Climate Change and Its Impact on Natural Resources and Rural Livelihoods: Gendered Perspectives from Naryn, Kyrgyzstan
Abstract
1. Introduction
2. Materials and Methods
2.1. Study Area, Climate Characteristics, Land Use, and Environmental Risks
2.2. Data Analysis Approach
2.3. Data Sources and Collection Procedures
2.3.1. Secondary Data Acquisition and Preparation
2.3.2. Primary Data Collection
3. Results
3.1. Climatic Data
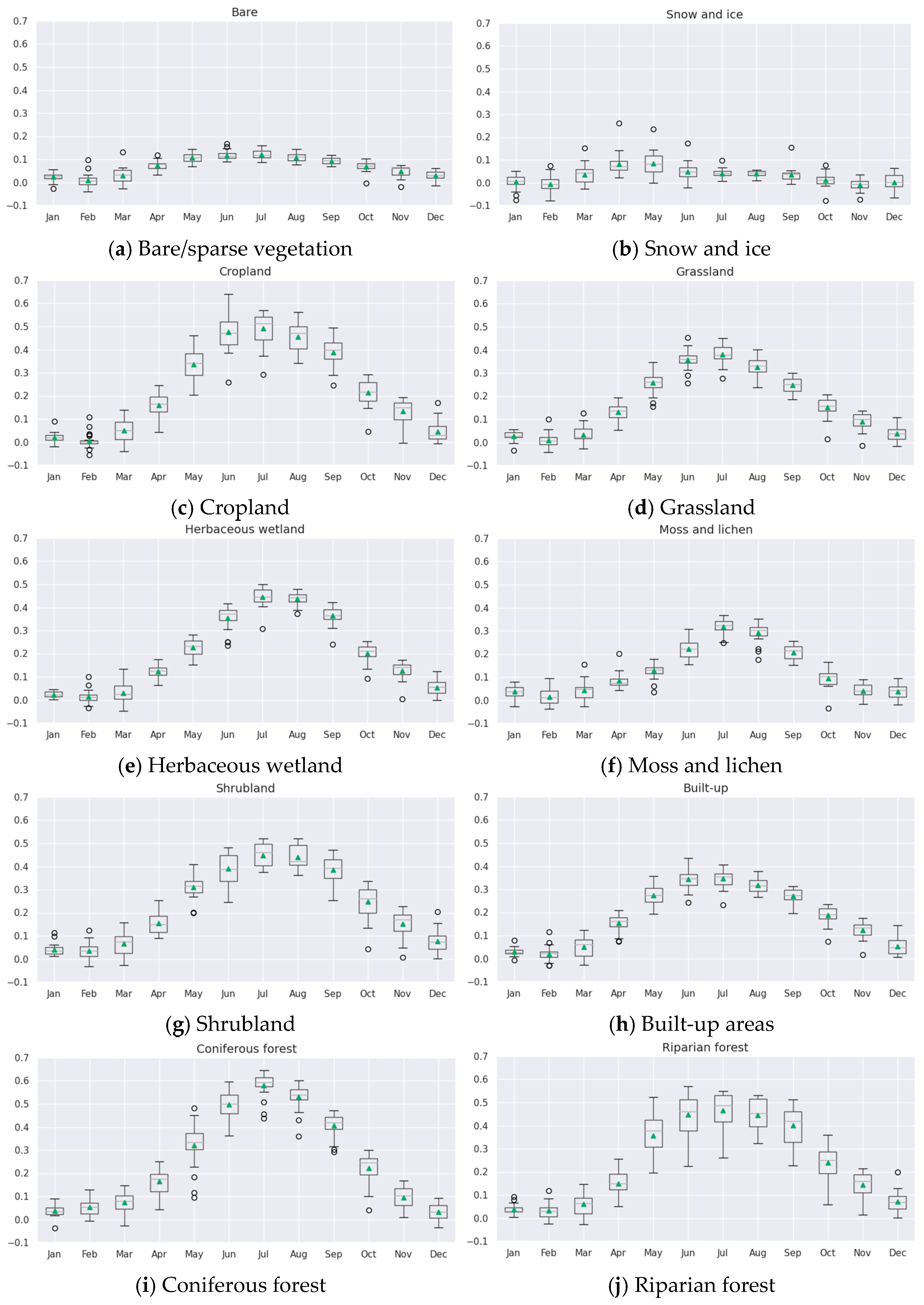
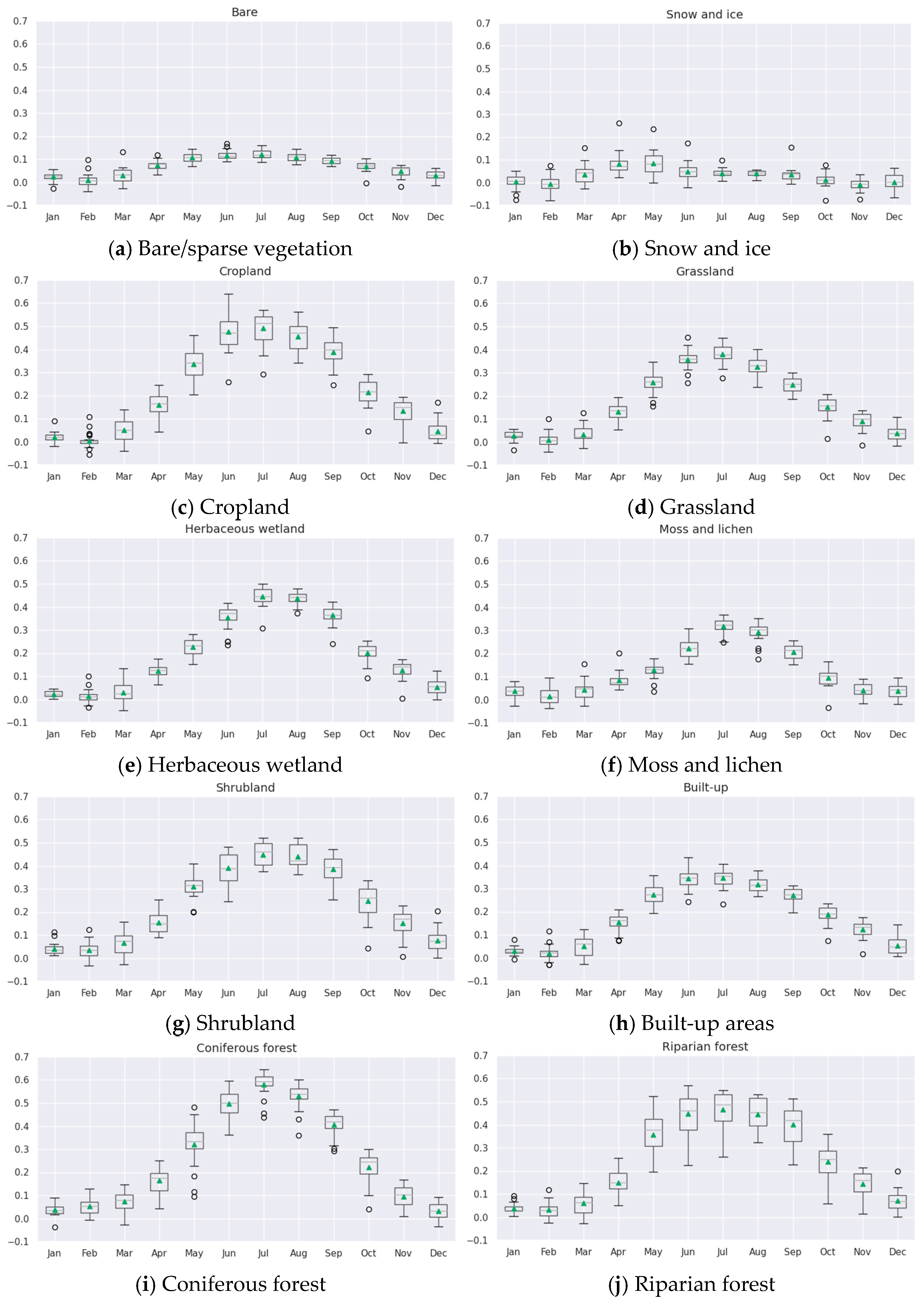
3.2. Land Cover Classes
3.3. NDVI Trend Analysis
3.4. Time Series Decomposition
3.5. Results of Sociological Research
4. Discussion
5. Conclusions
Author Contributions
Funding
Institutional Review Board Statement
Informed Consent Statement
Data Availability Statement
Acknowledgments
Conflicts of Interest
References
- Shaw, R.; Luo, Y.; Cheong, T.S.; Halim, S.A.; Chaturvedi, S.; Hashizume, M.; Insarov, G.E.; Ishikawa, Y.; Jafari, M.; Kitoh, A.; et al. Asia. In Climate Change 2022: Impacts, Adaptation and Vulnerability. Contribution of Working Group II to the Sixth Assessment Report of the Intergovernmental Panel on Climate Change; Pörtner, H.O., Roberts, D.C., Tignor, M., Poloczanska, E.S., Mintenbeck, K., Alegría, A., Craig, M., Langsdorf, S., Löschke, S., Möller, V., et al., Eds.; Cambridge University Press: Cambridge, UK; New York, NY, USA, 2022; pp. 1457–1579. [Google Scholar]
- Beniston, M. Climatic Change in Mountain Regions: A Review of Possible Impacts. Clim. Chang. 2003, 59, 5–31. [Google Scholar] [CrossRef]
- Rangwala, I.; Miller, J.R. Climate Change in Mountains: A Review of Elevation-Dependent Warming and Its Possible Causes. Clim. Chang. 2012, 114, 527–547. [Google Scholar] [CrossRef]
- Pepin, N.C.; Arnone, E.; Gobiet, A.; Haslinger, K.; Kotlarski, S.; Notarnicola, C.; Palazzi, E.; Seibert, P.; Serafin, S.; Schöner, W.; et al. Climate Changes and Their Elevational Patterns in the Mountains of the World. Rev. Geophys. 2022, 60, e2020RG000730. [Google Scholar] [CrossRef]
- Palomo, I. Climate Change Impacts on Ecosystem Services in High Mountain Areas: A Literature Review. Mt. Res. Dev. 2017, 37, 179–187. [Google Scholar] [CrossRef]
- Rasul, G.; Molden, D. The Global Social and Economic Consequences of Mountain Cryospheric Change. Front. Environ. Sci. 2019, 7, 467318. [Google Scholar] [CrossRef]
- Reyer, C.P.O.; Otto, I.M.; Adams, S.; Albrecht, T.; Baarsch, F.; Cartsburg, M.; Coumou, D.; Eden, A.; Ludi, E.; Marcus, R.; et al. Climate Change Impacts in Central Asia and Their Implications for Development. Reg. Environ. Chang. 2017, 17, 1639–1650. [Google Scholar] [CrossRef]
- Lioubimtseva, E.; Henebry, G.M. Climate and Environmental Change in Arid Central Asia: Impacts, Vulnerability, and Adaptations. J. Arid Environ. 2009, 73, 963–977. [Google Scholar] [CrossRef]
- Sidle, R.C.; Khan, A.A.; Caiserman, A.; Qadamov, A.; Khojazoda, Z. Food Security in High Mountains of Central Asia: A Broader Perspective. Bioscience 2023, 73, 347–363. [Google Scholar] [CrossRef]
- Sabyrbekov, R.; Overland, I.; Vakulchuk, R. (Eds.) Introduction to Climate Change in Central Asia. In Climate Change in Central Asia; Springer: Cham, Germany, 2023; pp. 1–12. [Google Scholar] [CrossRef]
- Mirzabaev, A.; Ahmed, M.; Werner, J.; Pender, J.; Louhaichi, M. Rangelands of Central Asia: Challenges and Opportunities. J. Arid Land 2016, 8, 93–108. [Google Scholar] [CrossRef]
- Chen, Y.; Li, W.; Deng, H.; Fang, G.; Li, Z. Changes in Central Asia’s Water Tower: Past, Present and Future. Sci. Rep. 2016, 6, 1–12. [Google Scholar] [CrossRef] [PubMed]
- NSC (National Statistical Committee of the Kyrgyz Republic). Kyrgyzstan in Figures; NSC: Bishkek, Kyrgyzstan, 2024. Available online: https://stat.gov.kg/en/publications/sbornik-kyrgyzstan-v-cifrah/ (accessed on 8 January 2025). (In Russian)
- Azarov, A.; Sidle, R.C.; Darr, D.; Verner, V.; Polesny, Z. A Proposed Typology of Farming Systems for Assessing Sustainable Livelihood Development Pathways in the Tien Shan Mountains of Kyrgyzstan. Land 2024, 13, 126. [Google Scholar] [CrossRef]
