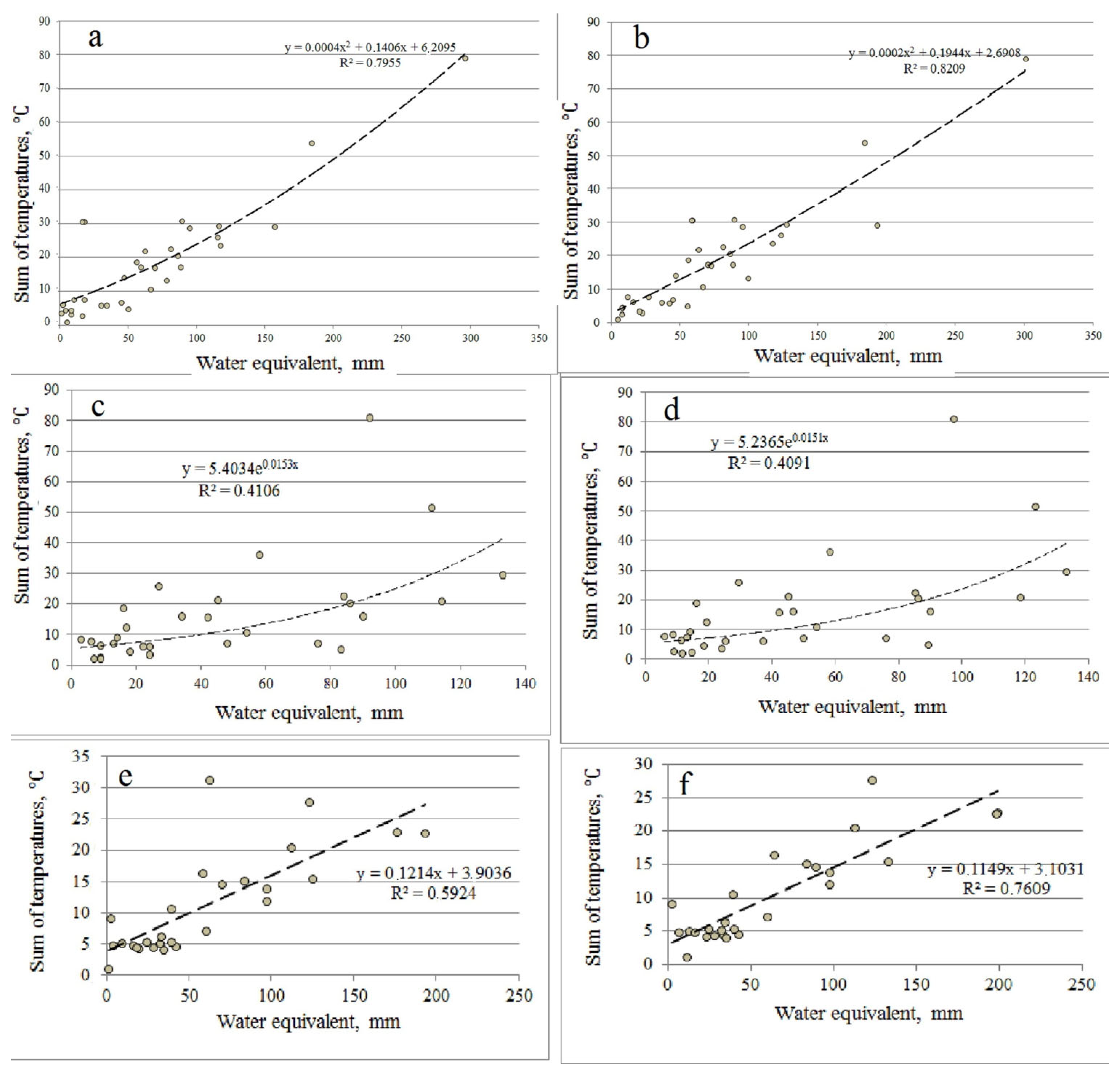
3. Results and Discussion
4. Conclusions
Author Contributions
Funding
Data Availability Statement
Conflicts of Interest
References
- Nefedeva, E.A.; Yashina, A.V. The Role of Snow Cover in Differentiation of the Landscape Sphere; Nauka: Moscow, Russia, 1985; 144p. (In Russian) [Google Scholar]
- Ding, Y.; Mu, C.; Wu, T.; Hu, G.; Zou, D.; Wang, D.; Li, W.; Wu, X. Increasing Cryospheric Hazards in a Warming Climate. Earth-Sci. Rev. 2021, 213, 103500. [Google Scholar] [CrossRef]
- Xu, M.; Sun, Y.; Wang, H.; Qi, P.; Peng, Z.; Wu, Y.; Zhang, G. Altitude Characteristics in the Response of Rain-on-Snow Flood Risk to Future Climate Change in a High-Latitude Water Tower. J. Environ. Manag. 2024, 369, 122292. [Google Scholar] [CrossRef]
- Li, Z.; Cao, Y.; Duan, Y.; Jiang, Z.; Sun, F. Simulation and Prediction of the Impact of Climate Change Scenarios on Runoff of Typical Watersheds in Changbai Mountains, China. Water 2022, 14, 792. [Google Scholar] [CrossRef]
- Velásquez, N.; Quintero, F.; Koya, S.R.; Roy, T.; Mantilla, R. Snow-Detonated Floods: Assessment of the U.S. Midwest March 2019 Event. J. Hydrol. Reg. Stud. 2023, 47, 101387. [Google Scholar] [CrossRef]
- Hao, X.; Huang, G.; Zheng, Z.; Sun, X.; Ji, W.; Zhao, H.; Wang, J.; Li, H.; Wang, X. Development and Validation of a New MODIS Snow-Cover-Extent Product over China. Hydrol. Earth Syst. Sci. 2022, 26, 1937–1952. [Google Scholar] [CrossRef]
- Jiang, L.; Yang, J.; Zhang, C.; Wu, S.; Li, Z.; Dai, L.; Qiu, Y. Daily Snow Water Equivalent Product with SMMR, SSM/I and SSMIS from 1980 to 2020 over China. Big Earth Data 2022, 6, 420–434. [Google Scholar] [CrossRef]
- Zschenderlein, L.; Luojus, K.; Takala, M.; Venäläinen, P.; Pulliainen, J. Evaluation of Passive Microwave Dry Snow Detection Algorithms and Application to SWE Retrieval during Seasonal Snow Accumulation. Remote Sens. Environ. 2023, 288, 113476. [Google Scholar] [CrossRef]
- Mussina, A.; Abdullayeva, A.; Barandun, M.; Cicoira, A.; Tursyngali, M. Assessment of the current state and temporal changes of glacial-moraine lakes in the Central and Eastern part of the northern slope of the Ile Alatau, Kazakhstan. J. Water Land Dev. 2024, 63, 19–24. [Google Scholar] [CrossRef]
- Gul, C.; Kang, S.; Ghauri, B.; Haq, M.; Muhammad, S.; Ali, S. Using Landsat images to monitor changes in the snow-covered area of selected glaciers in northern Pakistan. J. Mt. Sci. 2017, 14, 2013–2027. [Google Scholar] [CrossRef]
- Eker, R.; Bühler, Y.; Schlögl, S.; Stoffel, A.; Aydın, A. Monitoring of Snow Cover Ablation Using Very High Spatial Resolution Remote Sensing Datasets. Remote Sens. 2019, 11, 699. [Google Scholar] [CrossRef]
- Gascoin, S.; Grizonnet, M.; Bouchet, M.; Salgues, G.; Hagolle, O. Theia Snow Collection: High-Resolution Operational Snow Cover Maps from Sentinel-2 and Landsat-8 Data. Earth Syst. Sci. Data 2019, 11, 493–514. [Google Scholar] [CrossRef]
- Bousbaa, M.; Htitiou, A.; Boudhar, A.; Eljabiri, Y.; Elyoussfi, H.; Bouamri, H.; Ouatiki, H.; Chehbouni, A. High-Resolution Monitoring of the Snow Cover on the Moroccan Atlas through the Spatio-Temporal Fusion of Landsat and Sentinel-2 Images. Remote Sens. 2022, 14, 5814. [Google Scholar] [CrossRef]
- Koehler, J.; Bauer, A.; Dietz, A.J.; Kuenzer, C. Towards Forecasting Future Snow Cover Dynamics in the European Alps—The Potential of Long Optical Remote-Sensing Time Series. Remote Sens. 2022, 14, 4461. [Google Scholar] [CrossRef]
- Xiao, X.; Liang, S. Assessment of snow cover mapping algorithms from Landsat surface reflectance data and application to automated snowline delineation. Remote Sens. Environ. 2024, 307, 114163. [Google Scholar] [CrossRef]
- Zhang, Q.; Yuan, Q.; Jin, T.; Song, M.; Sun, F. SGD-SM 2.0: An Improved Seamless Global Daily Soil Moisture Long-Term Dataset from 2002 to 2022. Earth Syst. Sci. Data 2022, 14, 4473–4488. [Google Scholar] [CrossRef]
- Poussin, C.; Peduzzi, P.; Giuliani, G. Snow observation from space: An approach to improving snow cover detection using four decades of Landsat and Sentinel-2 imageries across Switzerland. Sci. Remote Sens. 2025, 11, 100182. [Google Scholar] [CrossRef]
- Snapir, B.; Momblanch, A.; Jain, S.K.; Waine, T.W.; Holman, I.P. A method for monthly mapping of wet and dry snow using Sentinel-1 and MODIS: Application to a Himalayan River basin. Int. J. Appl. Earth Obs. Geoinf. 2019, 74, 222–230. [Google Scholar] [CrossRef]
- Beltramone, G.; Frery, A.C.; German, A.; Bonansea, M.; Scavuzzo, C.M.; Ferral, A. Characterization of Seasonal Snow Covered Surfaces by Sentinel-1 Time Series Anomalies. In Proceedings of the IGARSS 2022–2022 IEEE International Geoscience and Remote Sensing Symposium, Kuala Lumpur, Malaysia, 17–22 July 2022; pp. 1596–1599. [Google Scholar] [CrossRef]
- Kumar, S.; Narayan, A.; Mehta, D.S.; Snehmani. Snow cover characterization using C-band polarimetric SAR in parts of the Himalaya. Adv. Space Res. 2022, 70, 3959–3974. [Google Scholar] [CrossRef]
- Geissler, J.; Rathmann, L.; Weiler, M. Combining daily sensor observations and spatial LiDAR data for mapping snow water equivalent in a sub-alpine forest. Water Resour. Res. 2023, 59, e2023WR034460. [Google Scholar] [CrossRef]
- Torralbo, P.; Pimentel, R.; Polo, M.J.; Notarnicola, C. Characterizing Snow Dynamics in Semi-Arid Mountain Regions with Multitemporal Sentinel-1 Imagery: A Case Study in the Sierra Nevada, Spain. Remote Sens. 2023, 15, 5365. [Google Scholar] [CrossRef]
- Cluzet, B.; Magnusson, J.; Quéno, L.; Mazzotti, G.; Mott, R.; Jonas, T. Exploring how Sentinel-1 wet-snow maps can inform fully distributed physically based snowpack models. Cryosphere 2024, 18, 5753–5767. [Google Scholar] [CrossRef]
- Dunmire, D.; Lievens, H.; Boeykens, L.; De Lannoy, G.J.M. A machine learning approach for estimating snow depth across the European Alps from Sentinel-1 imagery. Remote Sens. Environ. 2024, 314, 114369. [Google Scholar] [CrossRef]
- Deems, J.S.; Painter, T.H.; Finnegan, D.C. Lidar measurement of snow depth: A review. J. Glaciol. 2013, 59, 467–479. [Google Scholar] [CrossRef]
- Dharmadasa, V.; Kinnard, C.; Baraër, M. An Accuracy Assessment of Snow Depth Measurements in Agro-Forested Environments by UAV Lidar. Remote Sens. 2022, 14, 1649. [Google Scholar] [CrossRef]
- Stillinger, T.; Rittger, K.; Raleigh, M.; Michell, A.; Davis, R.; Bair, E. Landsat, MODIS, and VIIRS snow cover mapping algorithm performance as validated by airborne lidar datasets. Cryosphere 2022, 17, 567–590. [Google Scholar] [CrossRef]
- Ackroyd, C.; Donahue, C.P.; Menounos, B.; Skiles, S.M. Airborne lidar intensity correction for mapping snow cover extent and effective grain size in mountainous terrain. GIScience Remote Sens. 2024, 61, 2427326. [Google Scholar] [CrossRef]
- Wendleder, A.; Dietz, A.J.; Schork, K. Mapping Snow Cover Extent Using Optical and SAR Data. In Proceedings of the IGARSS 2018–2018 IEEE International Geoscience and Remote Sensing Symposium, Valencia, Spain, 22–27 July 2018; pp. 5104–5107. [Google Scholar] [CrossRef]
- Hidalgo-Hidalgo, J.-D.; Collados-Lara, A.-J.; Pulido-Velazquez, D.; Fassnacht, S.R.; Husillos, C. Synergistic Potential of Optical and Radar Remote Sensing for Snow Cover Monitoring. Remote Sens. 2024, 16, 3705. [Google Scholar] [CrossRef]
- Wang, H.; Zhang, L.; Wang, L.; He, J.; Luo, H. An Automated Snow Mapper Powered by Machine Learning. Remote Sens. 2021, 13, 4826. [Google Scholar] [CrossRef]
- John, A.; Cannistra, A.F.; Yang, K.; Tan, A.; Shean, D.; Hille Ris Lambers, J.; Cristea, N. High-Resolution Snow-Covered Area Mapping in Forested Mountain Ecosystems Using PlanetScope Imagery. Remote Sens. 2022, 14, 3409. [Google Scholar] [CrossRef]