- Azarov, A.; Polesny, Z.; Verner, V.; Darr, D. Characteristics and Profitability of Livestock-Based Farming Systems in At-Bashy, Naryn Oblast; Mountain Societies Research Institute’s Research Paper No. 6; University of Central Asia: Bishkek, Kyrgyzstan, 2020. [Google Scholar]
- Sorg, A.; Bolch, T.; Stoffel, M.; Solomina, O.; Beniston, M. Climate Change Impacts on Glaciers and Runoff in Tien Shan (Central Asia). Nat. Clim. Chang. 2012, 2, 725–731. [Google Scholar] [CrossRef]
- Glazyrin, G.E. Influences of Deglaciation on the River Run-off in Central Asia. Ice Snow 2015, 123, 20. [Google Scholar] [CrossRef]
- Konovalov, V.G.; Shchetinnicov, A.S. Evolution of Glaciation in the Pamiro-Alai Mountains and Its Effect on River Run-Off. J. Glaciol. 1994, 40, 149–157. [Google Scholar] [CrossRef]
- Shahgedanova, M.; Afzal, M.; Severskiy, I.; Usmanova, Z.; Saidaliyeva, Z.; Kapitsa, V.; Kasatkin, N.; Dolgikh, S. Changes in the Mountain River Discharge in the Northern Tien Shan since the Mid-20th Century: Results from the Analysis of a Homogeneous Daily Streamflow Data Set from Seven Catchments. J. Hydrol. 2018, 564, 1133–1152. [Google Scholar] [CrossRef]
- Zhao, Q.; Jin, Z.; Qin, Y.; He, R.; Shangguan, D.; Zhang, S.; Chang, Y.; Han, H. Glacier and Snow Shrinkage to Intensify Water Stress in Northern Tien Shan, Central Asia. SSRN 2024. [Google Scholar] [CrossRef]
- Zaginaev, V.; Petrakov, D.; Erokhin, S.; Meleshko, A.; Stoffel, M.; Ballesteros-Cánovas, J.A. Geomorphic Control on Regional Glacier Lake Outburst Flood and Debris Flow Activity over Northern Tien Shan. Glob. Planet. Chang. 2019, 176, 50–59. [Google Scholar] [CrossRef]
- Liu, J.; Wu, Y.; Gao, X. Increase in Occurrence of Large Glacier-Related Landslides in the High Mountains of Asia. Sci. Rep. 2021, 11, 1635. [Google Scholar] [CrossRef] [PubMed]
- Qushimov, B.; Ganiev, I.; Rustamova, I.; Haitov, B.; Islam, K. Land Degradation by Agricultural Activities in Central Asia. In Climate Change and Terrestrial Carbon Sequestration in Central Asia; CRC Press: Boca Raton, FL, USA, 2007; Volume 1, pp. 137–146. [Google Scholar] [CrossRef]
- Zaginaev, V.V.; Sakyev, D.J.; Nazarkulov, K.B.; Amanova, M.T.; Isaev, E.K.; Erokhin, S.A. Monitoring the Development of Potential Hazardous Mountain Lakes Using Remote Sensing in the Kyrgyz Republic. Int. J. Geoinform. 2024, 20, 36–48. [Google Scholar] [CrossRef]
- Erokhin, S.A.; Zaginaev, V.V.; Meleshko, A.A.; Ruiz-Villanueva, V.; Petrakov, D.A.; Chernomorets, S.S.; Viskhadzhieva, K.S.; Tutubalina, O.V.; Stoffel, M. Debris Flows Triggered from Non-Stationary Glacier Lake Outbursts: The Case of the Teztor Lake Complex (Northern Tian Shan, Kyrgyzstan). Landslides 2018, 15, 83–98. [Google Scholar] [CrossRef]
- Zaginaev, V.; Falatkova, K.; Jansky, B.; Sobr, M.; Erokhin, S. Development of a Potentially Hazardous Pro-Glacial Lake in Aksay Valley, Kyrgyz Range, Northern Tien Shan. Hydrology 2019, 6, 3. [Google Scholar] [CrossRef]
- Aizen, V.B.; Aizen, E.M.; Melack, J.M. Climate, Snow Cover, Glaciers, and Runoff in the Tien Shan, Central Asia. J. Am. Water Resour. Assoc. 1995, 31, 1113–1129. [Google Scholar] [CrossRef]
- Gosling, S.N.; Taylor, R.G.; Arnell, N.W.; Todd, M.C. A Comparative Analysis of Projected Impacts of Climate Change on River Runoff from Global and Catchment-Scale Hydrological Models. Hydrol. Earth Syst. Sci. 2011, 15, 279–294. [Google Scholar] [CrossRef]
- Hagg, W.; Hoelzle, M.; Wagner, S.; Mayr, E.; Klose, Z. Glacier and Runoff Changes in the Rukhk Catchment, Upper Amu-Darya Basin until 2050. Glob. Planet. Chang. 2013, 110, 62–73. [Google Scholar] [CrossRef]
- Kogutenko, L.; Severskiy, I.; Shahgedanova, M.; Lin, B. Change in the Extent of Glaciers and Glacier Runoff in the Chinese Sector of the Ile River Basin between 1962 and 2012. Water 2019, 11, 1668. [Google Scholar] [CrossRef]
- Konovalov, V.G. Melting and Runoff from the Glaciers in Basins of Central Asian Rivers; Suslov, V.F., Ed.; Gidrometeoizdat: Leningrad, Russia, 1985; 237p. (In Russian) [Google Scholar]