- Panda, S.; Anilkumar, R.; Balabantaray, B.K.; Chutia, D.; Bharti, R. Machine Learning-Driven Snow Cover Mapping Techniques using Google Earth Engine. In Proceedings of the 2022 IEEE 19th India Council International Conference (INDICON), Kochi, India, 24–26 November 2022; pp. 1–6. [Google Scholar] [CrossRef]
- Adnan, R.M.; Mo, W.; Kisi, O.; Heddam, S.; Al-Janabi, A.M.S.; Zounemat-Kermani, M. Harnessing Deep Learning and Snow Cover Data for Enhanced Runoff Prediction in Snow-Dominated Watersheds. Atmosphere 2024, 15, 1407. [Google Scholar] [CrossRef]
- Mahanthege, S.; Kleiber, W.; Rittger, K.; Rajagopalan, B.; Brodzik, M.J.; Bair, E. A spatially-distributed machine learning approach for fractional snow covered area estimation. Water Resour. Res. 2024, 60, e2023WR036162. [Google Scholar] [CrossRef]
- Hall, D.K.; Salomonson, V.V.; Riggs, G.A. MODIS/Terra Snow Cover 8-Day L3 Global 500 m Grid, version 5; Tile h12v12; National Snow and Ice Data Center: Boulder, CO, USA, 2006. [Google Scholar]
- Wang, X.; Xie, H.; Liang, T. Evaluation of MODIS Snow Cover and Cloud Mask and its Application in Northern Xinjiang, China. Remote Sens. Environ. 2008, 112, 1497–1513. [Google Scholar] [CrossRef]
- Ke, C.Q.; Liu, X. MODIS-observed spatial and temporal variation in snow cover in Xinjiang, China. Clim. Res. 2014, 59, 15–26. [Google Scholar] [CrossRef]
- Marchane, A.; Jarlan, L.; Hanich, L.; Boudhar, A.; Gascoin, S.; Tavernier, A.; Berjamy, B. Assessment of daily MODIS snow cover products to monitor snow cover dynamics over the Moroccan Atlas mountain range. Remote Sens. Environ. 2015, 160, 72–86. [Google Scholar] [CrossRef]
- Riggs, G.A.; Hall, D.K.; Román, M.O. Overview of NASA’s MODIS and Visible Infrared Imaging Radiometer Suite (VIIRS) snow-cover Earth System Data Records. Earth Syst. Sci. Data 2017, 9, 765–777. [Google Scholar] [CrossRef]
- Tran, H.; Nguyen, P.; Ombadi, M.; Hsu, K.-L.; Sorooshian, S.; Qing, X. A cloud-free MODIS snow cover dataset for the contiguous United States from 2000 to 2017. Sci. Data 2019, 6, 180300. [Google Scholar] [CrossRef]
- Zhang, J.; Jia, L.; Menenti, M.; Zhou, J.; Ren, S. Glacier Area and Snow Cover Changes in the Range System Surrounding Tarim from 2000 to 2020 Using Google Earth Engine. Remote Sens. 2021, 13, 5117. [Google Scholar] [CrossRef]
- Calizaya, E.; Laqui, W.; Sardón, S.; Calizaya, F.; Cuentas, O.; Cahuana, J.; Mindani, C.; Huacani, W. Snow Cover Temporal Dynamic Using MODIS Product, and Its Relationship with Precipitation and Temperature in the Tropical Andean Glaciers in the Alto Santa Sub-Basin (Peru). Sustainability 2023, 15, 7610. [Google Scholar] [CrossRef]
- Jin, S.; Sader, S.A. MODIS time-series imagery for forest disturbance detection and quantification. Remote Sens. Environ. 2006, 101, 352–366. [Google Scholar] [CrossRef]
- Wang, Y.; Geerts, B.; Liu, C.; Jing, X. A Convection-Permitting Regional Climate Simulation of Changes in Precipitation and Snowpack in a Warmer Climate over the Interior Western United States. Climate 2025, 13, 46. [Google Scholar] [CrossRef]
- Lavrov, S.A. The Influence of Meteorological Factors, Snow Properties, and Climate Changes on the Snow Cover Melting Processes. Water Sect. Russ. Probl. Technol. Manag. 2024, 1, 46–70. [Google Scholar] [CrossRef]
- Sunita; Sood, V.; Singh, S.; Gupta, P.K.; Gusain, H.S.; Tiwari, R.K.; Khajuria, V.; Singh, D. Estimation and Validation of Snowmelt Runoff Using Degree Day Method in Northwestern Himalayas. Climate 2024, 12, 200. [Google Scholar] [CrossRef]
- Anderson, E.A. Snow Accumulation and Ablation Model–SNOW-17; US National Weather Service: Silver Spring, MD, USA, 2006. Available online: https://www.weather.gov/media/owp/oh/hrl/docs/22snow17.pdf (accessed on 1 February 2025).
- Lee, W.Y.; Gim, H.J.; Park, S.K. Parameterizations of snow cover, snow albedo and snow density in land surface models: A comparative review. Asia-Pac. J. Atmos. Sci. 2024, 60, 185–210. [Google Scholar] [CrossRef]
- Ohmura, A. Physical Basis for the Temperature-Based Melt-Index Method. J. Appl. Meteorol. 2001, 40, 753–761. [Google Scholar] [CrossRef]
- Hock, R. A Distributed Temperature-Index Ice- and Snowmelt Model Including Potential Direct Solar Radiation. J. Glaciol. 1999, 45, 101–111. [Google Scholar] [CrossRef]
- Hock, R. Temperature Index Melt Modelling in Mountain Areas. J. Hydrol. 2003, 282, 104–115. [Google Scholar] [CrossRef]
- Hann, J. Handbuch der Klimatologie (Handbook of Climatology); Verlag von J. Engelhorn: Stuttgart, Germany, 1908; 394p. [Google Scholar]
- Ahlmann, H.W. Le Niveau De Glaciation Comme Fonction De L’accumulation D’humidité Sous Forme Solide: Méthode Pour Le Calcul De L’Humidité Condensée Dans La Haute Montagne Et Pour L’étude De La Fréquence Des Glaciers. Geogr. Ann. 1924, 6, 223–272. [Google Scholar] [CrossRef]
- He, Y.; Chen, C.; Li, B.; Zhang, Z. Prediction of near-surface air temperature in glacier regions using ERA5 data and the random forest regression method. Remote Sens. Appl. Soc. Environ. 2022, 28, 100824. [Google Scholar]
- Turk, F.J.; Miller, S.D. Toward improved characterization of remotely sensed precipitation regimes with MODIS/AMSR-E blended data techniques. IEEE Trans. Geosci. Remote Sens. 2005, 43, 1059–1069. [Google Scholar] [CrossRef]
- Reeh, N. Parameterization of Melt Rate and Surface Temperature on the Greenland Ice Sheet. Polarforschung 1989, 59, 113–128. [Google Scholar]
- Lang, H.; Braun, L. On the Information Content of Air Temperature in the Context of Snow Melt Estimation. In Hydrology of Mountainous Areas; Molnar, L., Ed.; IAHS Press: Wallingford, UK, 1990; pp. 347–354. [Google Scholar]
- Braithwaite, R.J. On Glacier Energy Balance, Ablation, and Air Temperature. J. Glaciol. 1981, 27, 381–391. [Google Scholar] [CrossRef]
- Iglovskaya, N.V.; Narozhny, Y.K. Determination of Snow water equivalent in Altai Using Satellite Information. Bull. Tomsk State Univ. 2010, 334, 160–165. (In Russian) [Google Scholar]
- Gao, L.; Zhang, L.; Shen, Y.; Zhang, Y.; Ai, M.; Zhang, W. Modeling Snow Depth and Snow Water Equivalent Distribution and Variation Characteristics in the Irtysh River Basin, China. Appl. Sci. 2021, 11, 8365. [Google Scholar] [CrossRef]
- Wu, X.; Zhang, W.; Li, H.; Long, Y.; Pan, X.; Shen, Y. Analysis of seasonal snowmelt contribution using a distributed energy balance model for a river basin in the Altai Mountains of northwestern China. Hydrol. Process. 2021, 35, e14046. [Google Scholar] [CrossRef]
- Liu, M.; Xiong, C.; Pan, J.; Wang, T.; Shi, J.; Wang, N. High-resolution reconstruction of the maximum snow water equivalent based on remote sensing data in a mountainous area. Remote Sens. 2020, 12, 460. [Google Scholar] [CrossRef]
- Egorina, A.V. Barrier Factor in the Formation of the Natural Environment of the City; Publishing House of Altai State University: Barnaul, Russia, 2003; 344p. (In Russian) [Google Scholar]
- Bykov, N.I.; Rygalov, E.V.; Shigimaga, A.A. Dendrochronological Analysis of Coniferous Species in Avalanche Catchments of the Northwestern Altai (Korgon River Basin). Ice Snow 2024, 64, 81–95. [Google Scholar] [CrossRef]
- Revyakin, V.S.; Kravtsova, V.I. Snow Cover and Avalanches of Altai; Publishing House of Tomsk State University: Tomsk, Russia, 1977; 215p. (In Russian) [Google Scholar]
- Revyakin, V.S. Natural Ice of the Altai-Sayan Mountain Region; Gidrometeoizdat: Leningrad, Russia, 1981; 288p. (In Russian) [Google Scholar]
- European Space Agency. Available online: https://www.esa.int/Applications/Observing_the_Earth/Copernicus/Sentinel-2 (accessed on 2 November 2024).
- Copernicus Data Space Ecosystem. Available online: https://dataspace.copernicus.eu/ (accessed on 1 October 2024).
- Hawker, L.; Uhe, P.; Paulo, L.; Sosa, J.; Savage, J.; Sampson, C.; Neal, J. A 30m Global Map of Elevation with Forests and Buildings Removed. Environ. Res. Lett. 2022, 17, 24016. [Google Scholar] [CrossRef]
- Hall, D.K.; Riggs, G.A. Normalized-Difference Snow Index (NDSI). In Encyclopedia of Snow, Ice and Glaciers; Singh, V.P., Singh, P., Haritashya, U.K., Eds.; Springer: Dordrecht, The Netherlands, 2011. [Google Scholar] [CrossRef]
- Wang, G.; Jiang, L.; Xiong, C.; Zhang, Y. Characterization of NDSI variation: Implications for snow cover mapping. IEEE Transactions on Geoscience and Remote Sensing. 2022, 60, 1–18. [Google Scholar] [CrossRef]
- Hall, D.K.; Riggs, G.A.; Salomonson, V.V. Development of Methods for Mapping Global Snow Cover Using Moderate Resolution Imaging Spectroradiometer Data. Remote Sens. Environ. 1995, 54, 127–140. [Google Scholar] [CrossRef]