- Oberhänsli, H.; Novotná, K.; Píšková, A.; Chabrillat, S.; Nourgaliev, D.K.; Kurbaniyazov, A.K.; Matys Grygar, T. Variability in Precipitation, Temperature and River Runoff in W Central Asia during the Past ~2000 yrs. Glob. Planet. Chang. 2011, 76, 95–104. [Google Scholar] [CrossRef]
- Liu, Z.; Xu, Z. Climate Change Scenarios and the Impact on Runoff. In Water Resources Research in Northwest China; Chen, Y., Ed.; Springer: Dordrecht, The Netherlands, 2014; pp. 311–357. [Google Scholar]
- Gan, R.; Luo, Y.; Zuo, Q.; Sun, L. Effects of Projected Climate Change on the Glacier and Runoff Generation in the Naryn River Basin, Central Asia. J. Hydrol. 2015, 523, 240–251. [Google Scholar] [CrossRef]
- Zuo, D.; Xu, Z.; Zhao, J.; Abbaspour, K.C.; Yang, H. Response of Runoff to Climate Change in the Wei River Basin, China. Hydrol. Sci. J. 2015, 60, 508–522. [Google Scholar] [CrossRef]
- Conrad, C.; Schönbrodt-Stitt, S.; Löw, F.; Sorokin, D.; Paeth, H.; Conrad, C.; Schönbrodt-Stitt, S.; Löw, F.; Sorokin, D.; Paeth, H. Cropping Intensity in the Aral Sea Basin and Its Dependency from the Runoff Formation 2000–2012. Remote Sens. 2016, 8, 630. [Google Scholar] [CrossRef]
- Siegfried, T.; Bernauer, T.; Guiennet, R.; Sellars, S.; Robertson, A.W.; Mankin, J.; Bauer-Gottwein, P.; Yakovlev, A. Will Climate Change Exacerbate Water Stress in Central Asia? Clim. Chang. 2012, 112, 881–899. [Google Scholar] [CrossRef]
- Hijioka, Y.; Lin, E.; Pereira, J.J.; Corlett, R.T.; Cui, X.; Insarov, G.E.; Lasco, R.D.; Lindgren, E.; Surjan, A. Asia. In Climate Change 2014: Impacts, Adaptation, and Vulnerability. Part B: Regional Aspects. Contribution of Working Group II to the Fifth Assessment Report of the Intergovernmental Panel on Climate Change; Cambridge University Press: Cambridge, UK, 2014; pp. 1327–1370. [Google Scholar]
- Hoegh-Guldberg, O.; Jacob, D.; Taylor, M.; Bindi, M.; Brown, S.; Camilloni, I.; Diedhiou, A.; Djalante, R.; Ebi, K.L.; Engelbrecht, F.; et al. Impacts of 1.5 °C of Global Warming on Natural and Human Systems. In Global Warming of 1.5 °C. An IPCC Special Report on the Impacts of Global Warming of 1.5 °C Above Pre-Industrial Levels and Related Global Greenhouse Gas Emission Pathways, in the Context of Strengthening the Global Response to the Threat of Climate Change; Intergovernmental Panel on Climate Change (IPCC): Geneva, Switzerland, 2018; p. 33. [Google Scholar]
- Standal, K.; Daloz, A.S.; Kim, E. A Gendered Approach to Understanding Climate Change Impacts in Rural Kyrgyzstan. In Climate Change in Central Asia; Sabyrbekov, R., Overland, I., Vakulchuk, R., Eds.; Springer: Cham, Germany, 2023; pp. 123–134. [Google Scholar] [CrossRef]
- Kaganzi, K.R.; Cuni-Sanchez, A.; McHarazo, F.; Martin, E.H.; Marchant, R.A.; Thorn, J.P.R. Local Perceptions of Climate Change and Adaptation Responses from Two Mountain Regions in Tanzania. Land 2021, 10, 999. [Google Scholar] [CrossRef]
- Córdova, R.; Hogarth, N.J.; Kanninen, M. Mountain Farming Systems’ Exposure and Sensitivity to Climate Change and Variability: Agroforestry and Conventional Agriculture Systems Compared in Ecuador’s Indigenous Territory of Kayambi People. Sustainability 2019, 11, 2623. [Google Scholar] [CrossRef]
- Standal, K.; Talevi, M.; Westskog, H. Engaging Men and Women in Energy Production in Norway and the United Kingdom: The Significance of Social Practices and Gender Relations. Energy Res. Soc. Sci. 2020, 60, 101338. [Google Scholar] [CrossRef]
- Kim, E.; Myrzabekova, A.; Molchanova, E.; Yarova, O. Making the ‘Empowered Woman’: Exploring Contradictions in Gender and Development Programming in Kyrgyzstan. Centr. Asian Surv. 2018, 37, 228–246. [Google Scholar] [CrossRef]
- Fisher, R.; Schmidt, K.; Steenhof, B.; Akenshaev, N. Poverty and Forestry: A Case Study of Kyrgyzstan with Reference to Other Countries in West and Central Asia; Food and Agriculture Organization of the United Nations (FAO): Rome, Italy, 2004; Available online: https://www.fao.org/4/j2603e/j2603e00.htm (accessed on 14 February 2025).