- Salomonson, V.V.; Appel, I. Estimating Fractional Snow Cover from MODIS Using the Normalised Difference Snow Index. Remote Sens. Environ. 2004, 89, 351–360. [Google Scholar] [CrossRef]
- Rittger, K.; Painter, T.H.; Dozier, J. Assessment of methods for mapping snow cover from MODIS. Adv. Water Resour. 2013, 51, 367–380. [Google Scholar] [CrossRef]
- Wang, X.Y.; Wang, J.; Jiang, Z.Y.; Li, H.Y.; Hao, X.H. An Effective Method for Snow-Cover Mapping of Dense Coniferous Forests in the Upper Heihe River Basin Using Landsat Operational Land Imager Data. Remote Sens. 2015, 7, 17246–17257. [Google Scholar] [CrossRef]
- Wang, X.; Wang, J.; Che, T.; Huang, X.; Hao, X.; Li, H. Snow Cover Mapping for Complex Mountainous Forested Environments Based on a Multi-Index Technique. IEEE J. Sel. Top. Appl. Earth Obs. Remote Sens. 2018, 11, 1433–1441. [Google Scholar] [CrossRef]
- Gascoin, S.; Barrou Dumont, Z.; Deschamps-Berger, C.; Marti, F.; Salgues, G.; López-Moreno, J.I.; Revuelto, J.; Michon, T.; Schattan, P.; Hagolle, O. Estimating Fractional Snow Cover in Open Terrain from Sentinel-2 Using the Normalized Difference Snow Index. Remote Sens. 2020, 12, 2904. [Google Scholar] [CrossRef]
- Mahmoodzada, A.B.; Varade, D.; Shimada, S. Estimation of Snow Depth in the Hindu Kush Himalayas of Afghanistan during Peak Winter and Early Melt Season. Remote Sens. 2020, 12, 2788. [Google Scholar] [CrossRef]
- Pozhitkov, R.Y.; Tigeev, A.A.; Moskovchenko, D.V. Assessment of dust deposition in snow cover using remote sensing data: A case study of Nizhnevartovsk. Atmos. Ocean. Opt. 2020, 33, 767–773. [Google Scholar] [CrossRef]
- Singh, K.V.; Setia, R.; Sahoo, S.; Prasad, A.; Pateriya, B. Evaluation of NDWI and MNDWI for assessment of waterlogging by integrating digital elevation model and groundwater level. Geocarto Int. 2015, 30, 650–661. [Google Scholar] [CrossRef]
- Jasrotia, A.S.; Kour, R.; Singh, K.K. Effect of shadow on atmospheric and topographic processed NDSI values in Chenab basin, western Himalayas. Cold Reg. Sci. Technol. 2022, 199, 103561. [Google Scholar] [CrossRef]
- Luo, J.; Dong, C.; Lin, K.; Chen, X.; Zhao, L.; Menzel, L. Mapping Snow Cover in Forests Using Optical Remote Sensing, Machine Learning and Time-Lapse Photography. Remote Sens. Environ. 2022, 275, 113017. [Google Scholar] [CrossRef]
- Rajat, S.; Singh, R.; Prakash, C.; Anita, S. Glacier retreat in Himachal from 1994 to 2021 using deep learning. Remote Sens. Appl. Soc. Environ. 2022, 28, 100870. [Google Scholar] [CrossRef]
- Kairatov, D.A.; Omirzhanova, Z.T. Study of the dynamics of glacier and snow cover changes in the Zailiysky Alatau. Issues Sustain. Dev. Soc. 2022, 8, 1135–1145. [Google Scholar]
- Thaler, E.A.; Crumley, R.L.; Bennett, K.E. Estimating snow cover from high-resolution satellite imagery by thresholding blue wavelengths. Remote Sens. Environ. 2023, 285, 113403. [Google Scholar] [CrossRef]
- Gagarin, L.A.; Baishev, N.E.; Melnikov, A.E. Deciphering signs of underground water icing on Sentinel-1 radar images: A case study of the Verkhne-Neryungrinskaya and Samokitskaya icings in Southern Yakutia. Earth’s Cryosphere 2023, 27, 59–71. [Google Scholar] [CrossRef]
- Kauazov, A.M.; Tillakarin, T.A.; Salnikov, V.G.; Polyakova, S.E. Assessment of changes in snow cover area in Kazakhstan from 2000 to 2022. Curr. Probl. Remote Sens. Earth Space 2023, 20, 298–305. [Google Scholar] [CrossRef]
- Notarnicola, C. Snow cover phenology dataset over global mountain regions from 2000 to 2023. Data Brief 2024, 56, 110860. [Google Scholar] [CrossRef] [PubMed]
- Crane, R.G.; Anderson, M.R. Satellite discrimination of snow/cloud surfaces. Int. J. Remote Sens. 1984, 5, 213–223. [Google Scholar] [CrossRef]
- Dozier, J. Remote sensing of snow characteristics in the southern Sierra Nevada. In Large Scale Effects of Seasonal Snow Cover. Proceedings of the Vancouver Symposium, Vancouver, BC, Canada, 9–22 August 1987; IAHS Publ.: Wallingford, UK, 1987; pp. 305–314. [Google Scholar]
- Dozier, J. Spectral Signature of Alpine Snow Cover from the Landsat Thematic Mapper. Remote Sens. Environ. 1989, 28, 9–22. [Google Scholar] [CrossRef]
- Dozier, J.; Marks, D. Snow Mapping and Classification from Landsat Thematic Mapper Data. Ann. Glaciol. 1987, 9, 97–103. [Google Scholar] [CrossRef]
- EOS Normalized Difference Snow Index (NDSI). Available online: https://eos.com/ru/make-an-analysis/ndsi/ (accessed on 30 September 2024).
- Climateengine. Normalized Difference Snow Index (NDSI). Available online: https://support.climateengine.org/article/101-normalized-difference-snow-index-ndsi/ (accessed on 30 September 2024).
- Bykov, N.I.; Birjukov, R.J. Interrelationships between snowpack dynamics and tree growth in the Tigiretsky Ridge (Altai): Implications for ecological responses to climate variability. Acta Biol. Sib. 2024, 10, 1319–1336. [Google Scholar] [CrossRef]
- Galakhov, V.P. Conditions of Formation and Calculation of Maximum Snow water equivalent in the Mountains: (Based on the Results of Research in Altai); Nauka: Novosibirsk, Russia, 2003; 104p. (In Russian) [Google Scholar]
- Galakhov, V.P.; Samoilova, S.Y.; Mardasova, E.V. Estimation of the amount of winter precipitation in mountain basins and their impact on runoff during floods (using the Charysh and Anuy rivers, Altai as an example). Earth’s Cryosphere 2021, 25, 51–62. [Google Scholar] [CrossRef]
- Galakhov, V.P.; Samoilova, S.Y.; Mardasova, E.V. The influence of snow cover formation conditions on the flood runoff of a mountain river (using the Anuy River basin as an example). Bull. Altai Branch Russ. Geogr. Soc. 2020, 1, 24–33. [Google Scholar]







| Parameters/Weather Stations | Shemonaikha | Zmeinogorsk | Ridder | Babiy Klyuch | Kara-Tyurek |
|---|---|---|---|---|---|
| Latitude | 50°38′ | 51°09′ | 50°20′ | 51°03′ | 50°02′ |
| Longitude | 81°55′ | 82°10′ | 83°33′ | 82°59′ | 86°27′ |
| Height | 320 | 355 | 740 | 1530 | 2601 |
| Years | Period | Water Reserve, mm | The Sum of the Average Daily Temperatures for the Period | Melting Temperature Coefficient, mm/(°C-day) | The Precipitation During the Period at Subzero Temperatures, mm | Melting Temperature Coefficient, mm/(°C-day), Considering Solid Precipitation | |||
|---|---|---|---|---|---|---|---|---|---|
| Date 1 | Date 2 | Date 1 | Date 2 | Melting Layer | |||||
| 2013 | 05 March | 10 March | 198 | 182 | 16 | 2.9 | 5.5 | 6.3 | 7.7 |
| 10 March | 15 March | 182 | 172 | 10 | 7.6 | 1.3 | 1.8 | 1.5 | |
| 15 March | 20 March | 172 | 122 | 50 | 4.8 | 10.4 | 5.5 | 11.6 | |
| 25 March | 31 March | 99 | 43 | 56 | 18.6 | 3.0 | 0 | 3.0 | |
| 31 March | 05 April | 43 | 41 | 2 | 6.2 | 0.3 | 14.1 | 2.6 | |
| 05 March | 05 April | 198 | 41 | 157 | 29.1 | 5.4 | 36.3 | 6.6 | |
| 2014 | 15 March | 20 March | 108 | 61 | 47 | 14.2 | 3.3 | 0 | 3.3 |
| 05 March | 20 March | 120 | 61 | 59 | 17.3 | 3.4 | 11 | 4.0 | |
| 2015 | 20 March | 25 March | 156 | 90 | 66 | 10.6 | 6.2 | 0 | 6.2 |
| 25 March | 31 March | 90 | 97 | −7 | 2.4 | - | 14.7 | 3.2 | |
| 20 March | 10 April | 156 | 78 | 78 | 13.3 | 5.9 | 21.4 | 7.5 | |
| 2016 | 15 March | 20 March | 167 | 137 | 30 | 5.9 | 5.1 | 7 | 6.3 |
| 25 March | 31 March | 137 | 51 | 86 | 20.6 | 4.2 | 0 | 4.2 | |
| 15 March | 31March | 167 | 51 | 116 | 29.4 | 3.9 | 11.4 | 4.3 | |
| 2017 | 25 March | 31 March | 128 | 47 | 81 | 22.6 | 3.6 | 0 | 3.6 |
| 31 March | 05 April | 47 | 13 | 34 | 5.8 | 5.9 | 8.2 | 7.3 | |
| 25 March | 05 April | 128 | 13 | 115 | 26.1 | 4.4 | 8.2 | 4.7 | |
| 2018 | 20 March | 31 March | 51 | 33 | 18 | 30.7 | 0.6 | 41.2 | 1.9 |
| 20 March | 05 April | 51 | 35 | 16 | 30.7 | 0.5 | 42.6 | 1.9 | |
| 2019 | 10 March | 15 March | 145 | 140 | 5 | 1 | 5.00 | 0 | 5.0 |
| 25 March | 31 March | 152 | 83 | 69 | 17.1 | 4.0 | 3.5 | 4.2 | |
| 10 March | 31 March | 145 | 83 | 62 | 21.9 | 2.8 | 1.2 | 2.9 | |
| 2020 | 10 March | 15 March | 310 | 306 | 4 | 4.5 | 0.9 | 4.1 | 1.8 |
| 15 March | 20 March | 306 | 218 | 88 | 17.3 | 5.1 | 0 | 5.1 | |
| 20 March | 25 March | 218 | 173 | 45 | 6.7 | 6.7 | 0 | 6.7 | |
| 31 March | 05 April | 198 | 103 | 95 | 28.8 | 3.3 | 0 | 3.3 | |
| 05 April | 10 April | 103 | 14 | 89 | 30.9 | 2.9 | 0 | 2.9 | |
| 31 March | 10 April | 198 | 14 | 184 | 53.8 | 3.4 | 0 | 3.4 | |
| 15 March | 10 April | 310 | 14 | 296 | 78.9 | 3.7 | 4.8 | 3.8 | |
| 2021 | 20 March | 25 March | 213 | 195 | 18 | 7.6 | 2.4 | 9 | 3.5 |
| 25 March | 31 March | 195 | 187 | 8 | 3.3 | 2.4 | 12.4 | 6.2 | |
| 31 March | 05 April | 187 | 179 | 8 | 4.5 | 1.8 | 0 | 1.8 | |
| 05 April | 10 April | 179 | 62 | 117 | 23.7 | 4.9 | 0 | 4.9 | |
| Years | Period | Water Reserve, mm | The Sum of the Average Daily Temperatures for the Period | Melting Temperature Coefficient, mm/(°C-day) | The Precipitation During the Period at Subzero Temperatures, mm | Melting Temperature Coefficient, mm/(°C-day), Considering Solid Precipitation | |||
|---|---|---|---|---|---|---|---|---|---|
| Date 1 | Date 2 | Date 1 | Date 2 | Melting Layer | |||||
| 2013 | 10 March | 15 March | 132 | 115 | 17 | 12.5 | 1.4 | 2.3 | 1.5 |
| 15 March | 20 March | 115 | 73 | 42 | 15.7 | 2.7 | 0 | 2.7 | |
| 20 March | 25 March | 73 | 51 | 22 | 6.2 | 3.5 | 3.1 | 4.0 | |
| 25 March | 31 March | 51 | 24 | 27 | 25.9 | 1.0 | 2.4 | 1.1 | |
| 31 March | 05 April | 24 | 21 | 3 | 8.3 | 0.4 | 5.6 | 1.0 | |
| 10 March | 05 April | 132 | 21 | 111 | 51.6 | 2.1 | 12.2 | 2.4 | |