- Dörre, A. Promises and Realities of Community-Based Pasture Management Approaches: Observations from Kyrgyzstan. Pastoralism 2015, 5, 15. [Google Scholar] [CrossRef]
- Dörre, A.; Schütte, S. (Eds.) Utilisation and Management of Natural Resources in Kyrgyzstan. In Berlin Geographical Papers; ZELF: Berlin, Germany, 2014; p. 142. [Google Scholar]
- Tyrgotov, A.; van der Maaten, E.; Gradel, A.; van der Maaten-Theunissen, M. Growth Responses of Persian Walnut (Juglans regia L.) to Climate Variation along Its Full Elevational Range in Kyrgyzstan. Dendrochronologia 2024, 85, 126203. [Google Scholar] [CrossRef]
- Magnuszewski, M.; Bijak, S.; Orozumbekow, A.; Howe, B.; Musuraliev, K.; Zasada, M.; Bronisz, K.; Bronisz, A. Different Growth Patterns of Picea schrenkiana subsp. tianshanica (Rupr.) Bykov and Juglans regia L. Coexisting under the Same Ecological Conditions in the Sary-Chelek Biosphere Reserve in Kyrgyzstan. Dendrobiology 2015, 73, 11–20. [Google Scholar] [CrossRef]
- Park, S.; Lim, C.H.; Kim, S.J.; Isaev, E.; Choi, S.E.; Lee, S.D.; Lee, W.K. Assessing Climate Change Impact on Cropland Suitability in Kyrgyzstan: Where Are Potential High-Quality Cropland and the Way to the Future. Agronomy 2021, 11, 1490. [Google Scholar] [CrossRef]
- Tomaszewska, M.A.; Henebry, G.M. How Much Variation in Land Surface Phenology Can Climate Oscillation Modes Explain at the Scale of Mountain Pastures in Kyrgyzstan? Int. J. Appl. Earth Obs. Geoinf. 2020, 87, 102053. [Google Scholar] [CrossRef]
- Betz, F.; Lauermann, M.; Egger, G. Biogeomorphology from Space: Analyzing the Dynamic Interactions between Hydromorphology and Vegetation along the Naryn River in Kyrgyzstan Based on Dense Satellite Time Series. Remote Sens. Environ. 2023, 299, 113890. [Google Scholar] [CrossRef]
- Isaev, E.; Ermanova, M.; Sidle, R.C.; Zaginaev, V.; Kulikov, M.; Chontoev, D. Reconstruction of Hydrometeorological Data Using Dendrochronology and Machine Learning Approaches to Bias-Correct Climate Models in Northern Tien Shan, Kyrgyzstan. Water 2022, 14, 2297. [Google Scholar] [CrossRef]
- Kulikov, M.; Shibkov, E.; Isaev, E.; Azarov, A.; Sidle, R. Spatio-Temporal Patterns of Different Tree Species Response to Climatic Factors in South Kyrgyzstan. Cent. Asian J. Sustain. Clim. Res. 2023, 2, 23–49. [Google Scholar] [CrossRef]
- Orozumbekov, A.; Cantarello, E.; Newton, A.C. Status, Distribution and Use of Threatened Tree Species in the Walnut-Fruit Forests of Kyrgyzstan. For. Trees Livelihoods 2014, 24, 1–17. [Google Scholar] [CrossRef][Green Version]
- Cantarello, E.; Lovegrove, A.; Orozumbekov, A.; Birch, J.; Brouwers, N.; Newton, A.C. Human Impacts on Forest Biodiversity in Protected Walnut-Fruit Forests in Kyrgyzstan. J. Sustain. For. 2014, 33, 454–481. [Google Scholar] [CrossRef]
- Azarov, A.; Polesny, Z.; Darr, D.; Kulikov, M.; Verner, V.; Sidle, R.C. Classification of Mountain Silvopastoral Farming Systems in Walnut Forests of Kyrgyzstan: Determining Opportunities for Sustainable Livelihoods. Agriculture 2022, 12, 2004. [Google Scholar] [CrossRef]
- Thurman, M. Natural Disaster Risks in Central Asia: A Synthesis. 2011, p. 40. Available online: https://www.preventionweb.net/files/18945_cadisasterrisksmtd51104.pdf (accessed on 8 January 2025).
- Umaraliev, R.; Moura, R.; Havenith, H.-B.; Almeida, F.; Nizamiev, A.G. Disaster Risk in Central Asia: Socio-Economic Vulnerability Context and Pilot-Study of Multi-Risk Assessment in a Remote Mountain Area of Kyrgyz Republic. Eur. J. Eng. Technol. Res. 2020, 5, 234–244. [Google Scholar] [CrossRef]
- Zaginaev, V.; Ballesteros-Cánovas, J.A.; Erokhin, S.; Matov, E.; Petrakov, D.; Stoffel, M. Reconstruction of Glacial Lake Outburst Floods in Northern Tien Shan: Implications for Hazard Assessment. Geomorphology 2016, 269, 75–84. [Google Scholar] [CrossRef]
- Kariyeva, J.; Van Leeuwen, W. Environmental Drivers of NDVI-Based Vegetation Phenology in Central Asia. Remote Sens. 2011, 3, 203–246. [Google Scholar] [CrossRef]
- Yin, G.; Hu, Z.; Chen, X.; Tiyip, T. Vegetation Dynamics and Its Response to Climate Change in Central Asia. J. Arid Land 2016, 8, 375–388. [Google Scholar] [CrossRef]
- Ministry of Emergency Situations of the Kyrgyz Republic (Ed.) Monitoring, Forecasting of Hazardous Processes and Phenomena on the Territory of the Kyrgyz Republic, 21st ed.; Ministry of Emergency Situations of the Kyrgyz Republic: Bishkek, Kyrgyzstan, 2024; 434p. (In Russian)
- Pamirbek Kyzy, M.; Kurban, A.; Strobl, J.; Amanambu, A.C.; Khan, G.; Valentine, M.A. Bivariate Statistical Technique with Knowledge-Based Analytical Hierarchy Process for Landslide Susceptibility Assessment in Naryn River Basin, Kyrgyzstan. Int. J. Geoinform. 2018, 11, 35–47. [Google Scholar]
- Conrad, O.; Bechtel, B.; Bock, M.; Dietrich, H.; Fischer, E.; Gerlitz, L.; Wehberg, J.; Wichmann, V.; Böhner, J. System for Automated Geoscientific Analyses (SAGA) v. 2.1.4. Geosci. Model Dev. 2015, 8, 1991–2007. [Google Scholar] [CrossRef]
- Gorelick, N.; Hancher, M.; Dixon, M.; Ilyushchenko, S.; Thau, D.; Moore, R. Google Earth Engine: Planetary-Scale Geospatial Analysis for Everyone. Remote Sens. Environ. 2017, 202, 18–27. [Google Scholar] [CrossRef]
- Roy, D.P.; Kovalskyy, V.; Zhang, H.K.; Vermote, E.F.; Yan, L.; Kumar, S.S.; Egorov, A. Characterization of Landsat-7 to Landsat-8 Reflective Wavelength and Normalized Difference Vegetation Index Continuity. Remote Sens. Environ. 2016, 185, 57–70. [Google Scholar] [CrossRef] [PubMed]
- Cleveland, R.B.; Cleveland, W.S.; McRae, J.E.; Terpenning, I. STL: A Seasonal-Trend Decomposition Procedure Based on Loess. J. Off. Stat. 1990, 6, 3–73. [Google Scholar]
- Kulikov, M.; Schickhoff, U.; Gröngröft, A.; Borchardt, P. Modelling Soil Erodibility in Mountain Rangelands of South-Western Kyrgyzstan. Pedosphere 2017, 30, 443–456. [Google Scholar] [CrossRef]
- Umuhoza, J.; Jiapaer, G.; Yin, H.; Mind’je, R.; Gasirabo, A.; Nzabarinda, V.; Umwali, E.D. The Analysis of Grassland Carrying Capacity and Its Impact Factors in Typical Mountain Areas in Central Asia—A Case of Kyrgyzstan and Tajikistan. Ecol. Indic. 2021, 131, 108129. [Google Scholar] [CrossRef]
- Zhumanova, M.; Mönnig, C.; Hergarten, C.; Darr, D.; Wrage-Mönnig, N. Assessment of Vegetation Degradation in Mountainous Pastures of the Western Tien-Shan, Kyrgyzstan, Using EMODIS NDVI. Ecol. Indic. 2018, 95, 527–543. [Google Scholar] [CrossRef]
- Zhumanova, M.; Wrage-Mönnig, N.; Darr, D. Farmers’ Decision-Making and Land Use Changes in Kyrgyz Agropastoral Systems. Mt. Res. Dev. 2016, 36, 506–517. [Google Scholar] [CrossRef]
- NSC (National Statistical Committee of the Kyrgyz Republic). Agriculture of the Kyrgyz Republic—Statistics of the Kyrgyz Republic; NSC: Bishkek, Kyrgyzstan, 2023. Available online: https://stat.gov.kg/en/publications/sbornik-selskoe-hozyajstvo-kyrgyzskoj-respubliki/ (accessed on 8 January 2025). (In Russian)
- Tomaszewska, M.A.; Nguyen, L.H.; Henebry, G.M. Land Surface Phenology in the Highland Pastures of Montane Central Asia: Interactions with Snow Cover Seasonality and Terrain Characteristics. Remote Sens. Environ. 2020, 240, 111675. [Google Scholar] [CrossRef]
- Kulikov, M.; Schickhoff, U. Vegetation and Climate Interaction Patterns in Kyrgyzstan: Spatial Discretization Based on Time Series Analysis. Erdkd. Arch. Sci. Geogr. 2017, 71, 143–165. [Google Scholar] [CrossRef]
- Acheampong, P.P.; Yeboah, S.; Adabah, R.; Asibuo, J.Y.; Nchanji, E.B.; Opoku, M.; Toywa, J.; Lutomia, C.K. Gendered Perceptions and Adaptations to Climate Change in Ghana: What Factors Influence the Choice of an Adaptation Strategy? Front. Sustain. Food Syst. 2023, 7, 1091812. [Google Scholar] [CrossRef]
- Zhumanova, M.; Wrage-Mönnig, N.; Jurasinski, G. Long-Term Vegetation Change in the Western Tien-Shan Mountain Pastures, Central Asia, Driven by a Combination of Changing Precipitation Patterns and Grazing Pressure. Sci. Total Environ. 2021, 781, 146720. [Google Scholar] [CrossRef]
- FAO (Food and Agriculture Organization of the United Nations). Smallholders and Family Farms in Kyrgyzstan; FAO: Budapest, Hungary, 2020. [Google Scholar]