| 2014 | 10 March | 15 March | 88 | 64 | 24 | 6.1 | 3.9 | 13 | 6.1 |
| 15 March | 20 March | 64 | 30 | 34 | 16.1 | 2.1 | 12.6 | 2.9 | |
| 2015 | 20 March | 25 March | 110 | 20 | 90 | 16 | 5.6 | 0 | 5.6 |
| 2016 | 10 March | 15 March | 124 | 115 | 9 | 2.5 | 3.6 | 0 | 3.6 |
| 15 March | 20 March | 115 | 106 | 9 | 2.3 | 3.9 | 5.4 | 6.3 | |
| 20 March | 25 March | 106 | 90 | 16 | 18.8 | 0.8 | 0 | 0.8 | |
| 25 March | 31 March | 90 | 32 | 58 | 36.1 | 1.6 | 0 | 1.6 | |
| 10 March | 31 March | 124 | 32 | 92 | 81.1 | 1.1 | 5.4 | 1.2 | |
| 2017 | 20 March | 25 March | 194 | 176 | 18 | 4.4 | 4.1 | 0.3 | 4.2 |
| 25 March | 31 March | 176 | 43 | 133 | 29.5 | 4.5 | 0 | 4.5 | |
| 2018 | 15 March | 20 March | 140 | 116 | 24 | 3.5 | 6.9 | 0 | 6.9 |
| 20 March | 25 March | 116 | 32 | 84 | 22.6 | 3.7 | 1.2 | 3.8 | |
| 2019 | 28 February | 05 March | 140 | 133 | 7 | 2.1 | 3.3 | 4.5 | 5.5 |
| 10 March | 15 March | 122 | 46 | 76 | 7.2 | 10.6 | 0 | 10.6 | |
| 15 March | 20 March | 46 | 40 | 6 | 7.7 | 0.8 | 0 | 0.8 | |
| 20 March | 25 March | 40 | 26 | 14 | 9.2 | 1.5 | 0 | 1.5 | |
| 28 February | 25 March | 140 | 26 | 114 | 21 | 5.4 | 4.5 | 5.6 | |
| 2020 | 10 March | 15 March | 111 | 102 | 9 | 6.4 | 1.4 | 2.3 | 1.8 |
| 15 March | 20 March | 102 | 57 | 45 | 21.2 | 2.1 | 0 | 2.1 | |
| 20 March | 25 March | 57 | 9 | 48 | 7.1 | 6.8 | 1.8 | 7.0 | |
| 2021 | 10 March | 15 March | 172 | 89 | 83 | 5 | 16.6 | 6.4 | 17.9 |
| 20 March | 25 March | 112 | 58 | 54 | 10.8 | 5.0 | 0 | 5.0 | |
| 31 March | 05 April | 65 | 52 | 13 | 7.3 | 1.8 | 0 | 1.8 | |
| 2022 | 31 March | 05 April | 234 | 148 | 86 | 20.4 | 4.2 | 0 | 4.2 |
| Years | Period | Water Reserve, mm | The Sum of the Average Daily Temperatures for the Period | Melting Temperature Coefficient, mm/(°C-day) | The Amount of Precipitation During the Period at Subzero Temperatures, mm | Melting Temperature Coefficient, mm/(°C-day), Considering Solid Precipitation | |||
|---|---|---|---|---|---|---|---|---|---|
| Date 1 | Date 2 | Date 1 | Date 2 | Melting Layer | |||||
| 2013 | 28 February | 05 March | 279 | 251 | 28 | 4.4 | 6.4 | 33.1 | 7.5 |
| 05 March | 10 March | 251 | 247 | 4 | 4.8 | 0.8 | 6.1 | 1.3 | |
| 10 March | 15 March | 247 | 223 | 24 | 5.4 | 4.4 | 24 | 4.4 | |
| 15 March | 20 March | 223 | 181 | 42 | 4.6 | 9.1 | 42 | 9.1 | |
| 28 February | 25 March | 279 | 154 | 125 | 15.5 | 8.16 | 132.5 | 8.5 | |
| 2014 | 10 March | 15 March | 147 | 113 | 34 | 4.1 | 8.3 | 34.4 | 8.4 |
| 15 March | 20 March | 113 | 16 | 97 | 13.9 | 7.0 | 97 | 7.0 | |
| 2015 | 20 March | 25 March | 214 | 212 | 2 | 9.1 | 0.2 | 2 | 0.2 |
| 05 April | 10 April | 176 | 144 | 32 | 5.2 | 6.1 | 32 | 6.1 | |
| 20 March | 10 April | 214 | 144 | 70 | 14.6 | 4.8 | 88.6 | 6.1 | |
| 2016 | 15 March | 20 March | 177 | 158 | 19 | 4.2 | 4.5 | 22.7 | 5.4 |
| 20 March | 25 March | 158 | 119 | 39 | 5.3 | 7.4 | 39.3 | 7.4 | |
| 25 March | 31 March | 119 | 36 | 83 | 15.1 | 5.5 | 83 | 5.5 | |
| 25 February | 31 March | 212 | 36 | 176 | 22.9 | 7.7 | 198.9 | 8.7 | |
| 2017 | 25 March | 31 March | 202 | 90 | 112 | 20.5 | 5.5 | 112.4 | 5.5 |
| 25 March | 05 April | 202 | 9 | 193 | 22.7 | 8.5 | 197.9 | 8.7 | |
| 2018 | 20 March | 25 March | 58 | 0 | 58 | 16.4 | 3.5 | 64.1 | 3.9 |
| 10 March | 15 March | 67 | 66 | 1 | 1.1 | 0.9 | 10.8 | 9.8 | |
| 2019 | 25 March | 31 March | 39 | 0 | 39 | 10.6 | 3.7 | 39 | 3.7 |
| 2020 | 10 March | 15 March | 285 | 276 | 9 | 5.1 | 1.8 | 12.7 | 2.5 |
| 15 March | 20 March | 276 | 179 | 97 | 12 | 8.1 | 97 | 8.1 | |
| 20 March | 25 March | 179 | 163 | 16 | 4.8 | 3.3 | 16 | 3.3 | |
| 31 March | 05 April | 123 | 0 | 123 | 27.8 | 4.4 | 123 | 4.4 | |
| 2021 | 20 March | 25 March | 173 | 140 | 33 | 6.3 | 5.2 | 33.7 | 5.3 |
| 25 March | 31 March | 140 | 122 | 18 | 4.4 | 4.1 | 27.9 | 6.3 | |
| 31 March | 05 April | 122 | 62 | 60 | 7.1 | 8.4 | 60 | 8.4 | |
| 05 April | 10 April | 62 | 0 | 62 | 31.2 | 2.0 | 62 | 2.0 | |
| Month | The Equation | Coefficient of Determination R2 |
|---|---|---|
| January | 0.3 | |
| February | y = 0.5879x − 6.0837 | 0.49 |
| March | y = 0.8138x − 5.3819 | 0.61 |
| April | y = 0.8701x − 4.4912 | 0.78 |
| May | y = 1.0578x − 7.9718 | 0.82 |
| June | y = 1.1949x − 9.6022 | 0.86 |
| July | y = 1.1251x − 7.9423 | 0.78 |
| August | y = 1.1x − 7.466 | 0.79 |
| September | y = 1.0001x − 5.328 | 0.66 |
| October | y = 0.9744x − 5.2394 | 0.73 |
| November | y = 0.5497x − 6.5685 | 0.50 |
| December | y = 0.5287x − 5.0891 | 0.59 |
| Absolute Elevation of the Terrain, m | Average Daily Air Temperature Sums for Specific Dates | ||||||
|---|---|---|---|---|---|---|---|
| 2 May | 4 May | 24 May | 29 May | 6 June | 16 June | 3 July | |
| 500 | 162 | 181.6 | 430 | 513.1 | 643.3 | 792.4 | 1056.4 |
| 600 | 137.1 | 158.1 | 393.9 | 474.3 | 600.4 | 743.8 | 1000.5 |