- Chi, G.; Gao, J.; Wang, D.; Hagedorn, A.; Kelgenbaeva, K.; Smith, M.L.; Henebry, G.M. Agricultural Production at the Oblast Level in Post-Soviet Kyrgyzstan, 1990–2014: Implications of Demographic and Climate Changes. Res. Glob. 2020, 2, 100027. [Google Scholar] [CrossRef]
- Whitmarsh, L.; Capstick, S. Perceptions of Climate Change. In Psychology and Climate Change—Human Perceptions, Impacts, and Responses; Elsevier: Amsterdam, The Netherlands, 2018; pp. 13–33. [Google Scholar] [CrossRef]
- Ullah, H.; Rashid, A.; Liu, G.; Hussain, M. Perceptions of Mountainous People on Climate Change, Livelihood Practices and Climatic Shocks: A Case Study of Swat District, Pakistan. Urban Clim. 2018, 26, 244–257. [Google Scholar] [CrossRef]
- Christmann, S.; Aw-Hassan, A.A. A Participatory Method to Enhance the Collective Ability to Adapt to Rapid Glacier Loss: The Case of Mountain Communities in Tajikistan. Clim. Chang. 2015, 133, 267–282. [Google Scholar] [CrossRef]
- Figueiredo, P.; Perkins, P.E. Women and Water Management in Times of Climate Change: Participatory and Inclusive Processes. J. Clean. Prod. 2013, 60, 188–194. [Google Scholar] [CrossRef]
- Otunchieva, A. Water Burden of Rural Women in the Climate Change Context: Case Study of Shybran Village, Kyrgyzstan. In Practical Outlook on Gender Issues in the Water Resources Sector; Mitusov, A., Ed.; Kazakh-German University: Almaty, Kazakhstan, 2020; pp. 62–68. [Google Scholar]
- Sabyrbekov, R.; Overland, I. Measuring the Capacity for Adaptation to Climate Change in Central Asia. Cent. Asian J. Sustain. Clim. Res. 2023, 2, 83–104. [Google Scholar] [CrossRef]
- Blondin, S. Environmental Migrations in Central Asia: A Multifaceted Approach to the Issue. Centr. Asian Surv. 2019, 38, 275–292. [Google Scholar] [CrossRef]
- Ibraimova, A.; Lee, W.K.; Zhumashev, M.; Wang, S.W. Assessing the Livelihood Vulnerability of Herders to Changing Climate in Chui Oblast, Kyrgyz Republic. Land 2023, 12, 1520. [Google Scholar] [CrossRef]
- Neumayer, E.; Plümper, T. The Gendered Nature of Natural Disasters: The Impact of Catastrophic Events on the Gender Gap in Life Expectancy, 1981–2002. Ann. Assoc. Am. Geogr. 2007, 97, 551–566. [Google Scholar] [CrossRef]
- Steimann, B. Making a Living in Uncertainty Agro-Pastoral Livelihoods and Institutional Transformations in Post-Socialist Rural Kyrgyzstan; University of Zurich: Zurich, Switzerland, 2011. [Google Scholar]
- Kasymov, U.; Undeland, A.; Dörre, A.; MacKinnon, A. Central Asia: Kyrgyzstan and the Learning Experience in the Design of Pastoral Institutions. OIE Rev. Sci. Tech. 2016, 35, 511–521. [Google Scholar] [CrossRef]
- Kovaleva, M.; Leal Filho, W.; Borgemeister, C.; Komagaeva, J. Central Asia: Exploring Insights on Gender Considerations in Climate Change. Sustainability 2023, 15, 12667. [Google Scholar] [CrossRef]
- Nixon, R.; Owusu, F. Choice, Inclusion, and Access to Information: Understanding Female Farmers’ Participation in Kyrgyzstan’s Water-User Associations. Sustainability 2017, 9, 2346. [Google Scholar] [CrossRef]
- Murzakulova, A. Rural Migration in Kyrgyzstan: Drivers, Impact and Governance; Mountain Societies Research Institute’s Research Paper No. 7; University of Central Asia: Bishkek, Kyrgyzstan, 2020. [Google Scholar]
- Sagynbekova, L. Environment, Rural Livelihoods, and Labor Migration: A Case Study in Central Kyrgyzstan. Mt. Res. Dev. 2017, 37, 456. [Google Scholar] [CrossRef]
- Chandonnet, A.; Mamadalieva, Z.; Orolbaeva, L.; Sagynbekova, L.; Tursunaliev, U.; Umetbaeva, D. Environment, Climate Change and Migration in the Kyrgyz Republic; United Nations Development Programme (UNDP): Bishkek, Kyrgyzstan, 2016. [Google Scholar]
- Scott, C.K.; Sexsmith, K.; Chi, G. Gendered Migration Patterns and Social Change in Rural Kyrgyzstan. Migr. Dev. 2024, 13, 176–198. [Google Scholar] [CrossRef]
- Sagynbekova, L. International Labour Migration in the Context of the Eurasian Economic Union: Issues and Challenges of Kyrgyz Migrants in Russia; Institute of Public Policy and Administration’s Working Paper No. 39; University of Central Asia: Bishkek, Kyrgyzstan, 2018. [Google Scholar]
- Ismailbekova, A. Migration and Patrilineal Descent: The Role of Women in Kyrgyzstan. Centr. Asian Surv. 2014, 33, 375–389. [Google Scholar] [CrossRef]
- Sabyrbekov, R. Income Diversification Strategies among Pastoralists in Central Asia: Findings from Kyrgyzstan. Pastoralism 2019, 9, 14. [Google Scholar] [CrossRef]












| Surface Class | NDVI Annual Trend | Significance Level | Elevation m a.s.l. 1 |
|---|---|---|---|
| Coniferous forest | 0.004612 | 0.067362 | 2762 |
| Riparian forest | 0.00589 | 0.030165 * | 1768 |
| Shrubland | 0.005653 | 0.05681 | 3007 |
| Grassland | 0.002702 | 0.070888 | 2448 |
| Cropland | 0.004568 | 0.045735 * | 1876 |
| Built-up | 0.002751 | 0.093554 | 2016 |
| Bare/sparce vegetation | 0.00096 | 0.125454 | 2445 |
| Herbaceous wetland | 0.002102 | 0.172923 | 1582 |
| Moss and lichen | 0.000197 | 0.248986 | 3402 |
| Change in Air Temperature | ||||||||
|---|---|---|---|---|---|---|---|---|
| Spring | ||||||||
| Warmer (%) | No change (%) | Colder (%) | Total (%) | χ2 | p-value | |||
| Male (n = 150) | 34.0 | 33.3 | 32.7 | 100 | 2.919 | 0.232 | ||
| Female (n = 148) | 25.0 | 37.2 | 37.8 | 100 | ||||
| Total (n = 298) | 29.6 | 35.2 | 35.2 | 100 | ||||
| Summer | ||||||||
| Male | 69.3 | 28.7 | 2.0 | 100 | 1.003 | 0.606 | ||
| Female | 69.6 | 29.8 | 0.7 | 100 | ||||
| Total | 69.5 | 29.2 | 1.3 | 100 | ||||
| Autumn | ||||||||
| Male | 6.0 | 60.7 | 33.3 | 100 | 3.500 | 0.174 | ||
| Female | 6.1 | 70.3 | 23.6 | 100 | ||||
| Total | 6.0 | 65.5 | 28.5 | 100 | ||||
| Winter | ||||||||
| Male | 82.0 | 16.0 | 2.0 | 100 | 2.426 | 0.297 | ||
| Female | 75.7 | 23.0 | 1.3 | 100 | ||||
| Total | 78.9 | 19.4 | 1.7 | 100 | ||||
| Change in precipitation | ||||||||
| Spring | ||||||||
| More (%) | No change (%) | Less (%) | Total (%) | χ2 | p-value | |||
| Male (n = 150) | 0.7 | 12.6 | 86.7 | 100 | 0.098 | 0.952 | ||
| Female (n = 148) | 0.7 | 11.5 | 87.8 | 100 | ||||
| Total (n = 298) | 0.7 | 12.1 | 87.2 | 100 | ||||
| Summer | ||||||||
| Male | 0.7 | 12.6 | 86.7 | 100 | 0.248 | 0.884 | ||
| Female | 0.7 | 10.8 | 88.5 | 100 | ||||
| Total | 0.7 | 11.7 | 87.6 | 100 | ||||
| Autumn | ||||||||
| Male | 0.7 | 14.7 | 84.6 | 100 | 0.657 | 0.720 | ||
| Female | 1.4 | 16.9 | 81.7 | 100 | ||||
| Total | 1.0 | 15.8 | 83.2 | 100 | ||||
| Winter | ||||||||
| Male | 3.3 | 7.4 | 89.3 | 100 | 0.881 | 0.644 | ||
| Female | 2.0 | 9.5 | 88.5 | 100 | ||||
| Total | 2.7 | 8.4 | 88.9 | 100 | ||||
| Severe weather | ||||||||
| Yes (%) | No (%) | Total (%) | ||||||
| Male (n = 150) | 14.7 | 85.3 | 100 | 12.6 | 0.000 *** | |||
| Female (n = 148) | 30.4 | 69.6 | 100 | |||||
| Total (n = 298) | 25.8 | 74.2 | 100 | |||||
| Cropland Yields | ||||||||
|---|---|---|---|---|---|---|---|---|
| More (%) | No changes (%) | Less (%) | Do not know (%) | Total (%) | χ2 | p-value | ||
| Male (n = 150) | 0.0 | 21.3 | 78.0 | 0.7 | 100 | |||
| Female (n = 148) | 1.4 | 27.0 | 64.2 | 7.4 | 100 | 13.492 | 0.004 ** | |
| Total (n = 298) | 0.7 | 24.2 | 71.1 | 4.0 | 100 | |||
| Yield in the kitchen garden | ||||||||
| Male (n = 150) | 0.0 | 74.0 | 20.0 | 6.0 | 100 | |||
| Female (n = 148) | 10.1 | 59.5 | 22.3 | 8.1 | 100 | 10.389 | 0.016 * | |
| Total (n = 298) | 1.7 | 66.8 | 21.1 | 10.4 | 100 | |||
| Pasture productivity | ||||||||
| Male (n = 150) | 0.7 | 10.6 | 82.7 | 6.0 | 100 | |||
| Female (n = 148) | 0.7 | 12.2 | 61.4 | 25.7 | 100 | 23.064 | 0.000 *** | |
| Total (n = 298) | 0.7 | 11.4 | 72.1 | 15.8 | 100 | |||
| Irrigation | ||||||||
| Male (n = 150) | 56.7 | 37.3 | 1.3 | 4.7 | 100 | |||
| Female (n = 148) | 47.3 | 41.2 | 0.7 | 10.8 | 100 | 5.51 | 0.138 | |
| Total (n = 298) | 52.0 | 39.3 | 1.0 | 7.7 | 100 | |||
| Plant diseases | ||||||||
| Male (n = 150) | 6.7 | 72.7 | 2.6 | 18.0 | 100 | |||
| Female (n = 148) | 7.4 | 64.9 | 0.7 | 27.0 | 100 | 5.181 | 0.159 | |
| Total (n = 298) | 7.0 | 68.8 | 1.7 | 22.5 | 100 | |||
| Animal diseases | ||||||||
| Male (n = 150) | 24.6 | 54.0 | 2.7 | 18.7 | 100 | |||