| 700 | 120.9 | 139.9 | 363.5 | 443.5 | 564.3 | 704.8 | 955.5 |
| 800 | 105.7 | 122.9 | 336.8 | 413.7 | 531.9 | 666.9 | 911.5 |
| 900 | 92.7 | 108 | 312.6 | 386.1 | 501.6 | 631.1 | 869.7 |
| 1000 | 77.9 | 94.2 | 288.4 | 359.6 | 472.1 | 596.4 | 855.1 |
| 1100 | 68.1 | 82.2 | 266 | 334.9 | 444.0 | 563.5 | 821.2 |
| 1200 | 59.7 | 71.7 | 245.1 | 312.2 | 417.2 | 532.3 | 789.4 |
| 1300 | 51.9 | 62.4 | 226.6 | 290.8 | 393.2 | 503.2 | 758.8 |
| 1400 | 44.9 | 54.3 | 208.6 | 270.6 | 369.6 | 474.8 | 729.4 |
| 1500 | 38.6 | 46.9 | 191.5 | 251.1 | 346.7 | 447.2 | 700.8 |
| 1600 | 30.5 | 45.9 | 181.6 | 240.8 | 325.0 | 498.6 | 629.6 |
| 1700 | 28.4 | 43.3 | 170.1 | 227.0 | 307.2 | 480.8 | 604.1 |
| 1800 | 28.0 | 42.3 | 160.3 | 215.1 | 291.2 | 464.8 | 580.6 |
| 1900 | 29.1 | 42.9 | 152.4 | 204.9 | 277.0 | 450.6 | 559.1 |
| 2000 | 31.9 | 45.1 | 146.3 | 196.6 | 264.6 | 438.2 | 539.6 |
| Site Number | Coordinates (Northern Latitude; Eastern Longitude) | Height Above Sea Level, m | Years | |||||||||||
|---|---|---|---|---|---|---|---|---|---|---|---|---|---|---|
| 2020 | 2021 | 2022 | 2023 | |||||||||||
| Date of Snow Melt | W1 | W2 | Date of Snow Melt | W1 | W2 | Date of Snow Melt | W1 | W2 | Date of Snow Melt | W1 | W2 | |||
| 1 | 50.351722° 83.801250° | 1120 | 14 April | 213 | 245 | 29 April | 300 | 317 | 29 April | 375 | 399 | 29 April | 322 | 341 |
| 2 | 50.371611° 83.823556° | 1000 | 18 April | 322 | 389 | - | 195 | - | 18 April | 195 | 285 | 24 April | 189 | 261 |
| 3 | 50.375028° 83.848056° | 1010 | 18 April | 187 | 389 | 25 April | 204 | 246 | 18 April | 238 | 285 | 27 April | 218 | 294 |
| 4 | 50.359056° 83.896028° | 1160 | 24 April | 208 | 124 | - | 246 | - | 24 April | 281 | 419 | 3 May | 300 | 342 |
| 5 | 50.366222° 83.908444° | 1220 | 20 April | 224 | 319 | 29 April | 300 | 317 | 24 April | 327 | 415 | 29 April | 327 | 320 |
| 6 | 50.388417° 84.003528° | 1010 | 20 April | 200 | 464 | 25 April | 225 | 246 | 18 April | 264 | 321 | 23 April | 211 | 261 |
| 7 | 50.398528° 84.020750° | 1040 | 15 April | 216 | 316 | 24 April | 255 | 240 | 19 April | 273 | 243 | 25 April | 237 | 246 |
| 8 | 50.382528° 84.083361° | 1400 | 24 April | 402 | 407 | 9 May | 499 | 434 | 4 May | 502 | 487 | 11 May | 523 | 523 |
| 9 | 50.385917° 84.099972° | 1610 | 24 April | 446 | 462 | 9 May | 467 | 452 | 4 May | 483 | 467 | 13 May | 572 | 420 |
| 10 | 50.388639° 84.145500° | 1400 | 24 April | 417 | 407 | 9 May | 483 | 434 | 3 May | 456 | 452 | 11 May | 507 | 523 |
| 11 | 50.412250° 84.174222° | 1310 | 19 April | 195 | 230 | 4 May | 252 | 300 | 30 April | 330 | 413 | 10 May | 357 | 498 |
| 12 | 50.406111° 84.196000° | 1400 | 20 April | 203 | 203 | 4 May | 272 | 239 | 28 April | 306 | 401 | 10 May | 338 | 478 |
| 13 | 50.375889° 84.225778° | 1430 | 21 April | 226 | 243 | 6 May | 323 | 323 | 30 April | 336 | 401 | 10 May | 376 | 460 |
| 14 | 50.369250° 84.252111° | 1630 | 24 April | 384 | 462 | 8 May | 378 | 415 | 2 May | 378 | 411 | 14 May | 464 | 440 |
Disclaimer/Publisher’s Note: The statements, opinions and data contained in all publications are solely those of the individual author(s) and contributor(s) and not of MDPI and/or the editor(s). MDPI and/or the editor(s) disclaim responsibility for any injury to people or property resulting from any ideas, methods, instructions or products referred to in the content. |
© 2025 by the authors. Licensee MDPI, Basel, Switzerland. This article is an open access article distributed under the terms and conditions of the Creative Commons Attribution (CC BY) license (https://creativecommons.org/licenses/by/4.0/).
Share and Cite
Bykov, N.I.; Birjukov, R.Y.; Bondarovich, A.A.; Zhakiyev, N.K.; Djukarev, A.D. Assessment of Maximum Snow-Water Equivalent in the Uba River Basin (Altai) Using the Temperature-Based Melt-Index Method. Climate 2025, 13, 117. https://doi.org/10.3390/cli13060117
Bykov NI, Birjukov RY, Bondarovich AA, Zhakiyev NK, Djukarev AD. Assessment of Maximum Snow-Water Equivalent in the Uba River Basin (Altai) Using the Temperature-Based Melt-Index Method. Climate. 2025; 13(6):117. https://doi.org/10.3390/cli13060117
Chicago/Turabian StyleBykov, Nikolay I., Roman Yu. Birjukov, Andrey A. Bondarovich, Nurkhat K. Zhakiyev, and Alexandr D. Djukarev. 2025. "Assessment of Maximum Snow-Water Equivalent in the Uba River Basin (Altai) Using the Temperature-Based Melt-Index Method" Climate 13, no. 6: 117. https://doi.org/10.3390/cli13060117
APA StyleBykov, N. I., Birjukov, R. Y., Bondarovich, A. A., Zhakiyev, N. K., & Djukarev, A. D. (2025). Assessment of Maximum Snow-Water Equivalent in the Uba River Basin (Altai) Using the Temperature-Based Melt-Index Method. Climate, 13(6), 117. https://doi.org/10.3390/cli13060117