| Female (n = 148) | 23.0 | 55.4 | 1.4 | 20.2 | 100 | 0.855 | 0.836 | |
| Total (n = 298) | 23.8 | 54.7 | 2.0 | 19.5 | 100 | |||
| Sources of Income | |||||||||
| Single source (%) | Two (%) | Three (%) | Four (%) | Five (%) | Total (%) | χ2 | p-value | ||
| Male (n = 150) | 4.7 | 28.0 | 44.7 | 19.3 | 3.3 | 100 | |||
| Female (n = 148) | 3.4 | 17.6 | 51.4 | 26.4 | 1.4 | 100 | 7.408 | 0.116 | |
| Total (n = 298) | 4.0 | 22.8 | 48.0 | 22.8 | 2.3 | 100 | |||
| Income from livestock | Critical (%) | Important (%) | Somewhat important (%) | Least important (%) | Total (%) | ||||
| Male (n = 150) | 97.3 | 0.7 | 1.3 | 0.7 | 100 | ||||
| Female (n = 148) | 95.3 | 2.0 | 2.0 | 0.7 | 100 | 1.274 | 0.735 | ||
| Total (n = 298) | 96.3 | 1.3 | 1.7 | 0.7 | 100 | ||||
| Income from cultivation | |||||||||
| Male (n = 150) | 62.0 | 24.0 | 2.0 | 12.0 | 100 | ||||
| Female (n = 148) | 60.8 | 26.4 | 2.0 | 10.8 | 100 | 0.273 | 0.965 | ||
| Total (n = 298) | 61.4 | 25.2 | 2.0 | 11.4 | 100 | ||||
| Income from public employment/pensions/allowance | |||||||||
| Male (n = 150) | 2.7 | 12.0 | 1.3 | 84.0 | 100 | ||||
| Female (n = 148) | 37.2 | 6.8 | 3.4 | 52.6 | 100 | 58.940 | 0.000 *** | ||
| Total (n = 298) | 19.8 | 9.4 | 2.3 | 68.5 | 100 | ||||
| Income from private business | |||||||||
| Male (n = 150) | 7.3 | 0.7 | 0.7 | 91.3 | 100 | ||||
| Female (n = 148) | 11.5 | 2.7 | 0.7 | 85.1 | 100 | 3.533 | 0.317 | ||
| Total (n = 298) | 9.4 | 1.7 | 0.7 | 88.2 | 100 | ||||
| Income from seasonal work (internal migration) | |||||||||
| Male (n = 150) | 22.0 | 10.0 | 1.3 | 66.7 | 100 | ||||
| Female (n = 148) | 2.7 | 14.2 | 0.0 | 83.1 | 100 | 28.097 | 0.000 *** | ||
| Total (n = 298) | 12.4 | 12.1 | 0.7 | 74.8 | 100 | ||||
| Remittances (external migration) | |||||||||
| Male (n = 150) | 4.0 | 2.0 | 1.3 | 92.7 | 100 | ||||
| Female (n = 148) | 3.4 | 6.1 | 2.7 | 87.8 | 100 | 4.045 | 0.257 | ||
| Total (n = 298) | 3.7 | 4.0 | 2.0 | 90.3 | 100 | ||||
| Other | |||||||||
| Male (n = 150) | 2.0 | 5.3 | 10.0 | 82.7 | 100 | ||||
| Female (n = 148) | 10.8 | 1.4 | 2.0 | 85.8 | 100 | 20.518 | 0.000 *** | ||
| Total (n = 298) | 6.4 | 3.4 | 6.0 | 84.2 | 100 | ||||
| Coping Strategies | ||||||
|---|---|---|---|---|---|---|
| Yes (%) | No (%) | Total (%) | χ2 | p-value | ||
| Male (n = 150) | 12.0 | 88.0 | 100 | |||
| Female (n = 148) | 8.1 | 91.9 | 100 | 2.716 | 0.099 | |
| Total (n = 298) | 10.1 | 89.9 | 100 | |||
Disclaimer/Publisher’s Note: The statements, opinions and data contained in all publications are solely those of the individual author(s) and contributor(s) and not of MDPI and/or the editor(s). MDPI and/or the editor(s) disclaim responsibility for any injury to people or property resulting from any ideas, methods, instructions or products referred to in the content. |
© 2025 by the authors. Licensee MDPI, Basel, Switzerland. This article is an open access article distributed under the terms and conditions of the Creative Commons Attribution (CC BY) license (https://creativecommons.org/licenses/by/4.0/).
Share and Cite
Azarov, A.; Kulikov, M.; Sidle, R.C.; Zaginaev, V. Climate Change and Its Impact on Natural Resources and Rural Livelihoods: Gendered Perspectives from Naryn, Kyrgyzstan. Climate 2025, 13, 57. https://doi.org/10.3390/cli13030057
Azarov A, Kulikov M, Sidle RC, Zaginaev V. Climate Change and Its Impact on Natural Resources and Rural Livelihoods: Gendered Perspectives from Naryn, Kyrgyzstan. Climate. 2025; 13(3):57. https://doi.org/10.3390/cli13030057
Chicago/Turabian StyleAzarov, Azamat, Maksim Kulikov, Roy C. Sidle, and Vitalii Zaginaev. 2025. "Climate Change and Its Impact on Natural Resources and Rural Livelihoods: Gendered Perspectives from Naryn, Kyrgyzstan" Climate 13, no. 3: 57. https://doi.org/10.3390/cli13030057
APA StyleAzarov, A., Kulikov, M., Sidle, R. C., & Zaginaev, V. (2025). Climate Change and Its Impact on Natural Resources and Rural Livelihoods: Gendered Perspectives from Naryn, Kyrgyzstan. Climate, 13(3), 57. https://doi.org/10.3390/cli13030057

